The effect of overcrowding on anxiety and conditioned fear in rats
- Authors: Pavlova I.V.1, Broshevitskaya N.D.2
 - 
							Affiliations: 
							
- Institute of Higher Nervous Activity and Neurophysiology
 - Institute of Higher Nervous Activity and Neurophysiology, RAS
 
 - Issue: Vol 74, No 3 (2024)
 - Pages: 353-368
 - Section: ФИЗИОЛОГИЧЕСКИЕ МЕХАНИЗМЫ ПОВЕДЕНИЯ ЖИВОТНЫХ: ВОСПРИЯТИЕ ВНЕШНИХ СТИМУЛОВ, ДВИГАТЕЛЬНАЯ АКТИВНОСТЬ, ОБУЧЕНИЕ И ПАМЯТЬ
 - URL: https://journal-vniispk.ru/0044-4677/article/view/267294
 - DOI: https://doi.org/10.31857/S0044467724030085
 - ID: 267294
 
Cite item
Full Text
Abstract
The effect of prolonged housing (from the 30th to the 150th postnatal day) in increased crowding (15–17 rats in a standard cage measuring 31 × 52 × 20 sm, 106–120 sm2 per rat) on anxiety behavior, as well as the acquisition and extinction of the conditioned fear in adult animals was studied. In half of the rats in early ontogenesis, activation of the immune system was induced by the administration of bacterial lipopolysaccharide on the 3rd and 5th postnatal days at a dose of 50 mcg/kg (LPS group). The other half of the rats were injected with saline solution (SAL group). Starting from the 90th day, the rats were tested in an open field, an elevated plus maze, and conditioned fear to sound was developed. Both males and females participated in the experiments. Testing revealed that the level of anxiety didn’t increase, but the locomotor activity decreased and displacement activity (grooming) increased in both males and females under the influence of crowding. During fear conditioning, all males kept in crowded conditions had a shorter freezing time compared to the control. However, only in males of the LPS group, the memory of the signal was disturbed under the influence of crowding, the differentiation of the context and the signal suffered, the extinction of the freezing reaction passed faster. Thus, males compared to females were more susceptible to the negative impact of crowding. Experienced early proinflammatory stress in the LPS group aggravated the effect of crowding.
Keywords
Full Text
В литературе в качестве одного из широко распространенных психосоциальных стрессов рассматривается перенаселенность, или скученность, которая оказывает негативное воздействие как на людей, так и на животных (Лосева, 2021). Разработана экспериментальная модель перенаселенности на грызунах в условиях вивария – содержание в условиях повышенной скученности в клетках стандартного объема, рассчитанных на 4–6 животных. Описано несколько протоколов исследования скученности, при этом варьируют длительность, возраст начала воздействия, число крыс в клетке. В ряде работ помещение животных в скученные условия на 1–14 дней осуществляли во взрослом возрасте после месяца жизни в комфортных условиях (Лосева, 2021; Knyazeva et al., 2012; Botelho et al., 2007), такой протокол считается наиболее стрессогенным для крыс. В других работах животных помещали в скученные условия в раннем онтогенезе и на более длительный срок (Daniels et al., 2000; Гаврилов с соавт. 2021) или в зрелом возрасте в 10–14 месяцев (Bubna-Littitz et al., 1981). В специальных исследованиях изучалась зависимость эффектов от содержания в клетке разного числа крыс, в стандартную клетку помещали 8, 10, 12, 16, 24, 32 животных (Goekner et al., 1973; Botelho et al., 2007). Было установлено, что негативный эффект скученности наблюдался, когда в клетке было не менее 16 крыс.
В большинстве работ было показано, что содержание в условиях повышенной скученности может вызывать повышение уровня тревожности у крыс и мышей (Botelho et al., 2007; Daniels et al., 2000; Moiseeva et al., 2009; Князева с соавт., 2012; Лосева, 2021; Lin et al., 2015; Delaroque et al., 2021). В некоторых работах наблюдали увеличение депрессивно-подобного поведения у крыс после 14-дневного содержания в скученных условиях (Лосева с соавт., 2015), в других работах такие изменения отсутствовали после 9 недель проживания мышей в этих условиях (Lin et al., 2015).
Влияние повышенной скученности на обучение и память изучали в сравнительно меньшем числе работ. В простых заданиях с односторонним активным избеганием или тормозным избеганием (спуск с платформы) не было обнаружено нарушения в обучении у “скученных” (содержавшихся в условиях скученности) крыс (Goekner et al., 1973). Нарушений в обучении и памяти не наблюдали также при выработке избегания определенного рукава в приподнятом крестообразном лабиринте у самок крыс, проживавших в скученных условиях (Nascimento et al., 2019). Скученность не влияла на выработку пищедобывательного инструментального рефлекса как при индивидуальном, так и при кооперативном обучении (Гаврилов с соавт. 2021). Однако в более сложных задачах – с выбором и дискриминантным избеганием в Y-лабиринте – наблюдали ухудшение обучения (Goekner et al., 1973). Крысы, содержавшиеся в скученных условиях по 32 штуки в клетке, вырабатывали двухстороннее избегание в челночной камере, но более медленно, чем контрольные животные (Goekner et al., 1974). У “скученных” крыс наблюдали ухудшение пространственной памяти в водном лабиринте Морриса (Diaz-Burke et al., 2010). В некоторых работах обнаружили, наоборот, улучшение обучения и памяти под влиянием скученности у крыс в возрасте с 10 до 12 мес в Т-образном лабиринте с семью точками выбора (Bubna-Littitz et al., 1981). Следует признать, что влияние скученности на обучение исследовано недостаточно полно, данные по ряду моделей, например по выработке условно-рефлекторного страха (fear conditioning), отсутствуют. Неизвестно, как влияет скученность на выработку внутреннего торможения, например на угашение рефлексов.
В большинстве работ при изучении скученности использовали только самцов, как скажется скученность на поведении самок – было неизвестно. Ранее при анализе уровня кортикостерона было обнаружено его повышение при содержании в скученных условиях у самцов, но не у самок, у которых он снижался по сравнению с условиями социальной изоляции (Brown, Grunberg, 1995). Авторы считали, что самки, в отличие от самцов, успокаивались при скученности. Кроме того, при другом виде социального стресса, при социальной изоляции, были обнаружены половые различия, самки показали большую чувствительность к стрессу по сравнению с самцами (Krupina et al., 2020; Павлова с соавт., 2021a, б).
Известно, что пережитый ранний провоспалительный стресс делает крыс более уязвимыми к стрессирующим воздействиям во взрослом возрасте (Павлова с соавт., 2021б; Walker et al., 2009). Активация иммунитета в раннем онтогенезе с помощью введения бактериального липополисахарида (ЛПС) на 3-й и 5-й день жизни приводила к более выраженным негативным последствиям от стресса социальной изоляции, чем у контрольных крыс, получавших физиологический раствор (Павлова с соавт., 2021 а, б). Как скажется влияние скученности на крыс, переживших ранний провоспалительный стресс, было неизвестно.
Целью нашей работы был анализ влияния содержания в условиях повышенной скученности на уровень тревожности, а также на выработку и угашение условно-рефлекторного страха у крыс в норме и после раннего провоспалительного стресса. Для достижения поставленной цели у половины крысят в раннем онтогенезе проводили активацию иммунной системы с помощью введения бактериального липополисахарида (ЛПС), другая половина крысят получала физиологический раствор (контроль). Необходимо было проанализировать поведение крыс в тестах на тревожность (в “открытом поле” и приподнятом крестообразном лабиринте), а также провести выработку, тестирование и угашение условно-рефлекторного страха на звук, проявляющегося в виде замирания. На всех этапах исследования предполагали сопоставить поведение самцов и самок.
