Evaluation of sensomotor development, behavioral reactions and cognitive functions of the second generation of rats with hyperhomocysteinemia
- Authors: Yakovleva O.V.1, Skripnikova V.V.1, Yakovlev A.V.1, Sitdikova G.F.1
 - 
							Affiliations: 
							
- IFM&B, Kazan (Volga Region) Federal University
 
 - Issue: Vol 74, No 2 (2024)
 - Pages: 179-196
 - Section: ФИЗИОЛОГИЧЕСКИЕ МЕХАНИЗМЫ ПОВЕДЕНИЯ ЖИВОТНЫХ: ВОСПРИЯТИЕ ВНЕШНИХ СТИМУЛОВ, ДВИГАТЕЛЬНАЯ АКТИВНОСТЬ, ОБУЧЕНИЕ И ПАМЯТЬ
 - URL: https://journal-vniispk.ru/0044-4677/article/view/262126
 - DOI: https://doi.org/10.31857/S0044467724020049
 - ID: 262126
 
Cite item
Full Text
Abstract
The adverse maternal exposure during pregnancy leads to developmental disorders in the offspring that can be passed on to later generations. Epigenetic regulation of DNA transcription may mediate inherited metabolic diseases. An increase in homocysteine concentration in the blood is associated with epigenetic modifications of the genome, which can alter the fetal brain’s development program and cause cognitive impairment. The aim of our work was to identify changes in sensomotor development, behavioral reactions and cognitive functions of offspring of second generation rats (HcyF2) of hyperhomocysteinemia. Our results indicate that unconditioned reflexes and physical parameters are delayed in HcyF2 rats. In “open field”, HcyF2 rats showed higher levels of anxiety and decreased exploratory and motor activity, while coordination of movements studied in “rotarod” test was not impaired. Decreased limb muscle strength was shown in the “grip strength” test. Additionally, HcyF2 rats demonstrated an impaired learning and longterm memory in the Morris water maze. Biochemical analysis revealed an imbalance in the antioxidant systems, which was attributed to decreased activity of glutathione peroxidases and H2S synthesis enzymes. It was suggested that elevated homocysteine levels during pregnancy may result in epigenetic modifications of the genome, which can impact the metabolism of offspring and be inherited by future generations.
Full Text
ВВЕДЕНИЕ
Гипергомоцистеинемия (ГГц) – это состояние, при котором наблюдается повышение уровня гомоцистеина в плазме выше 15 мкМ (Fu et al., 2018) вследствие генетически детерминированных или приобретенных нарушений метаболизма гомоцистеина. Гомоцистеин образуется из метионина путем деметилирования с образованием S-аденозил-L-метионина (SAM), являющегося донором метильных групп, необходимых для реакций трансметилирования ДНК, РНК, белков, липидов и др. Гомоцистеин далее подвергается реметилированию в присутствии витамина В12 и метилтетрагидрофолата (активной формы фолиевой кислоты). Второй путь метаболизма гомоцистеина – трансульфурация – приводит к образованию цистатионина и цистеина, предшественника глутатиона с помощью цистатионин-β-синтазы и витамина В6 как кофактора. Избыток метионина в диете, мутации или полиморфизм генов, ответственных за ферменты метионинового цикла, дефицит витаминов группы В приводят к ГГц (Petras et al., 2014; Bhatia, Singh, 2015; Yakovleva et al., 2018; Moretti, Caruso, 2019; Арутюнян и др., 2022; Яковлев и др., 2022). Доказана связь ГГц с патологиями беременности, такими как внутриутробная задержка развития и гибель плода, самопроизвольный аборт, отслойка плаценты, преэклампсия, нарушение маточно-плацентарного и фетоплацентарного кровообращения, васкулиты и тромбоз сосудов, а также нарушения когнитивной функции у детей (Hague, 2003; Streck et al., 2004; Арутюнян и др., 2010; Shcherbitskaya et al., 2017; Chaudhry et al., 2019; Арутюнян и др., 2021).
Окислительное повреждение и воспаление тканей играют значительную роль в нейротоксичности, индуцированной гомоцистеином, который способен проникать через плацентарный барьер и непосредственно повреждать ткани плода (Machado et al., 2011; Shcherbitskaya et al., 2017; Yakovleva et al., 2018; Yakovleva et al., 2020). Показано накопление гомоцистеина в течение пренатального периода в различных областях мозга плода, – включая мозжечок, гиппокамп, полосатое тело, – вызывающее эксайтотоксичность с последующим апоптозом (Blaise et al., 2007; Koz et al., 2010; Pustygina et al., 2015), что может нарушать созревание нейрональной сети в критические периоды развития (Yakovlev et al., 2018; Yakovlev et al., 2023). Действительно, в моделях материнской ГГц у грызунов показаны ранние нарушения развития и долговременные когнитивные дисфункции потомства (Blaise et al., 2007; Gerasimova et al., 2017; Kumar et al., 2017; Shcherbitskaya et al., 2017; Yakovleva et al., 2018; Arutjunyan et al., 2020; Yakovleva et al., 2020). Эпигенетические нарушения являются еще одним следствием ГГц (Molloy et al., 2002; Scholz et al., 2015). Так, в моделях ГГц различного генеза у взрослых животных показаны изменения содержания ДНК-метилтрансфераз, общего метилирования ДНК, метилирования CpG-богатых регуляторных областей и промоторов отдельных генов в мозге (Pogribny et al., 2008; Kalani et al., 2014; Li et al., 2017; Арутюнян и др., 2021). Одним из факторов патологии пренатальной ГГц является воздействие на уровень метилирования ДНК, сопровождающееся изменением программы развития мозга плода (Geoffroy et al., 2019), что наряду с нейрохимическими изменениями в мозге при ГГц (Shcherbitskaya et al., 2017; Arutjunyan et al., 2020) может приводить к патологиям развития потомства следующего поколения. Действительно, дефицит фолиевой кислоты и витамина B12 во время беременности влияет на внутриутробное развитие плода, что в дальнейшем приводит к поведенческим аномалиям во взрослой жизни и является достаточным для нарушения когнитивного поведения в последующем поколении (Langie et al., 2013; Kumar, Sandhir, 2019).
В нашей работе мы оценивали сенсомоторное развитие, поведенческие реакции и когнитивные функции потомства второго поколения (F2) крыс с ГГц. Кроме того, мы определили концентрации гомоцистеина, сероводорода и уровень окислительного стресса по концентрации малонового диальдегида и активности глутатионпероксидаз в тканях мозга крыс второго поколения.
МЕТОДИКА
Объект исследования
Эксперименты проводились на крысах Wistar в возрасте от 2 до 30 дня жизни (Р2-30, где Р0 – день рождения), которые содержались в стандартных условиях вивария КФУ в полипропиленовых клетках (32 × 40 × 18 см) при стабильной комнатной температуре, 12-часовом цикле “день-ночь” (свет включается в 07:00) и со свободным доступом к пище и воде на полнорационной сбалансированной по содержанию питательных веществ диете для лабораторных животных. Эксперименты проводились в соответствии с Директивой ЕС 2010/63/EU для экспериментов на животных и одобрены Локальным этическим комитетом КФУ (протокол № 33 от 21.11.2021).
Для моделирования ГГц крысы ежедневно получали метионин с пищей (7.7 г/кг корма) три недели до и во время беременности. У самок за 7 дней до подсадки самца измеряли концентрацию гомоцистеина в плазме. Далее мы получали потомство ГГцF1, у которого также проводили измерение концентрации гомоцистеина в плазме в возрасте 3–4 месяца (рис. 1 (а)).
Рис. 1. Уровень гомоцистеина, размер и вес помета, набор массы у крыс второго поколения, рожденных от самок с ГГц. (а) – схема получения потомства второго поколения ([ГЦ] – концентрация гомоцистеина), (б) – уровень гомоцистеина у животных, рожденных от самок с ГГц, в первом (ГГцF1) и втором поколении (ГГцF2). Процент животных с концентрацией гомоцистеина в плазме в пределах нормы (0–9 мкМ, белый сектор), с легкой ГГц (10–20 мкМ, светло-серый сектор), умеренной ГГц (21–50 мкМ, темно-серый сектор). (в) – размер и общий вес помета (заштриховано) у контрольных самок (белый квадрат), у самок с ГГц (серый квадрат). (г) – вес при рождении крыс контрольной (белый квадрат) и ГГцF2 групп (серый квадрат). Прямоугольник – 25–75%, квадратик внутри – среднее значение, центральная линия – медиана, “усы” – значения минимума / максимума. (д) – динамика набора веса крысят контрольной (белый квадрат) и ГГцF2 групп (серый квадрат). * р < 0.05 по сравнению с контрольной группой.
Fig. 1. The homocysteine levels, litter size and weight, and weight gain in the second generation rats born from dams with HHcy. (a) – the scheme shows the protocol for obtaining second-generation offspring, (б) – homocysteine level in animals born from females with HHcy in the first (HcyF1) and second generation (HcyF2). Percentage of animals with plasma homocysteine concentrations within the normal range (0–9 µM, white sector), mild HHcy (10–20 µM, light gray sector), moderate HHcy (21–50 µM, dark gray sector). (в) – Litter size and total weight (shaded) in control females (white square), in females with HHcy (gray square). (г) – Birth weight of rats in control (white square) and HcyF2 groups (gray square). Rectangle – 25–75%, square inside – average value, central line – median, “whiskers” – minimum/maximum values. (д) – dynamics of weight gain in rat pups of the control (white square) and HcyF2 groups (gray square). * p < 0.05 compared to the control group.
