Reproductive potential of the Taimyr wild reindeer (Rangifer tarandus) in 1987–2021
- Authors: Shapkin A.M.1
-
Affiliations:
- Research Institute of the Agriculture and Ecology of the Artic
- Issue: Vol 103, No 7 (2024)
- Pages: 57-77
- Section: ARTICLES
- URL: https://journal-vniispk.ru/0044-5134/article/view/272395
- DOI: https://doi.org/10.31857/S0044513424070066
- EDN: https://elibrary.ru/ufsodh
- ID: 272395
Cite item
Full Text
Abstract
Results of a study on the reproductive potential of the Taimyr wild deer in the 1987–2021 are presented. The material for the population analysis was formed by empirical samples of altogether 3695 females 2 to 17 years old each and the initial data from aerial surveys of the Taimyr population. The potential fecundity of the species in this part of the circumpolar distribution range (northern Central Siberia) in 1987–1990 averaged 0.412 ± 0.015 female fetuses per mature female. The potential fecundity, both male and female fetuses, totaled 82.4 fetuses per 100 adult females. The realized reproduction of the population in July 1988 amounted to 75.08 calves, vs 75.31 calves per 100 mature females in July 1990. Hence the infant mortality before calving for that monitoring period was 8.6–8.9%. Given the controlled use of the population resources in 1966–1990 (Soviet period), the linear regression equation for adult females was y = 4.6704x + 140.08 thousand (R2 = 0.5342, Ᾱ =5.2%), the linear trend in the numbers of underyearling calves in the period 1975–1990 being y = 5.15x + 73.9 thousand (R2 = 0.84, Ᾱ = 2.76%, r = 0.24, p < 0.05). The maximum “yield” of 142.5 thousand calves was noted for the Taimyr population in the summer of 1988. The potential fecundity of the Taimyr deer decreased in 1996–1998 and amounted to 0.339 ± 0.0362 female fetuses per adult female, vs 0.379 ± 0.0013 in 1999–2006, the realized fecundity in the postnatal period in 2002–2007 was found to be 0.295 ± 0.009 females per adult female, or 59.03 calves (males + females) per 100 adult females; this can be interpreted as elimination from spring to autumn of more than 16 calves per 100 adult females (mortality rate 21.3%). Using a linear regression for the 32-year interval between 1990 and 2021, the numbers of adult deer females dropped to y = –14.36x + 231.14 thousand (R2 = 0.48, Ᾱ = 2.4, rxy= 0.89, p < 0.01 (tp = 4.36, p < 0.01)). The predicted abundance of adult females based on a completed point forecast for the summer of 2022 is estimated at 116.23 thousand heads, vs 101.86 thousand for the summer of 2023. The trend equation for the juvenile group of Taimyr deer showed the following quantitative characteristics in the 1990–2021 interval: y = –21.35х + 175.51 thousand (R2 = 0.95, Ᾱ = 2.9, rxy = 0.98, p < 0.01 (tp = 11.01, p < 0.001)). Changes in the characteristics of the natal group are negative, as the existing rates of reproduction in the population do not balance its decline. There is a clear trend towards a decrease in the biotic potential of the Taimyr population at the current rates of reproduction in its migration flows and a further decline in the productivity of the species in that part of the circumpolar distribution range.
Full Text
Высокие темпы сезонного размножения поддерживаются стабильным поголовьем взрослых самок природной популяции (Павлов, 1976). Тем не менее комплекс факторов внешней среды, воздействующих на естественные популяции животных, вызывает различные демографические реакции, которые на всех стадиях жизненного цикла видов существенно влияют на распределение прироста населения (Coulson et al., 2005). Например, у северных оленей и у родственных им североамериканских карибу (Rangifer tarandus caribou Gmelin 1788; Rangifer tarandus granti Allen 1902), как и у других крупных травоядных животных, эффект поколения оказывает длительное влияние. При этом часть потомков, рожденных в периоды с неблагоприятными биотическими и абиотическими условиями среды, сохраняет низкую живую массу до начала размножения, что в дальнейшем определяет меньшую репродуктивную ценность (Павлов и др., 1985; Sand, 1996; Соколов, 1999; Festa-Bianchet et al., 2000; Couturier et al., 2010). Более того, у северных оленей различных возрастных классов ежегодно наблюдаются и репродуктивные паузы в сезонном размножении (Павлов и др., 1985; Adams, Dale, 1998; Колпащиков, Павлов, 2001; Шапкин, 2016; Шапкин, Суханова, 2021).