МЕТОДИКА
- Животные. В экспериментах использовали 122 крысы Вистар (64 самца и 58 самок) в возрасте с 3-го по 150-й постнатальный день (ПНД). Крысята были выведены в виварии ИВНД и НФ от родителей, полученных из филиала “Столбовая” ФГБУН НЦБМТ ФМБА, Россия. С целью вызвать ранний провоспалительный стресс на 3-й и 5-й ПНД одной половине крысят из пометов делали инъекцию бактериального липополисахарида подкожно в холку в дозе 50 мкг/кг в объеме 10 мкл на 1 г веса (группа ЛПС). Другой половине крысят из пометов в этом возрасте вводили физиологический раствор в том же объеме (группа ФИЗ). На 25-й ПНД крысят отсаживали от матери, и в дальнейшем животных содержали в виварии при обычном 12-часовом световом режиме в свободном доступе к воде и стандартному корму. В экспериментах соблюдали принципы гуманности, изложенные в директивах Европейского Сообщества (2010/63/ЕU), и положения ИВНД и НФ РАН о работе с экспериментальными животными.
 - Условия содержания. На 30-й ПНД крысят помещали в различные условия содержания, в которых они находились до окончания экспериментов. Часть крыс (32 самца и 33 самки) содержали в стандартных условиях по 5 особей в клетках размером 52 × 31 × 20 см (360 см2 на крысу, группа СТАНД), другая часть (32 самца и 25 самок) проживала в условиях повышенной скученности по 15–17 особей в клетках такого же размера (106–120 см2 на крысу, группа СКУЧ). При недостаточном количестве экспериментальных животных из группы ФИЗ или ЛПС для создания условий повышенной скученности в возрасте 30 дней в клетку подсаживали интактных крыс такого же возраста. Животные, содержавшиеся в условиях повышенной скученности, не испытывали недостатка в корме и воде, смену опилок в клетке проводили каждый день. В зависимости от условий содержания, пола и вещества, вводимого в раннем онтогенезе, было сформировано 8 групп крыс: самцы ФИЗ+СТАНД (15 крыс), самцы ФИЗ+СКУЧ (15 крыс), самцы ЛПС+СТАНД (17 крыс), самцы ЛПС+СКУЧ (17 крыс), самки ФИЗ+СТАНД (16 крыс), самки ФИЗ+СКУЧ (13 крыс), самки ЛПС+СТАНД (17 крыс), самки ЛПС+СКУЧ (12 крыс).
 - Тестирование на тревожность. Начиная с 90-го ПНД, вначале в течение 3–4 дней проводили хэндлинг животных по 7–10 мин в день, затем через 2–3 дня крыс тестировали на тревожность в “открытом поле” и приподнятом крестообразном лабиринте. “Открытое поле” (ОП) представляло собой круглую арену диаметром 100 см с высотой стенок 30 см. Освещенность ОП достигала 30–40 люкс. В компьютерной программе условно вся арена с помощью окружностей, центр которых совпадал с центром в ОП, была поделена на центральную часть ОП (d = 30 см), среднюю часть (шириной 16.5 см) и периферию (шириной 17 см). Время наблюдения в тесте 5 мин. Анализировали показатели, отражавшие тревожность/смелость крыс (время нахождения на периферии, число и длительность выходов в центр), двигательную активность крыс (пройденная дистанция, скорость движения, время движения, латентность ухода из центра в начале опыта), исследовательское поведение (стойки), поведение по оценке риска (вытягивания (stretch-attend postures)), замещающую активность (число эпизодов и длительность груминга), а также ряд показателей, отражавших вегетативные реакции (число дефекаций и уринаций).
 
Приподнятый крестообразный лабиринт (ПКЛ) состоял из центральной площадки (10 х 10 см) и 4 рукавов, двух открытых и двух закрытых, шириной 10 см и длиной 50 см, закрытые рукава имели боковые стенки высотой 40 см. Рукава располагались под углом 900 друг относительно друга. Лабиринт находился на высоте 50 см над уровнем пола. Освещенность открытых рукавов достигала 60–80 люкс, закрытых – 20 люкс. В начале опыта крысу помещали на центральную площадку, голова была направлена в сторону открытого рукава. Время наблюдения в тесте 5 мин. Анализировали показатели, отражавшие тревожность/смелость крыс (число и длительность выходов в открытые и закрытые рукава), двигательную активность (пройденную дистанцию, скорость движения, время движения, число переходов между рукавами), исследовательское поведение (стойки, выглядывания в открытые рукава, свешивания), поведение по оценке риска (вытягивания (stretch-attend postures)), замещающую активность (число и длительность эпизодов груминга), а также ряд показателей, свидетельствовавших о вегетативных реакциях (число дефекаций и уринаций). При дальнейшей обработке для оценки тревожности в ПКЛ подсчитывали процент времени нахождения в открытых рукавах от общего времени, проведенного в открытых и закрытых рукавах, а также процент заходов в открытые рукава от общего числа заходов в открытые и закрытые рукава.
Для фиксирования траектории движения крыс и элементов поведения в тестах на тревожность использовали программу Etho Vision (Noldus), а также видеорегистрацию.
- Выработка, тестирование и угашение классического условного оборонительного рефлекса (fear conditioning). Для выработки классического Павловского условного оборонительного рефлекса использовали камеру Startle and Fear Combined System производства PanLab Harvard apparatus (Испания, 2000). Эксперименты начинали у крыс на 110-й ПНД. При обучении после 120-секундного периода обследования камеры животным давали 3 сочетания звука (30 с, 80 дБ, 2000 Гц) и электрокожного болевого раздражения (2 с, 0.8 мА, задержка 28 с от начала действия звука) с 40–50-секундными межсигнальными интервалами, после чего следовал период последействия в 40 с без каких-либо стимулов. Через 24 ч после обучения проводили тестирование условно-рефлекторного страха (Тест 1). В Тесте 1 животных помещали в ту же камеру и ту же обстановку на 120 с, после чего предъявляли только звук в течение 120 с (80 дБ, 2000 Гц), далее следовал период последействия в 120 с. Далее в двух опытах с интервалом 24 ч проводили угашение условно-рефлекторного страха, при этой процедуре давали по 10 изолированных звуковых стимулов (30 с, 80 дБ, 2000 Гц) без электрокожных раздражений с 20-секундными межсигнальными интервалами. После процедуры угашения через 24 ч тестировали сохранность рефлекса (Тест 2), при этом последовательность стимулов была такой же, как в Тесте 1.
 
Поведение крыс анализировали в различные интервалы времени: до (реакции на контекст), во время действия звукового сигнального раздражителя, в межсигнальные интервалы (при обучении или угашении), в последействии. Условно-рефлекторный страх оценивали по времени замирания. Замирание – периоды неподвижности длительностью не менее 2 с, когда наблюдали только дыхательные движения животного. Замирание определяли по записи механограммы пола камеры с помощью амплитудного и временного порогов. Обработку проводили с помощью стандартной программы, прилагавшейся к установке фирмы Panlab. Программа позволяла детектировать эпизоды замирания, определять их длительность и рассчитывать процент времени замирания от времени каждого интервала. Кроме того, для оценки уровня эмоционального напряжения у крыс подсчитывали число дефекаций и уринаций.
- Статистическая обработка данных. Для обработки результатов использовали стандартную программу STATISTICA 8.0. Распределение значений исследованных параметров было проверено на нормальность по критерию Колмогорова–Смирнова (Basic Statistics, раздел Descriptive Statistics). При нормальном распределении значений при сравнении групп крыс использовали дисперсионный анализ ANOVA, раздел factorial ANOVA. При post-hoc-анализе применяли критерий Newman-Keuls test. Анализировали влияние факторов ВЕЩЕСТВО (ЛПС или ФИЗ), ПОЛ (самцы и самки), УСЛОВИЯ СОДЕРЖАНИЯ (СТАНД и СКУЧ), ИНТЕРВАЛ (до, звук, межсигнальный интервал, последействие). При отсутствии нормальности распределения поведенческих параметров использовали Kruskal-Wallis test, с последующим сравнением групп с помощью Multiple Comparisons (Nonparametric Statistics). Различия считали статистически значимыми при р < 0.05, отмечали наличие тенденции при 0.05 < р < 0.1. Данные на рисунках представлены в виде средних значений ± ошибки средних.
