От наблюдений за популяциями к оценке их состояния: опыт комплексного изучения демографических параметров западносибирской популяции мухоловки-пеструшки (Ficedula hypoleuca, Muscicapidae, Passeriformes)
- Авторы: Гриньков В.Г.1,2, Штернберг Х.3
-
Учреждения:
- Биологический факультет Московского государственного университета имени М.В. Ломоносова
- Биологический институт Томского государственного университета
- Рабочая группа по орнитологическим популяционным исследованиям Брауншвейга
- Выпуск: Том 102, № 8 (2023)
- Страницы: 890-913
- Раздел: Статьи
- URL: https://journal-vniispk.ru/0044-5134/article/view/136821
- DOI: https://doi.org/10.31857/S0044513423080056
- EDN: https://elibrary.ru/VIYIQD
- ID: 136821
Цитировать
Полный текст
Аннотация
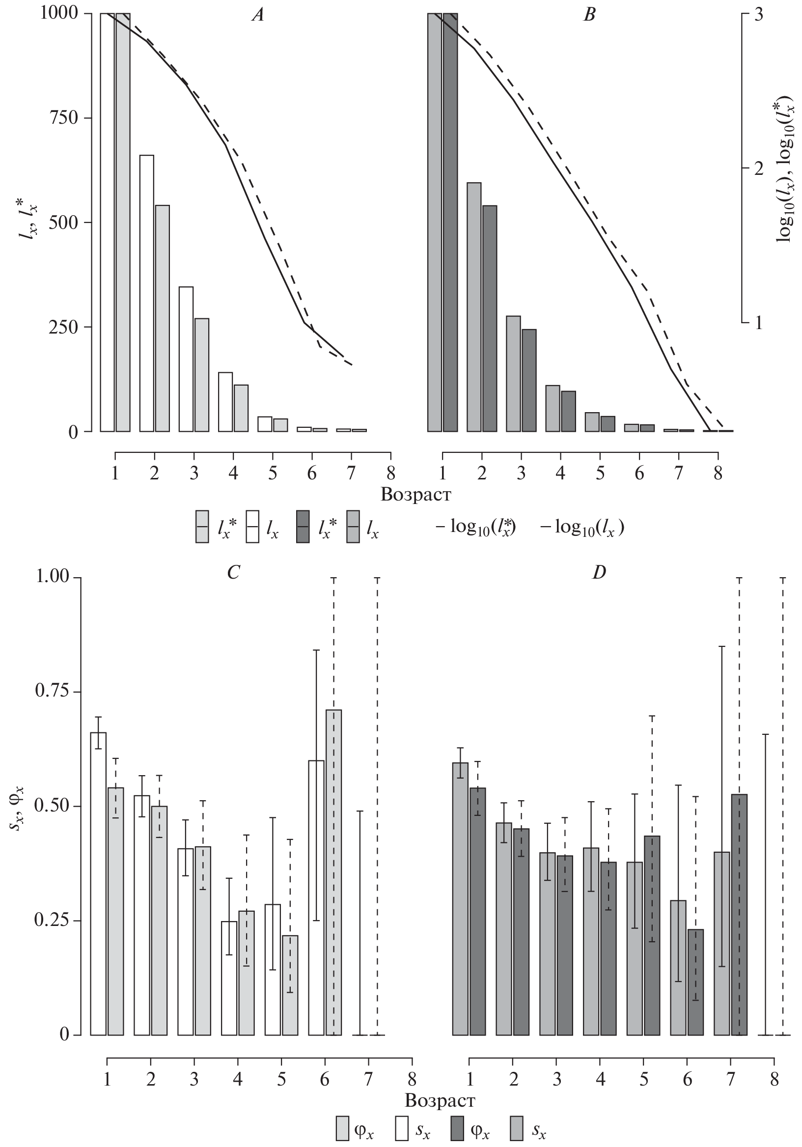
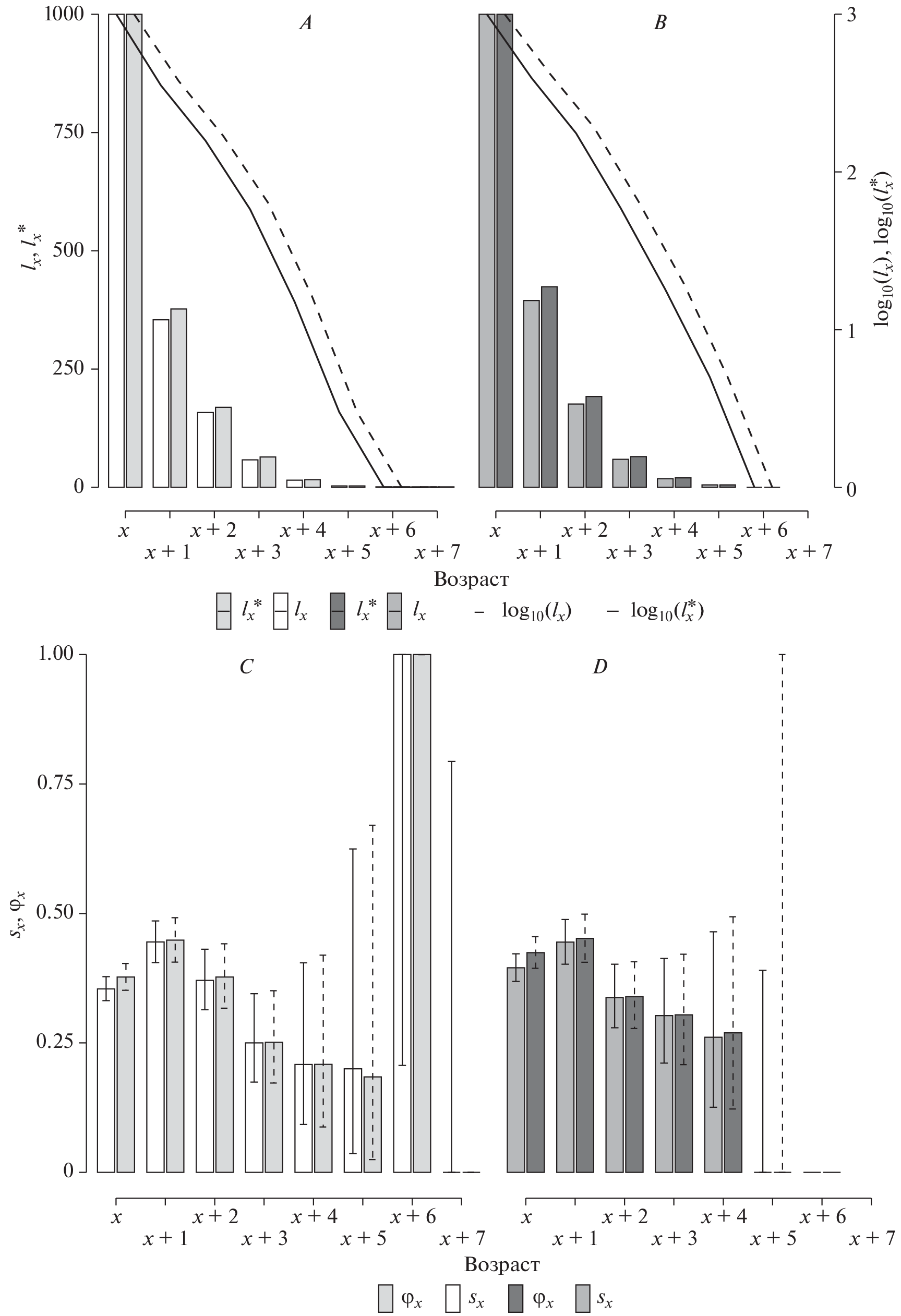
Представлены оценки демографических параметров западносибирской популяции мухоловки-пеструшки (Ficedula hypoleuca) – одного из модельных видов в популяционной экологии птиц. Характеристики популяции были получены в результате анализа данных 22-летнего непрерывного мониторинга гнездовой группировки особей в естественных местообитаниях на юго-востоке Западной Сибири (Томская область). Для оценки демографических показателей использованы таблицы дожития, вероятностные модели и матричные модели динамики популяции. Комплексное исследование популяционных характеристик позволило наглядно продемонстрировать степень расхождения в оценке демографических параметров, получаемых разными методами, и провести сравнение полученных оценок в настоящем исследовании с результатами других работ. Установлено, что в среднем птенцы доживали до вылета из гнезда в 87.6% случаях от числа всех попыток размножения. В статичном возрастном распределении самок на долю иммигрантов приходилось около 41.7% особей, резиденты составляли 25.3%, а автохтоны – 33%. Соотношение иммигрантов, резидентов и автохтонов у самцов в гнездовой период 30.8, 25.3 и 