WORKING MEMORY OF MACACA MULATTA MONKEYS FOR COLOR AND MONOCHROME IMAGES
- Authors: Podvigina D.N.1,2, Ivanova L.E.1, Harauzov A.K.1
-
Affiliations:
- Pavlov Institute of Physiology Russian Academy of Sciences
- Institute for Cognitive Studies, St. Petersburg State University
- Issue: Vol 73, No 5 (2023)
- Pages: 680-687
- Section: ФИЗИОЛОГИЧЕСКИЕ МЕХАНИЗМЫ ПОВЕДЕНИЯ ЖИВОТНЫХ: ВОСПРИЯТИЕ ВНЕШНИХ СТИМУЛОВ, ДВИГАТЕЛЬНАЯ АКТИВНОСТЬ, ОБУЧЕНИЕ И ПАМЯТЬ
- URL: https://journal-vniispk.ru/0044-4677/article/view/140279
- DOI: https://doi.org/10.31857/S004446772305009X
- EDN: https://elibrary.ru/VWXYOS
- ID: 140279
Cite item
Full Text
Abstract
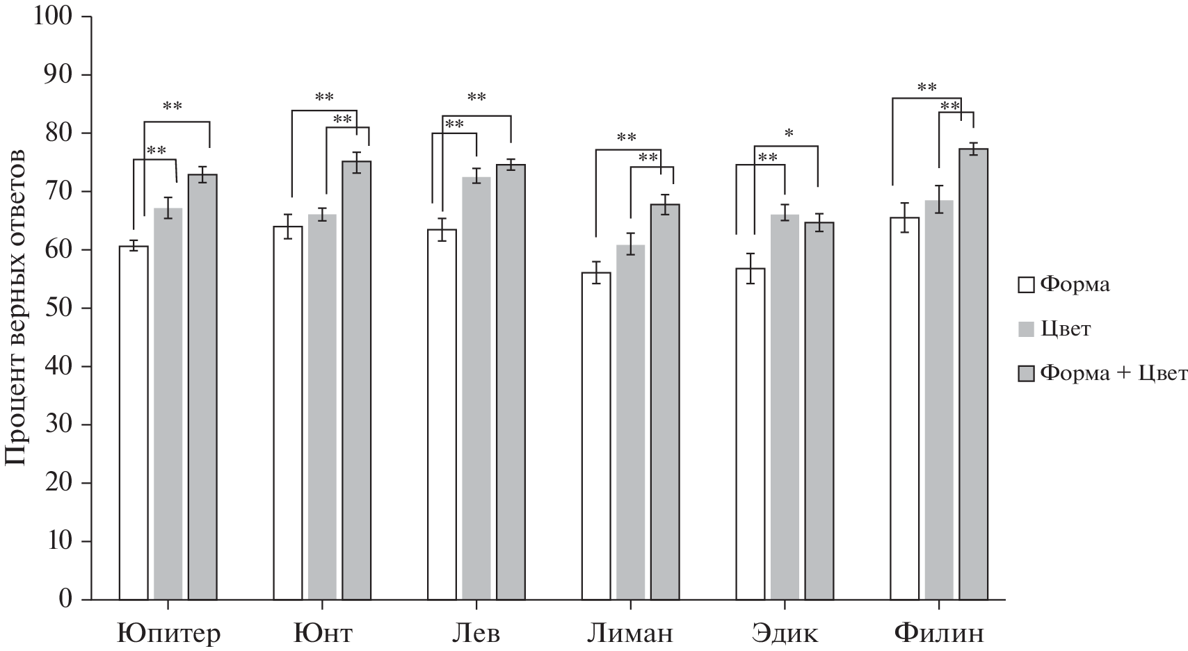
In behavioral experiments, we studied the ability of rhesus monkeys (Macaca mulatta) to keep in working memory visual objects that differ either in shape, or in color, or in a combination of these features. Six male rhesus monkeys performed a delayed matching-to-sample task, with three geometric shapes from a set of stimuli as samples. In the first series of experiments, these were colored figures of various shapes, in the second – circles of different colors, in the third – monochrome images of various figures from the set of stimuli. When using both features to memorize objects, the monkeys showed the maximum result, and the task of matching by color performed better than the task of matching by shape. The latter result disagrees with the data (Fehring et al., 2022), where in similar experiments, though with one sample, the opposite bias was observed. The reason for this may be the shift from local features (contours of shapes) to global ones (color) when recognizing and memorizing visual objects under conditions of a greater memory load in our study.
About the authors
D. N. Podvigina
Pavlov Institute of Physiology Russian Academy of Sciences; Institute for Cognitive Studies, St. Petersburg State University
Author for correspondence.