 
РЕЗУЛЬТАТЫ ИССЛЕДОВАНИЙ
- Влияние содержания в скученных условиях на уровень тревожности крыс. Результаты анализа влияния скученности на различные показатели поведения крыс в ОП представлены на рис. 1 и в табл. 1. На поведение крыс в ОП существенное влияние оказывал фактор ПОЛ (табл. 1), самки по сравнению с самцами совершали больше выходов в центр ОП (рис. 1 (а)), меньше времени проводили на периферии, проходили большую дистанцию (рис. 1 (б)), двигались с большей скоростью (рис. 1 (в)), больше времени находились в движении, совершали меньше актов груминга (рис. 1(г)), делали меньше болюсов дефекации, но больше стоек. Эти данные свидетельствовали о меньшем уровне тревожности самок и большей двигательной и исследовательской активности, что подтверждало ранее полученные данные (Павлова с соавт., 2021 б). Фактор УСЛОВИЯ СОДЕРЖАНИЯ не влиял на число выходов в центр и время нахождения на периферии, а также число стоек, уринаций и дефекаций, на среднюю длительность акта груминга, но на многие другие показатели поведения крыс в ОП оказывал влияние (табл. 1). Крысы, содержавшиеся в СКУЧ-условиях, по сравнению со СТАНД-группой проходили меньшую дистанцию и с меньшей скоростью (рис. 1 (б), (в)), меньше времени находились в движении, совершали больше актов груминга (рис. 1 (г)), имели большую латентность ухода из центра поля, куда экспериментатор сажал животное в самом начале опыта (рис. 1 (д)). Взаимодействия факторов УСЛОВИЯ СОДЕРЖАНИЯ х ПОЛ обнаружено не было (табл. 1), что свидетельствовало об отсутствии половых различий во влиянии скученности на поведение крыс в ОП. Фактор ВЕЩЕСТВО не оказывал влияния на показатели тревожности/смелости, двигательной активности и исследовательского поведения в ОП. Было обнаружено только влияние этого фактора на болюсы дефекации, среднюю длительность акта груминга и латентность ухода из центра. У крыс ЛПС-группы болюсов было больше, а длительность акта груминга и латентность ухода из центра – меньше, чем в ФИЗ-группе. Кроме того, наблюдалось взаимодействие фактора ВЕЩЕСТВО х УСЛОВИЯ СОДЕРЖАНИЯ во влиянии на латентность ухода из центра, в ЛПС-группах у СКУЧ латентность была меньше, чем в ФИЗ-группах (рис. 1 (д)). Таким образом, содержание в условиях повышенной скученности не влияло на показатели уровня тревожности в ОП, но снижало двигательную активность крыс, увеличивало замещающую активность и тормозило двигательную активность в начале опыта.
 
Рис. 1. Влияние содержания в скученных условиях на поведение крыс в “открытом поле”. СТАНД – группа крыс, содержащаяся в стандартных условиях, СКУЧ – крысы, проживающие в скученных условиях. ФИЗ – крысы с введением физиологического раствора в раннем онтогенезе, ЛПС – крысы с введением ЛПС. * – статистически значимые различия между группой СТАНД и СКУЧ, $ - между самцами и самками (р < 0.05, Factorial ANOVA, post hoc анализ). n – число крыс в группах ФИЗ/ЛПС.
Fig. 1. The effect of housing in crowded conditions on the behavior of rats in an open field. СТАНД – a group of rats contained in standard conditions, СКУЧ – rats living in crowded conditions. ФИЗ – rats with the administration of saline solution in early ontogenesis, ЛПС – rats with the injection of LPS. * - statistically significant differences between СТАНД and СКУЧ groups, $ - between males and females (p < 0.05, Factorial ANOVA, post hoc analysis). n is the number of rats in the ФИЗ/ЛПС groups.
Таблица 1. Значение F и р при анализе с помощью Factorial ANOVA различных показателей поведения в ОП и ПКЛ.
Table 1. The value of F and p in the analysis using Factorial ANOVA of various indicators of behavior in open field and elevated plus maze
Тест  | Показатели поведения  | Факторы  | ||||
ПОЛ  | ВЕЩЕСТВО  | УСЛОВИЯ СОДЕРЖАНИЯ  | УСЛ. СОД. × ВЕЩЕСТВО  | УСЛ. СОД. × ПОЛ  | ||
ОП  | Выходы в центр  | F1, 114 = 25.37, p = 0.000  | -*  | -  | -  | -  | 
Время на периферии  | F1, 114 = 19.36, p = 0.000  | -  | -  | -  | -  | |
Дистанция  | F1, 114 = 75.79, p = 0.000  | -  | F1, 114 = 60.87, p = 0.000  | -  | -  | |
Скорость  | F1, 114 = 76.01, p = 0.000  | -  | F1, 114 = 60.73, p = 0.000  | -  | -  | |
Время движения  | F1, 114 = 61.11, p = 0.000  | -  | F1, 114 = 15.21, p = 0.000  | -  | F1, 114 = 4.91, p = 0.029  | |
Стойки  | F1, 114 = 11.34, p = 0.001  | -  | -  | -  | -  | |
Груминг, число  | F1, 114 = 10.19, p = 0.002  | -  | F1, 114 = 22.36, p = 0.000  | -  | -  | |
Тср. акта груминга  | -  | F1, 105 = 5.24, p = 0.024  | -  | -  | -  | |
Болюсы дефекации  | F1, 114 = 10.77, p = 0.001  | F1, 114 = 7.54, p = 0.007  | -  | -  | -  | |
Уринации  | -  | -  | -  | -  | -  | |
Латентность ухода из центра  | -  | F1, 114 = 4.78, p = 0.031  | F1, 114 = 41.56, p = 0.000  | F1, 114 = 4.70, p = 0.032  | -  | |
Вытягивания  | -  | -  | -  | -  | -  | |
ПКЛ  | % выходов в ОР  | F1, 114 = 13.39, p = 0.000  | -  | -  | -  | -  | 
%Т выходов в ОР  | F1, 114 = 14.94, p = 0.000  | -  | -  | -  | -  | |
%Т в закрытых рукавах (с)  | F1, 115 = 7.92, p = 0.006  | -  | -  | -  | -  | |
Дистанция  | F1, 114 = 30.66, p = 0.000  | -  | -  | -  | -  | |
Скорость  | F1, 114 = 36.07, p = 0.000  | -  | -  | -  | -  | |
Время движения  | F1, 114 = 10.82, p = 0.001  | -  | -  | -  | -  | |
Груминг, число  | F1, 114 = 18.54, p = 0.000  | -  | F1, 114 = 20.35, p = 0.000  | -  | F1, 114 = 14.88, p = 0.000  | |
Тср. акта груминга  | -  | -  | -  | -  | -  | |
Свешивания  | F1, 114 = 21.00, p = 0.000  | -  | -  | -  | -  | |
Стойки  | F1, 114 = 4.30, p = 0.040  | -  | -  | -  | -  | |
Болюсы дефекации  | F1, 114 = 8.61, p = 0.004  | -  | -  | -  | -  | |
Уринации  | -  | -  | -  | -  | -  | |
Вытягивания  | -  | -  | -  | -  | -  | |
* Примечание. Прочерк – статистически незначимое влияние фактора. Тср. – среднее время, %Т – процент времени.
* Note. Dash – statistically insignificant influence of the factor. Tср. – average time, %T – percentage of time.
