Dependency of amplitude and phase characteristics of vasomotor oscillations on visual stimulation conditions and experiment duration
- Authors: Kozhukhov S.A.1, Saltykov K.A.1, Bondar I.V.1
 - 
							Affiliations: 
							
- Institute of Higher Nervous Activity and Neurophysiology of the Russian Academy of Sciences
 
 - Issue: Vol 74, No 4 (2024)
 - Pages: 496-514
 - Section: МЕТОДИКА
 - URL: https://journal-vniispk.ru/0044-4677/article/view/269248
 - DOI: https://doi.org/10.31857/S0044467724040108
 - ID: 269248
 
Cite item
Full Text
Abstract
The intrinsic-signal optical imaging is widely used in experimental, theoretical and applied research of the mammal’s brain neocortex functional anatomy. However, a neural activity signal is hidden by the background activity, the amplitude of which is an order of magnitude larger than the mapping signal amplitude. Most of such background activity represents spontaneous oscillations in 0.01–0.15 Hz frequency range related to vasomotor oscillations. In this paper, we point out that such oscillations change their power and phase during the response time course. The most dramatic influence is intrinsic for 0.05–0.15 Hz oscillations. The power of vasomotor oscillations declines more quickly than the stability features of their phase characteristics. Departing from these data, we suggested approaches for minimization of role of vasomotor oscillations in functional maps resulting from intrinsic-signal optical imaging.
Full Text
Метод оптического картирования по внутреннему сигналу (Intrinsic-Signal Optical Imaging) основан на регистрации изменения уровня дезоксигемоглобина (Bonhoeffer, Grinvald, 1991) и/или объема кровеносных сосудов (Sintsov et al., 2017) в активированных участках коры больших полушарий. Этот современный метод успешно применяется в экспериментальных, теоретических и прикладных исследованиях. В экспериментальных исследованиях он идеально подходит для изучения функциональной анатомии как всей коры больших полушарий (Nsigani et al., 2022), так и ее отдельных зон: V1 (Bonhoeffer, Grinvald, 1991; Schumikhina et al., 2018; Fang et al., 2022; Du et al., 2022), V2 (Du et al., 2022; Zhang et al., 2023), V4 (Tang et al., 2020; Fang et al., 2022; Zhang et al., 2023), S1 (Friedman et al., 2020) и пр. Кроме того, при помощи него можно исследовать механизмы, лежащие в основе обработки зрительной (Бугрова, Бондарь, 2019; Tanaka et al., 2020) и тактильной (Xue et al., 2021; Tao et al., 2022) информации, проанализировать динамику функционального строения мозга при онтогенезе (Tanaka et al., 2020; Bibolett-Bahena et al., 2023). В теоретических исследованиях метод востребован для измерения пространственной конфигурации нейронных связей, на основе которой можно улучшить модель первичной зрительной коры (Kozhukhov et al., 2020), либо для составления карты связей всей коры больших полушарий (Cai et al., 2023). Наконец, в прикладных исследованиях оптическое картирование помогает определить изменение функциональных связей в коре при субарахноидальном кровоизлиянии (Chung et al., 2021), исследовать ухудшение зрительной функции при глаукоме (Li et al., 2022), а также оценить эффективность различных способов лечения ишемического инсульта (Bice et al., 2022), мигрени, церебральной ишемии, эпилепсии (Bian at. al., 2021), синдрома Ангельмана (Townsend et al., 2020) и других патологий. Д. Ванг с соавт. также использовали его для оценки изменения тактильного восприятия, связанного с установкой зубного импланта (Tao et al., 2022; Wang et al., 2022). Метод применим и в клинической практике: для более точного определения местоположения и степени активации функциональных областей мозга в процессе нейрохирургической операции (Olschfagel et al., 2022).
Несомненными достоинствами оптического картирования являются относительно высокое пространственное разрешение, которое составляет до 100 мкм (Bonhoeffer, Grinvald, 1991), а также низкая себестоимость (Sintsov et al., 2017; Schumkova et al., 2021). Его временное разрешение в 100 мс (Lu et al., 2017) достаточно для оценки значения латентного периода ответа с погрешностью не более 10 мс (Takashima, Kajiwara, 2021). В отличие от всех остальных методов оптическое картирование также позволяет одновременно регистрировать распространяющуюся корковую деполяризацию (Cortical Spreading Depolarization, CSD), возникающую при субарахноидальном кровоизлиянии, мигрени или эпилепсии (Bian et al., 2021; Lai et al., 2022). А благодаря тому, что оно характеризуется минимальной инвазивностью (Schumkova et al., 2021; Olschfagel et al., 2022), его можно использовать в хирургической практике (Olschfagel et al., 2022).
Несмотря на это, зарегистрированные при помощи этого метода ответы характеризуются высоким уровнем фоновой активности, величина которой может на порядок превышать величину вызванного ответа. Фоновая активность обладает сложной пространственно-временной структурой, и в ней неизбежно присутствуют вазомоторные колебания – спонтанные колебания артериального давления, частоты сердечных сокращений, диаметра русла сосуда и, как следствие, изменений концентрации дезоксигемоглобина (Mayhew et al., 1996; Vermeij et al., 2014; Tong et al., 2019; Кожухов и др., 2022). Эти колебания протекают на частоте от 0.01 до 0.15 Гц. Их источником может служить как сердечно-сосудистая система (Pradhan, Chakravarthy, 2011; Machado et al., 2015; Hald et al., 2018), так и автономная нервная система (Peng et al., 2001; Hald et al., 2018). Тем самым они не являются частью полезного сигнала, а также не влияют непосредственно на активность самих нейронов.
Центральная нервная система может оказывать модулирующее воздействие на вазомоторные колебания. Они могут зависеть от яркости предъявленного стимула (Mayhew et al., 1996), фазы сна (Mayhew et al., 1996), возраста и когнитивной нагрузки (Vermeij et al., 2014). Кроме того, их амплитудные и частотные характеристики могут изменяться в зависимости от активности симпатического отдела нервной системы (Julien et al., 1995; Pradhan, Chakravarthy, 2011). Таким образом, вазомоторные колебания могут меняться как при изменении зрительного стимула, так и в процессе эксперимента. Это, в свою очередь, может привести к ложной интерпретации результатов, полученных при регистрации нейронной активности методом оптического картирования по внутреннему сигналу. Для того чтобы этого избежать, эти особенности необходимо исследовать подробно, после чего учесть их при обработке экспериментальных данных.
В нашей более ранней работе (Кожухов и др., 2022) мы разработали методику для выделения вазомоторных колебаний из исходного оптического сигнала. Мы выделили два диапазона этих колебаний: сверхмедленные (СМЧ/VLF) колебания с частотой до 0.05 Гц, а также медленные (МЧ/LF) колебания с частотами от 0.05 Гц до 0.15 Гц. Удалось также показать, что оба типа колебаний обладают различными физиологическими свойствами: СМЧ-колебания в большей степени преобладали в кровеносном сосуде, а МЧ-колебания – в большей степени в нервной ткани. Кроме этого, у них различались и значения когерентностей. Задачей настоящей работы является исследование зависимости амплитудных характеристик вазомоторных колебаний от геометрических свойств изображения, которое было показано животному, а также изменение их амплитудных и фазовых характеристик в процессе эксперимента.
МЕТОДИКА
Проведение эксперимента и регистрация сигнала
Опыты были проведены на 22 кошках весом 2.5–4 кг. Животным проводилась непрерывная внутривенная инфузия физраствора, содержащего глюкозу и пропофол (5 мг/мл), со скоростью 1.5–2 мл/ч. Они также были иммобилизированы ардуаном и переведены на искусственное дыхание. Череп трепанировали над полями 17 и 18 обоих полушарий, после чего активность этих областей регистрировалась при помощи метода оптического картирования по внутреннему сигналу. Протоколы экспериментов были одобрены Этической комиссией Института ВНД и НФ РАН. Экспериментальная процедура детально описана в работе В.С. Бугровой и И.В. Бондаря (Бугрова, Бондарь, 2019).
Зрительная стимуляция
В камере напротив животного на расстоянии 57 см от центра зрения был размещен плоский монитор с электронно-лучевой трубкой, частота развертки которого составляла 60 Гц. На этом мониторе кошке показывали непрерывно движущийся зрительный стимул, полностью совпадающий с тем, который был использован нами ранее (Бугрова, Бондарь, 2019). Это было сделано для того, чтобы исследовать вазомоторные колебания в условиях, близких к условиям эксперимента.
Зрительный стимул представлял собой серию чередующихся черных и белых полосок определенной ширины, расположенных параллельно друг другу. Эти полосы мы называем прямоугольной решеткой. Размер такой решетки соответствовал размеру монитора. Решетка совершала движение, которое можно представить в виде суперпозиции поступательного и вращательного движений. В ходе поступательного движения решетка перемещалась в направлении, перпендикулярном длинной стороне темных и светлых полосок. Помимо поступательного движения, решетка также вращалась вокруг оси, соединявшей центр зрения животного с центром монитора и перпендикулярной плоскости монитора. Она совершала один полный оборот примерно за 1 минуту (медианное значение – 59.90 с, интерквартильный интервал от 59.89 с до 59.90 с).
Весь эксперимент был разделен на несколько экспериментальных сессий. В ходе каждой экспериментальной сессии геометрические параметры прямоугольной решетки (ее контраст, пространственная частота, скорость поступательного движения, угловая скорость вращательного движения) оставались неизменными. За время одной сессии решетка делала семь оборотов.
