Плотность оседлого и нерезидентного населения мелких лесных млекопитающих
- Авторы: Калинин А.А.1
-
Учреждения:
- Институт проблем экологии и эволюции имени А.Н. Северцова РАН
- Выпуск: Том 102, № 1 (2023)
- Страницы: 106-114
- Раздел: Статьи
- URL: https://journal-vniispk.ru/0044-5134/article/view/136783
- DOI: https://doi.org/10.31857/S0044513422120054
- EDN: https://elibrary.ru/ACJLBA
- ID: 136783
Цитировать
Полный текст
Аннотация
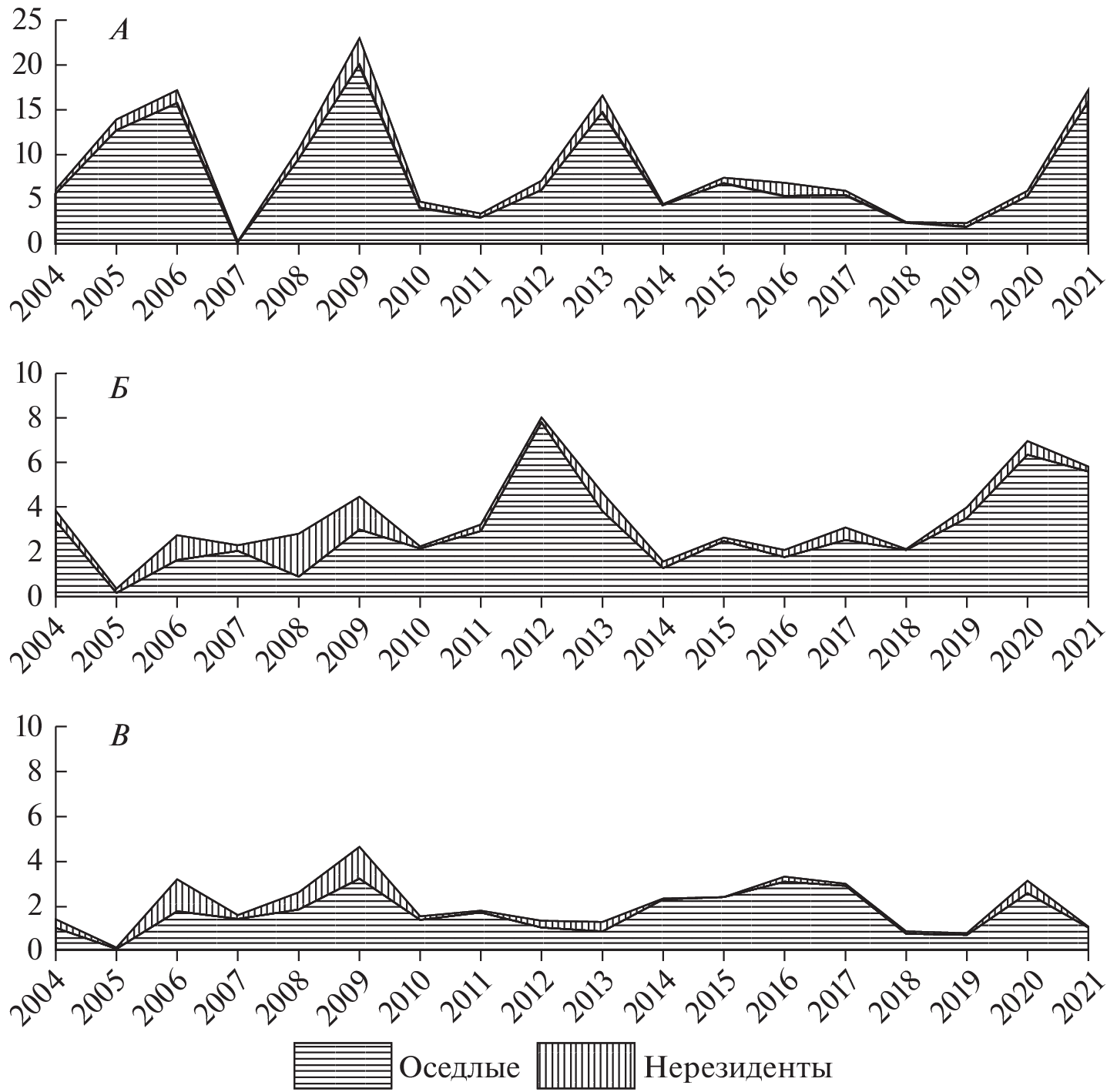
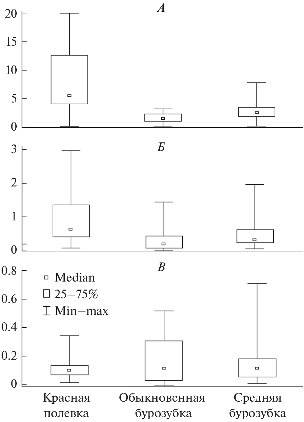
При оценке численности мелких млекопитающих традиционными методами обычно используют относительные показатели обилия – количество особей на единицу ловчего усилия. Из-за разного отношения видов к орудиям лова и приманкам соотношение видов в природе и в учетах может не совпадать. В большинстве случаев за пределами внимания исследователей остается наличие нерезидентной составляющей в численности популяции, при этом расселение является ключевым элементом для многих демографических процессов. Предложен метод расчета плотности (особей на площадь) оседлых и нерезидентных зверьков при мечении на линиях живоловок. Для трех массовых видов мелких лесных млекопитающих (красная полевка, обыкновенная и средняя бурозубки) на протяжении 18 лет изучена динамика плотности оседлого и нерезидентного населения. В большинстве случаев в населении мелких млекопитающих преобладала красная полевка. По средним многолетним данным доля нерезидентных особей в популяции у трех видов не различалась, составляя в среднем 12.6% от общей плотности. Показана зависимость уровня нерезидентной активности у красной полевки от плотности оседлых животных. У землероек-бурозубок плотность нерезидентов не зависела от плотности оседлых. Методика позволяет решать широкий круг экологических задач и может быть использована для мониторинга состояния и структуры сообществ мелких млекопитающих.
