ACTIVITY OF THE MIRROR NEURON SYSTEM IN PEOPLE WITH DEPRESSIVE SYMPTOMS
- Authors: Karimova E.D.1, Smolskaya D.V.2, Naratkina A.A.2
 - 
							Affiliations: 
							
- Institute of Higher Nervous Activity and Neurophysiology of the Russian Academy of Sciences
 - Lomonosov Moscow State University
 
 - Issue: Vol 73, No 2 (2023)
 - Pages: 230-241
 - Section: ФИЗИОЛОГИЯ ВЫСШЕЙ НЕРВНОЙ (КОГНИТИВНОЙ) ДЕЯТЕЛЬНОСТИ ЧЕЛОВЕКА
 - URL: https://journal-vniispk.ru/0044-4677/article/view/136088
 - DOI: https://doi.org/10.31857/S0044467723020053
 - EDN: https://elibrary.ru/ILDDCT
 - ID: 136088
 
Cite item
Full Text
Abstract
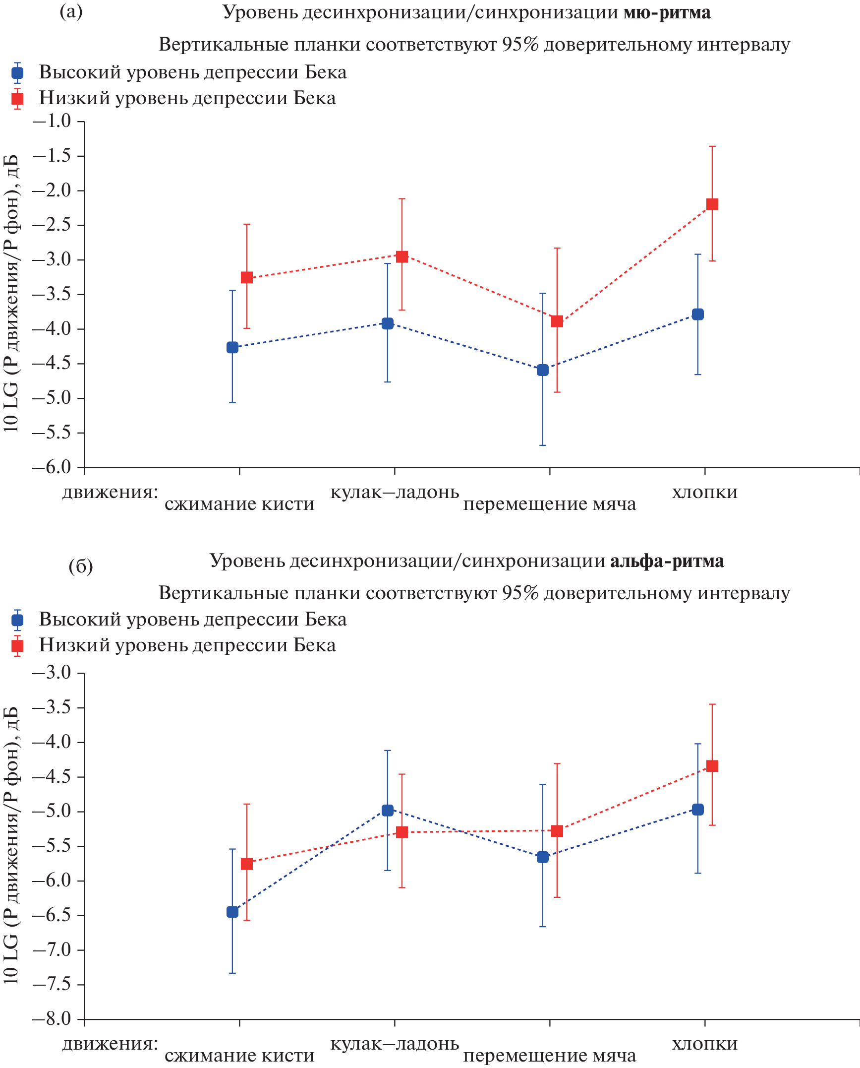
The global events of the last few years have led to the fact that more and more people are beginning to experience depressive symptoms. Developing depression significantly affects the emotional state of a person and his perception of the world around him. The purpose of this study was to analyze the reactions of mu- and alpha-rhythms reflecting the work of the mirror and visual systems of the brain, when perceiving and repeating emotionally colored social stimuli in people with different levels of depression. The study involved 32 healthy subjects who were divided into two groups – with high and low levels of depression on the Beck scale. A 32-channel EEG was recorded in two experimental blocks activating the emotional and motor components of the mirror neuron system (MNS): 1) when perceiving emotional faces expressing joy or grief; 2) when observing and repeating motor hand gestures. The desynchronization levels of the mu- and alpha-rhythm components in each of the tasks identified by the independent component method (ICA) were analyzed. It was found that the mu- desynchronization was significantly higher in people with depression when repeating motor hand movements, as well as when perceiving negative emotional facial expressions. Desynchronization of the alpha rhythm did not differ in the two groups of volunteers. Thus, the development of a depressive state increases MNS activation, and its sensitivity to negative emotional stimuli. This effect does not apply to the visual cortex and visual attention.