Было проведено две серии опытов. В первой серии опытов у 16 животных исследовалась зависимость мощности вазомоторных колебаний от контраста и пространственной частоты показанной животному зрительной решетки, а также динамика амплитудных характеристик нейронного ответа. В этой серии контраст самой решетки менялся от 0.8 до 100% от его максимального значения (медианное значение – 50%, интерквартильный интервал от 12.5 до 100%), а пространственная частота – от 0.01 цикла/градус до 1.6 цикла/градус (медианное значение – 0.2 цикла/градус, а интерквартильный интервал от 0.2 цикла/градус до 0.8 цикла/градус). Скорость поступательного движения решетки выбиралась в диапазоне от 2.5 радусов/с до 20 градусов/с.
Вторая серия опытов проводилась на 21 животном. В ней исследовалось изменение фазовых характеристик вазомоторных колебаний за время проведения эксперимента. Во второй серии опытов контраст и пространственная частота решетки были постоянными и составляли 100% от максимального значения и 0.2 цикла/градус соответственно.
Регистрация оптического сигнала
В процессе записи использовался экспериментальный подход и оборудование, разработанное Валерием Калацким (Kalatsky, Stryker, 2003). Для проведения функционального картирования зрительную кору непрерывно освещали красным светом. Для этого использовался источник «холодного света» (галогеновая лампа Schott KL 1500 HAL, Германия, соединенная со светофильтром). Интенсивность света устанавливали по верхней границе диапазона светочувствительности камеры. Светофильтр позволял пропускать свет с длинами волн от 650 до 680 нм, что соответствовало красной области спектра. Выбор именно таких характеристик светофильтра был обусловлен тем, что в этом диапазоне коэффициент поглощения света дезоксигемоглобином отличается от коэффициента поглощения света оксигемоглобином, и тем самым изменение интенсивности света, отраженного от поверхности коры, соответствовало изменению концентрации дезоксигемоглобина в крови.
Часть света отражалась от коры и прилегающих сосудов, после чего фиксировалась 12-битной ПЗС-камерой (Dalsa 1M60P, США), имевшей матрицу размером 12.4 × 12.4 мм с пространственным разрешением 1024 × 1024 пикс. (геометрический размер 1 пикселя в среднем составлял 12.1 мкм). Изображение коры проецировалось на ПЗС-матрицу при помощи «макроскопа». Макроскоп представлял собой оптическую систему для фокусировки изображения с увеличением, равным 1. Глубина фокусировки составляла 700 мкм и выбиралась таким образом, чтобы избежать артефактов, связанных с движением крови по крупным сосудам мягкой мозговой оболочки.
Видеоизображение коры, представлявшее собой изменение интенсивности оптического сигнала, изначально имело частоту оцифровки 31.2 Гц. В ходе записи сигнала на жесткий диск частота оцифровки уменьшалась до 7.98 Гц, а разрешение каждого кадра – до 512 × 512 пикс.
Выделение вазомоторных колебаний
В результате применения метода оптического картирования нам удалось зарегистрировать последовательность цифровых изображений мозга (кадров), сделанных через равные временные интервалы, составляющие 0.1253 с (рис. 1 (а)). Дальнейшая обработка этих сигналов производилась при помощи методов, подробно описанных в работе Кожухова с соавт. (Кожухов и др., 2022).
Рис. 1. Представление амплитуды оптического сигнала и зависимости мощности вазомоторных колебаний от параметров стимуляции (первая серия): (а) – изображение видимой части коры, зарегистрированное при помощи метода оптического картирования по внутреннему сигналу, на котором прямоугольниками с цифрами 1, 2 отмечены выбранные нами области интереса (ROI): 1 – ROIткань (ROI в нервной ткани), 2 – ROIсосуд (ROI в сосуде); (б) – пример вазомоторных колебаний, зарегистрированных из нервной ткани (левый график) и из кровеносного сосуда (правый график). По оси ординат – относительное изменение внутреннего оптического сигнала, в % от ее среднего значения; (в) – спектрограммы для вазомоторных колебаний, зарегистрированных из нервной ткани (левый график) и из кровеносного сосуда (правый график). Вертикальная пунктирная линия разделяет диапазоны сверхмедленных (СМЧ) и медленных (МЧ) колебаний; (г) – динамика мощности сверхмедленных (слева) и медленных (справа) вазомоторных колебаний, зарегистрированных из нервной ткани. Точками отмечена сама динамика, точки соответствуют отдельным экспериментальным сессиям. Толстая прямая – это линия регрессионной зависимости, полученная при помощи метода линейной регрессии. Пунктирные линии отстоят от линии регрессионной зависимости на величину среднеквадратического отклонения реального графика от регрессионной зависимости. По оси абсцисс – время начала сессии; (д) – изменение контраста решетки за время проведения эксперимента; (е) – зависимость немонотонных изменений мощности медленных (МЧ) колебаний от времени
Fig. 1. An example of data processing for the first block of experiments. (a) – image of a visible part of the cortex recorded by means of intrinsic-signal optical imaging where 1 and 2 corresponds to selected Regions of Interests (ROI): 1 – ROI within the neural tissue, 2 – ROI within the blood vessel; (б) – an example of vasomotor oscillations recorded from the neural tissue (left graph) and blood vessel (right graph). Depicted on ordinate is relative change of intrinsic optical signal, in % from its mean value; (в) – spectrogram for vasomotor oscillations recorded from the neural tissue (left graph) and from the blood vessel (right graph). A vertical dashed line separated very-low frequency (VLF) and low-frequency (LF) oscillation ranges; (г) – dynamics of spectrum power for the very-low-frequency (left graph) and the low-frequency (right graph) oscillations recorded from the neural tissue. The dynamics itself is depicted by the dots where each point corresponds to a particular recording session. Thick line is a trend line obtained by means of linear regression. Dashed lines are displaced from the thick line by the squared mean value of real data vs trend differences. The session start time is depicted on abscissa. (д) – change in stimulus contrast during the whole experiment. (е) – non-monotonic changes in the power of low-frequency (LF) oscillations during the whole experiment
Используя самый первый кадр, на коре отмечались две области интереса (ROI, Regions Of Interest). Первая область включает в себя только нервную ткань, а также примыкающие к ней капилляры и мелкие артериолы, и в настоящей работе обозначается как ткань (рис. 1 (а-1)). Другая область представляла собой крупную артериолу, которая делит видимую часть полушария на две неравные части, в настоящей работе обозначается как сосуд (рис. 1 (а-2)).
Временны́е зависимости интенсивности зарегистрированного оптического сигнала были получены для каждого пикселя, входящего в состав ROI. Эти зависимости усреднялись по всем этим пикселям. Усреднение производилось с целью уменьшения вклада шума в зарегистрированный нами сигнал.
Полученные усредненные зависимости содержали в себе медленные непериодические изменения внутреннего сигнала (или изолинию), связанные с изменением общего уровня метаболизма. Для оценки данных изменений мы использовали метод скользящего среднего с радиусом усреднения, равным длительности одного цикла. Полученная таким образом изолиния вычиталась из исходного сигнала. Параллельно этому мы нормировали наш сигнал на его значение, усредненное как по ROI, так и по времени. Такое нормирование было сделано для того, чтобы получить измерения, которые в первую очередь определяются физиологическими свойствами коры, а не характеристиками ее освещения. В результате такой нормировки получались значения, выраженные в процентах от среднего значения интенсивности света.
В результате вышеописанных манипуляций мы получали сигнал, который содержал в своем составе вазомоторные колебания, дыхательный и сердечный ритмы. Поскольку вазомоторным колебаниям соответствует частотный диапазон до 0.15 Гц (Pradhan, Chakravarthy, 2011; Кожухов и др., 2022), а дыхательному ритму – диапазон от 0.2 Гц (Бугрова, Бондарь, 2019), то для выделения вазомоторных колебаний из полученного сигнала мы использовали низкочастотный цифровой фильтр Баттерворта десятого порядка с полосой пропускания до 0.15 Гц.
Зависимость мощности вазомоторных колебаний от времени и зрительного стимула
В дальнейшем обе серии опытов обрабатывались по-разному.
Первая серия была проведена на 16 животных, которым предъявлялись решетки различной ориентации и пространственной частоты. Всего было получено 599 записей. Главной целью этой серии опытов было определить, как спектральная мощность вазомоторных колебаний зависела от контраста и пространственной частоты решетки. Тем не менее, в ходе обработки первой серии опытов, удалось добиться и других целей: определить, как мощность вазомоторных колебаний меняется за время проведения эксперимента. Пример обработки данных в первой серии опытов приведен на рис. 1.
На рис. 1 (б) приведен пример вазомоторных колебаний для одной из таких записей, отведенных от нервной ткани (слева) и кровеносного сосуда (справа). Мы первым этапом выделили из исходного сигнала сверхмедленные (СМЧ/VLF) и медленные (МЧ/LF) колебания. Для этого для каждого из сигналов была построена спектральная плотность мощности (СПМ, рис. 1 (в)). На получившейся спектрограмме было выделено два частотных диапазона: СМЧ, соответствующий частотам до 0.05 Гц, кроме частот, кратных частоте зрительной стимуляции, а также МЧ-диапазон, которому соответствовали частоты от 0.05 Гц до 0.15 Гц, кроме частот, кратных частоте стимуляции. Как это было описано во введении, оба типа колебаний обладают различными физиологическими свойствами.
Спектральная мощность (СМ) каждого компонента была вычислена как сумма квадратов по всем точкам спектрограммы, входящим в вышеупомянутый частотный диапазон. Каждую из таких СМ мы объединяли по различным экспериментальным сессиям, относящимся к определенному животному, и на основании группы точек строился график, который показывал, как мощность СМЧ- или МЧ-колебаний зависела от времени начала экспериментальной сессии (рис. 1 (г), точки).