Тем не менее у некоторых самок таймырских диких северных оленей (Rangifer tarandus (L. 1758)) Мичуриным (1964) репродуктивная активность была отмечена на втором году жизни, т. е. в возрасте 15–16 месяцев. Согласно результатам исследований Колпащикова, Павлова (2001), в миграционных весенних потоках 1981–1998 гг. (n = 2342 самки) бóльшая часть важенок таймырской популяции приносят первое потомство в трехлетнем возрасте. Как правило, высокие значения средней плодовитости среди животных характерны для средневозрастных когорт самок 4–7 лет, обеспечивающих максимальный репродуктивный вклад в устойчивую скорость роста численности популяции в естественных условиях (Павлов и др., 1985; Колпащиков, 2000; Шапкин, 2012, 2016). По материалам Колпащикова, Павлова (2001), отдельные самки таймырских тундровых оленей сохраняют способность к размножению до 19 лет, по нашим данным, – до 15–16-лет (Шапкин, 2016; Шапкин, Суханова, 2021).
Вместе с тем зависимость репродуктивных показателей от плотности населения зарегистрирована у 17 из 21 вида крупных травоядных, но показатели воспроизводства, такие как число родившихся телят на половозрелую самку, обычно связывают с коэффициентом выживаемости (Коли, 1979; Гудман, 1983; Gaillard et al., 1998). С другой стороны, в годы с благоприятными условиями среды может происходить повышение уровня возрастной репродукции и показателей выживаемости у популяций растительноядных и это создает видимость жизненных циклов животных, благополучных по выживанию и реализации размножения (Coulson et al., 2005). Таким образом, конечные результаты размножения естественных видовых популяций в дикой природе во многом зависят от неоднородности экологических условий как в центре, так и на периферии ареалов и от состояния популяции в разные сезоны и годы (Шилов, 2003), где могут возникать неблагоприятные отдельные средовые факторы, негативно воздействующие на репродуктивные способности самок и на жизнеспособность их потомства.
Для высоких широт Арктики характерна неустойчивая среда. Она обусловливает изменения плодовитости и смертности животных, поэтому для новорожденных характерна убыль по экспоненциальной кривой динамики плотности населения позвоночных, которая будет разной в репродуктивные сезоны с оптимальными и неблагоприятными условиями существования (Северцов, 1935).
Между тем знание параметров сезонного размножения популяций промысловых видов имеет первостепенное значение из-за регулярного изъятия части особей и реально существующей опасности постепенного подрыва их воспроизводственных запасов и биологической продуктивности. Ведь основной причиной критического сокращения поголовья локальных популяций диких оленей в разных географических районах циркумполярного ареала признаются активнейший коммерческий промысел и экономические интересы различных групп населения. Так, прибыль от годовой добычи только из двух североамериканских стад карибу Беверли и Каманирджуак в первом десятилетии этого столетия оценивалась более чем в 20 миллионов долларов США, которые делились между Нававутом (12 миллионов долларов США), Манитобой (4 миллиона долларов США), Саскачеваном (3 миллиона долларов США) и Северо-Западными территориями (1 миллион долларов США) (InterGroup Consultants, 2008). Для приезжающих охотников цена охоты на карибу с гидом, за исключением лицензии и транспорта, варьирует от 3000 до 16000 долларов США, в зависимости от места и продолжительности тура (Festa-Bianchet et al., 2011).