К самкам ГГцF1 с концентрацией гомоцистеина в плазме 15 ± 1 мкМ (n = 10) подсаживали здоровых самцов для получения потомков ГГцF2 (рис. 1(а)).
Животные были разделены на две группы:
1) контрольная группа (К, n = 53 крысенка, N = 6 пометов) – потомство от контрольных самок;
2) ГГцF2 (n = 60 крысят, N = 8 пометов) – второе поколение крыс от самок с ГГц.
Общее наблюдение за физическим развитием потомства
Подсчитывали количество родившихся в популяции крысят, измеряли вес животных при рождении и в течение всего эксперимента, наблюдали за их физическим развитием: фиксировали день появления первичного волосяного покрова, отлипания ушной раковины, прорезывания резцов, открытия глаз. Смертность определялась как процент умерших крысят относительно рожденных за период от рождения до 14-го дня жизни.
Тесты на формирование безусловных рефлексов
Все тесты были разделены на 2 группы: до 15 суток, пока крысята питаются молоком матери, и после 15 суток, когда они переходят на смешанное питание (Smart, Dobbing, 1971; Kiss et al., 2013).
Тесты:
– “Переворачивание на плоскости”
– “Отрицательный геотаксис”
– “Избегание обрыва”
– “Маятниковый рефлекс”
– “Реакция на акустический стимул”
–“Избегание обрыва (вызванное визуальным стимулом)”
– “Обонятельная реакция”
– “Переворачивание в свободном падении”
Анализ двигательной функции
Мышечная выносливость оценивалась с помощью теста “сила хвата” на P4, P14, P18 и P26. Крыс помещали на проволочную сетку и осторожно встряхивали, чтобы побудить крысу схватиться за сетку. Сетку переворачивали вверх дном над клеткой и удерживали на высоте ~ 0.45 м над дном открытой клетки. Оценивалось время (с), проведенное на сетке до падения. Для анализа использовалось наибольшее значение из трех отдельных испытаний (Weydt et al., 2003; Yakovleva et al., 2018).
Для оценки координации движений передних, задних конечностей и равновесия на P16 и P26 использовали ротарод. Каждую крысу помещали на вращающийся стержень со скоростью вращения 5 оборотов в минуту (об/мин) и измеряли время до падения и дистанцию бега. Животных подвергали трем последовательным сеансам с интервалом 20–30 мин и регистрировали максимальное время пребывания на вращающемся цилиндре (Karl et al., 2003; Yakovleva et al., 2018).
Тест “открытое поле”
В тесте “открытое поле” (ОП) фиксируется стратегия поведения грызунов на открытой площадке. Тест ОП проводили трижды: на 8, на 16 и на 26 дни после рождения (Kraeuter et al., 2019; Yakovleva et al., 2019).
В возрасте Р8 (ОП1) крысят помещали на площадку размерами 30 × 30 см, разделенную на 36 квадратов, на 1 минуту, в течение которой регистрировали:
– поднимание головы;
– ползание, опору на задние конечности, подъем всего тела, т.е. двигательную активность (число пересеченных квадратов).
В возрастах Р16 и Р26 (ОП2 и ОП3) крысу помещали в центр ярко освещенной круглой площадки диаметром 60 см, разбитой на 36 квадратов, на 3 мин. Регистрировали такие показатели, как:
– поднимание головы и число обследованных норок – исследовательская активность;
– вертикальная двигательная активность, т.е. число стоек на задних лапах – исследовательская активность;
– количество пересеченных квадратов, т.е. горизонтальная двигательная активность (перемещение по периферии, прецентральной и центральной части поля);
– акты груминга (движение лап вокруг носа, умывание области глаз, головы, боков, туловища, аногенитальной области и хвоста);
– акты дефекации.
После каждого животного площадку тщательно мыли, протирали спиртовым раствором.
По отношению суммы показателей горизонтальной активности в центральном и прецентральном секторах поля к общей сумме показателей горизонтальной двигательной активности вычисляли индекс тревожности у крыс (Капица и др., 2020).
Тест “водный лабиринт Морриса” (ВЛМ). Поведенческие наблюдения за пространственным обучением и памятью проводили в водном лабиринте, модифицированном для крыс на основе Streck et al., 2004. Исследование проводили на крысах возраста Р21–P22 в цилиндрической емкости диаметром 100 см и глубиной 40 см (Open Science, Россия), которая была заполнена водой, подкрашенной нежирным молоком на уровень 30 см над дном (температура 26–28 ºС). В испытательной комнате располагали различные предметы, которые крысы могли использовать для пространственной ориентации. Платформа из плексигласа (10 см в диаметре) располагалась на 1 см ниже поверхности воды.
Процесс обучения включал 6 подходов, в ходе которых животное должно было находить скрытую платформу. При обнаружении платформы крысята оставались на ней в течение 30 с. Межиспытательный интервал составлял 15 с. Исходное положение в водном лабиринте было псевдослучайным, если крыса не находила платформу в течение 1 мин, ее осторожно подводили к платформе. Через 1 и 24 ч после обучения крыса повторно опускалась в бассейн, и регистрировалось время нахождения платформы, что позволило оценить нарушения кратковременной и долговременной памяти соответственно.
Каждый тест записывался с помощью цветной видеокамеры Sony SSC-G118 (Китай), захватывающей приставки и программы Pinnacle Studio (Corel Corporation, Ottawa, Canada) и обсчитывался после проведения эксперимента независимым исследователем. Траектория плавания была проанализирована вручную у 15 животных из каждой группы, и были определены четыре основных типа стратегии поиска: тигмотаксис, когда животное проводит большую часть времени у стены (некогнитивная форма); вторжение (случайный поиск), когда животное плавает вдоль стены, но также двигается и в центральные области; сканирование, при котором исследуются центральные области арены, и сканирование цели (направленный поиск) – плавание вблизи платформы (Ивлиева и др., 2016; Yakovleva et al., 2020).
Биохимический анализ
Концентрация гомоцистеина в плазме определялась с использованием набора Homocysteine Colorimetric Assay Kit (E-BC-K143, ElabScience, USA) спектрофотометрическим методом c использованием ИФА-ридера (Multiskan FS, Thermo Fisher Scientific, USA).
Анализ продукции H2S
Концентрацию сульфидов и скорость образования H2S измеряли с использованием N,N-диметил-п-фенилендиамина (NNDPD) (Yusuf et al., 2005; Yakovleva et al., 2020). Определение основано на способности сероводорода и сульфидов образовывать в кислой среде с продуктами окисления NNDPD и солью железа (III) метиленовую синь, интенсивность окраски которой пропорциональна содержанию сульфидов в образце. Ткани головного мозга крыс гомогенизировали в ледяной 0.15 М NaCl с 1 М фосфатным буфером рН 7.4. Гомогенат (10%, 860 мкл) смешивали с ацетатом цинка (1%, 500 мкл) и 0.15 М NaCl (140 мкл) при комнатной температуре. Для остановки реакции добавляли трихлоруксусную кислоту (10%, 500 мкл). Для оценки скорости образования H2S гомогенат мозга (10%, 860 мкл) смешивали с L-цистеином (10 мМ, 40 мкл), пиридоксаль 5’-фосфатом (2 мМ, 40 мкл) и 0.15 М NaCl (60 мкл) и инкубировали при 37 °C в течение 60 мин.
В обоих случаях пробы смешивали с NNDPD (20 мМ, 266 мкл) в 7.2 М HCl и FeCl3 (30 мМ, 266 мкл) в 1.2 М HCl и измеряли поглощение полученного раствора при 670 нм методом спектрофотометрии (Спектрофотометр ПЭ-5300ВИ, ООО “ЭКРОСХИМ”, Россия). Концентрации H2S рассчитывали по калибровочной кривой NaHS. Активность синтеза H2S выражалась в мкМ/г H2S, вырабатываемого 1 г ткани в минуту (мкМ/мин/г).
Перекисное окисление липидов и активность глутатионпероксидазы
Образцы ткани головного мозга замораживали и гомогенизировали в буферном растворе (0.15 М NaCl с 1 М фосфатным буфером рН 7.4, соотношение 1:10) для дальнейшего анализа. Малоновый диальдегид (МДА) измеряли спектрофотометрически по методу Ohkawa (Ohkawa et al., 1979). Гомогенаты ткани головного мозга смешивали с 20% трихлоруксусной кислотой и 0.03 М 2-тиобарбитуровой кислотой в соотношении 2:2:1. Смесь нагревали в течение 45 мин при 95˚C и центрифугировали в течение 10 мин при 1000 g. При этом условии МДА легко участвует в реакции нуклеофильного присоединения с 2-тиобарбитуровой кислотой, образуя красный флуоресцентный аддукт 1:2. Поглощение супернатанта контролировали при 532 нм (eTBA-MDA = 1.55 мм–1 см–1) методом спектрофотометрии (Спектрофотометр ПЭ-5300ВИ, ООО “ЭКРОСХИМ”, Россия). Уровни МДА выражали в мкг/г тканей.
