SEX AND STRAIN DIFFERENCES BETWEEN DISC1-L100P AND C57BL/6 MICE IN PASSIVE AVOIDANCE CONDITIONING DEFINATION
- Authors: Chizhova N.D.1,2, Smirnova K.V.1,3, Dubrovina N.I.1, Lipina T.V.1, Amstislavskaya T.G.1,3
 - 
							Affiliations: 
							
- Scientific Research Institute of Neurosciences and Medicine
 - Institute of Cytology and Genetics
 - Novosibirsk State University
 
 - Issue: Vol 73, No 3 (2023)
 - Pages: 425-432
 - Section: ФИЗИОЛОГИЧЕСКИЕ МЕХАНИЗМЫ ПОВЕДЕНИЯ ЖИВОТНЫХ: ВОСПРИЯТИЕ ВНЕШНИХ СТИМУЛОВ, ДВИГАТЕЛЬНАЯ АКТИВНОСТЬ, ОБУЧЕНИЕ И ПАМЯТЬ
 - URL: https://journal-vniispk.ru/0044-4677/article/view/136112
 - DOI: https://doi.org/10.31857/S004446772303005X
 - EDN: https://elibrary.ru/TTCZGH
 - ID: 136112
 
Cite item
Full Text
Abstract
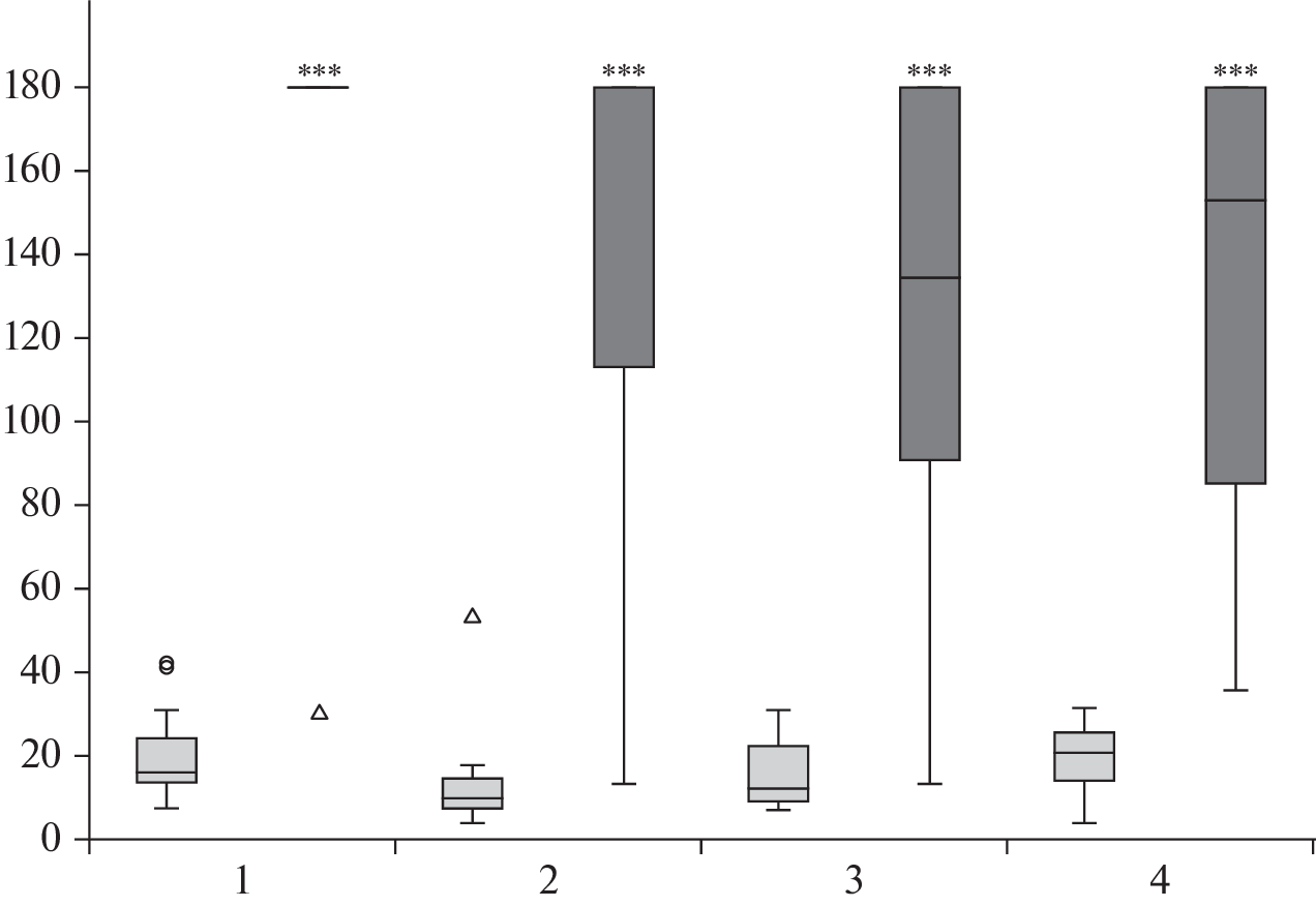
Sex and strain differences in the passive avoidance learning and extinction in male and female of DISC1-L100P mice and wild-type control mice were investigated. It was shown that male and female mice of both strains were well trained in the conditioned response of passive avoidance, but differed in fear memory extinction, the ability to form a new memory trace about the safety of the previously punished dark compartment of apparatus in the procedure of repeated testing. There was a deficit of fear memory extinction in females of DISC1-L100P and C57BL/6 mice compared to males. At the same time, interstrain differences in the dynamics of passive avoidance extinction in female mice of these strains were revealed. Results also showed that DISC1-L100P males differed from C57BL/6 in terms of the time to achieve complete extinction of this reaction.
Keywords
About the authors
N. D. Chizhova
Scientific Research Institute of Neurosciences and Medicine; Institute of Cytology and Genetics
							Author for correspondence.
							Email: chizhovand@neuronm.ru
				                					                																			                												                								Russia, Novosibirsk; Russia, Novosibirsk						
K. V. Smirnova
Scientific Research Institute of Neurosciences and Medicine; Novosibirsk State University
														Email: amstislavskayatg@neuronm.ru
				                					                																			                												                								Russia, Novosibirsk; Russia, Novosibirsk						
N. I. Dubrovina
Scientific Research Institute of Neurosciences and Medicine
														Email: amstislavskayatg@neuronm.ru
				                					                																			                												                								Russia, Novosibirsk						
T. V. Lipina
Scientific Research Institute of Neurosciences and Medicine
														Email: amstislavskayatg@neuronm.ru
				                					                																			                												                								Russia, Novosibirsk						