Теперь, для того чтобы определить, как спектральная мощность (СМ) колебаний зависела от вышеупомянутых параметров зрительного стимула, мы приняли решение рассчитать коэффициент корреляции по Пирсону между значениями этой мощности и соответствующими характеристиками изображения. Однако для того, чтобы рассчитать этот коэффициент, требовалась однородность выборки. Поэтому мы решили сделать наши данные более однородными, для чего мы сначала провели линейную регрессию и выявили монотонные систематические изменения спектральной мощности (СМ). Сама регрессионная зависимость (рис. 1 (г), толстая линия) представляет собой линейную аппроксимацию исходных данных следующего вида:
, (1)
где P(t) – исходная зависимость СМ вазомоторных колебаний от времени, P0 – значение линейной аппроксимации этой мощности в начале эксперимента, k – значение наклона регрессионной прямой, а Pnm – немонотонные составляющие изменений СМ-колебаний.
Регрессионный метод позволял не только уменьшить степень неоднородности данных, но и дополнительно оценить общие тенденции к изменению спектральной мощности (СМ) вазомоторных колебаний за время проведения. Эти тенденции определялись по наклону регрессионной прямой (величина k в формуле (1)). Для того чтобы определить, сохранялась ли эта тенденция для всех животных, мы вычислили, насколько указанный наклон достоверно отличался от нуля. В качестве критерия достоверности был выбран критерий Вилкоксона, так как мы имели дело с набором независимых друг от друга значений случайной величины. Применение критерия Вилкоксона для регрессионного коэффициента k позволяло определить преобладание положительных значений (увеличение СМ-колебаний) над отрицательными (уменьшение СМ-колебаний), и наоборот. Под преобладанием тех или иных изменений мы понимали отсутствие симметрии распределения величины k относительно нуля. Поскольку мы проводили при этом четыре сравнения, то дополнительно применяли поправку Бонферрони на множественные сравнения.
Наконец, последним этапом анализа был расчет коэффициентов корреляции по Пирсону между уже более однородным значением Pnm (см. формулу (1)) и каждым из параметров стимула (контраста или пространственной частоты). Вследствие того, что в нашу регрессионную модель не была заложена зависимость от зрительного стимула, мы можем считать, что данный коэффициент корреляции также отражает взаимосвязь между исходной спектральной мощностью (СМ) вазомоторных колебаний (величина P(t) в формуле (1)) и вышеупомянутыми геометрическими характеристиками стимула.
Достоверность коэффициента корреляции определялась по методу Монте-Карло. Применение данного метода было обусловлено отсутствием стандартных статистических методов для анализа данной выборки. Для того чтобы этот метод применить, мы «перемешивали» значения СМ-колебаний и одного из вышеупомянутых параметров стимула, располагая их в случайном порядке и независимо друг от друга. В результате этого у нас получались «суррогатные» данные, по которым строился «суррогатный» коэффициент корреляции. Подобная процедура повторялась 20000 раз, и на основе этого количества итераций оценивалась плотность распределения вероятности такого «суррогатного» коэффициента. Количество «суррогатных» коэффициентов, значения которых по абсолютной величине превышали измеренный нами коэффициент корреляции, и отражало достоверность найденного нами значения. К этой достоверности впоследствии применялась поправка Холма-Бонферрони на множественное сравнение (Holm, 1979). Выбранное нами общее количество перемешиваний (20 000) позволяло получить значение достоверности с точностью в 5×10–5, что необходимо для применения поправки Холма-Бонферрони; при этом проведение расчетов требовало оптимального расхода вычислительных ресурсов.
Относительная кросс-спектральная мощность (ОКСМ) вазомоторных колебаний
Для того чтобы определить, насколько фазовые характеристики вазомоторных колебаний сохраняются при проведении эксперимента, мы вычислили для них относительную кросс-спектральную мощность (ОКСМ). Для анализа такой когерентности использовались данные второй серии опытов, которая была проведена на 21 животном. У этих животных в разные моменты времени регистрировались вазомоторные ответы на один и тот же зрительный стимул: прямоугольную решетку с контрастом 100% и пространственной частотой 0.2 цикла/градус.
Как и в первой серии опытов, мы также брали серию последовательных кадров (рис. 2 (а)) и уже на ее основе строили вазомоторные колебания в различные моменты времени (рис. 2 (б)) в виде одного ряда.
Рис. 2. Исследование фазовых характеристик вазомоторных колебаний (вторая серия). Для наглядности показаны только колебания, зарегистрированные в кровеносном сосуде: (а) – изображение видимой части коры, зарегистрированное при помощи метода оптического картирования по внутреннему сигналу. Обозначения те же, что и на рис. 1 (а); (б) – примеры вазомоторных колебаний, зарегистрированных в разные моменты времени. Сверху над графиками указано время начала сессии относительно времени начала эксперимента. Остальные обозначения те же, что и на рис. 1 (б)% (в) – модуль кросс-спектральной плотности для пар вазомоторных колебаний, изображенных на рис. (б). Вертикальная пунктирная линия разделяет диапазоны сверхмедленных (слева) и медленных (справа) колебаний% (г) – кросс-спектральные матрицы, построенные для сверхмедленных (слева) и медленных (справа) колебаний. По оси абсцисс – время начала одной сессии, по оси ординат – время начала другой сессии, цвет каждой точки на графике отражает значение кросс-спектральной мощности для пары сессий, соответствующих абсциссе и ординате этой точки. Соответствующий цветовой код расположен справа от графиков; (д) – зависимость кросс-спектральной мощности от времени для пар записей, рассмотренных на рис. (в) и (г). Высота столбика соответствует средней кросс-спектральной мощности, рассчитанной за 10 мин. По оси абсцисс – значение временного лага, по оси ординат – кросс-спектральная мощность; (е) – ОКСМ для записей, рассмотренных выше. По оси абсцисс – временной промежуток, по оси ординат – значение временной когерентности в данном временном промежутке
Fig. 2. An example of data processing for the second block of experiments: (а) – an image of the visible part of the cortex recorded by means of intrinsic-signal optical imaging. Designations are the same as in Fig. 1 (a); (б) – examples of vasomotor oscillations recorded at different time sessions. The session start time is at the top of the graphs. The other designations are the same as in Fig. 1 (б); (в) – absolute value of cross-spectral density for pairs of vasomotor oscillations depicted in Fig. (б). A vertical dashed line separated very-low-frequency (at the left) and low-frequency (at-the-right) oscillation ranges; (г) – cross-spectral matrices plotted for very-low-frequency (on the left) and low-frequency (on the right) oscillation ranges. The session start time is depicted on abscissa, another session start time is depicted on ordinate, a color of each point reflects cross-spectrum power for a pair of oscillations related to abcissa and ordinate of that point. Corresponding color code is at the right of both graphs; (д) – dependency of cross-spectral power for two oscillations pairs shown in Fig. (в) and (г) from time lag. A bar height corresponds to the average cross-spectrum power estimated within the 10 minutes interval. Temporary lag value in on the abscissa, cross-spectrum power is on the ordinate; (е) – temporal coherence between records shown above. Time lag is on the abscissa, temporal coherence value is on the ordinate
Тем не менее дальнейшая обработка данных этой серии опытов отличалась: из этого ряда сессий (рис. 2 (б)) брались всевозможные пары сессий. Каждая такая пара характеризовалась определенным временным промежутком. Этот промежуток определялся как разность между временами начала этих сессий. Для этих пар вычислялась кросс-спектральная плотность мощности (рис. 2 (в)), которая отражала взаимосвязь между колебаниями: чем она выше, тем сильнее друг с другом эти колебания взаимосвязаны.
Для каждой из кросс-спектральных плотностей мощности (рис. 2 (в)) выделялись СМЧ- и МЧ-диапазоны точно так же, как это делалось ранее. В каждом из таких диапазонов рассчитывалась кросс-спектральная мощность (КСМ), как сумма таких плотностей по всем точкам, входящим в заданный диапазон. Кросс-спектральные мощности (КСМ) для всех пар мы свели в единую кросс-спектральную матрицу (рис. 2 (г)) – таблицу, каждая клетка которой отражала кросс-спектральную мощность между двумя заданными парами колебаний.
Как видно из графика на рис. 2 (г), наибольшие значения КСМ наблюдаются на главной диагонали, когда вычисляется кросс-спектральная мощность (КСМ) между заданным сигналом и им самим. При удалении от главной диагонали диаграммы увеличивается временной промежуток и, как это видно на рисунке, уменьшается кросс-спектральная плотность мощности. Характер такого уменьшения был исследован более подробно. Для этого были объединены все пары записей с определенным значением промежутка, и по этим парам усреднили кросс-спектральную мощность. В итоге получилась зависимость КСМ от значения временного промежутка, пример которой изображен на рис. 2 (д).
Эта зависимость характеризовалась относительно малым числом точек и низким соотношением сигнал/шум. Для увеличения соотношения сигнал/шум весь диапазон временных промежутков был разделен на несколько фиксированных поддиапазонов, и в каждом из таких поддиапазонов кросс-спектральная мощность (КСМ) усреднялась.
Подобные усредненные значения КСМ зависели как от степени взаимосвязи между двумя колебательными процессами, зарегистрированными в различные моменты времени, так и от значений спектральных мощностей (СМ) самих колебаний. Для того чтобы получить новую величину, зависящую только от степени взаимосвязи между двумя колебательными процессами, значение КСМ для заданного поддиапазона было разделено на аналогичное значение для нулевого поддиапазона. Вследствие этого была получена величина, называемая относительной кросс-спектральной мощностью (ОКСМ). Пример такого значения приведен на рис. 2 (е). Это значение находится в интервале от 0.0 до 1.0: нулевое значение соответствует отсутствию взаимосвязи, а единица – полной взаимосвязи. Для анализа ОКСМ мы применили критерий Фридмана, а также критерий Вилкоксона с поправкой на множественное сравнение.