Антиоксидантный потенциал определяли путем измерения активности глутатион пероксидаз (ГП) (Razygraev et al., 2018; Яковлев и др., 2022). 1 мл раствора глутатиона смешивали с 1 мл гомогената головного мозга, смесь разделяли на две центрифужные (тестовую и контрольную) пробирки и инкубировали в течение 5 мин. В тестовую пробирку добавляли раствор трет-бутилпероксида (5 мкМ, 0.02 мл). Через 10 мин в тестовую и контрольную пробирки налили 0.2 мл холодной 10%-ной трихлоруксусной кислоты. Образцы центрифугировали в течение 15 мин при 10 000 g и к 0.1 мл надосадочной жидкости добавляли 2 мл фосфатного буфера (рН 8.0) и 0.05 мл реагента Эллмана, перемешивали. Оптическую плотность контрольного и тестового образцов измеряли при 412 нм с помощью спектрофотометра (Спектрофотометр ПЭ-5300ВИ, ООО “ЭКРОСХИМ”, Россия). Активность ГП выражали в мкг/мин/г тканей.
Статистический анализ результатов
Статистическую обработку данных проводили при помощи непараметрических и параметрических методов с использованием пакета прикладных программ Origin Pro software (OriginLab Corp, USA) с использованием общепринятых методов вариационной статистики. Для проверки выборки на нормальное распределение применяли тест Колмогорова–Смирнова и F-тест для равных дисперсий.
После оценки распределения в выборках для проверки различий между группами использовали t-критерий Стьюдента (t-тест). Если распределение исследуемого признака отличалось от нормального, например при сравнении данных развития сенсомоторных рефлексов, применяли непараметрический тест Манна–Уитни (U-тест).
Для анализа теста ВЛМ использовали дисперсионный анализ для связанных переменных (RM-ANOVA) с апостериорным множественным сравнением средних по критерию Тьюки. Для анализа выделяли два фактора с соответствующими градациями: “группа” (2 градации) и “номер попытки” (6 градаций).
Для сравнения процентных величин использовали Хи-квадрат Пирсона с критерием Фишера (F < 0.05).
Различия считались статистически значимыми при p < 0.05. Результаты представлены в виде M ± m, где М – среднее значение, m – ошибка среднего, или в виде Median (Q1–Q3) – медиана, квартили.
РЕЗУЛЬТАТЫ ИССЛЕДОВАНИЙ
Уровень гомоцистеина в плазме контрольных самок составлял 8.2 ± 0.3 мкМ (n = 16), у самок, получавших диету, содержащую метионин, – 27.7 ± 1.8 мкМ, (n = 33, р < 0.05, t-тест). Несмотря на то, что крысы с пренатальной ГГц находились на стандартной диете более 2 месяцев после отлучения от матери, у 61% потомства сохранялись повышенные концентрации гомоцистеина в плазме крови (выше 10 мкМ). При этом у 42% животных наблюдалась легкая ГГц (10–20 мкМ), а у 19% – умеренная ГГц (21–50 мкМ) (рис. 1 (б)). Для анализа развития второго поколения крыс, рожденных от самок с ГГц, мы отбирали животных с уровнем гомоцистеина в плазме 15 ± 1 мкМ (n = 10). У 22% потомства ГГцF2 в возрасте 30–45 дней жизни наблюдалась легкая форма ГГц (10–20 мкМ), 78% имели уровень гомоцистеина в пределах нормы (0–9 мкМ) (рис. 1 (б)).
Исследование физического развития потомства второго поколения
Оценка физического развития крысят в группе ГГцF2 выявила отставание во времени прорезывания резцов (р < 0.05, U-тест), остальные показатели не отличались от контрольных значений (табл. 1).
Таблица 1. Развитие физических особенностей крысят в группах контроль и ГГцF2
Table 1. Development of physical features of rats in control and HcyF2 groups
Параметры  | Контроль (n = 53)  | ГГцF2 (n = 60)  | 
Раскрытие ушей (день появления)  | 2 (2–2.5)  | 3 (2–3)  | 
Появление первичного волосяного покрова (день появления)  | 4 (4–4)  | 4 (4–6)  | 
Прорезывание резцов (день появления)  | 8 (8–8)  | 10 (8–12)*  | 
Открытие глаз (день появления)  | 14 (12–14.25)  | 13 (12–16)  | 
Примечание. Данные выражены в виде медианы (Q1-Q3), n – количество животных. Статистическая значимость между медианами была рассчитана с использованием U-теста, * p < 0.05 по сравнению с контрольной группой.
Note. Data are expressed as median (Q1-Q3), n – number of animals. Statistical significance between medians was calculated using the U-test, * p < 0.05 compared to the control group.
Новорожденные животные из группы ГГцF2 характеризовались меньшей массой тела при рождении (6.5 ± 1.0 г, n = 60, р < 0.05, t-тест), по сравнению с контрольной группой, где масса тела была равна 8.5 ± 0.2 г (n = 53), но количество крысят в пометах ГГцF2 и контрольной группы не отличалось (рис. 1 (в, г)). Общий вес помета в группе ГГцF2 (57.6 ± 11.2 г, N = 8) был ниже, чем у контрольной группы (66.3 ± 1.7 г, N = 6, рис. 1 (в)). Сниженная масса тела потомства группы ГГцF2 сохранялась в течение 4 недель после рождения (рис. 1 (д)).
Исследование скорости созревания сенсомоторных рефлексов
Слабовыраженные или поздно сформированные рефлексы свидетельствуют о различных патологиях ЦНС (Gerasimova et al., 2017; Yakovleva et al., 2018; Yakovleva et al., 2019; Яковлева и др., 2021). Сроки формирования рефлексов в тестах “избегание обрыва” и “отрицательный геотаксис” достоверно не отличались в группах контроля и ГГцF2 (табл. 2). День формирования рефлекса “переворачивание на плоскости” не отличался в обеих группах. Однако увеличивалось время переворота у крысят группы ГГцF2 (2.0 ± 0.1 с, n = 60, р < 0.05, t-тест), по сравнению с контрольными животными (1.5 ± 0.1 с, n = 53).
Таблица 2. Формирование врожденных рефлексов у крысят в группах контроль и ГГцF2
Table 2. The development of neurobehavioral reflexes of pups in control group and in group with prenatal HcyF2
Параметры  | Контроль (n = 53)  | ГГцF2 (n = 60)  | 
Отрицательный геотаксис (день появления)  | 6 (5–7)  | 6 (4–8)  | 
Маятниковый рефлекс (количество поворотов в минуту на 8-й день жизни)  | 7 (5–11)  | 6 (4–8)*  | 
Переворачивание на плоскости (день появления)  | 6 (4–7)  | 6 (4–8)  | 
Избегание обрыва (день появления)  | 6 (5–7)  | 6 (4–8)  | 
Реакция на акустический стимул (день появления)  | 10 (8–10)  | 14 (12–14)*  | 
Избегание обрыва, вызванное визуальным стимулом (день появления)  | 14 (12–15)  | 16 (16–18)*  | 
Переворачивание в свободном падении (день появления)  | 12 (12–16)  | 16 (14–18)*  | 
Обонятельная реакция (день появления)  | 14 (12–15)  | 16 (12–18)*  | 
Примечание. Данные выражены в виде медианы (Q1-Q3), n – количество животных. Статистическая значимость между медианами была рассчитана с использованием U-теста, * p < 0.05 по сравнению с контрольной группой.
Note. Data are expressed as median (Q1-Q3), n – number of animals. Statistical significance between medians was calculated using the U test, * p < 0.05 compared to the control group.
Кроме того, у крысят группы ГГцF2 наблюдали замедление созревания рефлекса “реакция на акустический стимул” (14.0 ± 0.1 день, р < 0.05, U-тест, n = 60), по сравнению с контрольной группой животных (9.5 ± 0.2 день, n = 53). В возрасте 14 суток и более наблюдалось значительное отставание во времени формирования таких рефлексов, как “избегание обрыва, вызванное визуальным стимулом”, “обонятельная реакция” и “переворачивание” (табл. 2). У крысят группы ГГцF2 количество маятниковых движений головой за 1 мин (6.1 ± 0.5, р < 0.05, U-тест, n = 60) было ниже, чем у контрольных животных (7.5 ± 0.7, n = 53).
