Двустворчатый моллюск Mya arenaria Linnaeus 1758 (Myidae) на мелководных участках губ Зеленецкая и Ярнышная Баренцева моря: особенности аллометрического роста
- Авторы: Смолькова О.В.1, Мещеряков Н.И.1
-
Учреждения:
- Мурманский морской биологический институт РАН
- Выпуск: Том 102, № 2 (2023)
- Страницы: 141-152
- Раздел: Статьи
- URL: https://journal-vniispk.ru/0044-5134/article/view/136753
- DOI: https://doi.org/10.31857/S0044513423010099
- EDN: https://elibrary.ru/ETZUVE
- ID: 136753
Цитировать
Полный текст
Аннотация
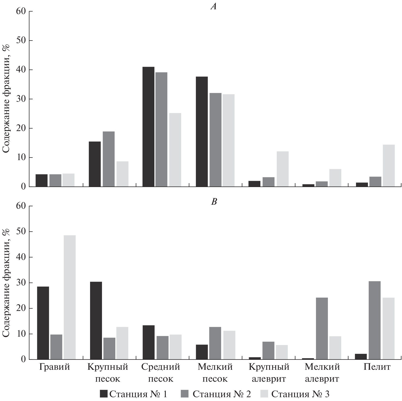
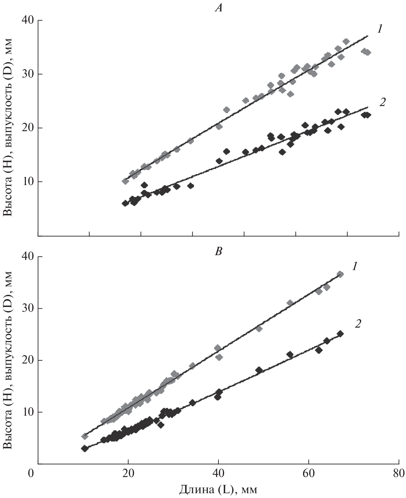
Представлены результаты исследований биологии двустворчатого моллюска M. arenaria на литорали губ Зеленецкая и Ярнышная Баренцева моря. Дана характеристика особенностям относительного роста различных частей тела. В губе Зеленецкая средняя плотность поселения моллюсков 40.0 ± 0.13 экз./м2, биомасса 279.7 ± 0.86 г/м2, в губе Ярнышная 62.6 ± 0.29 экз./м2 и 141.9 ± 0.60 г/м2 соответственно. Впервые проведен подробный гранулометрический анализ грунта исследованных участков, определено содержание органического вещества. Установлено, что исследованные районы различаются по составу донных отложений. Среднее содержание органического вещества на литорали губы Зеленецкая 0.8%, губы Ярнышная 2.2%. Показано, что формообразование раковины определяется адаптациями к условиям жизни и отражает различную размерно-возрастную структуру поселений M. arenaria. У моллюсков старших возрастных групп относительный рост происходит по принципу слабой отрицательной аллометрии, у молодых особей раковина нарастает изометрически.
Ключевые слова
Об авторах
О. В. Смолькова
Мурманский морской биологический институт РАН
Автор, ответственный за переписку.
Email: sm.olj@mail.ru
Россия, 183010, Мурманск
Н. И. Мещеряков
Мурманский морской биологический институт РАН
Автор, ответственный за переписку.
Email: meshcheriakov104@mail.ru
Россия, 183010, Мурманск
Список литературы
- Алимов А.Ф., 1981. Функциональная экология пресноводных двустворчатых моллюсков // Труды Зоол. ин-та АН СССР. Л.: Наука, Ленинградское отделение. Т. 96. С. 137–154.
- Андреева И.А., Лапина Н.Н., 1998. Методика гранулометрического анализа донных осадков Мирового океана и геологическая интерпретация результатов лабораторного изучения вещественного состава осадков. Изд. СПб.: ВНИИОкеангеология. 45 с.
- Бешевли Л.Е., Колягин В.А., 1967. О находке моллюска Муа arenaria (Bivalvia) в северо-западной части Черного моря // Вестник зоологии. № 3. С. 82–84.
- Гурьянова Е.Ф., Закс И.Г, Ушаков П.В., 1929. Литораль Кольского залива. Ч. II // Труды Ленингр. общества естествоиспытателей. Т. 59. Вып. 2. С. 17–107.
- Дерюгин К.М., 1915. Фауна Кольского залива и условия ее существования // Зап. Имп. Академии наук. СПб. Т. 34. № 1. 929 с.