Статистическая обработка данных
Статистический анализ данных проводился по следующей схеме: вначале мы вычисляли промежуточные статистические показатели (см. выше) для каждого животного в отдельности. После этого мы проводили статистический анализ для уже вычисленных нами промежуточных показателей, на основе которого были получены итоговые статистические данные. Благодаря такому подходу каждое животное вносило одинаковый вклад в полученные результаты. Помимо этого, мы избегали применения одних и тех же статистических методов для набора данных, содержащего повторные и независимые измерения.
Анализ проводился в системе Python 3.10 с использованием пакетов scipy 1.8.1, pandas 1.1.5 и pingouin 0.5.3. В качестве анализа достоверности применялись критерий Вилкоксона, метод Монте-Карло, либо тест Фридмана (см. выше).
При упоминании статистических данных приводится их медианное значение, а в скобках – интерквартильный интервал.
РЕЗУЛЬТАТЫ ИССЛЕДОВАНИЙ
Изменение амплитудных характеристик за время проведения эксперимента
Будем описывать результаты исследования в том порядке, в котором они были нами получены. Начнем со свойств приведенной на рис. 1 (г) регрессионной зависимости. Пример такой зависимости для одного из животных изображен на рис. 3 (а – г).
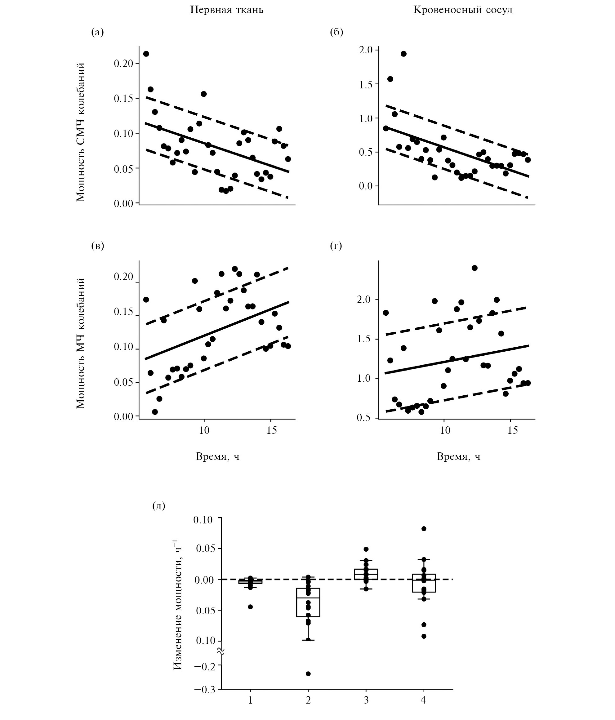
Рис. 3. Зависимость мощности вазомоторных колебаний от времени. (а), (б), (в), (г) – пример подобной зависимости для животного, рассмотренного на рис. 1. На (а), (б) – колебания, зарегистрированные в нервной ткани, на (в) и (г) – колебания, зарегистрированные в кровеносном сосуде. На (а) и (в) – сверхмедленные колебания, на (б) и (г) – медленные колебания. Тонкой линией отмечена сама динамика, точки соответствуют отдельным экспериментальным сессиям. Толстая прямая – это линия регрессионной зависимости, полученная при помощи метода линейной регрессии. Пунктирные линии отстоят от линии регрессионной зависимости на величину среднеквадратического отклонения реального графика от регрессионной зависимости. По оси абсцисс – время начала сессии. (д) – статистика по наклону регрессионной зависимости. По абсциссам: 1 – сверхмедленные колебания, зарегистрированные в нервной ткани, 2 – сверхмедленные колебания, зарегистрированные в кровеносном сосуде, 3 – медленные колебания, зарегистрированные в нервной ткани, 4 – медленные колебания, зарегистрированные в кровеносном сосуде. Каждому из приведенных параметров соответствует диаграмма «усатый ящик»; границами ящика служат 25-й и 75-й процентили (первый и третий квартили). Линия в середине ящика обозначает медианное значение. Черными кружками обозначены исходные данные. В случае, если эти данные не выходят за границы «усов», то границы усов соответствуют максимальному и минимальному значениям. В противном случае границы усов выбраны таким образом, чтобы расстояние от границ ящика до границ усов было в 1.5 раза больше интерквартильного интервала
Fig. 3. Dependency of the power of vasomotor oscillations on time. (а), (б), (в), (г) – an example of such dependency for an animal shown in Fig. 1. Depicted on (а), (б) are oscillations recorded from the neural tissue, shown on (в), (г) are oscillations revealed from the blood vessel. Very-low-frequency oscillations are shown on Fig. (а), (в) and low-frequency oscillations are shown in Fig. (б), (г). Each black point relates to stand-alone recording session. A thick line is a trend line revealed by means of linear regression. Dashed lines are separated from the thick line by the distance equal to standard deviation of real graph from the linear trend. Session start time is depicted on abscissa; (д) – regression slope statistics for very-low-frequency oscillations in the tissue (1), very-low-frequency oscillations from the vessel (2), low-frequency oscillations from the tissue (3) and low-frequency oscillations from the vessel (4). A box plot diagram is plotted for each of these cases which meaning is the following: box borders relate to 25-th and 75-th percentile, a line at the middle of the box is for median value. Black circles relate to single data points. If there is no data lying outside the whiskers, whisker borders relate to maximum and minimum values. Otherwise, the whisker length is 1.5 times higher that interquantile interval
На рис. 3 (а) представлен пример динамики мощности сверхмедленных колебаний, зарегистрированных в нервной ткани (черные точки). Из графика видно, что мощность этих колебаний менялась немонотонным образом. Тем не менее среднее значение этой мощности медленно, но монотонно падало со временем (рис. 3 (а), толстая сплошная линия). Подобное поведение было характерно и для кровеносного сосуда (рис. 3 (б)). Изменение мощности медленных колебаний проходило сходным образом, однако там среднее значение мощности, наоборот, росло (рис. 3 (в) и (г)).
На рис. 3 (д) представлена статистика наклонов регрессионных зависимостей для всех типов колебаний. Каждый столбик на этом рисунке соответствует отдельному типу колебаний и отдельной ROI. Как видно из графиков, наклон (величина k в уравнении (1)) регрессионной прямой для сверхмедленных колебаний в большинстве случаев строго меньше нуля, в то время как для медленных колебаний он строго больше нуля.
Скорость изменения среднего значения мощности определялась как отношение наклона регрессионной прямой к ее пересечению с осью Y на основе следующей формулы:
, (2)
где ΔP/P – относительное изменение среднего значения мощности, а k, P0 – упомянутые в уравнении (1) параметры линейной регрессии.
На основе данного показателя было установлено, что каждый час монотонная составляющая мощности сверхмедленных колебаний, зарегистрированных в нервных тканях (рис. 3 (д-1)), уменьшается на 4.34% (3.13% – 5.46%), а такая же составляющая у медленных колебаний, зарегистрированных там же (рис. 3 (д-3)), напротив, увеличивается на 6.94% (0.67% – 27.8%). Эти изменения достоверно преобладали для всех животных (критерий Вилкоксона, p < 0.001 для сверхмедленных и p < 0.0110 для медленных колебаний, порог для достоверности с поправкой на множественное сравнение составляет 0.0125). Аналогичная ситуация наблюдается и для кровеносного сосуда: монотонная составляющая мощности сверхмедленных колебаний (рис. 3 (д-2)) уменьшается на 5.65% (4.68% – 6.96%, p < 10–4), а уменьшение составляющей мощности медленных колебаний (рис. 3 (д-4)) в 1.37% (–2.49% – 3.69%) не преобладало. Таким образом, можно прийти к выводу, что в процессе эксперимента меняется не только мощность, но и их спектральный состав: доля медленных колебаний постепенно растет, а доля сверхмедленных – падает. Более подробное статистическое описание вышеупомянутых величин приведено в табл. 1.
Таблица 1. Статистическое описание величин относительного изменения среднего значения мощности вазомоторных колебаний
Table 1. Statistical description for values of the relative change of power of vasomotor oscillations
Величины относительно измерения  | СМЧ, ткань  | МЧ, ткань  | СМЧ, сосуд  | МЧ, сосуд  | 
Медиана, %  | –4.34  | 16.94  | –5.65  | –1.37  | 
Интерквартильный интервал, %  | –5.47÷ –3.14  | 0.70–27.81  | –6.96÷ –4.69  | –3.69–2.49  | 
Среднее значение, %  | –3.16  | 22.89  | –5.34  | 11.87  | 
Стандартное отклонение, %  | 4.09  | 35.47  | 3.25  | 45.37  | 
Ошибка среднего, %  | 1.03  | 8.87  | 0.81  | 11.34  | 
Проверка распределения на нормальность по тесту Шапиро – Уилка  | p < 0.002  | p < 10–4  | p = n.s.  | p < 10–6  | 
Доверительные интервалы, %  | –7.24÷ –4.06  | 
Обозначения. СМЧ – сверхмедленные колебания, МЧ – медленные колебания, ткань – отведение от нервной ткани, сосуд – отведение от кровеносного сосуда. В тесте Шапиро–Уилка нулевая гипотеза соответствует нормальному распределению. Доверительные интервалы приведены для среднего значения, указаны только для нормального распределения и соответствуют доверительной вероятности 0.95.
Designations. СМЧ – very low frequency oscillations, МЧ – low frequency oscillations, ткань – record from the neural tissue, сосуд – record from the blood vessel. The null hypothesis corresponds to the normal distribution in Shapiro-Wilk test. The confidence intervals are denoted for the normal distribution only; they are given for the average value and relate to 0.95 confidence probability.