Об авторах
А. А. Калинин
Институт проблем экологии и эволюции имени А.Н. Северцова РАН
Автор, ответственный за переписку.
Email: benguan@yandex.ru
Россия, 119071, Москва
Список литературы
- Жигальский О.А., Белан О.Р., 1995. Исследование миграционной активности популяций полевок Иремельского горного массива // Экология. № 1. С. 76–80.
- Калинин А.А., 2012. Оседлая и нерезидентная составляющая численности массовых видов мелких млекопитающих по данным учета на линиях живоловок // Зоологический журнал. Т. 91. № 6. С. 759–768.
- Калинин А.А., 2022. Преодоление водных преград мелкими млекопитающими лесной зоны (количественные характеристики) // Зоологический журнал. Т. 101. № 4. С. 461–470.
- Калинин А.А., Куприянова И.Ф., 2015. Методика количественного учета мелких млекопитающих при миграциях через водные преграды // Зоологический журнал. Т. 94. № 3. С. 365–369. [Kalinin A.A., Kupriyanova I.F., 2016. A Technique for Quantitative Estimation of Small Mammals Traversing Water Obstacles // Biology Bulletin. V. 43. № 7. P. 743–746].
- Калинин А.А., Куприянова И.Ф., 2016. Мелкие млекопитающие в питании европейского хариуса (Thymallus thymallus, Thymallidae, Salmoniformes) // Зоологический журнал. Т. 95. № 6. С. 712–719.
- Калинин А.А., Куприянова И.Ф., Александров Д.Ю., 2020. Вклад плотности оседлого населения и нерезидентной активности мелких млекопитающих в результаты учетов методом безвозвратного изъятия // Сибирский экологический журнал. Т. 27. № 2. С. 233–242. [Kalinin A.A., Kupriyanova I.F., Aleksandrov D.Y., 2020. Contributions of Resident Populations and Nonresident Activities of Small Mammals to the Results of Censuses Performed Using the Permanent Removal Method // Contemporary Problems of Ecology. V. 13. № 2. P. 184–192].