- Золотницкий А.П., Сытник Н.А., 2020. Характеристика аллометрического роста песчаной ракушки мии (Mya arenaria Linnaeus, 1758) Южной части Азовского моря // Водные биоресурсы и среда обитания. Т. 3. № 3. С. 56–66. http://journal.azniirkh.ru, www.azniirkh.ru ISSN 2618-8147 print, ISSN 2619-1024
- Иванов Д.А., Синегуб И.А., 2008. Трансформация биоценозов Керченского пролива после вселения хищного моллюска Rapana thomasiana и двустворчатых Mya arenaria и Сunearca cornea // Современные проблемы экологии Азово-Черноморского региона. Материалы III Международной конференции. Керчь. С. 45–51.
- Клёнова М.В., 1948. Геология моря. М.: Учпедгиз. 182 с.
- Любина О.С., Ахметчина О.Ю., Фролова Е.А., Фролов А.А., Дикаева Д.Р., Гарбуль Е.А., 2009. Зообентос литорали и сублиторали. Количественное распределение, пространственно-временная изменчивость // Кольский залив: освоение и рациональное природопользование. Отв. ред. Матишов Г.Г. М.: Наука. С. 161–182.
- Максимович Н.В., 1978. Особенности экологии и биоэнергетические свойства популяций Mya arenaria L. (Bivalvia) в губе Чупа // Вестник Ленинградского государственного университета. Серия 3: Биология. № 21. С. 28–36.
- Максимович Н.В., 1979. Некоторые особенности экологии массовых видов двустворчатых моллюсков губы Чупа // Моллюски. Основные результаты их изучения. Авторефераты докладов. Сборник 6. Л.: Наука. С. 86–88.
- Наумов А.Д., 2006. Двустворчатые моллюски Белого моря. Опыт эколого-фаунистического анализа. Исследования фауны морей. Т. 59 (67). Изд. СПб. С. 23–24.
- Савчук М.Я., 1970. Распространение и некоторые особенности биологии двустворчатого моллюска Mya arenaria L. в прибрежном мелководье северо-западной части Черного моря и в лиманах // Океанология. Т. 10. Вып. 3. С. 521–528.
- Савчук М.Я., 1976. Акклиматизация двустворчатого моллюска Mya arenaria в Черном море // Биология моря. № 6. С. 40–46
- Свешников В.А., 1963. Биоценотипические связи и условия существования некоторых кормовых беспозвоночных инфауны литорали Кандалакшского залива Белого моря // Труды Кандалакшского государственного заповедника. Вып. IV. Труды ББС МГУ. Т. II. С. 114–134.
- Скарлато О.А., 1990. Методы изучения двустворчатых моллюсков // Труды Зоологического института АН СССР. Т. 219. 208 с.
- Смолькова О.В., 2021. Продукционные характеристики поселений двустворчатого моллюска Mya arenaria Linne, 1758 Баренцева моря // Труды Кольского научного центра. Т. 3 (12). Серия Океанология. Вып. 9. С. 141–150. https://doi.org/10.37614/2307-5252.2021.11
- Смолькова О.В., Мещеряков Н.И., 2022. Биология двустворчатых моллюсков Mya arenaria (Linnaeus, 1758) Кольского залива Баренцева моря // Труды Кольского научного центра РАН. Т. 4 (13). Сер. Океанология. Вып. 10. С. 86–99. https://doi.org/10.37614/2307-5252.2022.4.10.009
- Фролов А.А., 2009. Двустворчатые моллюски верхней сублиторали среднего и южного колена залива // Кольский залив: освоение и рациональное природопользование. М.: Наука. С. 182–202.
- Хлебович В.В., Станкявичюс А.Б., 1979. Пределы ступенчатой адаптации Macoma balthica, Mytilus edulis и Mya arenaria из восточной части Балтийского моря // Моллюски. Основные результаты их изучения. Авторефераты докладов. Сборник 6. Л.: Наука. С. 42–43.
- Щербакова И.Б., 2006. Двустворчатый моллюск Mya arenaria в экосистемах литорали Белого моря. Автореф. дис. … канд. биол. наук. Изд-во ПетрГУ. 29 с.
- Baker P., Mann R.L., 1990. Habitat requirements for the softshell clam, Mya arenaria in the Chesapeake Bay // Special Scientific Report № 125. Williamsburg: Virginia Institute of Marine Science Publ., College of William and Mary Publ. 35 p. https://doi.org/10.25773/v5-jc3f-tk19
- Bernard F.R., 1979. Identification of the living Mya (Bivalvia: Myoida) // Japanese Journal of Malacology. V. 38. P. 185–204.
- Bouchet P., Gofas S., 2013. Mya Linnaeus, 1758. In: MolluscaBase (2017). World Register of Marine Species. Available at: http://marinespecies.org/aphia.php?p=taxdetails&id=138211
- Cardoso J.F.M.F., Witte J.I.J., van der Veer H.W., 2009. Differential reproductive strategies of two bivalves in the Dutch Wadden Sea // Estuarine, Coastal and Shelf Science. V. 84. № 1. P. 37–44. https://doi.org/10.1016/j.ecss.2009.05.026
- Carlton G.T., 1992. Introduced marine and estuarine mollusks of the North America: an-end-off-the-20-th-century perspective // J. Shell-life Res. V. 11. P. 489–505.