Анализ поведенческих реакций в тесте “открытое поле”
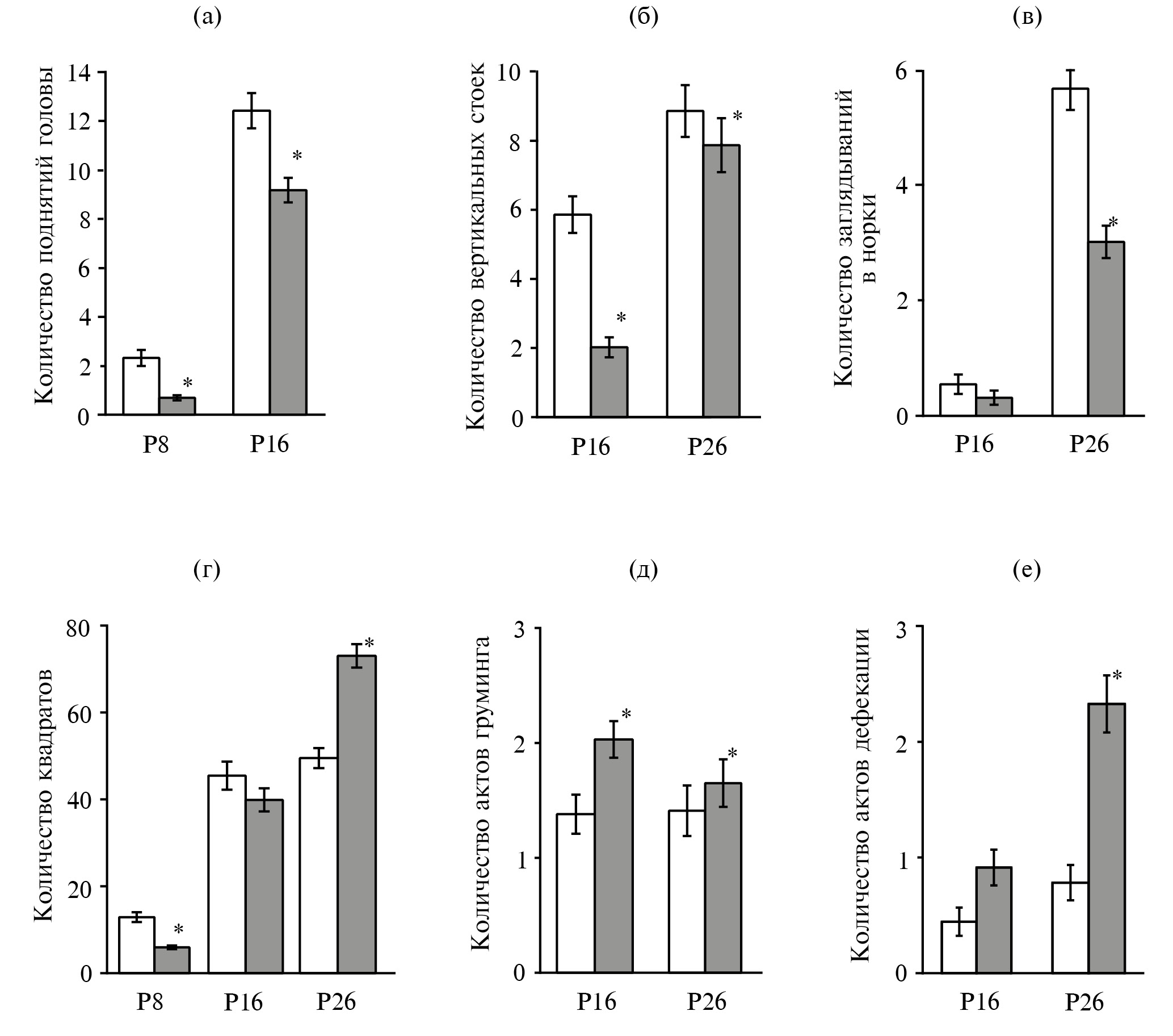
В тесте “открытое поле” у животных группы ГГцF2 наблюдалось меньше поднятий головы на 8 и 16 дни жизни (0.7 ± 0.1 и 9.2 ± 0.5, р < 0.05, t-тест, n = 60) относительно контрольной группы (2.3 ± 0.3 и 12.6 ± 0.7, n = 53) (рис. 2 (а)). У животных группы ГГцF2 снижалось количество вертикальных стоек на 16 и 26 дни жизни (2.0 ± 0.3 и 7.8 ± 0.8, р < 0.05, t-тест, n = 60) относительно контрольной группы (5.8 ± 0.5 и 8.9 ± 0.7, n = 53) (рис. 2 (б)). Число обследованных норок – исследовательская активность – на 16 и 26 дни жизни было меньше у животных группы ГГцF2 (рис. 2 (в)).
Рис. 2. Изменение двигательной и исследовательской активности, уровень тревожности в тесте “открытое поле” у крыс в группах контроль и ГГцF2. Количество поднятий головы (а), вертикальных стоек (б), исследованных отверстий – “норок” (в), пересеченных квадратов (г), актов груминга (д) и дефекации (е). Р8, Р16, Р26 – возрастные периоды. Белый столбик – контрольная группа, серый столбик – группа ГГцF2. * p < 0.05 относительно контрольной группы.
Fig. 2. Changes in motor and exploratory activity, level of anxiety in the “open field” test in rats in the control and HcyF2 groups. Number of head elevations (a), vertical stands (б), explored holes “head dips” (в), crossed squares (г), acts of grooming (д) and defecation (е). P8, P16, P26 – age periods. White bar – control group, gray bar – HcyF2 group. * p < 0.05 relative to the control group.
Горизонтальная двигательная активность, оцениваемая по количеству пройденных квадратов на 8 и 16 дни жизни, была меньше у животных группы ГГцF2 (3.7 ± 0.5 и 39.8 ± 2.5 квадратов, n = 60, р < 0.05, t-тест) относительно контроля (12.9 ± 1.1 и 45.4 ± 3.2 квадратов, n = 53 соответственно, рис. 2 (г)).
В старшей возрастной группе (Р26) у животных ГГцF2 наблюдалось увеличение общей горизонтальной двигательной активности (73.1 ± 2.7 квадратов, р < 0.05, t-тест, n = 60) относительно контрольных значений (49.5 ± 2.3 квадратов, n = 53) (рис. 2 (г)). У крыс ГГцF2-группы было выявлено значимое снижение двигательной активности в центральной части “открытого поля” и увеличение на периферии (табл. 3), по сравнению с контрольной группой (р < 0.05, t-тест). Предположено, что чем больше выходов в медиальные и центральный квадраты и продолжительность нахождения в них, тем меньше выражена тревожность (Капица и др., 2020). Индекс тревожности у крыс ГГцF2 группы был почти в два раза ниже показателя контрольной группы (р < 0.05, t-тест), что указывает на повышение тревожности у животных (табл. 3).
Таблица 3. Горизонтальная двигательная активность и индекс тревожности в тесте “открытое поле” в группах контроль и ГГцF2
Table 3. Horizontal motor activity and anxiety index in the “open field” test in the control and HcyF2 groups
Группа  | Горизонтальная двигательная активность, квадраты  | Индекс тревожности, %  | ||
периферия  | прецентральная часть  | центр  | ||
Контроль (n = 53)  | 41.0 ± 2.8  | 6.9 ± 0.7  | 1.7 ± 0.3  | 17.69  | 
ГГцF2 (n = 60)  | 67.3 ± 2.3*  | 5.6 ± 0.6  | 0.9 ± 0.2*  | 9.25*  | 
Примечание. Данные выражены в виде M±m, где М – среднее значение, m – ошибка среднего, n – количество животных. Статистическая значимость была рассчитана с использованием t-теста, * p < 0.05 по сравнению с контрольной группой.
Note. Data are expressed as M±m, where M is the mean value, m is the error of the mean, n is the number of animals. Statistical significance was calculated using t-test, * p < 0.05 compared to the control group.
Действительно, такие показатели тревожности, как количество актов груминга (рис. 2 (д)) и болюсов дефекации (рис. 2 (е)), были достоверно выше у крысят группы ГГцF2, чем в контроле.
Исследование моторного развития
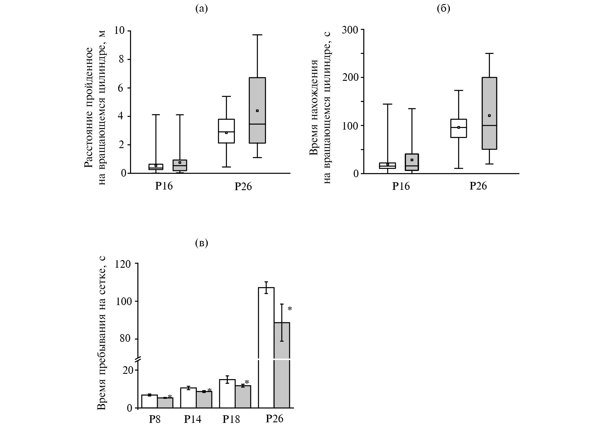
Тест “ротарод” служит для оценки моторной функции задних и передних конечностей и координации движений крысят. Достоверных различий по пройденному расстоянию и времени, проведенному на вращающемся цилиндре, между крысятами групп ГГцF2 (n = 60, р > 0.05, t-тест) и контроля не было выявлено (n = 53, рис. 3 (а, б)).
Рис. 3. Расстояние пройденное (а) и время (б) пребывания на вращающемся цилиндре в тесте “ротарод” и время пребывания на сетке в тесте “сила хвата” (в) у крыс групп контроль (белые столбики) и ГГцF2 (серые столбики) в разном возрасте. Р8, Р14, Р16, Р18, Р26 – возрастные периоды. Прямоугольник – 25–75%, квадратик внутри – среднее значение, центральная линия – медиана, “усы” – значения минимума/максимума. * р < 0.05 по сравнению с контрольной группой.
Fig. 3. Distance (a) and time (б) spent on a rotating cylinder in the “rotarod” test and time spent on the grid in the “grip strength” test (в) in rats of the сontrol (white bars) and HcyF2 (gray bars) groups at different ages. P8, P14, P16, P18, P26 – age periods. Rectangle – 25–75%, square inside – average value, central line – median, “whiskers” – minimum/maximum values. * p < 0.05 compared to the control group.
В тесте “сила хвата” в обеих группах наблюдалось возраст-зависимое увеличение времени нахождения на сетке (рис. 3 (в)). Однако время пребывания крысят группы ГГцF2 на горизонтальной сетке было достоверно ниже контрольных значений во всех анализируемых периодах (рис. 3 (в)).