Keywords
About the authors
E. D. Karimova
Institute of Higher Nervous Activity and Neurophysiology of the Russian Academy of Sciences
							Author for correspondence.
							Email: e.d.karimova@gmail.com
				                					                																			                												                								Russia, Moscow						
D. V. Smolskaya
Lomonosov Moscow State University
														Email: e.d.karimova@gmail.com
				                					                																			                												                								Russia, Moscow						
A. A. Naratkina
Lomonosov Moscow State University
														Email: e.d.karimova@gmail.com
				                					                																			                												                								Russia, Moscow						
References
- Ablin P., Cardoso J.F., Gramfort A. Faster independent component analysis by preconditioning with hessian approximations. IEEE Transactions on Signal Processing. 2018. 66 (15): 4040–4049. https://doi.org/10.1109/TSP.2018.2844203
 - Alkhamees A.A., Alrashed S.A., Alzunaydi A.A., Almohimeed A.S., Aljohani, M.S. The psychological impact of COVID-19 pandemic on the general population of Saudi Arabia. Comprehensive Psychiatry. 2020. 102: 152192. https://doi.org/10.1016/j.comppsych.2020.152192
 - Andrews S.C., Enticott P.G., Hoy K.E., Thomson R.H., Fitzgerald P.B. Reduced mu suppression and altered motor resonance in euthymic bipolar disorder: Evidence for a dysfunctional mirror system? Social Neuroscience. 2016. 11 (1): 60–71. https://doi.org/10.1080/17470919.2015.1029140
 - Arnstein D., Cui F., Keysers C., Maurits N.M., Gazzola V. μ-suppression during action observation and execution correlates with BOLD in dorsal premotor, inferior parietal, and SI cortices. The Journal of neuroscience : the official J. Society for Neuroscience. 2011. 31 (40): 14243–14249. https://doi.org/10.1523/JNEUROSCI.0963-11.2011
 - Basavaraju R., Mehta U.M., Pascual-Leone A., Thirthalli J. Elevated mirror neuron system activity in bipolar mania: Evidence from a transcranial magnetic stimulation study. Bipolar Disorders. 2019. 21 (3): 259–269. https://doi.org/10.1111/bdi.12723
 - Batterham P.J., Calear A.L., McCallum S.M., Morse A.R., Banfield M., Farrer L.M., Gulliver A., Cherbuin N., Rodney Harris R.M., Shou Y., Dawel A. Trajectories of depression and anxiety symptoms during the COVID-19 pandemic in a representative Australian adult cohort. Medical J. Australia. 2021. 214 (10): 462–468. https://doi.org/10.5694/mja2.51043
 - Beck A.T. An Inventory for Measuring Depression, Archives of General Psychiatry. 1961. 4(6): 561. https://doi.org/10.1001/archpsyc.1961.01710120031004
 - Bekkali S., Youssef G.J., Donaldson P.H., Albein-Urios N., Hyde C., Enticott P.G. Is the Putative Mirror Neuron System Associated with Empathy? A Systematic Review and Meta-Analysis, Neuropsychology Review. 2021. 31 (1): 14–57. https://doi.org/10.1007/s11065-020-09452-6
 - Bimbi M., Festante F., Coudé G., Vanderwert R.E., Fox N.A., Ferrari P.F. Simultaneous scalp recorded EEG and local field potentials from monkey ventral premotor cortex during action observation and execution reveals the contribution of mirror and motor neurons to the mu-rhythm, NeuroImage. 2018. 175: 22–31. https://doi.org/10.1016/j.neuroimage.2018.03.037