Влияние зрительного стимула и частоты сердечных сокращений на мощность вазомоторных колебаний
Следующий этап обработки данных первой серии опытов состоял в вычислении коэффициента корреляции по Пирсону между геометрическими параметрами зрительного стимула (пример такой зависимости приведен на рис. 1 (д)) и остаточным членом линейной регрессии (величина Pnm в уравнении (1), пример см. на рис. 1 (е)). В большинстве случаев значение этой корреляции оказалось незначимо. Только у одного животного мощность медленных колебаний, зарегистрированных в кровеносном сосуде, достоверно коррелировала с контрастом стимула (r = 0.25, p < 0.00070, что ниже уровня достоверности, рассчитанного с применением поправки Холма–Бонферрони, составившего в данном случае 0.00078).
Была также проанализирована зависимость мощности колебаний от пространственной частоты решетки, однако в этом случае нам не удалось обнаружить достоверной взаимосвязи между этими параметрами ни у одного животного.
У трех животных удалось выявить взаимосвязь мощности вазомоторных колебаний с частотой сердечных сокращений (ЧСС). У одного животного от ЧСС зависели только колебания, зарегистрированные в кровеносном сосуде (для сверхмедленных колебаний r = 0.53, p < 0.0003; для медленных колебаний r = 0.52, p < 0.0004), у другого – только медленные колебания (для нервной ткани r = –0.12, p < 0.0002; для кровеносного сосуда r = –0.12, p < 5 × 10–4). Наконец, у третьей кошки достоверно отличной от нуля оказалась только взаимосвязь с медленными колебаниями, зарегистрированными в кровеносном сосуде (r = –0.12, p < 0.0003).
Проверка по критерию Вилкоксона на отличие от нуля значения коэффициента корреляции для всех кошек не выявила преобладания ни в сторону увеличения, ни в сторону уменьшения.
Относительная кросс-спектральная мощность (ОКСМ) вазомоторных колебаний
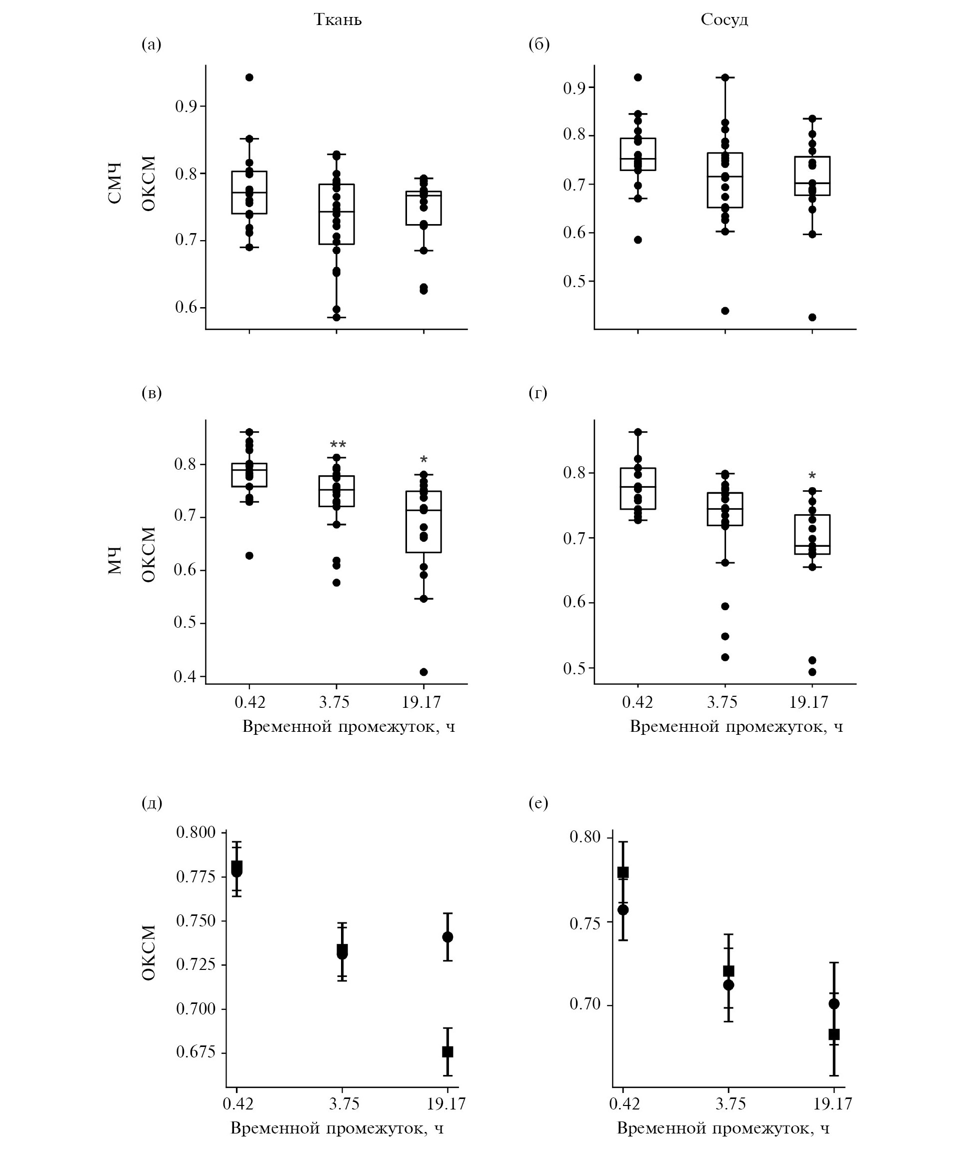
Наконец, в ходе обработки данных второй серии опытов были рассмотрены пары вазомоторных колебаний, записанные на одном и том же животном в различные моменты времени с разностью определенной величины, называемую временным промежутком. Степень взаимосвязи между этими колебаниями оценивалась по такому параметру, как ОКСМ: ОКСМ в 0.0 соответствует отсутствию какой-либо взаимосвязи, а 1.0 – полной взаимосвязи между ними.
На рис. 4 (а) и 4 (б) приведена статистика по ОКСМ для сверхмедленных колебаний. Из графиков видно, что ее величина не зависит от временного промежутка. Проверка этой гипотезы на основе теста Фридмана не выявила влияния временного промежутка на ОКСМ колебаний.
Рис. 4. ОКСМ вазомоторных колебаний при различных временных промежутках: (а) – для сверхмедленных колебаний, зарегистрированных в нервной ткани; (б) – для сверхмедленных колебаний, зарегистрированных в кровеносном сосуде; (в) – для медленных колебаний, зарегистрированных в нервной ткани; (г) – для медленных колебаний, зарегистрированных в кровеносном сосуде; (д) – сравнение когерентностей у сверхмедленных (●) и медленных (■) колебаний, зарегистрированных в нервной ткани; (е) – сравнение когерентностей у сверхмедленных (●) и медленных (■) колебаний, зарегистрированных в кровеносном сосуде. На рис. (а), (б), (в), (г) прямоугольник, усы и точки над и под ними означают то же самое, что и на рис. 3. Звездочки указывают достоверность различия между данным значением когерентности и значением когерентности при временном промежутке в 0.42 ч: * – p < 0.004 (соответствует порогу достоверности в 0.05 с учетом поправки Бонферрони); ** – p < 0.0004; *** – p < 0.00004. На рис. (д), (е) каждая точка соответствует среднему значению, «усы» соответствуют ошибке среднего.
Fig. 4. Temporal coherence of vasomotor oscillations revealed under difference time lags. (а) – temporal coherence for the very-low-frequency oscillations in the tissue, (б) – temporal coherence for the very-low-frequency oscillations in the vessel; (в) – temporal coherence for the low-frequency oscillations in the tissue; (г) – temporal coherence for the low-frequency oscillations in the vessel; (д) – comparison of coherence between very-low-frequency and low-frequency oscillations recorded in neural tissue; (е) – comparison of temporal coherence between very-low-frequency and low-frequency oscillations in the blood vessel. On Fig. (а), (б), (в), (г): box plot description is the same as for Fig. 3. Stars are reliability value for temporal coherence for a given time lag vs temporal coherence for 0.42 hours time lag: * – p < 0.004 (corresponds to reliability threshold of 0.05 after Bonferroni correction), ** – p < 0.0004; *** – p < 0.00004. On Fig. (д), (е): each point represents the mean value, whiskers relate to the standard error of mean
Однако для медленных колебаний ситуация прямо противоположная (рис. 4 (в), (г)): у них при увеличении промежутка ОКСМ снижается как у колебаний, зарегистрированных в нервной ткани (p < 6×10–5; тест Фридмана), так и у колебаний в сосуде (p < 0.005).
На рис. 4 (д) изображены графики зависимости временной когерентности для сверхмедленных (сплошная линия) и медленных (пунктир) колебаний, отведенных от нервной ткани. На графиках видно, что если на коротких временных промежутках (до 4 ч) оба типа колебаний имеют одинаковую ОКСМ, то на больших промежутках (свыше 15 ч) эта ОКСМ у медленных колебаний продолжает падать, а у сверхмедленных остается неизменной. В результате этого у медленных колебаний она становится ниже, чем у сверхмедленных. На большом промежутке времени ОКСМ у сверхмедленных колебаний достоверно выше, чем ОКСМ у медленных колебаний (критерий Вилкоксона, p < 0.008, что соответствует порогу достоверности p < 0.008 с учетом поправки Бонферрони).
ОКСМ для колебаний, зарегистрированных в кровеносном сосуде, меняется совсем по-другому (рис. 4 (е)). Видно, что зависимость когерентности от временного промежутка для сверхмедленных колебаний (сплошная линия) ничем не отличается от аналогичной зависимости для медленных колебаний (пунктирная линия). Проверка по критерию Вилкоксона не позволила выявить достоверных различий.