Не меньшее экономическое значение в хозяйственной деятельности коренных малочисленных народов Севера и охотпользователей Енисейского Севера имеют и охотничьи ресурсы таймырских тундровых диких северных оленей. Эти ресурсы интенсивно осваиваются в промышленных объемах на протяжении 52 лет. Поэтому сезонные показатели размножения миграционных ветвей популяции таймырских диких северных оленей являются достаточно исчерпывающим индикатором состояния высокопродуктивной популяции и извещают, соответственно, о потере устойчивости этой популяции как стратегического продовольственного ресурса арктических и субарктических территорий севера Средней Сибири.
Цель исследования – оценка величины репродуктивного потенциала таймырских диких северных оленей на разных этапах динамики численности в условиях усиливающегося неконтролируемого чрезмерного промысла этой популяции и накапливающихся изменений в среде обитания.
МАТЕРИАЛ И МЕТОДИКА
Средняя потенциальная плодовитость по возрастным группам самок диких оленей таймырской популяции в советский и начальный постсоветский периоды интенсивного использования охотничьих ресурсов данной промысловой популяции (плановая и рыночная модель) исследована по материалам Колпащикова (2000). Рассмотрено и проанализировано размножение популяции на временнóм отрезке с 1987–1990 гг. (n = 1142), размножение таймырских тундровых оленей в сезоны 1996–1998 гг. (n = 171) и в 1999–2006 гг. (n = 178) по материалам Шапкина (2012, 2016).
Величину реализованной (фактической) плодовитости в репродуктивные циклы 2001–2007 гг. (n = 2299) исследовали по промысловым выборкам из летне-осенних миграционных потоков диких оленей в августе–октябре, собранным в среднем течении р. Пясина на промысловой точке “Хатыстах” и “Яким” (71°30'–71°43' с. ш.) (Шапкин, 2012, 2016; Шапкин, Суханова, 2021), и в октябре–ноябре на левобережье и правобережье оз. Пясино (69°49'–70°09' с. ш.) (Шапкин, 2012, 2016). Накопленные эмпирические материалы за все обозначенные периоды составили 3695 самок от двух лет и старше. Кроме того, для анализа сезонных результатов реализованного размножения таймырских диких оленей привлекались исходные материалы авиаучетов 1966, 1969 (Павлов и др., 1971), 1972, 1975, 1978, 1979 (Павлов, Боржонов, 1981), 1980–1990 гг. (Колпащиков, 2000) и аэровизуальные наблюдения постсоветского периода 1993– 2021 гг. (n = 6) (Шапкин, 2014; Кочкарев, Бескостов, 2014; Бондарь, Колпащиков, 2018; Кочкарев и др., 2021).
Все эти учеты выполнены по единой методике, разработанной сотрудниками НИИСХ Крайнего Севера (Павлов и др., 1976). Данная методика предусматривает абсолютный учет основного поголовья путем аэрофотосъемки стад и подсчета в них количества животных по крупномасштабным фотографиям, а также выборочную перепись в районах, где олени держатся рассеянно и не образуют скоплений. По мере развития информационных технологий методика учета дополнилась в постсоветский период 2003–2020 гг. широким использованием GPS-навигаторов, профессиональных цифровых фотоаппаратов и видеокамер (Колпащиков и др., 2008), но сам подход не менялся. Оценка численности диких северных оленей на полуострове Таймыр проводится в оптимальное для этого время, в 2–3-ю декаду июля, после завершения массового отела животных, который практически заканчивается к 10 июля (Зырянов, 1974).
По материалам этих авиаучетов мы оценивали конечный воспроизводственный потенциал таймырской популяции (численность взрослых самок, ювенальных особей) и рассчитывали предпромысловый приплод на 100 взрослых самок.
За плодовитость взято число новорожденных самок, приходящееся на одну взрослую самку (Коли, 1979), за воспроизводственный потенциал принято количество взрослых самок и ювенальных особей в таймырской популяции на начало очередного репродуктивного цикла (середина лета). Наблюдения и сбор первичного материала по репродуктивным способностям самок дикого северного оленя осуществляли по общепринятым методикам зоологических исследований (Новиков, 1953; Gunn, Nixon, 2007–2008).