 - Bodnar A., Rybakowski J.K. Increased affective empathy in bipolar patients during a manic episode, Revista Brasileira de Psiquiatria. 2017. 39 (4): 342–345. https://doi.org/10.1590/1516-4446-2016-2101
 - Borra E., Gerbella M., Rozzi S., Luppino G. The macaque lateral grasping network: A neural substrate for generating purposeful hand actions. Neuroscience & Biobehavioral Reviews. 2017. 75: 65–90. https://doi.org/10.1016/j.neubiorev.2017.01.017
 - Bowers A., Saltuklaroglu T., Harkrider A., Cuellar M. Suppression of the µ Rhythm during Speech and Non-Speech Discrimination Revealed by Independent Component Analysis: Implications for Sensorimotor Integration in Speech Processing. Sinigaglia, C. (ed.) PLoS One. 2013. 8 (8): e72024. https://doi.org/10.1371/journal.pone.0072024
 - Bowman L.C., Bakermans-Kranenburg M.J., Yoo K.H., Cannon E.N., Vanderwert R.E., Ferrari P.F., van IJzendoorn M.H., Fox, N.A. The mu-rhythm can mirror: Insights from experimental design, and looking past the controversy. Cortex; a journal devoted to the study of the nervous system and behavior. 2017. 96: 121–125. https://doi.org/10.1016/j.cortex.2017.03.025
 - Carr L., Iacoboni M., Dubeau M.-C., Mazziotta J.C., Lenzi G.L. Neural mechanisms of empathy in humans: A relay from neural systems for imitation to limbic areas. Proceedings of the National Academy of Sciences. 2003. 100 (9): 5497–5502. https://doi.org/10.1073/pnas.0935845100
 - Chen L.L., Cheng C.H.K., Gong T. Inspecting Vulnerability to Depression From Social Media Affect. Frontiers in Psychiatry. 2020. 11: 54. https://doi.org/10.3389/fpsyt.2020.00054
 - Cook R., Bird G., Catmur C., Press C., Heyes C. Mirror neurons: From origin to function. Behavioral and Brain Sciences. 2014. 37 (2): 177–192. https://doi.org/10.1017/S0140525X13000903
 - Ensenberg N.S., Perry A., Aviezer H. Are you looking at me? Mu suppression modulation by facial expression direction. Cognitive, Affective, & Behavioral Neuroscience. 2017. 17 (1): 174–184. https://doi.org/10.3758/s13415-016-0470-z
 - Ferrari P.F., Gerbella M., Coudé G., Rozzi S. Two different mirror neuron networks: The sensorimotor (hand) and limbic (face) pathways. Neuroscience. 2017. 358: 300–315. https://doi.org/10.1016/j.neuroscience.2017.06.052
 - Fox N.A., Yoo K.H., Bowman L.C., Cannon E.N., Ferrari P.F., Bakermans-Kranenburg M.J., Vanderwert R.E., Van IJzendoorn M.H. Assessing human mirror activity With EEG mu rhythm: A meta-analysis. Psychological Bulletin. 2016. 142 (3): 291–313. https://doi.org/10.1037/bul0000031
 - Gerbella M., Borra E., Tonelli S., Rozzi S., Luppino G. Connectional Heterogeneity of the Ventral Part of the Macaque Area 46. Cerebral Cortex. 2013. 23 (4): 967–987. https://doi.org/10.1093/cercor/bhs096
 - Goodin P., Lamp G., Hughes M.E., Rossell S.L., Ciorciari J. Decreased Response to Positive Facial Affect in a Depressed Cohort in the Dorsal Striatum During a Working Memory Task – A Preliminary fMRI Study. Frontiers in Psychiatry. 2019. 10: 60. https://doi.org/10.3389/fpsyt.2019.00060