Наконец, для того, чтобы измерить, на сколько падает ОКСМ, мы разбили все пары колебаний по всем кошкам на пять различных групп, каждая из которых соответствует определенному диапазону временных промежутков (рис. 5 (а – г)). Затем для каждой группы было рассчитано медианное значение колебаний, после чего построена линейная регрессия по этим медианным значениям следующей зависимостью:
, (3)
где C – медианное значение этой когерентности для заданного поддиапазона временных промежутков, C0 – медианное значение регрессии для нулевого поддиапазона временных промежутков, vc – скорость ее уменьшения, Cx – ее составляющие, которые не могут быть объяснены данной регрессионной моделью.
Рис. 5. Изменение временной автокогерентности вазомоторных колебаний при увеличении временного промежутка: (а) – для сверхмедленных колебаний, зарегистрированных в нервной ткани; (б) – для сверхмедленных колебаний, зарегистрированных в кровеносном сосуде; (в) – для медленных колебаний, зарегистрированных в нервной ткани; (г) – для медленных колебаний, зарегистрированных в кровеносном сосуде. На всех рисунках: толстые сплошные линии – это регрессии, построенные по медианам, остальные обозначения (т.н. ящик с усами) такие же, как и на рис. 3
Fig. 5. Change in temporal coherence for vasomotor oscillations related to the change of the time lag: (а) relates to the very-low-frequency oscillations in the tissue; (б) is for very-low-frequency oscillations in the vessel; (в) is for low-frequency oscillations in the tissue; (г) is for low-frequency oscillations in the vessel. Denoted on all figures: a thick line is for regression plotted using medians, other designations are the same as in Fig. 3
Относительная скорость уменьшения ОКСМ определялась следующим образом:
, (4)
где vc, rel – относительная скорость уменьшения ОКСМ, vc, С0 – параметры линейной регрессии, определенные в соответствии с формулой (3).
Нам удалось показать, что относительное падение ОКСМ для сверхмедленных колебаний составляет 0.09% в час, медленных колебаний, зарегистрированных в нервных тканях – 0.49% в час, а медленных колебаний, зарегистрированных в кровеносных сосудах, – 0.24% в час.
ОБСУЖДЕНИЕ РЕЗУЛЬТАТОВ
В нашей работе было показано, что за время эксперимента вазомоторные колебания изменяются как по фазе (уменьшается их ОКСМ), так и по мощности и форме спектра (уменьшается спектральная мощность у сверхмедленных колебаний и увеличивается у медленных). Зависимость мощности колебаний от параметров зрительной стимуляции наблюдается крайне редко.
Вазомоторные колебания как пример проявления динамического хаоса
В настоящей работе наблюдались признаки хаотичности вазомоторных колебаний: большая ширина спектра (рис. 1 (в)), а также относительно низкие значения ОКСМ, которые со временем становятся меньше. Эти признаки также были описаны в доступной нам литературе. В частности, широкая форма спектра была продемонстрирована и ранее (Mayhew et al., 1996; Fukunaga et al., 2006; Pradhan, Chakravarthy, 2011). Гриффит и Эдвардс (Griffith, Edwards, 1994) при помощи вычисления фрактальной размерности колебаний смогли количественно оценить степень их хаотичности. Они пришли к выводу, что вазомоторные колебания обладают достаточно высокой степенью хаотичности.
Подобная хаотичность этих колебаний обусловлена особенностями их формирования. Их источником может служить любая гладкомышечная клетка артериол (Peng et al., 2001). Более того, и внутри самой клетки существует несколько различных вазомоторных осцилляторов (Pradhan, Chakravarthy, 2011): мембрана саркоплазматического ретикулума, плазматическая мембрана клетки, метаболический осциллятор и пр. В саркоплазматическом ретикулуме, кроме того, также имеются два различных осциллятора, основанных на работе двух разных типов Ca2+-каналов (Parthimos et al., 2007). Как следствие, каждой мышечной клеткой генерируются сложные колебательные паттерны, которые синхронизируются друг с другом при помощи щелевых контактов (Peng et al., 2001). Эти колебания вызывают столь же сложные колебательные сокращения стенки сосуда, что и приводит к периодическим изменениям артериального давления, локального кровотока, а значит, и концентрации дезоксигемоглобина в крови. В такой системе сверхмедленные (VLF) колебания генерируются преимущественно в крупных артериолах, а медленные (LF) – в мелких (Pradhan, Chakravarthy, 2011). Между этими двумя типами осцилляторов возможно как электрическое, так и гидродинамическое взаимодействие (Pradhan, Chakravarthy, 2011; Кожухов и др., 2022): электрическое взаимодействие осуществляется посредством щелевых контактов, а гидродинамическое взаимодействие – за счет того, что артериальное давление, а вместе с ним и колебания артериального давления распространяются и дальше вдоль русла сосуда в направлении движения крови.
Исходя из вышеперечисленного, можно предположить, что вазомоторные колебания генерируются сложной динамической системой, которая состоит из большого числа взаимодействующих друг с другом нелинейных осцилляторов. Колебания каждого осциллятора имеют свою собственную частоту и амплитуду, и она, в свою очередь, меняется в силу разных причин: изменений свойств ионных каналов, флуктуаций трансмембранного потенциала (Parthimos et al., 2007) и пр. Подобные изменения также могут иметь и бифуркационный характер, вызывая прекращение либо возобновление генерации колебаний (Parthimos et al., 2007). Все это может привести как к плавным, так и к скачкообразным изменениям паттерна регистрируемых нами колебаний (Арнольд, 2009), что и отражается в виде широкого спектра, высокой степени хаотичности и последовательного снижения ОКСМ.
Влияние автономной нервной системы на вазомоторные колебания
Помимо псевдослучайных (псевдохаотических) изменений амплитудно-фазовых характеристик, были выявлены детерминированные монотонные изменения свойств колебаний: за время проведения эксперимента мощность сверхмедленных колебаний последовательно снижалась, а мощность медленных последовательно увеличивалась. В других исследованиях также были обнаружены подобные изменения характеристик этих колебаний, однако все они были вызваны изменением режима работы мозга. Было показано, что вазомоторные колебания на частоте 0.1 Гц меняются при изменении фазы сна (Mayhew et al., 1996; Silvani et al., 2004; Fukunaga et al., 2006). Более детальное исследование позволило продемонстрировать увеличение мощности СМЧ-колебаний при засыпании (Fukunaga et al., 2006). Помимо сна, на спектр колебаний также влияют циркадные ритмы (Takato et al., 1999), а также когнитивные процессы: в частности, когнитивная нагрузка (Vermeij et al., 2014) и сознательное изменение характеристик сердцебиения (Латанов, Панкова, 2018). В настоящем исследовании мы не контролировали и не отслеживали ни один из этих эффектов, поэтому нельзя полностью исключать, что какой-либо из них может обуславливать обнаруженное нами изменение мощности.
В случае, если исследованное в работе монотонное изменение мощности действительно обусловлено одним из этих эффектов, его причиной является влияние автономной нервной системы на регуляцию вазомоторных колебаний. Существуют два механизма, реализующих подобное влияние. Первый механизм – автономная система является дополнительным источником сверхмедленных колебаний, которые проявляются в периодических и систематических изменениях частоты сердечных сокращений или амплитуды артериального давления (Julien et al., 1995; Silvani et al, 2004; Machado et al., 2015; Латанов, Панкова, 2018). Действительно, эти колебания наблюдались даже у пациентов, переживших клиническую смерть (Julien et al., 1995; Machado et al., 2015), однако полностью прекращались при блокировании работы симпатического отдела автономной нервной системы (Julien et al., 1995). На такие изменения влияла фаза сна (Silvani et al., 2004), когнитивная нагрузка (Vermeij et. al, 2014) и процессы, контролируемые сознанием (Латанов, Панкова, 2018). Второй механизм заключается в том, что симпатическая система также иннервирует крупные артериолы, и благодаря этому способна влиять на генерируемые ими вазомоторные колебания локально. На это указывает то, что при аппликации норадреналина на стенки артериол происходит усиление мощности этих колебаний (Hald et al., 2018), а также то, что амплитуда колебаний гидродинамического сопротивления артериол различается для бодрствующего состояния и для сна (Silvani et al., 2004).
Влияние активности исследуемой области на мощность вазомоторных колебаний
В настоящей работе была обнаружена очень слабая зависимость МЧ-колебаний от контраста стимула (из 28 животных только у одного наблюдалась достоверная корреляция между мощностью МЧ-колебаний и контрастом предъявленной решетки) и полное отсутствие влияния стимула на мощность СМЧ-колебаний. Это частично соответствует данным других работ (Mayhew et al., 1996), где также удалось обнаружить подобные изменения. Причиной таких изменений, как нам представляется, являются функциональные связи между исследуемой областью коры и вазомоторной системой. Существует два механизма, при помощи которого нейронная активность, на наш взгляд, может влиять на вазомоторный сигнал. Первый механизм – посредством активации симпатической нервной системы, и он был рассмотрен нами ранее. Второй механизм – при помощи локальной регуляции кровообращения нейронами (Hald et al., 2018): при активации нейроны выделяют оксид азота (NO), который, в свою очередь, воздействует на гладкую мускулатуру артериол, уменьшая тонус сосудов, а также мощность колебаний их стенок. Таким образом, оба процесса являются разнонаправленными, поэтому их совместное влияние на изучаемые нами колебания трудно однозначно интерпретировать.
Новизна работы
Нам удалось количественно измерить изменения амплитудных и фазовых характеристик вазомоторных колебаний. Было показано, что амплитудные характеристики подвержены большим изменениям, чем фазовые: в частности, мощность СМЧ-колебаний уменьшается в большей степени, чем их ОКСМ. Кроме того, медленные (МЧ) колебания претерпевают более значительные изменения, чем сверхмедленные (СМЧ). Оказалось также, что изменение мощности колебаний при изменении стимула несущественно.