Водный лабиринт Морриса
В тесте ВЛМ было выявлено снижение времени поиска платформы у обеих групп животных во время обучения (рис. 4 (а)). В группе контроля время поиска снизилось с 27.7 ± 1.3 с в первом подходе до 8.3 ± 1.5 с в шестом подходе (n = 37, р < 0.05, RM-ANOVA), а у животных ГГцF2 – с 33.9 ± 1.6 до 13.6 ± 2.3 с соответственно (n = 37, р < 0.05, RM-ANOVA, рис. 4 (а)). ANOVA выявил эффект фактора “группа” (F (1, 36) = 7.42, p < 0.05) и фактора “попытка обучения” (F(5,32) = 86.45, p < 0.05), при этом взаимодействие факторов не было статистически значимым (F (5, 32)= 1.54, p > 0.05).
Рис. 4. Оценка обучения и памяти крыс ГГцF2 в тесте “водный лабиринт Морриса”. (а) – изменение времени поиска платформы в ходе обучения в тесте “водный лабиринт Морриса” у крыс групп контроль (белые круги) и ГГцF2 (серые квадраты), (б) – примеры траекторий поиска платформы крысами групп контроль и ГГцF2, (в) – время поиска платформы через 1 и 24 ч после обучения. * p < 0.05 относительно контроля.
Fig. 4. Evaluation of learning and memory in HcyF2 rats in the Morris water maze test. (a) – changes in platform search time during training in the Morris water maze in both control (white circles) and HcyF2 (gray squares) rats, (б) – examples of the trajectories of platform search by rats from the control and HcyF2 groups, (в) – platform search time 1 and 24 hours after training. * p < 0.05 relative to control.
Пройденное животными расстояние в начале обучения составило 249.8 ± 41.8 см у ГГцF2 группы и 201.8 ± 25.7 см – у контроля и к концу обучения – 61.7 ± 13.6 см и 44.2 ± 5.3 см соответственно (n = 37, р < 0.05). Скорость плаванья не отличалась у крысят обеих групп (р > 0.05, RM-ANOVA).
Траектория плавания (рис. 4 (б)) была проанализирована вручную у 2–3 животных из помета, и были определены четыре основных типа стратегии поиска: тигмотаксис (животное проводит большую часть времени рядом со стеной), сканирование цели (сканирование области вокруг платформы), случайный поиск (животное все еще касается стены, но начинает двигаться внутрь) и сканирование (животное обыскивает более центральные области арены) (Ивлиева и др., 2016; Yakovleva et al., 2020).
Анализ стратегии поиска платформы показал, что у животных контрольной группы в первый подход наблюдались три базовых стратегии поиска платформы в равной степени всеми крысятами: тигмотаксис, случайный поиск и сканирование (у 14 из 15 анализируемых животных). У животных группы ГГцF2 в первых подходах преобладал тигмотаксис (у 12 из 15 животных), реже встречались случайный поиск и сканирование (рис. 4 (б)).
К концу обучения (5–6-й подходы) основной стратегией животных контрольной группы стал направленный поиск, который является наиболее эффективным для поиска платформы (10 животных), а также применялись стратегии сканирования (7 животных) и случайный поиск (5 животных из 15), тигмотаксис не применялся ни одним животным. В группе ГГцF2 к концу обучения основной стратегией стал также направленный поиск (9 животных), но все еще применялся тигмотаксис (6 животных), и использовалась стратегия случайного поиска (5 животных из 15).
Через 1 ч после обучения время поиска платформы в контрольной группе составило 9.5 ± 1.2 с (n = 35, р > 0.05, RM-ANOVA) и не отличалось от шестой пробы. В группе ГГцF2 время поиска платформы через час после обучения (10.9 ± 1.1 с) не отличалось ни от шестой пробы, ни относительно контрольной группы (n = 32, р > 0.05, t-тест, рис. 4 (в)).
Через 24 ч крысам из контрольной группы требовалось 14.6 ± 1.7 с (р < 0.05, RM-ANOVA относительно шестой пробы) на поиск платформы. Крысам группы ГГцF2 требовалось 17.8 ± 1.8 с (р < 0.05, RM-ANOVA относительно шестой пробы, рис. 4 (в)), что значимо больше, чем в контрольной группе животных (р < 0.05, RM-ANOVA).
Расстояние, пройденное животными ГГцF2 при поиске платформы, было больше (через 1 ч – 86.0 ± 10.7 см и через 24 ч – 162.4 ± 33.6 см, n = 15, р < 0.05, RM-ANOVA), чем в группе контроля (через 1 ч – 63.3 ± 6.2 см и через 24 ч – 92.3 ± 12.1 см). Скорость плавания ГГцF2 крысят, равная через 1 ч – 6.8 ± 0.2 см/с, через 24 ч – 7.1 ± 0.9 см/с, была выше скорости контрольных животных (6.6 ± 0.1 см/с и 6.3 ± 0.1 см/с, n = 15, р < 0.05, RM-ANOVA, соответственно).
Расположение платформы в группе ГГцF2 через 1 ч помнили лишь 48% и через 24 ч – 40% животных, что меньше, по сравнению с контрольными животными, 89% – через 1 ч (χ2 = 38.95. F < 0.05) и 78% – через 24 ч (χ2 = 29.85, F < 0.05) соответственно.
Концентрация сероводорода в тканях мозга
Ранее было показано, что воздействие гомоцистеина снижает эндогенное образование H2S (Kamat et al., 2013; Yakovleva et al., 2018). В наших экспериментах концентрация сульфидов в тканях головного мозга контрольных животных составила 120.1 ± 11.4 мкМ/г (n = 21) (рис. 5 (а)). У крыс из группы ГГцF2 концентрация сульфидов была снижена до 79.7 ± 12.0 мкМ/г (n = 21, р < 0.05, t-тест, рис. 5 (а)). Скорость продукции H2S в контроле составила 19.3 ± 2.2 мкМ/мин/г (n = 21), что больше, чем в группе ГГцF2 – 13.7 ± 2.1 мкМ/мин/г (n = 21, р < 0.05, t-тест, рис. 5 (б)).
Рис. 5. Уровень сульфидов и окислительного стресса в мозге крыс, в группах контроль и ГГцF2. Концентрация ионов HS(а), скорость продукции HS(б), уровень малонового диальдегида (МДА) (в), активность глутатиопероксидаз (ГП) (г) в мозге крыс групп контроль (белые столбцы), ГГцF2 (серые столбцы). Прямоугольник – 25–75%, квадратик внутри – среднее значение, центральная линия – медиана, “усы” – значения минимума/максимума. * р < 0.05 по сравнению с контрольной группой.
Fig. 5. Levels of sulfides and oxidative stress in the brain of rats, in control and HcyF2 groups. The concentration of HSions (a), rate of HSproduction (б), level of malondialdehyde (MDA) (в), activity of glutathione peroxidases (GPx) (г) in the brain of rats of the control group (white columns), HcyF2 (gray columns). Rectangle – 25–75%, square inside – average value, central line – median, “whiskers” – minimum/maximum values. * p < 0.05 compared to the control group.
Перекисное окисление липидов и активность глутатионпероксидаз
Оксидативный стресс считается одним из основных повреждающих факторов при ГГц (Арутюнян и др., 2010; Яковлева и др., 2021). Уровень МДА в группе ГГцF2 составил 3.76 ± 0.30 мкг/г и не отличался от контроля (3.52 ± 0.47 мкг/г, n = 21, p > 0.05, t-тест, рис. 5 (в)). Активность ГП, которые восстанавливают пероксиды, была снижена в группе ГГцF2 и составила 144.52 ± 13.21 мкг/мин/г, что значимо ниже контрольных значений 198.09 ± 4.43 мкг/мин/г (n = 21, р < 0.05, t-тест, рис. 5 (г)).
ОБСУЖДЕНИЕ РЕЗУЛЬТАТОВ
Все больше данных указывают на то, что неблагоприятные воздействия на мать (например, инфекционный, метаболический или психологический стресс) во время беременности вызывают долговременные изменения когнитивных функций потомства, сохраняющиеся и во втором поколении (Estes, McAllister, 2016; Luo et al., 2023). Риск некоторых заболеваний, таких как диабет и ожирение, эпилепсия, мигрень и шизофрения, может передаваться из поколения в поколение, что предполагает существование механизмов, с помощью которых метаболические изменения родительского фенотипа передаются потомству (Ferreira et al., 2016; Portha et al., 2019). Механизмы, лежащие в основе передачи запрограммированных эффектов из поколения в поколение, до сих пор неясны. Однако эпигенетическая регуляция транскрипции является одним из факторов, который может опосредовать наследственные метаболические заболевания (Portha et al., 2019).