Содержание в скученных условиях в меньшей степени оказало влияние на поведение крыс в ПКЛ (табл. 1, рис. 2). Фактор ПОЛ, так же как и в ОП, оказывал существенное влияние на поведение крыс в ПКЛ (табл. 1). Самки по сравнению с самцами совершали большее число выходов в открытые рукава (рис. 2 (а)), проводили больше времени в них (рис. 2 (б)), но меньше времени находились в закрытых рукавах, проходили большую дистанцию, двигаясь с большей скоростью, больше времени находились в движении, совершали больше стоек и свешиваний, но делали меньше болюсов дефекации. Эти данные свидетельствовали о меньшем уровне тревожности самок, большей их двигательной и исследовательской активности по сравнению с самцами, что соответствовало ранее полученным данным (Павлова с соавт., 2021 б). Фактор УСЛОВИЯ СОДЕРЖАНИЯ не оказал влияния на показатели, отражавшие уровень тревожности/смелости и двигательную активность крыс – на процент времени нахождения в открытых и закрытых рукавах, длину пройденной дистанции, скорость и время движения (табл. 1). Не было обнаружено влияния данного фактора на число стоек, уринаций и дефекаций. Фактор УСЛОВИЯ СОДЕРЖАНИЯ повлиял на число актов груминга (табл. 1), при этом наблюдалось взаимодействие фактора УСЛОВИЯ СОДЕРЖАНИЯ х ПОЛ. В ПКЛ только самцы, содержавшиеся в СКУЧ-условиях, совершали больше актов груминга, чем самки (рис. 2 (в)), средняя длительность акта груминга не зависела от условий содержания (табл. 1). Таким образом, содержание в СКУЧ-условиях не повлияло на уровень тревожности крыс в ПКЛ, на их двигательную и исследовательскую активность, однако только у самцов привело к увеличению замещающей активности.
Рис. 2. Влияние содержания в скученных условиях на поведение крыс в приподнятом крестообразном лабиринте. Т – время, ОР – открытые рукава. * – статистически значимые различия между группой СТАНД и СКУЧ, $ - между самцами и самками (р < 0.05, Factorial ANOVA, post hoc анализ). Остальные обозначения как на рис. 1.
Fig. 2. The effect of housing in crowded conditions on the behavior of rats in an elevated plus maze. T – time, ОР – open arms. * - statistically significant differences between СТАНД and СКУЧ groups, $ - between males and females (p < 0.05, Factorial ANOVA, post hoc analysis). The remaining designations are as in Fig. 1.
Итак, тестирование в ОП и ПКЛ не выявило влияния содержания в скученных условиях на показатели тревожности/смелости крыс, но обнаружило снижение двигательной активности и ее торможение в начале опыта (только в ОП) и увеличение замещающей активности (груминга) в обоих тестах.
- Влияние содержания в скученных условиях на выработку, тестирование и угашение условно-рефлекторного страха у крыс. Фактор ИНТЕРВАЛ оказывал существенное влияние на замирание крыс при обучении (табл. 2), что проявлялось в последовательном увеличении времени замирания по мере предъявления сочетаний звуковых и болевых стимулов (рис. 3 (а)). Фактор УСЛОВИЯ СОДЕРЖАНИЯ оказал существенное влияние на обучение крыс (табл. 2), кроме того, наблюдалось взаимодействие факторов УСЛОВИЯ СОДЕРЖАНИЯ х ИНТЕРВАЛ и УСЛОВИЯ СОДЕРЖАНИЯ х ПОЛ. Начиная с первого межсигнального периода (ЛПС-группа) или со второго звука (ФИЗ-группа) и до конца опыта самцы группы СКУЧ замирали на меньшее время, чем самцы группы СТАНД (рис. 3 (а)). У самок различия во времени замирания в группах СКУЧ и СТАНД проявлялись в меньшей степени, статистически значимые различия были обнаружены только при третьем звуке в группе ЛПС (рис. 3 (а)).
 
Таблица 2. Значение F и р при анализе с помощью Factorial ANOVA выработки, тестирования и угашения условно-рефлекторного страха
Table 2. The value of F and p in the analysis using Factorial ANOVA of the development, testing and extinction of conditioned fear
Этап  | Факторы  | |||||
ПОЛ  | ВЕЩЕСТВО  | УСЛОВИЯ СОДЕРЖАНИЯ  | ИНТЕРВАЛ  | ИНТЕРВАЛ × УСЛОВИЯ СОДЕРЖАНИЯ  | УСЛОВИЯ СОДЕРЖАНИЯ × ПОЛ  | |
Обучение  | F1,1070 = 5.22, p = 0.023  | -  | F1,1070 = 56.81, p = 0.000  | F6,1070 = 104.19, p = 0.000  | F6,1070 = 3.62, p = 0.001  | F1,1070 = 12.89, p = 0.000  | 
Тест 1  | -  | -  | F1,180 = 4.20, p = 0.042  | F1,180 = 38.16, p = 0.000  | -  | -  | 
Угашение 1  | F1, 900 = 4.50, p = 0.034  | -  | F1,900 = 66.90, p = 0.000  | F9, 900 = 4.25, p = 0.000  | -  | F1,900) = 5.50, p = 0.019  | 
Угашение 2  | -  | F1,900 = 4.03, p = 0.045  | F1,900 = 92.96, p = 0.000  | F9,900 = 2.47, p = 0.009  | -  | F1,900 = 14.69, p = 0.000  | 
Тест 2  | -  | -  | F1, 178 = 5.47, p = 0.020  | F1,178 = 4.99, p = 0.027  | F1,178 = 3.85, p = 0.049  | -  | 
* Примечание. Прочерк – статистически незначимое влияние фактора.
* Note. Dash – statistically insignificant influence of the factor.
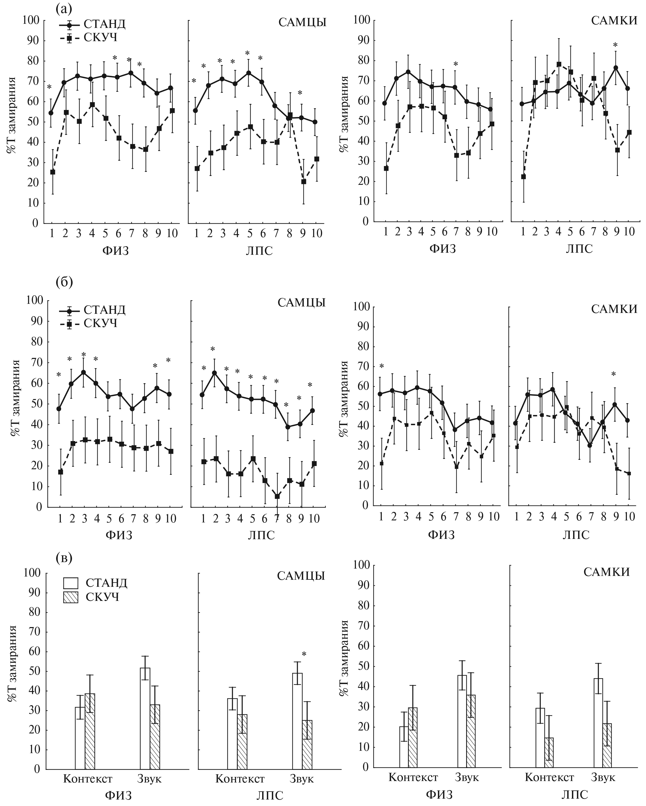
Рис. 3. Влияние содержания в скученных условиях на выработку (а) и проявление условно-рефлекторного страха в Тесте 1 (б). По оси абсцисс – интервал времени, на (а): И – исследовательский интервал до звука, З1, 2, 3 – при действии звукового стимула, МС1, 2 – межсигнальные интервалы, П – последействие; на (б): предъявление контекста или звука. По оси ординат – процент времени замирания. * – статистически значимые различия между группой СТАНД и СКУЧ (р < 0.05, Factorial ANOVA, post hoc анализ), # – тенденция (0.05 ≤ р < 0.1). + – различия в уровне замирания в ответ на контекст и звук в данной группе крыс.