43.9%, соответственно. Среди автохтонов максимальный возраст самок 7 лет, самцов 8 лет. Среди резидентов самки доживали до возраста x + 7 лет, а самцы – до возраста x + 5 лет. Видимая выживаемость автохтонов, как самцов, так и самок, примерно одинакова. Этот показатель был наиболее высок у первогодков (0.54) и постепенно снижался с увеличением возраста особей. Видимая выживаемость самцов неизвестного происхождения соответствует видимой выживаемости самцов-автохтонов. Самки неизвестного происхождения выделяются самой низкой видимой выживаемостью. Возраст первого гнездования птиц мог меняться от одного до шести лет. По данным кольцевания, доля самцов, гнездящихся с первого года жизни, составляет 68.9%, доля самок – 59.9%. Из выживших и вернувшихся на контролируемые участки птиц среди особей в возрасте одного года к гнездованию приступают только 39.2% самок-первогодков и 46.3% самцов-первогодков; среди особей в двухлетнем возрасте – 66.9% самок-второгодков и 71.1% самцов-второгодков. Доля птиц, вернувшихся в район рождения, составила 11.1% как у самцов, так и у самок. Самки в течение жизни производят в среднем 9.1 слетка, самцы – 9.6 слетка. Минимальная ожидаемая средняя продолжительность жизни у слетков – 1.2–1.49 и 1.2–1.62 года, максимальный показатель у особей, доживших до одного года, – 1.94 и 1.96 года, соответственно, для самцов и для самок. Продолжительность поколения мухоловки-пеструшки в западносибирской популяции 3.13–3.32 и 3.18–3.39 года, соответственно, для самцов и самок. Анализ чувствительности и эластичности конечной скорости роста на основе построенной проекционной матрицы продемонстрировал, что ключевую роль в воспроизводстве популяции играет выживаемость ювенильных и половозрелых особей в возрасте одного и двух лет. Демографические характеристики, полученные для популяции мухоловки-пеструшки в естественных местообитаниях на юго-востоке Западной Сибири, и матричная модель динамики популяции, построенная на их основе, могут быть использованы для сравнения состояния популяций, обитающих как в ненарушенных, так и в измененных экосистемах в разных частях ареала.