Процессы метилирования ДНК и гистонов зависят от однокарбонового метаболизма и являются одними из основных эпигенетических особенностей генома млекопитающих для регуляции экспрессии генов (Friso et al., 2016). Метиониновый цикл является основным источником S-аденозил-L-метионина, использующегося ферментами ДНК-метилтрансферазами (DNA methyltransferases, DNMTs) для метилирования ДНК (Friso et al., 2016; Madrid et al., 2023). Поэтому нарушения метаболизма метионина могут приводить к изменениям эпигенетического контроля экспрессии генов, опосредованным метилированием ДНК, модификациями гистонов и некодирующей РНК, что лежит в основе ряда заболеваний человека (Madrid et al., 2023). Снижение общего метилирования ДНК в развивающемся мозге влияет на созревание и выживание нейронов, вызывает преждевременную астроглиальную дифференцировку (Hutnick, 2009), угнетает синтез нейромедиаторов (Schatz, 1981), изменяет состав и текучесть мембран клеток (Perla-Kajan, Jakubowski, 2019). Так, ГГц самок мышей, вызванная диетой с дефицитом фолиевой кислоты, приводила к снижению активности системы эксцизионной репарации оснований в головном мозге взрослого потомства, что сопровождалось нейродегенерацией за счет увеличения чувствительности ДНК к окислительному повреждению (Langie et al., 2013). С другой стороны, прием фолиевой кислоты у мышей с травмой спинного мозга приводил к существенной модуляции экспрессии генов и метилирования ДНК, которые способствовали образованию фенотипа с улучшенной регенерацией аксонов (Madrid et al., 2023).
Помимо модификаций ДНК, гомоцистеин изменяет экспрессию ферментов, модифицирующих гистоны. Аналогичные эффекты проявляют метаболиты гомоцистеина: гомоцистеин-тиолактон, N-гомоцистеин-белки, S-гомоцистеин-белки и низкомолекулярные дисульфиды гомоцистеина. Именно гомоцистеин-тиолактон индуцирует эпигенетические механизмы, включающие модификацию гистонов, способствующие эндотелиальной дисфункции, а посттрансляционная модификация остатков лизина гистонов является новым эпигенетическим механизмом, ответственным за дефекты нервной трубки (Perla-Kajan, Jakubowski, 2019).
В моделях пренатальной ГГц, вызванной диетой с повышенным содержанием метионина, показаны многочисленные нарушения развития потомства: отставание в развитии, снижение массы тела и количества крысят в помете при рождении, высокая смертность в неонатальном периоде, а также нарушения когнитивных функций и моторного контроля в позднем постнатальном периоде (Gerasimova et al., 2017; Shcherbitskaya et al., 2017; Yakovleva et al., 2018). Однако сохраняются ли подобные изменения во втором поколении животных, не было изучено.
В нашей работе у животных второго поколения смертность и количество крысят в помете соответствовали контрольным значениям, но показатели массы тела оставались сниженными. Анализ скорости созревания сенсомоторных рефлексов не выявил значительных нарушений в скорости созревания нервной системы у второго поколения крысят. Однако такие сенсомоторные рефлексы, как “реакция на акустический стимул”, “избегание обрыва, вызванное визуальным стимулом”, “обонятельная реакция” и “переворачивание в свободном падении”, формировались значительно позже контрольной группы.
Известно, что BDNF является одним из факторов нейрогенеза и выживания нервных клеток на ранних стадиях развития, синаптогенеза, а его экспрессия регулируется эпигенетическими механизмами, такими как модификация гистонов и метилирование ДНК (Karpova, 2014). Можно предположить, что нарушение регуляции экспрессии BDNF при ГГц является одним из факторов выявленного нами отставания в созревании некоторых сенсомоторных рефлексов (Karpova, 2014; Irwin et al., 2016; Арутюнян и др., 2023).
Первое поколение животных, рожденных от самок с ГГц, характеризуется повышением уровня тревожности (Shcherbitskaya et al., 2017, Yakovleva et al., 2020), что может быть связано со снижением S-аденозилметионин (SAM)-зависимого синтеза катехоламинов, происходящего из-за избытка гомоцистеина (Милютина, 2014; Bhatia, Singh, 2015; Kumar et al., 2017; Shcherbitskaya et al., 2017). Анализ поведения потомства второго поколения крыс с ГГц в тесте “открытое поле” показал сохранение повышенной тревожности у крысят, также как у первого поколения.
У развивающихся животных с пренатальной ГГц были нарушены двигательные и когнитивные функции (Shcherbitskaya et al., 2017; Yakovleva et al., 2018; Yakovleva et al., 2019; Yakovleva et al., 2020). Сходным образом у крысят ГГцF2 на 8 день жизни наблюдалось снижение числа поднятий головы, исследованных норок, горизонтальной и вертикальной активности и поворотов туловища в маятниковом рефлексе, а также отставание в развитии рефлекса, связанного с координацией движений – переворота в падении, однако к 16 дню жизни двигательная активность у ГГцF2 крысят соответствовала контрольным значениям в тестах “открытое поле” и “ротарод”, но не в тесте “сила хвата”.
Дефицит кратковременной и долговременной памяти был выявлен у крыс с преи постнатальной ГГц во многих исследованиях (Streck et al., 2004; Kumar et al., 2017; Shcherbitskaya et al., 2017; Yakovleva et al., 2020). Эти изменения сохранялись и у животных второго поколения, которые в период обучения не улучшили стратегию поиска платформы и поэтому тратили больше времени на ее поиск, что указывает на снижение способности к пространственному обучению. В группе крыс ГГцF2 мы не наблюдали достоверных отличий при тестировании кратковременной памяти, но они тратили больше времени на поиск платформы через 24 ч после обучения. Такие нарушения могут быть связаны со снижением моноаминергической передачи в гиппокампе (Kumar et al., 2017; Shcherbitskaya et al., 2017) и патологиями механизмов долговременной пластичности (Kurmashova et al., 2020; Postnikova et al., 2023; Yakovlev et al., 2023).
Считается, что окислительный стресс и воспаление играют ключевую роль в нейротоксичности, вызванной гомоцистеином (Machado et al., 2011; Yakovleva et al., 2018; Elsherbiny et al., 2020; Yakovleva et al., 2020; Яковлев и др., 2022). Нами было показано, что у крыс ГГцF2, в отличие от первого поколения, не наблюдалось усиления перекисного окисления липидов – маркера оксидативного стресса, но снижалась активность глутатионпероксидаз.
Каковы возможные механизмы обнаруженных патологий у второго поколения, родившихся от самок с моделированием ГГц во время беременности? В литературе рассматриваются два неменделевских механизма передачи признаков. Во-первых, это митохондриальные дисфункции, передающиеся только через яйцеклетку (Friso et al., 2016; Арутюнян и др., 2023), которые могут затрагивать ДНК митохондрий и работу их ферментов (Kumar, Sandhir, 2019). Это один из механизмов, который может вызывать окислительный стресс у потомства. Во-вторых, это регуляция ДНК зародыша путем метилирования гистонов, ДНК, микроРНК (Friso et al., 2016; Liu et al., 2020). В этом механизме активно задействован фолатный цикл, недостаточность которого ведет к патологиям развития половых клеток плода, приводящим к нарушениям клеточного метаболизма следующих поколений. Оба механизма могут лежать в основе нарушений у крыс ГГцF2, никогда не получавших высокие дозы метионина.
Кроме того, не исключено и негативное влияние дефицита H2S на состояние генома (Toohey, 2017). Сероводород является нейропротекторной молекулой, обладающей антиоксидантным и противовоспалительным действием, синтез которой угнетался в условиях ГГц, а экзогенное введение доноров H2S предотвращало развитие окислительного стресса в мозге и когнитивные дисфункции (Kamat et al., 2013; Kamat et al., 2016; Yakovleva et al., 2018; Yakovleva et al., 2020). В тканях мозга крыс ГГцF2 сохранялась сниженная концентрация сульфидов и продукция H2S. Недавно было показано, что H2S может модулировать контрольные точки клеточного цикла, синтез, повреждение и репарацию ДНК, а также экспрессию белков, участвующих в поддержании стабильности генома (Takeuchi et al., 2008; Li, Yang, 2015; Chen et al., 2019; Shackelford et al., 2021).
ВЫВОДЫ
Таким образом, у потомства самок с пренатальной ГГц, находящихся во время беременности и вскармливания крысят на стандартном рационе питания, наблюдались нарушения сенсомоторного развития, когнитивные дисфункции, снижение силы мышц без изменения двигательной координации.
Кроме того, была снижена активность глутатионпероксидазы и уровень H2S в ткани, что является факторами окислительного стресса. Поэтому необходимы дальнейшие исследования механизмов действия ГГц, а контроль уровня гомоцистеина является одной из превентивных стратегий для предотвращения связанных с ним патологий.
ФИНАНСИРОВАНИЕ
Исследование выполнено за счет гранта Российского научного фонда № 20-15-00100.
About the authors
O. V. Yakovleva
IFM&B, Kazan (Volga Region) Federal University
							Author for correspondence.
							Email: a-olay@yandex.ru
				                					                																			                								
Department of Human and Animal Physiology
Russian Federation, KazanV. V. Skripnikova
IFM&B, Kazan (Volga Region) Federal University
														Email: a-olay@yandex.ru
				                					                																			                								
Department of Human and Animal Physiology
Russian Federation, KazanA. V. Yakovlev
IFM&B, Kazan (Volga Region) Federal University
														Email: a-olay@yandex.ru
				                					                																			                								
Department of Human and Animal Physiology
Russian Federation, KazanG. F. Sitdikova
IFM&B, Kazan (Volga Region) Federal University
														Email: a-olay@yandex.ru
				                					                																			                								
Department of Human and Animal Physiology
Russian Federation, KazanReferences
- Арутюнян А.В., Козина Л.С., Арутюнян В.А. Токсическое влияние пренатальной гипергомоцистеинемии на потомство. Ж. акуш. и жен. болезн. 2010. 59 (4): 16–20.