T. G. Amstislavskaya
Scientific Research Institute of Neurosciences and Medicine; Novosibirsk State University
							Author for correspondence.
							Email: amstislavskayatg@neuronm.ru
				                					                																			                												                								Russia, Novosibirsk; Russia, Novosibirsk						
References
- Дубровина Н.И., Храпова М.В., Липина Т.В. Особенности формирования памяти о страхе у мышей с депрессивно- и шизофрено-подобным фенотипами: влияние пола и возраста. Рос. физиол. журн. им. И.М. Сеченова. 2017. 103 (1): 10–21.
 - Киренская А.В., Сторожева З.И., Мямлин В.В., Ткаченко А.А. Концепция эндофенотипов в нейрофизиологических исследованиях шизофрении. Журн. высш. нервн. деят. им. И.П. Павлова. 2013. 63 (6): 625–642.
 - Bouton M.E., Maren S., McNally G.P. Behavioral and Neurobiological Mechanisms of Pavlovian and Instrumental Extinction Learning. Physiol Rev. 2021. 01 (2): 611–681.
 - Brown J.A., Ramikie T.S., Schmidt M.J., Báldi R., Garbett K., Everheart M.G., Warren L.E., Gellért L., Horváth S., Patel S., Mirnics K. Inhibition of parvalbumin-expressing interneurons results in complex behavioral changes. Mol. Psychiatry. 2015. 20 (12): 1499–1507.
 - Clapcote S.J., Lipina T.V., Millar J.K., Mackie S., Christie S., Ogawa F., Lerch J.P., Trimble K., Uchiyama M., Sakuraba Y., Kaneda H., Shiroishi T., Houslay M.D., Henkelman R.M., Sled J.G., Gondo Y., Porteous D.J., Roder J.C. Behavioral phenotypes of Disc1 missense mutations in mice. Neuron.2007. 54 (3): 387–402.
 - Clark J.W., Drummond S.P.A., Hoyer D., Jacobson L.H. Sex differences in mouse models of fear inhibition: Fear extinction, safety learning, and fear-safety discrimination. Br. J. Pharmacol. 2019. 176 (21): 4149–4158.
 - Clifton N.E., Thomas K.L., Hall J. The effect of ketamine on the consolidation and extinction of contextual fear memory. J.Psychopharmacol. 2018. 32 (2): 156–162.
 - Colom-Lapetina J., Li A.J., Pelegrina-Perez T.C., Shansky R.M. Behavioral diversity across classic rodent models is sex-dependent. Front. Behav. Neurosci. 2019. 13: 45.
 - Dachtler J., Elliott C., Rodgers R.J., Baillie G.S., Clapcote S.J. Missense mutation in DISC1 C-terminal coiled-coil has GSK3β signaling and sex-dependent behavioral effects in mice. Sci. Rep. 2016. 6: 18 748.
 - Day H.L.L., Stevenson C.W. The neurobiological basis of sex differences in learned fear and its inhibition. Eur. J. Neurosci. 2020. 52 (1): 2466–2486.
 - Day H.L.L., Suwansawang S., Halliday D.M., Stevenson C.W. Sex differences in auditory fear discrimination are associated with altered medial prefrontal cortex function. Sci. Rep. 2020. 10 (1): 6300.