- Калинин А.А., Олейниченко В.Ю., Купцов А.В., Александров Д.Ю., Демидова Т.Б., 2018. Пространственная изменчивость оседлого и нерезидентного населения мелких млекопитающих в лесном массиве // Зоологический журнал. Т. 97. № 4. С. 474–485. [Kalinin A.A., Oleinichenko V.Y., Kouptsov A.V., Aleksandrov D.Y., Demidova T.B., 2018. Spatial variability of resident and nonresident populations of small mammals on a forest plot // Biology Bulletin. V. 45. № 9. P. 1028–1038].
- Карасева Е.В., Телицына А.Ю., Жигальский О.А., 2008. Методы изучения грызунов в полевых условиях. М.: Изд-во ЛКИ. 416 с.
- Карпенко А.С., 1980. Камско-печорско-западноуральские темнохвойные леса // Растительность Европейской части СССР. Л.: Наука. С. 93–101.
- Лукьянов О.А., Лукьянова Л.Е., 2002. Феноменология и анализ миграций в популяциях мелких млекопитающих // Зоологический журнал. Т. 81. № 9. С. 1107– 1134.
- Наумов Н.П., 1955. Изучение подвижности и численности мелких млекопитающих с помощью ловчих канавок // Вопросы краевой, общей и экспериментальной паразитологии и медицинской зоологии. Т. 9. С. 179–202.
- Ралль Ю.М., 1945. Динамическая плотность грызунов и некоторые методы ее изучения // Бюллетень Московского общества испытателей природы. Отдел биологический. Т. 50. Вып. 5–6. С. 62–64.
- Шефтель Б.И., 2018. Методы учета численности мелких млекопитающих // Russian Journal of Ecosystem Ecology. Т. 3. № З. С. 1–21.
- Щипанов Н.А., 1986. К экологии малой белозубки (Crocidura suaveolens) // Зоологический журнал. Т. 66. № 7. С. 1051–1060.
- Щипанов Н.А., 2002. Функциональная организация популяций: возможный подход к изучению популяционной устойчивости. Прикладные аспекты (на примере мелких млекопитающих) // Зоологический журнал. Т. 81. № 9. С. 1048–1077.
- Щипанов Н.А., 2020. Мечение на линиях живоловок для мониторинга мелких млекопитающих. Способы расчета популяционной плотности и индексов нерезидентности // Зоологический журнал. Т. 99. № 9. С. 1062–1076.
- Щипанов Н.А., 2021. Количественная оценка величины нерезидентной составляющей в локальных популяциях обыкновенных бурозубок (Sorex araneus) // Зоологический журнал. Т. 100. № 8. С. 938–946.
- Щипанов Н.А., Калинин А.А., Олейниченко В.Ю., Демидова Т.Б., Гончарова О.Б., Нагорнев Ф.В., 2000. К методике изучения использования пространства землеройками-бурозубками // Зоологический журнал. Т. 79. № 3. С. 362–371.
- Щипанов Н.А., Купцов А.В., 2004. Нерезидентность у мелких млекопитающих и ее роль в функционировании популяции // Успехи современной биологии. Вып. 124. № 1. С. 28–43.
- Щипанов Н.А., Купцов А.В., Демидова Т.Б., Калинин А.А., Александров Д.Ю., Павлова С.В., 2008. Нерезидентность и расселение у обыкновенных бурозубок (Sorex araneus, Insectivora) // Зоологический журнал. Т. 87. № 3. С. 331–343.
- Щипанов Н.А., Купцов А.В., Калинин А.А., Демидова Т.Б., Олейниченко В.Ю., Ляпина М.Г., Александров Д.Ю., Распопова А.А., Павлова С.В., Тумасьян Ф.А., 2010. Мелкие млекопитающие юго-востока Tверской области. Cообщение 1. Фауна и биотопическое распределение // Сибирский экологический журнал. Т. 17. № 5. С. 799–806.
- Щипанов Н.А., Купцов А.В., Калинин А.А., Олейниченко В.Ю., 2003. Конуса и живоловки ловят разных землероек-бурозубок (Insectivora, Soricidae) // Зоологический журнал. Т. 82. № 10. С. 1258–1265.