Об авторах
В. Г. Гриньков
Биологический факультет Московского государственного университетаимени М.В. Ломоносова; Биологический институт Томского государственного университета
Автор, ответственный за переписку.
Email: v.grinkov@gmail.com
Россия, 119234, Москва, Ленинские горы, д. 1, стр. 12; Россия, 634050, Томск,
проспект Ленина, д. 36
Х. Штернберг
Рабочая группа по орнитологическим популяционным исследованиям Брауншвейга
Автор, ответственный за переписку.
Email: helmut.sternberg@t-online.de
Германия, 38104,
Брауншвейг
Список литературы
- Артемьев А.В., 2008. Популяционная экология мухоловки-пеструшки в северной зоне ареала / под ред. В.Б. Зимина. М.: Наука. 266 с.
- Высоцкий В.Г., 2000. Структура локальной популяции у птиц на примере мухоловки-пеструшки (Ficedula hypoleuca). Автореф. дис. … канд. биол. наук. СПб. 27 с.
- Гашков С.И., 2003. Динамика миграционного процесса и характеристика индивидуальных сроков прилета в популяции мухоловки-пеструшки (Ficedula hypoleuca Pall.) на восточной периферии ареала // Популяционная экология животных. Материалы Международной конференции “Проблемы популяционной экологии животных”, посвященной памяти академика И.А. Шилова / редкол.: Н.С. Москвитина (глав. ред.) и др. Томск: ТГУ. С. 219–222.
- Гашков С.И., 2003а. Связь с территорией рождения и размножения мухоловки-пеструшки (Ficedula hypoleuca Pall.) на восточной периферии ареала // Биолого-почвенный факультет: прошлое, настоящее и будущее. Материалы научной конференции, посвященной 125-летию основания ТГУ и 70-летию биолого-почвенного факультета, 23–24 апреля 2003 г. / редкол.: В.И. Гриднева (науч. ред.) и др. / под ред. С.П. Кулижского (науч. ред.) Томск: ТГУ. С. 34–39. (Вестн. Том. гос. ун-та. Серия “Биологические науки”. Приложение № 8. Материалы научных конференций, симпозиумов, школ, проводимых в ТГУ).