Fig. 3. The effect of housing in crowded conditions on the acquisition (а) and the expression of conditioned fear in Test 1 (б). On the abscissa axis is the time interval, on (а): И is the research interval, З1, 2, 3 is the number of the sound stimulus, МС1, 2 are the inter–signal intervals, П is the aftereffect; on (б): presentation of the context or sound. On the ordinate axis – the percentage of freezing time. * – statistically significant differences between the СТАНД and СКУЧ group (p < 0.05, Factorial ANOVA, post hoc analysis), # - trend (0.05 ≤ p < 0.1). + – differences in the freezing time in response to context and sound in this group of rats.
Через 24 ч после обучения в Тесте 1, когда предъявляли только контекст и звук без тока, факторы УСЛОВИЯ СОДЕРЖАНИЯ и ИНТЕРВАЛ также оказывали влияние на уровень замирания крыс (табл. 2). Действие фактора ИНТЕРВАЛ проявлялось в большем замирании крыс при звуке по сравнению с контекстом, а фактора УСЛОВИЯ СОДЕРЖАНИЯ – в меньшем замирании у крыс группы СКУЧ, чем у группы СТАНД. Кроме того, только у самцов, но не у самок, фактор ВЕЩЕСТВО оказывал влияние на уровень замирания (F1,108 = 4.29, p = 0.040), также наблюдали тенденцию к взаимодействию факторов УСЛОВИЯ СОДЕРЖАНИЯ х ВЕЩЕСТВО (F1, 108 = 3.06, p = 0.083). Post hoc анализ показал, что самцы группы СКУЧ замирали на меньшее время в группе ЛПС при действии звука, чем самцы группы СТАНД (рис. 3 (б)). У самок различий во времени замирания в группах СКУЧ и СТАНД не наблюдалось (фактор УСЛОВИЯ СОДЕРЖАНИЯ F1, 72 = 2.05, p = 0.156). Важно отметить, что в группах СТАНД у самцов и у всех самок время замирания при действии звука было больше, чем при предъявлении контекста, что отражало большую аверсивную значимость звука по сравнению с контекстом (рис. 3 (б)). У самцов группы СКУЧ такой разницы не наблюдали, что отражало нарушение, по-видимому, памяти о сигнале и дифференцировки контекста и сигнала.
В процессе 1-го и 2-го угашения рефлекса фактор ИНТЕРВАЛ оказывал существенное влияние на время замирания (табл. 2), что проявлялось в последовательном уменьшении времени замирания по мере предъявления десяти неподкрепляемых звуков (рис. 4 (а), (б)). Фактор УСЛОВИЯ СОДЕРЖАНИЯ также оказывал влияние на время замирания крыс, кроме того, наблюдали взаимодействие факторов УСЛОВИЯ СОДЕРЖАНИЯ х ПОЛ (табл. 2). Анализ процесса угашения выявил меньшее время замирания у самцов группы СКУЧ по сравнению с группой СТАНД как в первый, так и во второй день (рис. 4 (а), (б)), у самок указанное различие практически не проявлялось. При 2-м угашении проявилось влияние фактора ВЕЩЕСТВО, у самцов, проживавших в СКУЧ-условиях, в группе ЛПС угашение проходило быстрее, чем в группе ФИЗ (рис. 4 (б)).
Рис. 4. Влияние содержания в скученных условиях на угашение 1 (а), угашение 2 (б) и проявление условно-рефлекторного страха в Тесте 2 (в). По оси абсцисс на (а) и (б) – номер звукового стимула, на (в) – предъявление контекста или звука. По оси ординат – процент времени замирания. * – статистически значимые различия между группой СТАНД и СКУЧ (р < 0.05, Factorial ANOVA, post hoc анализ). Остальные обозначения как на рис. 1.
Fig. 4. The effect of housing in crowded conditions on extinction 1 (а), extinction 2 (б) and the expression of conditioned fear in Test 2 (в). On the axis of the abscissa on (а) and (б) is the number of the sound stimulus, on (в) is the presentation of the context or sound. On the ordinate axis – the percentage of freezing time. * – statistically significant differences between the СТАНД and СКУЧ group (p < 0.05, Factorial ANOVA, post hoc analysis). The remaining designations are as in Fig. 1.
В Тесте 2 после угашения на время замирания также оказывал влияние фактор УСЛОВИЯ СОДЕРЖАНИЯ, наблюдали взаимодействие факторов УСЛОВИЯ СОДЕРЖАНИЯ х ИНТЕРВАЛ (табл. 2). У самцов группы ЛПС, содержавшихся в СКУЧ-условиях, время замирания в ответ на звук в Тесте 2 было меньше, чем у самцов в СТАНД-условиях, время замирания в ответ на контекст не различалось при разных условиях содержания (рис. 4 (в)). У самок различий между группами СКУЧ и СТАНД не было обнаружено.
Таким образом, при выработке условно-рефлекторного страха были выявлены половые особенности во влиянии повышенной скученности, самцы в отличие от самок были более подвержены негативному влиянию скученности. Самцы группы СКУЧ меньше времени замирали в процессе выработки и угашения условно-рефлекторного страха, чем самцы группы СТАНД. У самцов группы ЛПС происходили наиболее выраженные изменения в поведении по сравнению с группой ФИЗ. У самцов ЛПС-группы, содержавшихся в СКУЧ-условиях, по сравнению с группой ФИЗ, нарушалась память о звуковом сигнале, а также дифференцировка контекста и сигнала, быстрее проходило угашение рефлекса.
ОБСУЖДЕНИЕ РЕЗУЛЬТАТОВ
В нашей работе не было выявлено убедительных доказательств изменения уровня тревожности крыс при скученности в двух тестах: в “открытом поле” и приподнятом крестообразном лабиринте (табл. 3). Число выходов в центр, время на периферии в ОП, число выходов и длительность пребывания в открытых рукавах ПКЛ не различались в группах СКУЧ и СТАНД. Однако при другом протоколе скученности, при менее длительном 14-дневном проживании в скученных условиях после месяца пребывания в комфортных условиях, в ряде работ (Botelho et al., 2007; Князева с соавт., 2012) у крыс происходило увеличение уровня тревожности. Это проявлялось в уменьшении латентного периода захода в темный отсек в темно-светлой камере, увеличении времени пребывания в закрытых рукавах и уменьшении времени в центре ПКЛ, время в открытых рукавах при этом не изменялось. Можно предположить, что более длительное содержание в скученных условиях в наших опытах и ранний возраст начала воздействия привели к привыканию и адаптации крыс к негативным условиям содержания. При раннем помещении крыс (в 30 дней) в скученные условия небольшие еще по массе крысы не испытывали стресса, а, возможно, воспринимали такие условия как социальное обогащение. Предположение об адаптации крыс к скученным условиям подтверждают результаты анализа некоторых показателей сердечно-сосудистой системы при длительном воздействии различных видов стрессов – изоляции, скученности, иммобилизации, принудительного плавания (Nagaraja, Jeganathan, 1999). Увеличение частоты сердечных сокращений и массы сердца наблюдали только в начальный период воздействия стрессора, при длительном воздействии (15 и 30 дней) дальнейшего увеличения не происходило. Аналогично, длительная социальная изоляция в течение 8.5 мес. вызывала меньшие изменения в уровне тревожности и социальном поведении, чем 2-месячная (Ширенова с соавт., 2022). После 2-месячной социальной изоляции у крыс наблюдали повышение тревожности, снижение исследовательской активности, увеличение агрессивности, повышение предпочтения социального объекта несоциальному. После 8.5 мес. социальной изоляции признаки повышения тревожности и агрессивности исчезали, появлялись признаки дефицита социальности, которые выражались в уменьшении предпочтения социального объекта. Авторы считают, что с увеличением длительности стресса происходит изменение стратегии преодоления, активные стратегии заменяются на пассивные.