Во время весенней миграции животных из районов зимовок в места отела (апрель–май) в пределах популяционного ареала вида на полуострове Таймыр (север Средней Сибири) проводили научные весенние отстрелы 1987–1990, 1996–2006 гг. Была обследована 1491 самка диких северных оленей (Колпащиков, 2000; Шапкин, 2016), при вскрытии выявляли беременных и яловых (без эмбрионов) самок (табл. 1). Каждой добытой особи присваивали порядковый номер, этот номер переносили и на отделенную (для дальнейшего изучения) нижнюю челюсть с резцами. Репродуктивный успех взрослых самок, принадлежавших к разным возрастным группам, оценивали по значениям потенциальной плодовитости.
Таблица 1. Объединенные промысловые выборки самок репродуктивного ядра таймырских диких северных оленей (Rangifer tarandus) в период мониторинга 1987–2007 гг. (n = 3695)
Сроки работ, район | n | Возраст самок, лет (число особей), возрастная структура потока (%) | |||||||||||||||||
2+ | % | 3+ | % | 4+ | % | 5+ | % | 6+ | % | 7+ | % | 8+ | % | 9+ | % | 10+ | % | ||
Февраль–март 1987–19901, р. Котуй | 1142 | 89 | 7.8 | 269 | 23.6 | 254 | 22.2 | 193 | 16.9 | 116 | 10.2 | 79 | 6.9 | 51 | 4.5 | 35 | 3.1 | 56 | 4.9 |
Март–апрель 1996–19981, рр. Котуй, Хатанга | 171 | 18 | 10.5 | 28 | 16.9 | 36 | 21.1 | 32 | 18.7 | 17 | 9.9 | 17 | 9.9 | 15 | 8.8 | 4 | 2.3 | 4 | 2.3 |
Апрель 19982, р. Мастахала | 25 | 3 | 12 | 6 | 24 | 5 | 20 | 3 | 12 | 2 | 8 | 1 | 4 | 1 | 4 | 2 | 8 | 2 | 8 |
Май 19992, р. Тальми | 19 | 2 | 10.5 | 3 | 15.8 | 4 | 21.1 | 2 | 10.5 | 2 | 10.5 | 3 | 16 | 1 | 5.3 | – | – | 2 | 10.5 |
Май 20012, р. Тальми | 42 | – | – | 2 | 4.8 | 7 | 16.7 | 8 | 19.0 | 4 | 9.5 | 4 | 9.5 | 4 | 9.5 | 2 | 4.8 | 11 | 26.2 |
Май 20022, р. Таловая | 27 | 2 | 7.45 | 6 | 22.2 | 4 | 14.8 | 6 | 22.2 | 2 | 7.45 | 5 | 19 | 1 | 3.7 | – | – | 1 | 3.7 |
Август–сентябрь 20022, р. Пясина | 639 | 55 | 8.6 | 104 | 16.3 | 112 | 17.6 | 97 | 15.2 | 83 | 12.9 | 62 | 9.7 | 46 | 7.2 | 29 | 4.6 | 51 | 7.9 |
Апрель 20042, р. Н. Таловая | 35 | 2 | 5.7 | 11 | 31.4 | 4 | 11.43 | 2 | 5.7 | 4 | 11.43 | 4 | 11.43 | 5 | 14.3 | 1 | 2.9 | 2 | 5.7 |
Август 20042, р. Пясина | 332 | 13 | 3.9 | 37 | 11.2 | 69 | 20.8 | 73 | 22.0 | 59 | 17.8 | 31 | 9.3 | 17 | 5.1 | 12 | 3.6 | 21 | 6.3 |
Август–сентябрь 20052, р. Пясина | 360 | 20 | 5.6 | 30 | 8.3 | 50 | 13.9 | 65 | 8.0 | 57 | 15.8 | 47 | 13.1 | 38 | 10.6 | 19 | 5.3 | 34 | 9.4 |
Апрель 20062, оз. Собачье | 30 | 1 | 3.3 | 2 | 6.7 | 1 | 3.3 | 9 | 30.0 | 5 | 16.7 | 6 | 20.0 | 3 | 10 | 1 | 3.3 | 2 | 6.7 |
Август–октябрь 20062, р. Пясина | 349 | 17 | 4.9 | 40 | 11.5 | 60 | 17.2 | 64 | 18.3 | 47 | 13.5 | 35 | 10.0 | 30 | 8.6 | 12 | 3.4 | 44 | 12.6 |
Август–октябрь 20073, р. Пясина | 524 | 25 | 4.8 | 49 | 9.3 | 65 | 12.4 | 69 | 13.2 | 70 | 13.4 | 72 | 13.7 | 57 | 11 | 42 | 8.0 | 75 | 14.3 |