- Гашков С.И., Бланк Е.В., 2003. Политерриториальность и полигиния мухоловки-пеструшки (Ficedula hypoleuca Pall.) восточной периферии ареала // Современные проблемы орнитологии Сибири и Центральной Азии: Материалы 2 Междунар. орнитол. конф., (Россия, Улан-Удэ, 16-19 мая 2003 г.) : [в 2 ч. / редкол.: Ц.З. Доржиев (отв. ред.) и др.] Ч. 1. Улан-Удэ: Бурят. гос. ун-т. С. 161–166.
- Зимин В.Б., 1988. Экология воробьиных птиц Северо-Запада СССР / под ред. Э. В. Ивантера. Л.: Наука. 184 с.
- Куранов Б.Д., 2017. Сохраняемость мухоловки-пеструшки Ficedula hypoleuca у восточной границы распространения // Русский орнитологический журнал. Т. 26. № 1425. С. 1291–1300.
- Куранов Б.Д., 2018. Гнездовая биология мухоловки-пеструшки (Ficedula hypoleuca, Passeriformes, Muscicapidae) в юго-восточной части ареала // Зоологический журнал. Т. 97. № 3. С. 321–336. https://doi.org/10.7868/S0044513418030066
- Лихачёв Г.Н., 1955. Мухоловка-пеструшка (Muscicapa hypoleuca Pall.) и её связь с гнездовой территорией // Труды Бюро кольцевания. Вып. 8. М.: Министерство сельского хозяйства СССР. С. 123–156.
- Логофет Д.О., Уланова Н.Г., 2021. От мониторинга популяции к математической модели: новая парадигма популяционного исследования // Журнал общей биологии. Т. 82. № 4. С. 243–269. https://doi.org/10.31857/s0044459621040035
- Натыканец В.В., 2019. Встречи мухоловки-пеструшки Ficedula hypoleuca и чернозобого дрозда Turdus atrogularis в окрестностях г. Братска (Иркутской обл.) в мае 2019 г. // Байкальский зоологический журнал. Т. 25. № 2. С. 123–124.
- Натыканец В.В., 2022. Дополненный список видов птиц в г. Братске (Иркутская обл.) и его окрестностях, встреченных в конце мая–первой половине июня (2019, 2021 и 2022 гг.) // Байкальский зоологический журнал. Т. 32. № 2. С. 51–57.
- Паевский В.А., 1985. Демография птиц. Т. 125 / под ред. О.А. Скарлато. Л.: Наука. 285 с. (Труды Зоол. ин-та АН СССР).
- Паевский В.А., 2020. Половая структура и поло-специфическая выживаемость в популяциях птиц (обзор) // Журнал общей биологии. Т. 81. № 4. С. 272–284.
- Соколов Л.В., 1991. Филопатрия и дисперсия птиц. Т. 230 / под ред. В.А. Паевского. Л.: Наука. 233 с. (Труды Зоол. ин-та АН СССР).
- Чаун М.Г., 1958. Состав и динамика местных популяций мухоловки-пеструшки в искусственных гнездовьях // Привлечение полезных птиц-дуплогнездников в лесах Латвийской ССР. Рига: АН ЛатвССР. С. 73–99.
- Anderson D.R., Burnham K.P., 1976. Population ecology of the mallard: VI. The effect of exploitation on survival: Report / U.S. Fish; Wildlife Service. 66 p. № 128.
- Berndt R., Sternberg H., 1969. Alters- und Geschlechtsunterschiede in der Dispersion des Trauerschnäppers (Ficedula hypoleuca) // Journal für Ornithologie. V. 110. № 1. P. 22–26. https://doi.org/10.1007/BF01671133
- Bird J.P., Martin R., Akçakaya H.R., Gilroy J., Burfield I.J., Garnett S.T., Symes A., Taylor J., Şekercioğlu Ç.H., Butchart S.H.M., 2020. Generation lengths of the world’s birds and their implications for extinction risk // Conservation Biology. V. 34. № 5. P. 1252–1261. https://doi.org/10.1111/cobi.13486
- Both C., Burger C., Ouwehand J., Samplonius J.M., Ubels R., Bijlsma R.G., 2017. Delayed age at first breeding and experimental removals show large non-breeding surplus in Pied Flycatchers // Ardea. V. 105. № 1. P. 43–60. https://doi.org/10.5253/arde.v105i1.a2
- Bowers E. K., Munclinger P., Bureš S., Kučerová L., Nádvorník P., Krist M., 2013. Cross-fostering eggs reveals that female collared flycatchers adjust clutch sex ratios according to parental ability to invest in offspring // Molecular Ecology. V. 22. № 1. P. 215–228. https://doi.org/https://doi.org/10.1111/mec.12106
- Caswell H., 2001. Matrix population models: construction, analysis, and interpretation. Second edition. Sinauer Associates, Inc. 722 p.