Таблица 3. Схематическое изображение влияния скученных условий на поведение крыс в различных поведенческих парадигмах. - – отсутствие изменений у группы СКУЧ по сравнению с группой СТАНД, ↓ – уменьшение одного показателя, ↑ – увеличение одного показателя. Т – время, ОР – открытые рукава лабиринта
Table 3. A schematic representation of the influence of crowded conditions on rat behavior in various behavioral paradigms. - – no changes in the СКУЧ group of indicators compared to the СТАНД, ↓ – a decrease in one indicator, ↑ – an increase in one indicator. T is time, ОР is the open arms of the maze
Парадигма  | Поведенческие показатели  | Самцы  | Самки  | ||
ФИЗ- группа  | ЛПС- группа  | ФИЗ- группа  | ЛПС- группа  | ||
ОП  | Показатели тревожности (выходы в центр, время на периферии)  | - -  | - -  | - -  | - -  | 
Двигательная активность (дистанция, скорость, время движения)  | ↓↓↓  | ↓↓↓  | ↓↓-  | ↓↓-  | |
Исследовательская активность (стойки)  | -  | -  | -  | -  | |
Замещающая активность (число актов груминга)  | ↑  | -  | ↑  | ↑  | |
Оценка риска (вытягивания)  | -  | -  | -  | -  | |
Вегетативная активность (болюсы дефекации, уринации)  | - -  | - -  | - -  | - -  | |
ПКЛ  | Показатели тревожности (% выходов в ОР, % Т выходов в ОР)  | - -  | - -  | - -  | - -  | 
Двигательная активность (дистанция, скорость, время движения)  | - - -  | - - -  | - - -  | - - -  | |
Исследовательская активность (стойки, свешивания, Т выглядывания)  | - - -  | - - -  | - - -  | - - -  | |
Замещающая активность (число актов груминга)  | ↑  | ↑  | -  | -  | |
Вегетативная активность (болюсы дефекации, уринации)  | - -  | - -  | - -  | - -  | |
УР, обучение  | % Т замирания  | ↓  | ↓  | -  | ↓  | 
Тест 1, контекст  | % Т замирания  | -  | -  | -  | -  | 
Тест 1, звук  | % Т замирания  | -  | ↓  | -  | -  | 
Угашение 1, звук  | % Т замирания  | ↓  | ↓  | -  | -  | 
Угашение 2, звук  | % Т замирания  | ↓  | ↓  | -  | -  | 
Тест 2, контекст  | % Т замирания  | -  | -  | -  | -  | 
Тест 2, звук  | % Т замирания  | -  | ↓  | -  | -  | 
В наших опытах двигательная активность в ОП у группы СКУЧ была понижена, о чем свидетельствовало уменьшение пройденной дистанции, снижение скорости, уменьшение времени движения (табл. 3). Увеличение латентности ухода из центра ОП, куда экспериментатор сажал крысу в начале опыта, также, по-видимому, говорило о торможении двигательной активности при попадании в аверсивную обстановку. Ранее сходное увеличение латентности наблюдалось у крыс после социальной изоляции (Павлова с соавт., 2021б). Как в ОП, так и в ПКЛ у группы СКУЧ происходило увеличение числа эпизодов груминга (табл. 3). Согласно литературе, груминг служит не только для поддержания чистоты поверхности тела, но и играет роль замещающей или смещенной (displacement) активности (Spruijt et al., 1992), т.е. облегчает напряжение и является “выходом мотивационной энергии” при конфликте мотиваций. Согласно этой точке зрения, груминг возникает после стресса и отражает его окончание или привыкание к стрессирующим воздействиям, корреляционных связей между грумингом и уровнем тревожности не было обнаружено. При анализе структуры груминга различают “стрессорный” и “комфортный” груминг (Калуев, 1998). Для стрессорного груминга характерно преобладание стереотипии и повторяющихся движений, “зацикливание” на одной стадии и большая длительность, а для комфортного груминга – последовательная смена стадий от умывания мордочки до хвоста. В нашей работе содержание в СКУЧ-условиях не вызывало изменений средней длительности эпизода груминга, что свидетельствует против “стрессорной” природы груминга. Можно предположить, что снижение горизонтальной двигательной активности возникает у крыс при длительном содержании в скученных условиях, когда пробежкам препятствуют многочисленные соседи по клетке. Горизонтальная активность заменяется, по всей видимости, в этих условиях грумингом. Увеличение числа актов груминга у крыс группы СКУЧ также могло быть вызвано и загрязнением поверхности тела и шерсти экскрементами соседей по клетке, т.е. выполняло гигиеническую роль. Увеличение числа актов груминга и уменьшение пройденной дистанции у животных, проживающих в скученных условиях, наблюдали и ранее (Князева с соавт., 2012).
Наиболее значительные изменения в поведении крыс после скученности мы наблюдали при выработке условно-рефлекторного страха (табл. 3). Уже на этапе обучения крысы-самцы группы СКУЧ как ФИЗ-, так и ЛПС-группы замирали на меньшее время после получения ударов током, чем крысы группы СТАНД, на самок содержание в скученных условиях повлияло в значительно меньшей степени. Уменьшение времени замирания при обучении не могло быть связано с увеличением двигательной активности крыс, поскольку в тесте ОП у “скученных” крыс наблюдали, наоборот, снижение двигательной активности. Согласно данным литературы (Goekner et al., 1973), у “скученных” крыс не нарушалась выработка пассивного избегания, что свидетельствовало об отсутствии нарушений в проявлении пассивно-оборонительных реакций. Одной из возможных причин уменьшения времени замирания после ударов тока является уменьшение болевой чувствительности у “скученных” крыс. Данное предположение подтверждается данными о снижении болевой чувствительности (гипоальгезии) к соматическим стимулам в тесте “горячая пластинка” у мышей, подвергнутых комбинированному психосоциальному стрессу (социальному поражению и повышенной скученности) (Tramullas et al., 2012), у крыс при социальной изоляции (Ширенова с соавт., 2019), а также при других видах стрессов (Butler, Finn, 2009). Анальгезия, вызванная стрессом плавания в холодной воде, выявлялась в тесте “вздрагивание/прыжки” (flinch-jump) при стимуляции лап электрическим током (Bodnar et al., 1978). Показано, что при анальгезии во время стресса включаются эндогенные механизмы, опосредованные опиоидами (Miczek et al., 1982). Показано, что анальгезия, индуцированная стрессом, зависит от пола животного, у самок анальгезия была выражена в меньшей степени, чем у самцов (Butler, Finn, 2009), при этом половые гормоны самцов и самок крыс оказывают существенное влияние на анальгезию. В наших опытах уменьшение времени замирания после действия тока мы наблюдали преимущественно у самцов, что соответствовало данным литературы о половых различиях в анальгезии при стрессе.
В Тесте 1 через 24 ч после обучения у самцов с комбинированным стрессом ЛПС+СКУЧ время замирания на звуковой сигнал было меньше, чем у группы ЛПС+СТАНД, что, вероятно, связано с нарушением сигнальной памяти (табл. 3). У самцов в группе ЛПС+СКУЧ нарушалось дифференцирование контекста и сигнала, проявлявшееся в том, что увеличения времени замирания на сигнал по сравнению с контекстом не происходило. При этом время замирания при предъявлении только контекста в группах ФИЗ и ЛПС не отличалось у крыс в стандартных и скученных условиях. Важно отметить, что в контрольной группе ФИЗ+СКУЧ в тесте время замирания не отличалось от группы ФИЗ+СТАНД, т.е. отдельно скученность не влияла на память, важно было совместное действие скученности и раннего провоспалительного стресса. Ранее мы показали, что крысы, пережившие ранний провоспалительный стресс, оказались наиболее чувствительными к другому виду социального стресса (социальной изоляции), судя по изменениям в тревожном поведении, условно-рефлекторном страхе и в уровне кортикостерона в крови (Павлова с соавт., 2021 а, б). Сходные результаты были получены в работе (Walker et al., 2009). Крысы после раннего провоспалительного стресса, подвергавшиеся комбинированному стрессу (обездвижение и социальная изоляция) во взрослом возрасте, проявляли тревожное поведение в большей степени, чем контрольные животные, что авторы рассматривали как подтверждение гипотезы “двойного удара” (Walker et al., 2009). Ранее мы высказали предположение, что провоспалительный ЛПС-стресс в раннем возрасте вызывает сенситизацию иммунной и гипоталамо-гипофизарно-надпочечниковой системы, из-за чего реакция на второй стресс оказывается более сильной, чем в случае одиночного стресса (Брошевицкая и др., 2020). Известно, что длительное проживание в скученных условиях вызывает увеличение провоспалительных цитокинов в крови. В одних работах наблюдали увеличение только уровня ИЛ-1бета (Гаврилов с соавт., 2021), в других обнаружили активацию транскрипции ИЛ-17 и угнетение экспрессии гена противовоспалительного цитокина ИЛ-4 (Лосева с соавт., 2013). При скученности наблюдали увеличение провоспалительных цитокинов не только в крови, но и в толстой кишке, что сопровождалось изменениями микробиоты кишечника (Delaroque et al., 2021). Введение ЛПС в раннем онтогенезе вызывало болезненное состояние у крысят и увеличение продукции провоспалительных цитокинов (Alexander, Rietschel, 2001). Как введение ЛПС в раннем онтогенезе, так и скученность оказывают однонаправленное действие на иммунную систему крыс. Исходя из этих данных, мы полагаем, что происходила суммация эффектов от ЛПС и скученности, что приводило к нарушениям памяти у крыс самцов группы ЛПС+СКУЧ при условно-рефлекторном страхе.