 - Hobson H.M., Bishop D.V.M. Mu suppression – A good measure of the human mirror neuron system? Cortex. 2016. 82: 290–310. https://doi.org/10.1016/j.cortex.2016.03.019
 - Hobson H.M., Bishop D.V.M. The interpretation of mu suppression as an index of mirror neuron activity: past, present and future. Royal Society Open Science. 2017. 4 (3): 160662. https://doi.org/10.1098/rsos.160662
 - Hyvärinen A., Oja E. Independent component analysis: Algorithms and applications, Neural Networks. 2020. 13 (4–5). https://doi.org/10.1016/S0893-6080(00)00026-5
 - Iacoboni M. Understanding others: imitation, language, empathy. Perspectives on Imitation: From Cognitive Neuroscience to Social Science. 2005. 1: 77–99.
 - Iacoboni M., Dapretto M. The mirror neuron system and the consequences of its dysfunction. Nature Reviews Neuroscience. 2006. 7 (12): 942–951. https://doi.org/10.1038/nrn2024
 - Jenson D., Bowers A.L., Harkrider A.W., Thornton D., Cuellar M., Saltuklaroglu T. Temporal dynamics of sensorimotor integration in speech perception and production: independent component analysis of EEG data. Frontiers in Psychology. 2014. 5. https://doi.org/10.3389/fpsyg.2014.00656
 - Krivan S.J., Caltabiano N., Cottrell D., Thomas N.A. I’ll cry instead: Mu suppression responses to tearful facial expressions. Neuropsychologia. 2020. 143: 107490. https://doi.org/10.1016/j.neuropsychologia.2020.107490
 - Kumar P., Waiter G.D., Dubois M., Milders M., Reid I., Steele J.D. Increased neural response to social rejection in major depression. Depression and Anxiety. 2017. 34 (11): 1049–1056. https://doi.org/10.1002/da.22665
 - Kupferberg A., Bicks L., Hasler G. Social functioning in major depressive disorder. Neuroscience & Biobehavioral Reviews. 2016. 69: 313–332. https://doi.org/10.1016/j.neubiorev.2016.07.002
 - Mikulan E.P., Reynaldo L., Ibáñez A. Homuncular mirrors: misunderstanding causality in embodied cognition, Frontiers in Human Neuroscience. 2014. 8: 299. https://doi.org/10.3389/fnhum.2014.00299
 - Molnar-Szakacs I., Iacoboni M., Koski L., Mazziotta J.C. Functional Segregation within Pars Opercularis of the Inferior Frontal Gyrus: Evidence from fMRI Studies of Imitation and Action Observation. Cerebral Cortex. 2005. 15 (7): 986–994. https://doi.org/10.1093/cercor/bhh199
 - Mundy L.K., Canterford L., Moreno-Betancur M., Hoq M., Sawyer S.M., Allen N.B., Patton G.C. Social networking and symptoms of depression and anxiety in early adolescence. Depression and Anxiety. 2021. 38 (5): 563–570. https://doi.org/10.1002/da.23117
 - Oztop E., Kawato M., Arbib M.A. Mirror neurons: Functions, mechanisms and models. Neuroscience Letters. 2013. 540: 43–55. https://doi.org/10.1016/j.neulet.2012.10.005
 - Pizzagalli D.A., Roberts A.C. Prefrontal cortex and depression. Neuropsychopharmacology. 2022. 47 (1): 225–246. https://doi.org/10.1038/s41386-021-01101-7
 - Ritter P., Moosmann M., Villringer A. Rolandic alpha and beta EEG rhythms’ strengths are inversely related to fMRI-BOLD signal in primary somatosensory and motor cortex. Human brain mapping. 2009. 30 (4): 1168–87. https://doi.org/10.1002/hbm.20585