Итого | 3695 | 247 | 6.7 | 587 | 15.9 | 671 | 18.1 | 623 | 16.9 | 468 | 12.7 | 366 | 9.9 | 269 | 7.3 | 159 | 4.3 | 305 | 8.2 |
Примечания. 10+ – возрастная группа объединяет животных 10 лет и старше (11–16 лет).1 Колпащиков, 2000;2 Шапкин, 2016;3 Шапкин, Суханова, 2021. n – численность промысловой выборки.
Окончательную дифференциацию животных по половым признакам осуществляли в процессе осмотра добытых промысловиками партий оленей: в периоды осенней миграции и массового промысла диких оленей на водных переправах (август–октябрь 2002–2007 гг.) в среднем течении р. Пясина на промысловых комплексах “Хатыстах” и “Яким”, а также при наземном промысле на левобережье и правобережье оз. Пясино (октябрь–ноябрь 1996–2006 гг.) в местах обработки добытых животных. Среди попавших в промысловые выборки особей выявляли, в первую очередь, самок с признаками лактации и яловых самок; также учитывали общее количество телят-сеголетков в некоторых “маточных” стадах и их долю в промысловой добыче. Всего в указанные календарные сроки было обследовано 2204 самки в возрасте от двух лет и старше (см. табл. 1). Фактическую плодовитость животных устанавливали по выборочным данным из общего количества лактирующих и яловых самок. Первых метили продольным разрезом вдоль ушной раковины от кончика уха, вторых – удалением половины левого уха. У всех помеченных оленей брали резцы для дальнейшего определения возраста, которые составляли индивидуальные партии с определенными номерами: с календарным сроком добычи и выявленными признаками – лактирующие и яловые самки (Шапкин, 2016; Шапкин, Суханова, 2021). Таким образом, на основании собранных выборок с резцами лактирующих и яловых животных определяли репродуктивный успех возрастных групп самок в текущем размножении.
При расчетах успеха по изучаемым сезонам размножения и среднего репродуктивного успеха самок (до отела и после отела) по данным промысловым выборкам количественное соотношение полов в объединенной выборке между плодами-самцами и плодами-самками у беременных самок и лактирующих самок, родивших телят-самцов и телят-самок, принято 1 : 1 (Мичурин, 1964; Большаков, Кубанцев, 1984). Хотя, конечно, в отдельные сезоны в миграционных потоках территориальных группировок это соотношение может отклоняться в пользу самцов (Шапкин, 2012).
Сезонный репродуктивный вклад в репродуктивных циклах таймырской популяции (количество плодов на 100 взрослых самок) рассчитывался из равенства двух отношений (пропорции) – все половозрелые самки данной промысловой выборки (a) к беременным самкам этой выборки (b) и 100 взрослых самок (c) к (d или х), т. е. по основному свойству пропорции (Бабичева, Болдовская, 2010).