Email: daria-da@yandex.ru
Russia, St. Petersburg; Russia, St. Petersburg
L. E. Ivanova
Pavlov Institute of Physiology Russian Academy of Sciences
Email: daria-da@yandex.ru
Russia, St. Petersburg
A. K. Harauzov
Pavlov Institute of Physiology Russian Academy of Sciences
Email: daria-da@yandex.ru
Russia, St. Petersburg
References
- Бондарь И.В., Васильева Л.Н., Терещенко Л.В., Буйневич А.В., Латанов А.В. Обучение макак-резусов сложным когнитивным задачам. Журн. высшей нервной деятельности им. ИП Павлова. 2018. 68 (4): 459–476. https://doi.org/10.1134/S0044467718040044
- Иванова Л.Е., Коржанова З.Н., Варовин И.А., Пронин С.В., Хараузов А.К., Шелепин Ю.Е. Изучение взаимодействия макак-резусов с тактильными мониторами при наблюдении низкочастотных тестовых изображений. Российский физиологический журн. им. И.М. Сеченова. 2016. 102 (8): 931–939.
- Подвигина Д.Н., Иванова Л.Е., Хараузов А.К. Обучение макак-резусов задаче отсроченного сравнения с образцом на сенсорном мониторе. Интегративная физиология. 2021. 2 (4): 443–454. https://doi.org/10.33910/2687-1270-2021-2-4-443-454
- Allen R.J., Baddeley A.D., Hitch G.J. Is the binding of visual features in working memory resource-demanding? J. Experimental Psychology: General. 2006. 135 (2): 298–313. https://doi.org/10.1037/0096-3445.135.2.298
- Baxter M.G., Gaffan D. Asymmetry of attentional set in rhesus monkeys learning colour and shape discriminations. Quarterly J. Experimental Psychology. 2007. 60 (1): 1–8. https://doi.org/10.1080/17470210600971485
- Bichot N.P., Rossi A.F., Desimone R. Parallel and serial neural mechanisms for visual search in macaque area V4. Science. 2005. 308 (5721): 529–534. https://doi.org/10.1126/science.1109676
- Christophel T.B., Klink P.C., Spitzer B., Roelfsema P.R., Haynes J.D. The distributed nature of working memory. Trends in cognitive sciences. 2017. 21 (2): 111–124. https://doi.org/10.1016/j.tics.2016.12.007
- Ellefson M.R., Shapiro L.R., Chater N. Asymmetrical switch costs in children. Cognitive Development. 2006. 21 (2): 108–130. https://doi.org/10.1016/j.cogdev.2006.01.002
- Fehring D.J., Pascoe A.J., Haque Z.Z., Samandra R., Yokoo S., Abe H., Rosa M.G.P., Tanaka K., Yamamori T., Mansouri F.A. Dimension of visual information interacts with working memory in monkeys and humans. Scientific Reports. 2022. 12 (1): 1–15. https://doi.org/10.1038/s41598-022-09367-7
- Fuster J.M. Single-unit studies of the prefrontal cortex. The frontal lobes revisited. Psychology Press. 2019. 109–120.
- Ghasemian S., Vardanjani M.M., Sheibani V., Mansouri F.A. Dimensional bias and adaptive adjustments in inhibitory control of monkeys. Animal Cognition. 2021. 24 (4): 815–828. https://doi.org/10.1007/s10071-021-01483-7
- Hitch G.J., Allen R.J., Baddeley A.D. Attention and binding in visual working memory: Two forms of attention and two kinds of buffer storage. Attention, Perception, & Psychophysics. 2020. 82: 280–293. https://doi.org/10.3758/s13414-019-01837-x
- Kosilo M., Martinovic J., Haenschel C. Luminance contrast drives interactions between perception and working memory. J. Cognitive Neuroscience. 2022. 34 (7): 1128–114. https://doi.org/10.1162/jocn_a_01852
- Livingstone M.S., Hubel D.H. Psychophysical evidence for separate channels for the perception of form, color, movement, and depth. J. Neuroscience. 1987. 7 (11): 3416–3468. https://doi.org/10.1523/JNEUROSCI.07-11-03-416.1987
- Luria R., Vogel E.K. Shape and color conjunction stimuli are represented as bound objects in visual working memory. Neuropsychologia. 2011. 49 (6): 1632–1639.
- Mansouri F.A., Buckley M.J., Fehring D.J., Tanaka K. The role of primate prefrontal cortex in bias and shift between visual dimensions. Cerebral Cortex. 2020. 30 (1): 85–99. https://doi.org/10.1016/j.neuropsychologia.2010.11.031
- Prevor M.B., Diamond A. Color–object interference in young children: A Stroop effect in children 31/2–61/2 years old. Cognitive development. 2005. 20 (2): 256–278. https://doi.org/10.1016/j.cogdev.2005.04.001
- Rajalingham R., Schmidt K., DiCarlo J.J. Comparison of object recognition behavior in human and monkey. J. Neuroscience. 2015. 35 (35): 12127–12136. https://doi.org/10.1523/JNEUROSCI.0573-15.2015
- Viviani P., Aymoz C. Colour, form, and movement are not perceived simultaneously. Vision Research. 2001. 41 (22): 2909–2918. https://doi.org/10.1016/S0042-6989(01)00160-2