- Chernetsov N., Kishkinev D., Gashkov S., Kosarev V., Bolshakov C.V., 2008. Migratory programme of juvenile pied flycatchers, Ficedula hypoleuca, from Siberia implies a detour around Central Asia // Animal Behaviour. V. 75. № 2. P. 539–545. https://doi.org/. 05.019https://doi.org/10.1016/j.anbehav.2007
- Chernetsov N., Sokolov L.V., Kosarev V., 2009. Local survival rates of Pied Flycatchers Ficedula hypoleuca depend on their immigration status // Avian Ecology & Behaviour. V. 16. P. 11–20.
- Cormack R.M., 1964. Estimates of survival from the sighting of marked animals // Biometrika. V. 51. № 3/4. P. 429–438. https://doi.org/10.1093/biomet/51.3-4.429
- Dennis B., Munholland P.L., Scott J.M., 1991. Estimation of growth and extinction parameters for endangered species // Ecological Monographs. June. V. 61. № 2. P. 115–143. https://doi.org/10.2307/1943004
- Goodman L.A., 1969. The analysis of population growth when the birth and death rates depend upon several factors // Biometrics. V. 25. № 4. P. 659–681. https://doi.org/10.2307/2528566
- Grant P.R., Grant B.R., 1992. Demography and the genetically effective sizes of two populations of Darwin’s finches // Ecology. V. 73. № 3. P. 766–784. https://doi.org/10.2307/1940156
- Grinkov V.G., Bauer A., Gashkov S.I., Sternberg H., Wink M., 2018. Diversity of social-genetic relationships in the socially monogamous pied flycatcher (Ficedula hypoleuca) breeding in Western Siberia // PeerJ. V. 6. № 8. e6059. https://doi.org/10.7717/peerj.6059
- Grinkov V.G., Bauer A., Sternberg H., Wink M., 2020. Heritability of the extra-pair mating behaviour of the pied flycatcher in Western Siberia // PeerJ. V. 8. e9571. https://doi.org/10.7717/peerj.9571
- Grinkov V.G., Bauer A., Sternberg H., Wink M., 2022. Understanding extra-pair mating behaviour: a case study of socially monogamous European Pied Flycatcher (Ficedula hypoleuca) in Western Siberia // Diversity. V. 14. № 4. P. 283. https://doi.org/10.3390/d14040283
- Grinkov V.G., Sternberg H., 2018. Delayed start of first-time breeding and non-breeders surplus in the Western Siberian population of the European Pied Flycatcher // bioRxiv. https://doi.org/10.1101/387829
- Hjernquist M.B., Thuman Hjernquist K.A., Forsman J.T., Gustafsson L., 2009. Sex allocation in response to local resource competition over breeding territories // Behavioral Ecology. V. 20. № 2. P. 335–339. https://doi.org/10.1093/beheco/arp002
- Järvinen A., 1989. Clutch-size variation in the Pied Flycatcher Ficedula hypoleuca // Ibis. V. 131, no. 4. P. 572–577. https://doi.org/https://doi.org/10.1111/j.1474-919X. 1989.tb04792.x
- Jolly G.M., 1965. Explicit estimates from capture-recapture data with both death and immigration stochastic model // Biometrika. June. V. 52. № 1/2. P. 225–248. https://doi.org/10. 1093/ biomet/52.1-2.225
- Jones O.R., Barks P., Stott I., James T.D., Levin S., Petry W.K., Capdevila P., Che-Castaldo J., Jackson J., Römer G., Schuette C., Thomas C.C., Salguero-Gómez R., 2022. Rcompadre and Rage – Two R packages to facilitate the use of the COMPADRE and COMADRE databases and calculation of life-history traits from matrix population models // Methods in Ecology and Evolution. V. 13. № 4. P. 770–781. https://doi.org/10.1111/2041-210X.13792
- Laake J.L., 2013. RMark: An R interface for analysis of capture-recapture data with MARK: AFSC Processed Rep. / Alaska Fish. Sci. Cent., NOAA, Natl. Mar. Fish. Serv. Seattle, WA. 25 p. № 2013-01.