Долю яловых самок в возрастных группах рассчитывали с использованием процентов (Бабичева, Болдовская, 2010), где количество лактирующих и яловых самок (животные без потомства) составляет 100%, отсюда яловость будет х% от численности данной возрастной группы самок. Показатели реализованного воспроизводства (количество телят на 100 взрослых важенок) в исследуемые репродуктивные сезоны 1987–1990, 1996–1998, 1999–2007 гг. и по авиаучетным материалам рассчитывали по соотношению всех самок репродуктивного возраста к лактирующим особям, самкам с телятами, и сто взрослых самок к х (по основному свойству пропорции). Таким же методом рассчитана и величина пополнения в миграционных потоках (ветвях) диких северных оленей таймырской популяции.
Средняя плодовитость (потенциальная и реализованная плодовитость) по возрастным когортам в репродуктивных сезонах рассчитывалась по предложенной методике Коли (таблица плодовитости самок: гл. 7, табл. 7.5) (1979). В этих расчетах использовались данные о самках старше двух лет (2+), о чем уже упоминалось выше.
Ошибки полученных значений возрастной рождаемости по этим материалам (средняя потенциальная, фактическая плодовитость самок) рассчитаны по формуле (1) стандартного отклонения доли “успехов” для величины n опытов в биномиальном распределении:
, (1)
где p – вероятность успеха (шанс, что самка принесет в потомстве самку), q = 1 – p, n – размер выборки. Отсюда ошибка (среднее квадратическое отклонение) равна корню из дисперсии (Балинова, 2004):
. (2)
Репродуктивный вклад для каждого возрастного класса самок найден по формуле (3):
, (3)
где fx– численность возрастного класса; mx – число самок, рожденных каждой самкой в возрастном интервале x.
Среднее значение плодовитости для половозрелых самок разного возраста в репродуктивных циклах 1987–1990, 1996–1998, 1999–2007 гг. для этой части таймырской популяции вычислено по взвешенному среднему для возрастов по формуле (4), предложенной Коли (1979):
, (4)
где n – число новорожденных самок в потомстве N самок данного возраста.
Индивидуальный возраст самок определяли в лабораторных условиях по слоистым структурам резцов (Клевезаль, Клейненберг, 1967) сформировавшихся слоев цемента резца I1, предварительно декальцинированных 5% раствором азотной кислоты. Срезы резцов самок получали на отечественном ротационном микротоме МРТУ-12; для подсчета годовых колец диких северных оленей образцы окрашивались гематоксилином Эрлиха. Определение возраста самок таймырских диких северных оленей выполнили Н. Ф. Арсентьева (промысловые выборки 1987–2005 гг.), Т. П. Базелянская (промысловые выборки 2006 г.) и Н. С. Суханова (промысловые выборки 2007 г.).
Оценка текущего воспроизводственного потенциала таймырской популяции была выполнена по результатам авиаобследования локальной части арктического летнего ареала таймырской популяции северного оленя, проведенного летом 2021 г. коллективом сотрудников Центральносибирского заповедника (Кочкарев и др., 2021). Эти итоговые материалы с установленной летней численностью таймырской популяции 2021 г. в 241.6 тыс. голов использованы в анализе и интервальном прогнозе. Вместе с тем нам пришлось самостоятельно определить гипотетическую величину поголовья взрослых самок в 2017 и 2021 гг., т. к. исполнителями учета Бондарем, Колпащиковым (2018) взрослые самки были объединены с группами молодняка 1–2 года, а также Кочкаревым и др. (2021) взрослые самки были объединены с самцами, и самками двух лет (табл. 2).
Таблица 2. Динамика численности таймырской популяции дикого северного оленя в период мониторинга 1966–2021 гг.