 - Арутюнян А.В., Керкешко Г.О., Милютина Ю.П., Щербицкая А.Д., Залозняя И.В. Пренатальный стресс при материнской гипергомоцистеинемии: нарушения развития нервной системы плода и функционального состояния плаценты. Биохимия. 2021. 86 (6): 871–884.
 - Арутюнян А.В., Милютина Ю.П., Щербицкая А.Д., Керкешко Г.О., Залозняя И.В. Эпигенетические механизмы воздействия пренатальной гипергомоцистеинемии на функциональное состояние плаценты и пластичность нервной системы потомства. Биохимия. 2023. 88 (4): 531–557.
 - Ивлиева А.Л., Петрицкая Е.Н., Рогаткин Д.А., Демин В.А. Методические особенности применения водного лабиринта Морриса для оценки когнитивных функций у животных. Рос. физиол. журн. им. И.М. Сеченова. 2016. 102 (1): 3–17.
 - Капица И.Г., Иванова Е.А., Воронина Т.А. Половые особенности поведения крыс с фетальным вальпроатным синдромом. Вестник Московского университета. Серия 16. Биология. 2020. 75(2): 107–114.
 - Милютина Ю.П., Арутюнян А.В., Пустыгина А.В., Щербицкая А.Д., Залозняя И.В., Зорина И.И. Содержание катехоламинов в надпочечниках крысят, перенесших пренатальную гипергомоцистеинемию. Российский физиологический журнал им. И.М. Сеченова. 2014. 100: 360–369.
 - Яковлев А.В., Дмитриева С.А., Краснова А.Н., Яковлева О.В., Ситдикова Г.Ф. Уровень карбонилирования белков и активность протеаз в мозге новорожденных крыс с пренатальной гипергомоцистеинемией. Нейрохимия. 2022. 39 (3): 243–250.
 - Яковлева О.В., Богатова К.С., Скрипникова В.В., Ситдикова Г.Ф. Влияние умеренного хронического стресса самок крыс до и во время беременности на сенсомоторное развитие, уровень тревожности и когнитивные функции потомства. Журн. высш. нерв. деят. им. И.П.Павлова. 2021. 71 (3): 414–428.
 - Arutjunyan A.V., Milyutina Y.P., Shcherbitskaia A.D., Kerkeshko G.O., Zalozniaia I.V., Mikhel A.V. Neurotrophins of the fetal brain and placenta in prenatal hyperhomocysteinemia. Biochemistry (Mosc.). 2020. 85 (2): 248–259.
 - Bhatia P., Singh N. Homocysteine excess: delineating the possible mechanism of neurotoxicity and depression. Fundam. Clin. Pharmacol. 2015. 29 (6): 522–528.
 - Blaise S.A., Nedelec E., Schroeder H., Alberto J.M., Bossenmeyer-Pourie C., Gueant J.L., Daval J.L. Gestational vitamin B deficiency leads to homocysteine-associated brain apoptosis and alters neurobehavioral development in rats. Am. J. Pathol. 2007. 170 (2): 667–679.
 - Chaudhry S., Taljaard M., MacFarlane A., Gaudet L., Smith G., Rodger M. et al. The role of maternal homocysteine concentration in placenta-mediated complications: findings from the Ottawa and Kingston birth cohort. BMC Pregnancy Childbirth. 2019. 19 (1): 1–10.
 - Chen J., Shen X., Pardue S., Meram A.T., Rajendran S., Ghali G.E. et al. The ataxia telangiectasia-mutated and rad3-related protein kinase regulates cellular hydrogen sulfide concentrations. DNA Repair. 2019. 73: 55–63.
 - Dong E., Guidotti A., Grayson D.R., Costa E. Histone hyperacetylation induces demethylation of reelin and 67-kDa glutamic acid decarboxylase promoters. Proc. Natl. Acad. Sci. USA. 2007. 104: 4676–4681. https://doi.org/10.1073/pnas.0700529104.
 - Estes M.L., McAllister A.K. Maternal immune activation: implications for neuropsychiatric disorders. Science. 2016. 353 (6301): 772–777.
 - Elsherbiny N.M., Sharma I., Kira D., Alhusban S., Samra Y.A., Jadeja R. et al. Homocysteine Induces Inflammation in Retina and Brain. Biomolecules. 2020. 10 (3): 393. https://doi.org/10.3390/biom10030393
 - Ferreira D.S., Liu Y., Fernandes M.P., Lagranha C.J. Perinatal low-protein diet alters brainstem antioxidant metabolism in adult offspring. Nutr. Neurosci. 2016. 19 (8): 369–375.
 - Friso S., Udali S., Santis D.D., Choi S.W. One-carbon metabolism and epigenetics. Mol. Aspects. Med. 2016. 54: 28–36.
 - Fu Y., Wang X., Kong W. Hyperhomocysteinaemia and vascular injury: advances in mechanisms and drug targets. Br. J. Pharmacol. 2018. 175 (8): 1173–1189.
 - Geoffroy A., Saber-Cherif L., Pourie G., Helle D., Umoret R., Gueant J.L. et al. Developmental impairments in a rat model of methyl donor deficiency: effects of a late maternal supplementation with folic acid. Int. J. Mol. Sci., 2019. 20 (4): 1–14.
 - Gerasimova Е., Yakovleva O., Burkhanova G., Ziyatdinova G., Khaertdinov N., Sitdikova G. Effects of maternal hyperhomocysteinemia on the early physical development and neurobehavioral maturation of rat offspring. BioNanoScience. 2017. 7 (1): 155–158.
 - Gerasimova E., Yakovleva O., Enikeev D., Bogatova K, Hermann A, Giniatullin R., Sitdikova G. Hyperhomocysteinemia increases cortical excitability and aggravates mechanical hyperalgesia and anxiety in a nitroglycerine-induced migraine model in rats. Biomolecules. 2022. 12 (5): 735.
 - Hutnick L.K., Golshani P., Namihira M., Xue Z., Matynia A., Yang X.W. et al. DNA hypomethylation restricted to the murine forebrain induces cortical degeneration and impairs postnatal neuronal maturation. Hum. Mol. Genet. 2009. 18: 2875–2888. https://doi.org/10.1093/hmg/ddp222.
 - Jakubowski H. Homocysteine modification in protein structure/function and human disease. Physiol. Rev. 2019. 99 (1): 555–604.
 - Kalani A., Kamat P.K., Familtseva A., Chaturvedi P., Muradashvili N., Narayanan N. et al. Role of microRNA29b in blood-brain barrier dysfunction during hyperhomocysteinemia: an epigenetic mechanism. J. Cereb. Blood Flow Metab. 2014. 34 (7): 1212–1222.
 - Kalhan S.C. One carbon metabolism in pregnancy: impact on maternal, fetal and neonatal health. Mol. Cell. Endocrinol. 2016. 435: 48–60.
 - Kamat P.K., Kalani A., Givvimani S., Sathnur P.B., Tyagi S.C., Tyagi N. Hydrogen sulfide attenuates neurodegeneration and neurovascular dysfunction induced by intra cerebral administered homocysteine in mice. Neuroscience. 2013. 252: 302–319.
 - Kamat P.K., Kyles P., Kalani A., Tyagi N. Hydrogen sulfide ameliorates homocysteine-induced Alzheimer’s diseaselike pathology, blood–brain barrier disruption, and synaptic disorder. Mol. Neurobiol. 2016. 53 (4): 2451–2467.
 - Karl T., Pabst R., von Horsten S. Behavioral phenotyping of mice in pharmacological and toxicological research. Exp. Toxicol. Pathol. 2003. 55 (1): 69–83.
 - Kiss P., Vadasz G., Kiss-Illes B., Horvath G., Tamas A., Reglodi D., Koppan M. Environmental enrichment decreases asphyxia induced neurobehavioral developmental delay in neonatal rats. Int. J. Mol. Sci. 2013. 14 (11): 22258– 22273.
 - Koz T., Gouwy N.T., Demir N., Nedzvetsky V.S., Etem E., Baydas G. Effects of maternal hyperhomocysteinemia induced by methionine intake on oxidative stress and apoptosis in pup rat brain. Int. J. Dev. Neurosci. 2010. 28 (4): 325–329.
 - Kraeuter A.K., Guest P.C., Sarnyai Z. The open field test for measuring locomotor activity and anxiety-like behavior. Methods Mol. Biol. 2019. 1916: 99–103.
 - Kumar M., Modi M., Sandhir R. Hydrogen sulfide attenuates homocysteine-induced cognitive deficits and neuro chemical alterations by improving endogenous hydrogen sulfide levels. Biofactors. 2017. 43 (3): 434–450.
 - Kumar M., Sandhir R. Hydrogen sulfide attenuates hyperhomocysteinemia-induced mitochondrial dysfunctions in brain. Mitochondrion. 2019. 50: 158–169.
 - Kurmashova E.D., Gataulina E.D., Zefirov A.L., Sitdikova G.F., Yakovlev A.V. Effects of homocysteine and its derivatives on spontaneous network activity in the hippocampus of neonatal rat pups. Neurosci. Behav. Physiol. 2020. 50: 907–913.
 - Langie S.A., Achterfeldt S., Gorniak J.P., Halley-Hogg K.J., Oxley D., van Schooten F.J. et al. Maternal folate depletion and high-fat feeding from weaning affects DNA methylation and DNA repair in brain of adult offspring. FASEB J. 2013. 27 (8): 3323–3334.