 - Rizzolatti G., Craighero L. The Mirror-Neuron System. Annual Review of Neuroscience. 2004. 27 (1): 169–192. https://doi.org/10.1146/annurev.neuro.27.070203.14-4230
 - Rizzolatti G., Sinigaglia C. The mirror mechanism: a basic principle of brain function. Nature Reviews Neuroscience. 2016. 17 (12): 757–765. https://doi.org/10.1038/nrn.2016.135
 - Rondung E., Leiler A., Meurling J., Bjärtå A. Symptoms of Depression and Anxiety During the Early Phase of the COVID-19 Pandemic in Sweden. Frontiers in Public Health. 2021. 9: 562437. https://doi.org/10.3389/fpubh.2021.562437
 - Salo V.C., Ferrari P.F., Fox N.A. The role of the motor system in action understanding and communication: Evidence from human infants and non-human primates. Developmental Psychobiology. 2019. 61 (3): 390–401. https://doi.org/10.1002/dev.21779
 - Shimada K., Kasaba R., Fujisawa T.X., Sakakibara N., Takiguchi S., Tomoda A. Subclinical maternal depressive symptoms modulate right inferior frontal response to inferring affective mental states of adults but not of infants. J. Affective Disorders. 2018. 229: 32–40. https://doi.org/10.1016/j.jad.2017.12.031
 - Simone L., Bimbi M., Rodà F., Fogassi L., Rozzi S. Action observation activates neurons of the monkey ventrolateral prefrontal cortex. Scientific Reports. 2017. 7 (1): 44378. https://doi.org/10.1038/srep44378
 - Simone L., Rozzi S., Bimbi M., Fogassi L. Movement-related activity during goal-directed hand actions in the monkey ventrolateral prefrontal cortex, Foxe, J. (ed.). European Journal of Neuroscience. 2015. 42 (11): 2882–2894. https://doi.org/10.1111/ejn.13040
 - Sliwa J., Freiwald W.A. A dedicated network for social interaction processing in the primate brain. Science. 2017. 356 (6339): 745–749. https://doi.org/10.1126/science.aam6383
 - Suffel A., Nagels A., Steines M., Kircher T., Straube B. Feeling addressed! The neural processing of social communicative cues in patients with major depression. Human Brain Mapping. 2020. 41 (13): 3541–3554. https://doi.org/10.1002/hbm.25027
 - Vahratian A., Blumberg S.J., Terlizzi E.P., Schiller J.S. Symptoms of Anxiety or Depressive Disorder and Use of Mental Health Care Among Adults During the COVID-19 Pandemic – United States, August 2020–February 2021, MMWR. Morbidity and Mortality Weekly Report. 2021. 70 (13): 490–494. https://doi.org/10.15585/mmwr.mm7013e2
 - Visted E., Vøllestad J., Nielsen M.B., Schanche E. Emotion Regulation in Current and Remitted Depression: A Systematic Review and Meta-Analysis, Frontiers in Psychology. 2018. 9: 756. https://doi.org/10.3389/fpsyg.2018.00756
 - de Waal F.B.M., Preston S.D. Mammalian empathy: behavioural manifestations and neural basis. Nature Reviews Neuroscience. 2017. 18 (8): 498–509. https://doi.org/10.1038/nrn.2017.72
 - Wolf S., Seiffer B., Zeibig J.-M., Welkerling J., Brokmeier L., Atrott B., Ehring T., Schuch F.B. Is Physical Activity Associated with Less Depression and Anxiety During the COVID-19 Pandemic? A Rapid Systematic Review. Sports Medicine. 2021. 51 (8): 1771–1783. https://doi.org/10.1007/s40279-021-01468-z
 
Supplementary files
				
			
					
						
						
						
						
				