В качестве возможного механизма уменьшения времени замирания в ответ на сигнал у самцов в группе ЛПС+СКУЧ можно предположить нарушение долговременной памяти. Ранее уменьшение времени замирания на сигнал в Тесте 1 наблюдали при другом виде социального стресса – при социальной изоляции (Павлова с соавт., 2021a). Согласно данным литературы, после изоляции в модели выработки условно-рефлекторного страха возникает нарушение долговременной памяти, но не кратковременной, о чем свидетельствовало нарушение памяти через 24 ч или 4 дня после обучения, но не через 90 мин и 4 ч (Okada et al., 2014; Matsumoto et al., 2019). Нарушение долговременной памяти происходило и при другом виде социального стресса – стрессе социальной нестабильности, когда каждый день меняли партнеров по клетке (Green, McCotmick, 2013).
У самцов в группе ЛПС+СКУЧ после угашения в Тесте 2 время замирания также было меньше, чем в группе ЛПС+СТАНД, что, по-видимому, было связано с более слабым проявлением рефлекса в Тесте 1 сразу после обучения (табл. 3). То есть более быстрое угашение рефлекса в группе ЛПС+СКУЧ можно объяснить меньшим проявлением рефлекса после выработки, а не влиянием скученности на сам процесс угашения.
В нашей работе длительное проживание в скученных условиях оказало наибольшее воздействие на самцов как при тестировании в ПКЛ, так и при выработке условно-рефлекторного страха. При анализе уровня кортикостерона в крови крыс также была показана большая чувствительность самцов к скученным условиям (Brown, Gruberg, 1995). У самцов проживание в скученных условиях приводило к увеличению концентрации кортикостерона в крови, у самок уровень кортикостерона не менялся по сравнению со стандартными условиями, т.е. скученность являлась стрессом только для самцов. Увеличение уровня кортикостерона в крови или в волосах самцов крыс и мышей после скученности было обнаружено и в других работах (Uarquin et al., 2016; Delaroque et al., 2021; Smitha, Mukkadan, 2014). Необходимо отметить, что ранний провоспалительный стресс также оказывал большее влияние на тревожно-депрессивное и социальное поведение самцов (Брошевицкая с соавт., 2020; 2021). Это, по-видимому, связано с тем, что существуют половые различия в ответе иммунной системы на стрессирующие воздействия. Так, например, у самцов по сравнению с самками происходит более высокая экспрессия генов провоспалительных цитокинов при ишемическом инсульте (Villapol et al., 2019) или травме (Doran et al., 2019). Бóльшая уязвимость самцов к влиянию ЛПС объясняется тем, что нейровоспалительный процесс протекает по-разному у самцов и самок (Григорьян, 2020). Кроме того, эстрогены самок способны оказывать противовоспалительное влияние. Известно, что эстрогены ускоряют протекание воспалительного процесса в сторону его деактивации, большая роль при этом отводится противовоспалительному IL-4 (Villa et al., 2016), и эстрогены способны затормозить выработку провоспалительных цитокинов (Najjar et al., 2018).
ВЫВОДЫ
- Тестирование в “открытом поле” и приподнятом крестообразном лабиринте не выявило признаков увеличения уровня тревожности под влиянием скученности. Число выходов в центр, время на периферии в ОП, число выходов и длительность пребывания в открытых рукавах ПКЛ не различались в группах СКУЧ и СТАНД. Тестирование обнаружило снижение двигательной активности и увеличение замещающей активности (груминга) как у самцов, так и самок.
 - У всех самцов, содержавшихся в скученных условиях, менее успешно вырабатывалась реакция условно-рефлекторного замирания в ответ на звук как условный сигнал. Однако только у самцов группы ЛПС нарушалась память о сигнале под влиянием скученности, страдала дифференцировка контекста и сигнала, быстрее проходило угашение рефлекса.
 - При выработке условно-рефлекторного страха самцы по сравнению с самками были более подвержены негативному влиянию скученности.
 - Пережитый ранний провоспалительный стресс у самцов усугублял влияние скученности.
 
About the authors
I. V. Pavlova
Institute of Higher Nervous Activity and Neurophysiology
							Author for correspondence.
							Email: pavlovfml@mail.ru
				                					                																			                												                	Russian Federation, 							Moscow						
N. D. Broshevitskaya
Institute of Higher Nervous Activity and Neurophysiology, RAS
														Email: pavlovfml@mail.ru
				                					                																			                												                	Russian Federation, 							Moscow						
References
- Брошевицкая Н.Д., Павлова И.В., Зайченко М.И., Груздева В.А., Григорьян Г.А. Влияние раннего провоспалительного стресса на тревожное и депрессивно-подобное поведение крыс разного возраста. Рос. физиол. журн. им. И.М. Сеченова. 2020. 106 (6): 823–842.
 - Брошевицкая Н.Д., Павлова И.В., Зайченко М.И. Ранний провоспалительный стресс влияет на социальное поведение взрослых крыс: эффекты пола и базового уровня интерлейкина 1–бета в крови. Нейрохимия. 2022. 39 (3): 279–287.
 - Гаврилов В.В., Онуфриев М.В., Моисеева Ю.В., Александров Ю.И., Гуляева Н.В. Хронические социальные стрессы изоляции и скученности у крыс по-разному влияют на научение инструментальному поведению и состояние гипоталамо-гипофизарно-адренокортикальной системы. Журн.высш.нервн.деят. им. И.П. Павлова. 2021. 71 (5): 710–719.
 - Григорьян Г.А. Половые различия в поведении и биохимических маркерах у животных в ответ на нейровоспалительный стресс. Успехи физиол. наук. 2020. 51 (1): 18–32.
 - Калуев А.В. Стресс, тревожность и поведение (актуальные проблемы моделирования тревожного поведения у животных). 1998. Киев: Энигма, 96 с.
 - Князева С.И., Логинова Н.А., Лосева Е.В. Уровень тревожности и изменение массы тела при скученности у крыс. Бюлл. экспер. Биол и мед. 2012. 154 (7): 7–10.
 - Лосева Е.В., Логинова Н.А., Мезенцева М.В., Клодт П.М., Кудрин В.С. Иммунологические показатели крови и уровни моноаминов в мозге крыс, содержащихся в условиях хронической скученности. Бюлл. экспер. биол. и мед. 2013. 155 (4): 464–467.
 - Лосева Е.В., Саркисова К.Ю., Логинова Н.А., Кудрин В.С. Депрессивное поведение и содержание моноаминов в структурах мозга у крыс при хронической скученности. . 2015. 159 3): 304–307.
 - Лосева Е.В. Психосоциальный стресс перенаселенности (скученности): негативные последствия для организма человека и грызунов. Интегративная физиология. 2021. 2 (1): 33–40.