Основываясь на этих данных, мы считаем, что оптическое картирование не имеет ограничения на стимулы, которые можно предъявлять животному, однако имеет существенные ограничения на время, в которое регистрируется сигнал. Мы полагаем, что в конце нашего эксперимента получаются более точные записи, чем в его начале. Кроме того, основываясь на том, что за время проведения эксперимента мощность колебаний претерпевает не только случайные, но еще и детерминированные изменения (в частности, мощность СМЧ-колебаний уменьшается), мы рекомендуем в случае, когда необходимо построение контрольных и тестовых карт (например, при оценке влияния обучения, введения того или иного вещества), проводить контрольные измерения как перед тестовыми, так и после тестовых экспериментов.
Практическая значимость полученных результатов
Особенность метода оптического картирования заключается в том, что в процессе эксперимента одновременно регистрируется как вазомоторная активность, так и нейронный ответ. В настоящей работе было показано, что в процессе эксперимента амплитудные и фазовые свойства вазомоторных колебаний претерпевают спонтанные изменения. Это должно неизбежно привести к столь же спонтанным изменениям и в функциональных картах. Функциональные карты, спонтанно меняющиеся во время эксперимента, являются нестабильными. Таким образом, найденные нами изменения вазомоторного сигнала должны служить дополнительным препятствием для стабильной регистрации функциональных карт. Ранее удалось показать, что стабильная регистрация карт ориентационной настройки V1 ограничена периодом времени не более 5 часов (Schumikhina et al., 2018). Анна Рой (Roe, 2007) описала несколько способов увеличить это время. Мы считаем, что эти способы необходимо дополнить методами более надежной фильтрации оптического сигнала от вазомоторных колебаний. В настоящий момент фильтрация такого рода достигается путем выполнения трех операций в процессе обработки картирующего сигнала: временной фильтрации, уменьшения канальности и пространственной фильтрации сигнала. Различные исследователи применяют разные варианты этих операций, и на основе полученных нами данных можно оценить их относительную эффективность.
Временна́я фильтрация основана на том факте, что спектральные свойства сенсорного ответа отличаются от спектральных свойств вазомоторных колебаний. Поэтому, правильно настроив временной фильтр, можно подавить нежелательные нам колебания, не затронув при этом полезный сигнал. В доступной нам литературе применяются два способа такой фильтрации – усреднение по всем предъявлениям (Bonhoeffer, Grinvald, 1991; Friedman et al., 2020; Tao et al., 2022; Wang et al., 2022; Xue et al., 2021) и Фурье-анализ (Kalatsky, Stryker, 2003; Бугрова, Бондарь, 2019; Kozhukhov et al., 2020; Schumikhina et al., 2018; Bibolett-Bahena et al., 2023; Nsigani et al., 2022; Olschfagel et al., 2022). Усреднение позволяет уменьшить мощность постороннего сигнала только в раз, где N – число предъявлений стимула, в то время как быстрый Фурье-анализ не только полностью удаляет из зарегистрированного сигнала дыхательный и сердечный ритмы, но и в большей степени уменьшает вклад вазомоторных сигналов. Таким образом, использование Фурье-анализа на этом этапе более предпочтительно. Кроме этого, основываясь на полученных данных, можно рекомендовать выбирать частоту стимуляции животного в СМЧ-, а не в МЧ-диапазоне, так как, согласно нашим данным, медленные колебания в большей степени подвержены спонтанным изменениям, чем сверхмедленные.
При использовании для временной фильтрации Фурье-анализа в результате получается пространственное распределение комплексного параметра – плотности спектральной мощности сигнала на частоте зрительной стимуляции. На следующем этапе обработки сигнала (уменьшение канальности) производится либо вычисление модуля этого комплексного значения, и тогда получаются амплитудные карты (Бугрова, Бондарь, 2019; Bibolett-Bahena et al., 2023; Olschfagel et al., 2022), либо вычисление его аргумента, и тогда получаются фазовые карты (Schumikhina et al., 2018; Nsigani et al., 2022). Согласно свойствам Фурье-анализа, при спонтанном изменении спектра вазомоторных колебаний амплитудные карты в большей степени искажаются изменениями амплитудных характеристик вазомоторных колебаний, а фазовые карты – изменениями их фазовых характеристик. В нашем исследовании было показано, что амплитудные характеристики обладают меньшей стабильностью, чем фазовые, поэтому использование для анализа фазовых карт, на наш взгляд, предпочтительнее.
Пространственная фильтрация основана на том факте, что вазомоторным колебаниям соответствуют низкие пространственные частоты (Mayhew et al., 1996), а корковым функциональным модулям – высокие (Bonhoeffer, Grinvald, 1991). Поэтому фильтрация картирующего сигнала по пространственным координатам позволяет уменьшить вклад вазомоторных колебаний. В оптическом картировании, как правило, используют два типа фильтров: прямоугольный (Бугрова, Бондарь, 2019; Kozhukhov et al., 2020; Schumikhina et al., 2018; Zhang et al., 2023) или гауссовый (Diu et al., 2023; Tang et al., 2020). Гауссовый фильтр лучше всего подавляет сигнал в полосе заграждения, поэтому для пространственной фильтрации желательно использовать именно его.
В заключение хотелось бы сказать о получивших в последнее время распространение методах обработки оптического сигнала, основанных на применении алгоритмов машинного обучения (Tanaka et al., 2020; Tang et al., 2020; Fang et al., 2022; Diu et al., 2022). Такие методы обработки обеспечивают более надежную фильтрацию сигнала, чем применяемые нами линейные фильтры, однако предъявляют к методике эксперимента дополнительные жесткие требования (так, например, допускается обработка только дискретных, а не непрерывных признаков сенсорного стимула). И хотя применение машинного обучения представляется продуктивным, использование классических методов обработки оптического сигнала дает неограниченные возможности в плане выбора протокола проведения исследования.
ВЫВОДЫ
- Амплитудные и фазовые характеристики вазомоторных колебаний меняются в течение времени проведения эксперимента.
 - Медленные колебания претерпевают более существенные изменения, чем сверхмедленные.
 - Амплитудные характеристики вазомоторных колебаний меняются в большей степени, чем их фазовые характеристики.
 
ИНФОРМАЦИЯ О ВКЛАДЕ КАЖДОГО АВТОРА
И.В. Бондарь – концепция и руководство работой, проведение экспериментов; С.А. Кожухов, К.А. Салтыков – обработка и интерпретация экспериментальных данных; С.А. Кожухов – обсуждение результатов исследования, написание текста статьи.
ИСТОЧНИК ФИНАНСИРОВАНИЯ РАБОТЫ
Работа выполнена в рамках государственного задания Министерства образования и науки Российской Федерации на 2021–2023 гг. (№ АААА-А17-117092040002-6).
КОНФЛИКТ ИНТЕРЕСОВ
Авторы заявляют об отсутствии конфликта интересов.
СОБЛЮДЕНИЕ ЭТИЧЕСКИХ СТАНДАРТОВ
Исследование выполнено в соответствии с этическими нормами обращения с животными, принятыми Европейской конвенцией по защите позвоночных животных, используемых для исследовательских и иных научных целей. Протоколы исследования были одобрены Этической комиссией Института высшей нервной деятельности и нейрофизиологии Российской академии наук (протокол № 5 от 16 апреля 2013 г.).
ДОСТУПНОСТЬ ПЕРВИЧНЫХ ДАННЫХ
Первичные данные экспериментов можно запросить у авторов при необходимости.
About the authors
S. A. Kozhukhov
Institute of Higher Nervous Activity and Neurophysiology of the Russian Academy of Sciences
							Author for correspondence.
							Email: sergei.kozhukhov@ihna.ru
				                					                																			                												                	Russian Federation, 							Moscow						
K. A. Saltykov
Institute of Higher Nervous Activity and Neurophysiology of the Russian Academy of Sciences
														Email: sergei.kozhukhov@ihna.ru
				                					                																			                												                	Russian Federation, 							Moscow						
I. V. Bondar
Institute of Higher Nervous Activity and Neurophysiology of the Russian Academy of Sciences
														Email: sergei.kozhukhov@ihna.ru
				                					                																			                												                	Russian Federation, 							Moscow						
References
- Арнольд В.И. Теория катастроф. М.: Едиториал УРСС. 2008.
 - Бугрова В.С., Бондарь И.В. Устойчивость функциональных доменов ориентационной и дирекциональной чувствительности первичной зрительной коры кошки к воздействию пропофола. Журн. высш. нервн. деят. им. И.П. Павлова. 2019. 69 (2): 218–229.
 - Кожухов С.А., Салтыков К.А., Бондарь И.В. Оптическое картирование зрительной коры: спектральные и амплитудные характеристики вазомоторных колебаний. Журн. высш. нервн. деят. им. И.П. Павлова. 2022. 72 (6): 880–895.
 - Латанов А.В., Панкова Н.Б. Использование метода БОС-коррекции для оптимизации функционального состояния организма человека при высокогорном восхождении. Экология человека. 2018. 25 (4): 22–29.
 - Bibolett-Bahena O., Tissier S., Ho-Tran S., Rojewski A., Casanova C. Enriched environment exposure during deve lopment positively impacts the structure and function of the visual cortex in mice. Sci. Rep. 2023. 13(1): 7020.
 - Bian N., Yuan Y., Li Y., Liu M., Li X. Low-intensity pulsed ultrasound stimulation inhibits cortical spreading depression. Cereb. Cortex. 2021. 531 (8): 3872–3880.