- Щипанов Н.А., Ляпина М.Г., 2008. Участок и проявление нерезидентности рыжими полевками (Clethrionomys glareolus), интерпретация данных мечения на линиях живоловок // Экология. № 5. С. 379–384.
- Щипанов Н.А., Литвинов Ю.Н., Шефтель Б.И., 2008а. Экспресс-метод оценки локального биологического разнообразия сообщества мелких млекопитающих // Сибирский экологический журнал. Т. 15. № 5. С. 783–791.
- Borchers D., Fewster R., 2016. Spatial capture–recapture models // Statistical Science. V. 31. № 2. P. 219–232.
- Bowler D.E., Benton T.G., 2005. Causes and consequences of animal dispersal strategies: relating individual behaviour to spatial dynamics // Biol. Rev. V. 80. P. 205–225.
- Calhoun J.B., Casby J.U., 1958. Calculation of home range and density of small mammals // US Government Printing Office. V. 55. 24 p.
- Ims R.A., Andreassen H.P., 2005. Density-dependent dispersal and spatial population dynamics // Proceedings of the Royal Society of London B: Biological Sciences. V. 272. № 1566. P. 913–918.
- Jønsson K.A., Tøttrup A.P., Borregaard M.K., Keith S.A., Rahbek C., Thorup K., 2016. Tracking animal dispersal: from individual movement to community assembly and global range dynamics // Trends in ecology & evolution. V. 31. № 3. P. 204–214.
- Koeppl J.W., Slade N.A., Hoffmann R.S., 1975. A bivariate home range model with possible application to ethological data analysis // Journal of Mammalogy. V. 56. № 1. P. 81–90.
- Krebs C.J., Wingate I., LeDuc J., Redfield J.A., Taitt M., Hilborn R., 1976. Microtus population biology: dispersal in fluctuating populations of M. townsendii // Canadian Journal of Zoology. V. 54. № 1. P. 79–95.
- Lambin X., Le Bouille D., Oliver M.K., Sutherland C., Tedesco E., Douglas A., 2012. High connectivity despite high fragmentation: iterated dispersal in a vertebrate metapopulation // Dispersal ecology and evolution. Oxford^ Oxford University Press. P. 405–412.
- Lidicker W.Z., Stenseth N.C., 1992. To disperse or not to disperse: who does it and why? // Animal dispersal: small mammals as a model (ed. N.C. Stenseth & W.Z. Lidicker). London: Chapman & Hall. P. 21–36.
- Lowe W.H., McPeek M.A., 2014. Is dispersal neutral? // Trends in ecology & evolution. V. 29. № 8. P. 444–450.
- Matthysen E., 2005. Density-dependent dispersal in birds and mammals // Ecography. V. 28. № 3. P. 403–416.
- Petrusewicz K., 1983. Residents and migrants in the population // Acta Theriologica. V. 28. № l. P. 103–144.
- Ronce O., 2007. How does it feel to be like a rolling stone? Ten questions about dispersal evolution // Annual Review of Ecology, Evolution, and Systematics. V. 38. P. 231–253.
- Shchipanov N.A., Kalinin A.A., Demidova T.B., Oleinichenko V.Yu., Aleksandrov D.Yu., Kouptzov A.V., 2005. Population ecology of red-toothed shrews, Sorex araneus, S. caecutiens, S. minutus, and S. isodon, in Central Russia // Advances in the Biology of Shrews II. J. Merrit, S. Churchfield, R. Hutterer, B.I. Sheftel (eds). N.Y. Special publication of the international society of shrew biologists. № 1. P. 201–216.
- Stenseth N.C., Lidicker Jr W.Z., 1992. Where do we stand methodologically about experimental design and methods of analysis in the study of dispersal // Animal dispersal: small mammals as a model. London, UK: Chapman and Hall. P. 295–312.
- Zera A.J., Brisson J.A., 2012. Quantitative, physiological, and molecular genetics of dispersal and migration // Dispersal Ecology and Evolution. Oxford: Oxford University Press. P. 63–82.
Дополнительные файлы