 - Павлова И.В., Брошевицкая Н.Д. Влияние обогащенной среды и социальной изоляции на условнорефлекторный страх у крыс, перенесших ранний провоспалительный стресс. Журн. эвол. биохимии и физиологии. 2021а. 57 (4): 329–341.
 - Павлова И.В., Брошевицкая Н.Д., Зайченко М.И., Григорьян Г.А. Влияние социальной изоляции и обогащенной среды на тревожно-депрессивное поведение крыс в норме и после раннего провоспалительного стресса. Журнал высш. нервн. деят. им. И.П.Павлова. 2021б. 71 (5): 690–709.
 - Ширенова С.Д., Крупина Н.А., Хлебникова Н.Н. Динамика болевой чувствительности у самцов и самок крыс в условиях длительной социальной изоляции. Росс. журн. боли. 2019. 17 (4): 27–34.
 - Ширенова С.Д., Хлебникова Н.Н., Крупина Н.А. Изменения социальности и предпочтения социальной новизны у самок крыс в условиях пролонгированной социальной изоляции. Журн. высш. нервн. деят. им. И. П.Павлова. 2022. 72 (4): 520–542.
 - Alexander C., Rietschel E.T. Bacterial lipopolysaccharides and innate immunity. J. Endotoxin. Res. 2001. 7 (3): 167–202.
 - Bodnar R.J., Kelly D.D., Steiner S.S., Glusman M. Stress-produced analgesia and morphine-produced analgesia: lack of cross-tolerance. Pharmacol Biochem Behav. 1978. 8 (6): 661–666.
 - Botelho S., Estanislau C., Morato S. Effects of under and overcrowding on exploratory behavior in the elevated plus-maze. Behavioural Processes. 2007. 74: 357–362.
 - Brown K. J., Grunberg N.E. Effects of housing on male and female rats: Crowding stresses male but calm females. Physiology and Behavior. 1995. 58 (6): 1085–1089.
 - Bubna-Littitz H., Hofecker G., Kment A, Niedermüller H. Gerontological pilot study on learning ability and memory in the stressed rat. Aktuelle Gerontol. 1981. 11 (1): 28–31.
 - Butler R.K., Finn D.P. Stress-induced analgesia. Prog. Neurobiol. 2009. 88: 184–202.
 - Daniels W. M. U., Pietersen C.Y., Carstens M.E., Daya S., Stein D. Overcrowding induces anxiety and causes loss of serotonin 5HT-1a receptors in rats. Metabolic Brain Disease. 2000. 15 (4): 287–295.
 - Delaroque C., Chervy M., Gewirtz A.T, .Chassaing B. Social overcrowding impacts gut microbiota, promoting stress, inflammation, and dysglycemia. Gut Microbes. 2021. 13 (1):2000275.
 - Diaz-Burke Y., Gonzalez-Sandoval C.E., Valencia-Alfonso C.E., Huerta M., Trujillo X., Diaz L. et al. Progesterone regulates corticosterone elevation and alterations in spatial memory and exploratory behavior induced by stress in Wistar rats. Univ. Psychol. 2010. 9: 627–640.
 - Doran S.J., Ritzel R.M., Glaser E.P., Henry R.J., Faden A.I., Loane D.J. Sex differences in acute neuroinflammation after experimental traumatic brain injury are mediated by infiltrating myeloid cells. J. Neurotrauma. 2019. 36 (7): 1040–1053.
 - Goeckner D.J., Greenough W.T., Mead W.R. Deficits in learning tasks following chronic overcrowding in rats. J. Personality and Social Psychol., 1973. 28 (2): 256–261.
 - Goeckner D.J., Greenougn W.T., Maier S.F. Escape learning deficit after overcrowded rearing in rats: Test of helplessness hypothesis. Bulletin of the Psychonomic Society. 1974. 3: 54–56.
 - Green M.R., McCotmick C.M. Effects of social instability stress in adolescence on long-term, not short-term, spatial memory performance. Behav. Brain Res. 2013. 256: 165–171.
 - Krupina N.A., Shirenova S.D., Khlebnikova N.N. Prolonged social isolation, started early in life, impairs cognitive abilities in rats depending on sex. Brain sciences. 2020. 10: 799.
 - Lin E.J., Sun M., Choi E..Y, .Magee D., Stets C.W., During M.J. Social overcrowding as a chronic stress model that increases adiposity in mice. Psychoneuroendocrinology. 2015. 51: 318–330.
 - Matsumoto K., Fujiwara H., Araki R., Yabe T. Postweaning social isolation of mice: a putative animal model of developmental disorders. J. Pharmacol. Sci. 2019. 141: 111–118.
 - Miczek K.A., Thompson M.L., Shuster L. Opioid-like analgesia in defeated mice. Science. 1982. 215: 1520–1522.
 - Moiseeva Yu.V., Khonicheva N.M., Ajrapetyanz M.G., Onufriev M.V., Lazareva N.A., Stepanichev M.Yu., Gulyaeva N.V. Increased anxiety level induced by social crowding stress in rats is not related to changes in the nitrergic system of the brain. Neurochemical Journal. 2009. 3 (1): 57–63.
 - Najjar F., Ahmad M., Lagace D., Leenen F.H.H. Sex differences in depression-like behavior and neuroinflammation in rats post-MI: role of estrogens. Am. J. Physiol. Heart Circ. Physiol. 2018. 315 (5): H1159–H1173.
 - do Nascimento E.B., Dierschnabel A.L., de Macêdo Medeiros A.M., Suchecki D., Silva R.H., Ribeiro A.M. Memory impairment induced by different types of prolonged stress is dependent on the phase of the estrous cycle in female rats. Horm. Behav. 2019. 115: 104563
 - Nagaraja H.S., Jeganathan P.S. Influence of different types of stress on selected cardiovascular parameters in rats. Indian J. Physiol. Pharmacol. 1999. 43 (3): 296–304.
 - Okada R., Marsumoto K., Tsushima R., Fujiwara H., Tsuneyama K. Social isolation stress-induced fear memory deficit is mediated by down-regulated neurosignaling system and Egr-1 expression in the brain. Neurochem. Res. 2014. 39: 875–882.
 - Smitha K.K., Mukkadan J.K. Effect of different forms of acute stress in the generation of reactive oxygen species in albino Wistar rats. Indian J. Physiol. Pharmacol. 2014. 58 (3): 229–232.
 - Spruijt B.M., van Hooff J.A., Gispen W.H. Ethology and neurobiology of grooming behavior. Physiol Rev. 1992. 72 (3):825–52.
 - Tramullas M., Tramullas M., Dinan T.G., Cryan J.F. Chronic psychosocial stress induces visceral hyperalgesia in mice. Stress. 2012. 15 (3): 281–292.
 - Uarquin D.G., Meyer J.S., Cardenas F.P., Rojas M.J. Effect of overcrowding on hair corticosterone concentrations in juvenile male Wistar rats. Journal of the American Association for Laboratory Animal Science. 2016. 55 (6): 749–755.
 - Villa A., Vegeto E., Poletti A., Maggi A. Estrogens, neuroinflammation, and neurodegeneration. Endocr. Rev. 2016. 37 (4): 372–402.
 - Villapol S., Faivre V., Joshi P., Moretti R., Besson V.C., Charriaut-Marlangue C. Early Sex Differences in the Immune-Inflammatory Responses to Neonatal Ischemic Stroke. Int. J. Mol. Sci. 2019. 20 (15). pii: E3809.
 - Walker A.K., Nakamura T., Byrne R.J., Sundresan Naicker, Tynan R.J., Hunter M., Hodgson D.M. Neonatal lipopolysaccharide and adult stress exposure predisposes rats to anxiety-like behaviour and blunted corticosterone responses: implications for the double-hit hypothesis. Psychoneuroendocrinology. 2009. 34: 1515–1525.
 
Supplementary files
				
			
					
						
						
						
						
				