 - Bice A.R., Xiao Q., Kong J., Yan P., Rosenthal Z.P., Kraft A.W., Smith K.P., Wieloch T., Lee J.M., Culver J.P., Bauer A.Q. Homotopic contralesional excitation suppresses spontaneous circuit repair and global network reconnections following ischemic stroke. Elife. 2022. 11: e68852.
 - Bonhoeffer T., Grinvald A. Iso-orientation domains in cat visual cortex are arranged in pinwheel-like patterns. Nature. 1991. 353 (6343): 429–431.
 - Cai X., Xu H., Han C., Li P., Wang J., Zhang R., Tang R., Fang C., Yan K., Song Q., Liang C., Lu H.D. Mesoscale functional connectivity in macaque visual areas. Neuroimage. 2023. 271: 120019.
 - Chung D.Y., Oka F., Jin G., Harriott A., Kura S., Aykan S.A., Qin T., Williams J.E., Lee H., Yaseen M.A., Sakadzic S., Boas D.A., Whalen M.J., Ayata C. Subarachnoid hemorrhage leads to early and persistent functional connectivity and behavioral changes in mice. J. Cereb. Blood Flow Metab. 2021. 41 (5): 975–985.
 - Du X., Jiang X., Kuriki I., Takahata T., Zhou T., Roe A.W., Tanigawa H. Representation of cone-opponent color space in macaque early visual cortices. Front. Neurosci. 2022. 16: 891247.
 - Fang C., Cai X., Lu H. Orientation anisotropies in macaque visual areas. Proc. Natl. Acad. Sci. USA. 2022. 119 (15): e2113407119.
 - Friedman R.M., Gehade N.G., Roe A.W., Gharbawie O.A. Optical imaging reveals functional domains in primate sensorimotor cortex. Neuroimage. 2020. 221: 117188.
 - Fukunaga M., Horovitz S.G., van Gelderen P., Zwart J.A., Jansuma J.M., Ikonomidou V.N., Chu R., Deckers R.H.R., Leopold D.A., Duyn J.H. Large-amplitude, spatially correlated fluctuations in BOLD fMRI signals during extended rest and early sleep stages. Magn. Reson. Imaging. 2006. 24 (8): 979–992.
 - Griffith T.M., Edwards D.H. Fractal analysis of role of smooth muscle Ca2+ fluxes in genesis of chaotic arterial pressure oscillations. Am. J. Physiol. 1994. 266 (5 Pt 2): H1801–H1811.
 - Julien C., Zhang Z.Q., Cerutti C., Barres C. Hemodynamic analysis of arterial pressure oscillations in conscious rats, J. Auton, Nerv. Syst. 1995. 50 (3): 239–252.
 - Hald B.O., Sorensen R.B., Sorensen P.G., Sorensen C.M., Jacobsen J.C.B. Stimulation history affects vasomotor responses in rat mesenteric arterioles. Pflugers Arch. 2019. 471 (2): 271–283.
 - Holm S. A simple sequentially rejective multiple test procedure. Scand. J. Statistics. 1979. 6(2): 65–70.
 - Kalatsky V.A., Stryker M.P. New paradigm map for optical imaging: temporally encoded maps of intrinsic signals. Neuron. 2003. 38 (4): 529–545.
 - Kozhukhov S.A., Ivanov R.S., Bugrova V.S., Verkhlyutov V.M., Ushakov V.L. Functional asymmetry of local connections in V1 and its impact on orientation tuning. Proc. Comp. Sci. 2020. 169: 620–639.
 - Lai J.H., Qin T., Sakadzic S., Ayata C., Chung D. Cortical spreading depolarizations in a mouse model of subarachnoid hemorrhage. Neurocrit. Care. 2022. 37: 123–132.
 - Li M., Chen X., Yuan N., Lu Y., Liu Y., Gong H., Qian L., Andolina I.M., Wu J., Zhang S., McLoughlin N., Sun X., Wang W. Effects of acute high intraocular pressure on red-green and blue-yellow cortical color responses in non-human primates. Neuroimage Clin. 2022. 35: 103092.
 - Lu H.D., Chen G., Cai J., Roe A.W. Intrinsic signal optical imaging of visual brain activity: tracking of fast cortical dynamics. Neuroimage. 2017. 148: 160–168.
 - Machado C., Estevez M., Perez-Nellar J., Schiavi A. Residual vasomotor activity assessed by heart rate variabi lity in a brain-dead case. BMJ Case Rep. 2015. 2015: bcr2014205677.
 - Mayhew J.E., Zheng A.Y., Westby G.W., Redgrave P., Rector D.M., Harper R.M. Cerebral vasomotion: a 0.1-Hz oscillation in reflected light imaging of neural activity. Neuroimage. 1996. 4 (3 Pt 1): 183–193.
 - Nsigani A., Rosario J.D., Yeh A.C., Shin D., Wells S., Lev-Ari T., Williams B., Haider B. Optimizing intact skull intrinsic signal imaging for subsequent targeted electrophysiology across mouse visual cortex. Sci. Rep. 2022. 12 (1): 2063.
 - Olschfagel M., Polanski W.H., Morgenstern U., Steiner G., Kirsch M., Koch E., Schackert G., Sobbotka S. Characterization of cortical hemodynamic changes following sensory, visual and speech activation by intraoperative optical imaging utilizing phase-based evaluation methods. Hum. Brain Mapp. 2022. 43 (2): 598–615.
 - Partimos D., Haddock R.E., Hill C.E., Griffith T.M. Dyna mics of three-variable nonlinear model of vasomotion: comparison of theory and experiment. Biophys. J. 2007. 93 (5): 1534–1556.
 - Pradhan R.K., Chakravarthy V.S. Information dynamics of vasomotion in microvascular networks: a review. Acta Physiol (Oxf). 2011. 201 (2): 193–218.
 - Peng H., Matchkov V.A., Aalkjaer C., Nilsson H. Hypo thesis for the initiation of vasomotion. Circ. Res. 2001. 88 (8): 810–815.
 - Takato R., Korhonen I., Majahalme S., Tuomisto M., Turjanmaa V. Circadian profile of low-frequency oscillations in blood pressure and heart rate in hypertension. Am. J. Hypertens. 1999. 12 (9 Pt. 1): 874–881.
 - Roe A.W. Long-term optical imaging of intrinsic signals in anesthetized and awake monkeys. Appl. Opt. 2007. 46 (10): 1872–1880.
 - Schumikhina S.I., Bondar I.V., Svinov M.M. Dynamics of stability of orientation maps recorded with optical imaging. J. Neuroscience. 2018. 374: 49–60.
 - Silvani A., Bojic T., Franzini C., Lenzi P., Walker A.M., Grantr D.A., Wild J., Zoccoli G. Sleep-related changes in the regulation of cerebral blood flow in newborn lambs. Sleep. 2004. 27 (1): 36–41.
 - Sintsov M., Suchkov D., Khazipov R., Minlebaev M. Developmental changes in sensory-evoked optical intrinsic signals in the rat barrel cortex. Front. Cell Neurosci. 2017. 11: 392.
 - Shumkova V., Sitdikova V., Rechapov I., Leukhin A., Minlebaev M. Effects of urethane and isoflurane on the sensory evoked response and local blood flow in the early postnatal rat somatosensory cortex. Sci. Rep. 2021. 11(1): 9567.
 - Shumikhina S.I., Bondar I.V., Svinov M.M. Dynamics of stability of orientation maps recorded with optical imaging. Neuroscience. 2018. 374: 49–60.
 - Takashima I., Kajiwara R. Voltage-sensitive dyes versus intrinsic signal optical imaging: comparison of tactile responses in primary and secondary somatosensory cortices of rats. Brain Sci. 2021. 11 (10): 1294.
 - Tanaka S., Miyashita M., Wakabayashi N., O’Hashi N., Tani T., Ribot J. Development and reorganization of orientation representation in the cat visual cortex: experience-dependent synaptic rewiring in early life. Front. Neuroinform. 2020. 14: 41.
 - Tang R., Song Q., Li Y., Zhang R., Cai X., Lu H.D. Curvature-processing domains in primate V4. Elife. 2020. 9: e57502.
 - Tao J., Wang D., Jin A., Xue J., Yu H. Response of somatosensory cortex following thermal stimuli to dental implants. Neurosci. Lett. 2022. 784: 136750.
 - Tong Y., Hocke L.M., Frederick B.B. Low frequency syste mic hemodynamic “noise” in resting state BOLD fMRI: characteristics, causes, implications, mitigation strategies and applications. Front. Neurosci. 2019. 13: 787.
 - Townsend L.B., Jones K.A., Dorsett C.R., Philpot B.D., Smith S.L. Deficits in higher visual area representations in a mouse model of Angelman syndrome. J. Neurodev. Disord. 2020. 12 (1): 28.
 - Vermeij A., Meel-van den Abeelen A.S.S., Kessels R.P.C., van Beek A.H.E.A., Claassen J.A.H.R. Very-low-frequency oscillations of cerebral hemodynamics and blood pressure are affected by aging and cognitive load. Neuroimage. 2014. 85 Pt 1: 608–615.
 - Wang D., Tao J., Jin A., Yu H. Tactile sensation of natural teeth and dental implants in the somatosensory cortex. J. Prosthodont. Res. 2022. 66 (2): 272–278.
 - Xue J., Wang D., Jin A., Tao J., Yu H. Invesigating the role of gingiva in the tactile function of teeth at the cortical level. Neurosci. Lett. 2021. 764: 136198.
 - Zhang Y., Schriver K.E., Hu J.M., Roe A.W. Spatial frequency representation in V2 and V4 of macaque monkey. Elife. 2023. 12: e81794.
 
Supplementary files
				
			
					
						
						
						
						
				