- Conde A., Novais J., Domınguez J., 2010. Southern limit of distribution of the soft-shell clam Mya arenaria on the Atlantic East Coast // Biol. Inv. V. 12. P. 424–432.
- Feder H.M., Paul A.J., 1974. Age, growth and size-weight relationships of the soft-shelled clam, M. arenaria, in Prince William Sound, Alaska // Proceedings of the National Shellfisheries Association. V. 64. P. 45–52.
- Forster S., Zettler M.L., 2004. The capacity of the filter-feeding bivalve Mya arenaria L. water transport in sandy beds // Mar. Biol. 144. P. 1183–1189. https://doi.org/10.1007/s00227-003-1278-2
- Gerasimova A.V., Martynov F.M., Filippova N.A., Maximovich N.V., 2016. Growth of Mya arenaria L. at the northern edge of the range: heterogeneity of soft-shell clam growth characteristics in the White Sea // Helgoland Marine Research. V. 70. 14 p. https://doi.org/10.1186/s10152-016-0457-8
- Haskin H.H., 1954. Age determination in mollusks // Transactions of the New Yom Academy of Science. V. 16. P. 300–304.
- ITIS, 2017. Mya Linnaeus, 1758. Integrated Taxonomic Information System. Available at: https://www.itis.gov/servlet/SingleRpt/SingleRpt?search_topic=TSN&search_value=81691#null
- Kennish M.J., Olsson R.K., 1975. Effects of thermal discharges on the microstructural growth of Mercenaria mercenaria // Environmental Geology. V. 1. № 1. P. 41–64. https:// doi. org/ 10. 1007/ BF024 26940
- MacNeil F.S., 1965. Evolution and distribution of the genus Mya, and Tertiary migrations of Mollusca // Professional Paper US, Department of the Interior, Geological Survey. V. 483. P. 1–51.
- Miac J., Groth M., Wolowicz M., 1997. Seasonal changes in the Mya arenaria (L.) population from Inner Puck Bay // Oceanologia. V. 39. № 2. P. 177–195.
- Pedersen T.F., 1992. Temporal variations in heat dissipation and oxygen uptake of the soft shell clam Mya arenaria L. (Bivalvia) // Ophelia. V. 36. № 3. P. 203–216.
- Petersen G.H., 1999. Five recent Mya species, including three new species and their fossil connections // Polar Biology. V. 22. P. 322–328.
- Riisgard H.U., Seerup D.F., 2003. Filtration rates in the soft clam Mya arenaria: effects of temperature and body size // Sarsia. V. 88. P. 415–428.
- Schaffer F., Zettler M.L., 2007. The clam sipho as indicator for growth indices in the soft-shell clam Mya arenaria // Helgoland Marine Research. V. 61. № 1. P. 9–16. https://doi.org/10.1007/s10152-006-0049-0
- Smolkova O.V., 2021. Linear growth and yield of bivalve mollusks Mya arenaria Linnaeus, 1758 in the conditions of the littoral of the Barents and White seas // IOP Conf. Series: Earth and Environmental Science: AFE-2021 (Fundamental and Applied Scientific Research in the Development of Agriculture in the Far East (AFE-2021, 20–21 June 2021, Ussurijsk, Russian Federation). 2021. V. 937. Article № 022078. P. 1–10. https://doi.org/10.1088/1755-1315/937/2/022078
- Strasser M., 1999. Mya arenaria – an ancient invader of the North Sea coast // Helgolander Meeresuntersuchungen. V. 52. № 3–4. P. 309–324. doi: 10.1007/BF02908905
- Thamdrup H.M., 1935. Beiträge zur Ökology der Wattenfauna // Meddelelser Fra komm. Danmarks Fickeri-og Havundersgelser, Ser, Fiskeri. V. 10. P. 62–65.
- Wheaton F.W., Schaffer G.U., Ingling A.L., Douglass L.W., 2008. Physical properties of soft shell clams, Mya arenaria, Aquacultural Engineering. V. 38. Iss 3. P. 181–188. https://doi.org/10.1016/j.aquaeng.2008.03.002
- Zhang J.L., Yurchenko O.V., Lutaenko K.A., Kalachev A.V., Nekhaev I.O., Aguilar R., Zhan Z.F., Ogburn M.B., 2018. A tale of two soft-shell clams: an integrative taxonomic analysis confirms Mya japonica as a valid species distinct from Mya arenaria (Bivalvia: Myidae) // Zoological Journal of the Linnean Society. V. 184 (3). P. 605–622. https://doi.org/10.1093/zoolinnean/zlx107
Дополнительные файлы