 - Greiner E.M., Müller I., Norris M.R., Ng K.H., Sangha S. Sex differences in fear regulation and reward-seeking behaviors in a fear-safety-reward discrimination task. Behav. Brain Res. 2019. 368: 111903.
 - Gruene T.M., Flick K., Stefano A., Shea S.D., Shansky R.M. Sexually divergent expression of active and passive conditioned fear responses in rats. Elife. 2015. 4. pii: e11352.
 - Keiser A.A., Turnbull L.M., Darian M.A., Feldman D.E., Song I., Tronson N.C. Sex differences in context fear generalization and recruitment of hippocampus and amygdala during retrieval. Neuropsychopharmacology. 2017. 42 (2): 397–407.
 - Kelley J.B., Balda M.A., Anderson K.L., Itzhak Y. Impairments in fear conditioning in mice lacking the nNOS gene. Learn. Mem. 2009. 16 (6): 371–378.
 - Lipina T.V., Roder J.C. Disrupted- In-Schizophrenia-1 (DISC1) interactome and mental disorders: impact of mouse models. Neurosci.Biobehav.Rev. 2014. 45: 271–294.
 - Marek R., Xu L., Sullivan R.K.P., Sah P. Excitatory connections between the prelimbic and infralimbic medial prefrontal cortex show a role for the prelimbic cortex in fear extinction. Nat. Neurosci. 2018. 21 (5): 654–658.
 - Olaya J.C., Heusner C.L., Matsumoto M., Sinclair D., Kondo M.A., Karl T., Shannon Weickert C. Overexpression of neuregulin 1 type III confers hippocampal mRNA alterations and schizophrenia-like behaviors in mice. Schizophr. Bull. 2018. 44 (4): 865–875.
 - Park K., Chung C. Systemic Cellular Activation Mapping of an Extinction-Impaired Animal Model. Front. Cell. Neurosci. 2019. 13: 99.
 - Ribeiro A.M., Barbosa F.F., Godinho M.R., Fernandes V.S., Munguba H., Melo T.G., Barbosa M.T., Eufrasio R.A., Cabral A., Izidio G.S., Silva R.H. Sex differences in aversive memory in rats: possible role of extinction and reactive emotional factors. Brain Cogn. 2010. 74 (2): 145–151.
 - Tomoda T., Sumitomo A., Jaaro-Peled H., Sawa A. Utility and validity of DISC1 mouse models in biological psychiatry. Neuroscience. 2016. 321: 99–107.
 - Uliana D.L., Resstel L.B.M., Grace A.A. Fear extinction disruption in a developmental rodent model of schizophrenia correlates with an impairment in basolateral amygdala-medial prefrontal cortex plasticity. Neuropsychopharmacology. 2018. 43 (12): 2459–2467.
 - Velasco E.R., Florido A., Milad M.R., AnderoR. Sex differences in fear extinction. Neurosci. Biobehav.Rev. 2019. 103: 81–108.
 - Walsh J., Desbonnet L., Clarke N., Waddington J.L., O’Tuathaigh C.M. Disruption of exploratory and habituation behavior in mice with mutation of DISC1: an ethologically based analysis. J. Neurosci. Res. 2012. 90 (7): 1445–1453.
 - Winship I.R., Dursun S.M., Baker G.B., Balista P.A., Kandratavicius L., Maia-de-Oliveira J.P., Hallak J., Howland J.G. An overview of animal models related to schizophrenia. Can. J. Psychiatry. 2019. 64 (1): 5–17.
 
				
			
					
						
						
						
						
				