- Lebreton J.-D., Burnham K.P., Clobert J., Anderson D.R., 1992. Modeling survival and testing biological hypotheses using marked animals: a unified approach with case studies // Ecological Monographs. V. 62. № 1. P. 67–118. https://doi.org/10.2307/2937171
- Lifetime Reproduction in Birds, 1989. / Ed. by I. Newton. London: Academic Press Ltd. 480 p.
- Lundberg A., Alatalo R.V., 1992. The pied flycatcher. London: T & AD Poyser ltd. 267 p.
- Morris W., Doak D., Groom M., Kareiva P., Fieberg J., Gerber L., Murphy P., Thomson D., 1999. A practical handbook for population viability analysis. The Nature Conservancy. 80 p.
- Nater C.R., Burgess M.D., Coffey P., Harris B., Lander F., Price D., Reed M., Robinson R.A., 2023. Spatial consistency in drivers of population dynamics of a declining migratory bird // Journal of Animal Ecology. V. 92. № 1. P. 97–111. https://doi.org/10.1111/1365-2656.13834
- Noon B.R., Sauer J.R., 1992. Population models for passerine birds: structure, parameterization, and analysis // Wildlife 2001: Populations. Springer Netherlands. P. 441–464. https://doi.org/10. 1007/978-94-011-2868-1_34
- Program MARK: A gentle introduction, 2019. / Ed. by E.G. Cooch, G.C. White. 1201 p.
- R Core Team, 2021. R: A Language and Environment for Statistical Computing / R Foundation for Statistical Computing. Vienna: Austria.
- RStudio Team, 2022. RStudio: Integrated Development Environment for R / RStudio, PBC. Boston, MA.
- Salewski V., Bairlein F., Leisler B., 2000. Recurrence of some palaearctic migrant passerine species in West Africa // Ringing & Migration. V. 20. № 1. P. 29–30. https://doi.org/10.1080/03078698.2000.9674224
- Sanz J.J., 1997. Geographic variation in breeding parameters of the Pied Flycatcher Ficedula hypoleuca // Ibis. V. 139, # 1. P. 107–114. https://doi.org/https://doi.org/10.1111/j.1474-919X. 1997.tb04509.x
- Sanz J.J., 2001. Latitudinal variation in female local return rate in the philopatric pied flycatcher (Ficedula hypoleuca) // The Auk. V. 118. № 2. P. 539–543. https://doi.org/10.1093/ auk/118.2.539
- Seber G.A.F., 1965. A note on the multiple-recapture census // Biometrika. V. 52. № 1/2. P. 249–260. https://doi.org/10.1093/biomet/52.1-2.249
- Signorell A., et al., 2022. DescTools: Tools for descriptive statistics. R package version 0.99.47.
- Slagsvold T., Roskaft E., Engen S., 1986. Sex ratio, differential cost of rearing young, and differential mortality between the sexes during the period of parental care: Fisher’s theory applied to birds // Ornis Scandinavica. V. 17. № 2. P. 117–125. https://doi.org/10.2307/3676860
- Sternberg H., 1989. Pied flycatcher // Lifetime reproduction in birds / ed. by I. Newton. London: Academic Press Ltd. Chap. Pied flycatcher. P. 55–74.
- Sternberg H., Grinkov V.G., Ivankina E.V., Ilyina T.A., Kerimov A.B., Schwarz A., 2002. Evaluation of the size and composition of nonbreeding surplus in a pied flycatcher Ficedula hypoleuca population: removal experiments in Germany and Russia // Ardea. V. 90. № 3. P. 461–470.
- Stubben C., Milligan B., 2007. Estimating and analyzing demographic models using the popbio package in R // Journal of Statistical Software. V. 22. № 11. P. 1–23. https://doi.org/10.18637/jss. v022.i11
- Therneau T.M., 2022. A package for survival analysis in R. R package version 3.4-0.
- Wagenmakers E.-J., Farrell S., 2004. AIC model selection using Akaike weights // Psychonomic bulletin & review. V. 11. № 1. P. 192–196. https://doi.org/10.3758/bf03206482
- White G.C., Burnham K.P., 1999. Program MARK: survival estimation from populations of marked animals // Bird Study. V. 46, supp1. S120–S139. https://doi.org/10.1080/00063659909477239
- Wickham H., 2009. ggplot2: Elegant graphics for data analysis. First edition. New York: Springer New York. 213 p. https://doi.org/10.1007/978-0-387-98141-3
Дополнительные файлы