 - Li J.G., Barrero C., Gupta S., Kruger W. D., Merali S., Pratico D. Homocysteine modulates 5-lipoxygenase expression level via DNA methylation. Aging Cell. 2017. 16 (2): 273–280.
 - Li W., Li Z., Zhou D., Zhang X., Yan J., Huang G. Maternal folic acid deficiency stimulates neural cell apoptosis via miR-34a associated with Bcl-2 in the rat fetal brain. Int J Dev Neurosci. 2019. 72: 6–12. https://doi.org/10.1016/j.ijdevneu.2018.11.002
 - Liu H.Y., Liu S.M., Zhang Y.Z. Maternal folic acid supplementation mediates offspring health via DNA methylation. Reprod. Sci. 2020. 27 (4): 963–976.
 - Luo B.L., Zhang Z.Z., Chen J., Liu X., Zhang Y.M., Yang Q.G., Chen G.H. Effects of gestational inflammation on age-related cognitive decline and hippocampal GdnfGFRα1 levels in F1 and F2 generations of CD-1 Mice. BMC Neurosci. 2023. 24 (1): 26.
 - Machado F.R., Ferreira A.G.K., da Cunha A.A., Tagliari B., Mussulini B.H.M., Wofchuk S., Wise A.T.S. Homocysteine alters glutamate uptake and Na+, K+-ATPase activity and oxidative status in rats hippocampus: Protection by vitamin C. Metab. Brain Dis. 2011. 26 (1): 61–67.
 - Madrid A., Alisch R.S., Rizk E., Papale L.A., Hogan K.J., Iskandar B.J. Transgenerational epigenetic inheritance of axonal regeneration after spinal cord injury. Environ. Epigenet. 2023. 9 (1): 1–7.
 - Molloy A.M., Mills J.L., McPartlin J., Kirke P.N., Scott J.M., Daly S. Maternal and fetal plasma homocysteine concentrations at birth: the influence of folate, vitamin B12, and the 5,10-methylenetetrahydrofolate reductase 677C-T variant. Am. J. Obstet. Gynecol. 2002. 186 (3): 499–503.
 - Moretti R., Caruso P. The controversial role of homocysteine in neurology: from labs to clinical practice. Int. J. Mol. Sci. 2019. 20 (1): 231.
 - Moustafa A.A., Hewedi D.H., Eissa A.M., Frydecka D., Misiak B. Homocysteine levels in schizophrenia and affective disorders-focus on cognition. Front. Behav. Neurosci. 2014. 8: 343.
 - Ohkawa H., Ohishi N., Yagi K. Assay for lipid peroxides in animal tissues by thiobarbituric acid reaction. Anal. Biochem. 1979. 95 (2): 351–358.
 - Perla-Kajan J., Jakubowski H. Dysregulation of epigenetic mechanisms of gene expression in the pathologies of hyperhomocysteinemia. Int. J. Mol. Sci. 2019. 20 (13): 3140.
 - Petras M., Tatarkova Z., Kovalska M., Mokra D., Dobrota D., Lehotsky J., Drgova A. Hyperhomocysteinemia as a risk factor for the neuronal system disorders. J. Physiol. Pharmacol. 2014. 65 (1): 15–23.
 - Pogribny I.P., Karpf A.R., James S.R., Melnyk S., Han T., Tryndyak V.P. Epigenetic alterations in the brains of Fisher 344 rats induced by long-term administration of folate/methyl-deficient diet. Brain Res. 2008. 1237: 25–34.
 - Portha B., Grandjean V., Movassat J. Mother or Father: who is in the front line? Mechanisms underlying the nongenomic transmission of obesity/diabetes via the maternal or the paternal line. Nutrients. 2019. 11 (2): 233.
 - Postnikova T.Y., Amakhin D.V., Trofimova A.M., Tumanova N.L., Dubrovskaya N.M., Kalinina D.S. et al. Maternal hyperhomocysteinemia produces memory deficits associated with impairment of long-term synaptic plasticity in young rats. Cells. 2023. 12 (1): 58.
 - Pustygina A.V., Milyutina Y.P., Zaloznyaya I.V., Arutyunyan A.V. Indices of oxidative stress in the brain of newborn rat subjected to prenatal hyperhomocysteinemia. Neurochem. J. 2015. 9: 60–65.
 - Razygraev V., Yushina A.D., Titovich I.A. A method of measuring glutathione peroxidase activity in murine brain: application in pharmacological experiment. Bull. Exper. Biol. Med. 2018. 165 (4): 589–592.
 - Schatz R.A., Wilens T.E., Sellinger O.Z. Decreased transmethylation of biogenic amines after in vivo elevation of brain S-adenosyl-l-homocysteine. J. Neurochem. 1981. 36: 1739–1748. https://doi.org/10.1111/j.1471-4159.1981.tb00426.x.
 - Scholz J., Niibori Y., Frankland P., Lerch J. Rotarod training in mice is associated with changes in brain structure observable with multimodal MRI. Neuroimage. 2015. 107: 182–189.
 - Seshadri S., Beiser A., Selhub J., Jacques P.F., Rosenberg I.H., D’Agostino R.B. et al. Plasma homocysteine as a risk factor for dementia and Alzheimer’s disease. N. Engl. J. Med. 2002. 346 (7): 476–483.
 - Shackelford R., Ozluk E., Islam M.Z., Hopper B., Meram A., Ghali G., Kevil C.G. Hydrogen sulfide and DNA repair. Redox. Biol. 2021. 38: 101675.
 - Shcherbitskaya A.D., Milyutina Y.P., Zaloznyaya I.V., Arutjunyan A.V., Nalivaeva N.N., Zhuravin I.A. The effects of prenatal hyperhomocysteinemia on the formation of memory and the contents of biogenic amines in the rat hippocampus. Neurochem. J. 2017. 11: 296–301.
 - Streck E.L., Bavaresco C.S., Netto C.A., Wyse A.T. Chronic hyperhomocysteinemia provoked a memory deficit in rats in the Morris water task. Behave. Brain. Res. 2004. 153 (2): 377–381.
 - Takeuchi H., Setoguchi T., Machigashira M., Kanbara K., Izumi Y. Hydrogen sulfide inhibits cell proliferation and induces cell cycle arrest via an elevated p21 Cip1 level in Ca9-22 cells. J. Periodontal. Res. 2008. 43 (1): 90–95.
 - Toohey J.I. Possible Involvement of Hydrosulfide in B12-Dependent Methyl Group Transfer. Molecules. 2017. 22 (4): 582. https://doi.org/10.3390/molecules22040582.
 - Tothova B., Kovalska M., Kalenska D., Tomascova A., Lehotsky J. Histone Hyperacetylation as a Response to Global Brain Ischemia Associated with Hyperhomocysteinemia in Rats. Int. J. Mol. Sci. 2018. 19. https://doi.org/10.3390/ijms19103147
 - Tremolizzo L., Doueiri M.S., Dong E., Grayson D.R., Davis J., Pinna G. et al. Valproate corrects the schizophrenia-like epigenetic behavioral modifications induced by methionine in mice. Biol. Psychiatry. 2005. 57: 500–509. https://doi.org/10.1016/j.biopsych.2004.11.046.
 - Wald D.S., Law M., Morris J.K. Homocysteine and cardiovascular disease: Evidence on causality from a metaanalysis. BMJ. 2002. 325 (7374): 1202.
 - Weydt P., Hong S.Y., Kliot M., Moller T. Assessing disease onset and progression in the SOD1 mouse model of ALS. Neuroreport. 2003. 14 (7): 1051–1054.
 - Yakovlev A.V., Kurmashova E., Gataulina E., Gerasimova E., Khalilov I., Sitdikova G.F. Maternal hyperhomocysteinemia increases seizures susceptibility of neonatal rats. Life Sci. 2023. 329: 121953.
 - Yakovlev A.V., Kurmashova E., Zakharov A., Sitdikova G.F. Network-driven activity and neuronal excitability in hippocampus of neonatal rats with prenatal hyperhomocysteinemia. BioNanoScience. 2018. 8 (1): 304–309.
 - Yakovleva O., Bogatova K., Mukhtarova R., Yakovlev A., Shakhmatova V., Gerasimova E. et al. Hydrogen sulfide alleviates anxiety, motor, and cognitive dysfunctions in rats with maternal hyperhomocysteinemia via mitigation of oxidative stress. Biomolecules. 2020. 10 (7): 995.
 - Yakovleva O.V., Ziganshina A.R., Dmitrieva S.A., Arslanova A.N., Yakovlev A.V., Minibayeva F.V. et al. Hydrogen sulfide ameliorates developmental impairments of rat offspring with prenatal hyperhomocysteinemia. Oxid. Med. Cell. Longev. 2018. 2018: 1–13.
 - Yakovleva O.V., Ziganshina A.R., Gerasimova E.V., Arslanova A.N., Yarmiev I.Z., Zefirov A.L., Sitdikova G.F. The effect of B Vitamins on the early development of rat pups with prenatal hyperhomocysteinemia. Rus. J. Physiol. 2019. 105 (10): 1247–1261.
 - Yusuf M., Huat B.T.K., Hsu A., Whiteman M., Bhatia M., Moore P.K. Streptozocin-induced diabetes in the rat is associated with enhanced tissue hydrogen sulphide biosynthesis. Biochem. Biophys. 2005. 333: 1146–1152.
 
Supplementary files
				
			
					
						
						
						
						
				