Год авиаучета | Численность, тыс. особей; в скобках – доля, % | ||||
общая | взрослые самцы | взрослые самки | молодняк 1–2 года | телята-сеголетки | |
1966 1969 1972 1975 1978 1979 1980 1981 1982 1983 1984 1985 1986 1988 1990 1993 2001 2003 2009 2014 2017 2021 | 252.6 (100.0) 333.0 (100.0) 386.0 (100.0) 449.0 (100.0) 475.0 (100.0) 470.0 (100.0) 480.0 (100.0) 510.0 (100.0) 525.0 (100.0) 540.0 (100.0) 575.0 (100.0) 590.0 (100.0) 595.0 (100.0) 570.0 (100.0) 625.0 (100.0) 536.0 (100.0) 354.0 (100.0) 598.0 (100.0) 485.9 (100.0) 417.5 (100.0) 384.4 (100.0) 241.6 (100.0) | 58.1 (23.0) 44.3 (13.3) 66.0 (17.1) 84.4 (18.8) 82.2 (17.3) 85.6 (18.2) 93.1 (19.4) 105.1 (20.6) 110.2 (21.0) 118.8 (22.0) 104.1 (18.1) 92.6 (15.7) 100.0 (16.8) 85.5 (15.0) 105.0 (16.8) 69.7 (13.0) – 74.2 (12.4) 78.2 (16.1) 85.6 (20.5) 71.8 (18.7) 60.4 (25.0) | 98.5 (39.0) 139.2 (41.8) 157.5 (40.8) 157.2 (35.0) 185.7 (39.1) 196.9 (41.9) 174.2 (36.3) 199.9 (39.2) 195.8 (37.3) 189.0 (35.0) 201.3 (35.0) 201.2 (34.1) 188.0 (31.6) 189.8 (33.3) 187.5 (30.0) 208.0 (38.8) – 201.5 (33.7) 165.2 (34.0) 219.6 (52.6) 252.91 (65.8) 132.92 (55.0) | 30.3 (12.0) 63.3 (19.0) 81.1 (21.0) 102.8 (22.9) 96.4 (20.3) 92.6 (19.7) 104.2 (21.7) 74.9 (14.7) 110.8 (21.1) 91.8 (17.0) 129.9 (22.6) 155.2 (26.3) 174.9 (29.4) 152.2 (26.7) 191.3 (30.6) 112.5 (21.0) – 203.3 (34.0) 153.1 (31.5) 57.2 (13.7) – 27.63 (11.4) | 65.7 (26.0) 86.2 (25.9) 81.4 (21.1) 104.6 (23.3) 110.7 (23.3) 94.9 (20.2) 108.5 (22.6) 130.1 (25.5) 108.2 (20.6) 140.4 (26.0) 139.7 (24.3) 141.0 (23.9) 132.1 (22.2) 142.5 (25.0) 141.2 (22.6) 145.8 (27.2) – 119.0 (19.9) 89.4 (18.4) 55.1 (13.2) 59.6 (15.5) 20.7 (8.6) |
Примечания. 1 Объединенная численность взрослых самок и молодняка самцов и самок 1–2 года (Бондарь, Колпащиков, 2019).2 Объединенная численность взрослых самок и молодняка самцов, самок двух лет (Кочкарев и др., 2021); 3 Численность годовалых самцов и самок в таймырской популяции (Кочкарев и др., 2021).
Определение численности взрослых самок в таймырской популяции для периода 2017–2021 гг. При оценке поголовья взрослых самок мы учитывали биологические законы о том, что изменения в природной популяции представляют собой сложные колебательные процессы, при которых численность, постоянно меняясь, колеблется все-таки около средней величины (Уильямсон, 1975). Отсюда среднее поголовье размножавшихся самок, т. е. самок с телятами, за мониторинговый период 1990–2017 гг. условно можно принять в 101.68 тыс. важенок. Далее определение предположительной численности взрослых важенок строилось на основании средних значений для временнóго ряда этой группы за период проведения авиаучетов 1966–2014 гг. (n = 19). Многолетние колебания численности этой группы за указанный период составили lim 30.0–52.6% (см. табл. 2), соответственно, среднее значение соотношений изменчивости вариационного ряда определено в 37.3 ± 1.15%. Следовательно, поголовье взрослых самок в таймырской популяции летом 2017 г. теоретически могло составлять 143.8 тыс. особей (молодняк обоего пола в возрасте 1–2 года 109.1 тыс.). К лету же 2021 г. поголовье взрослых самок в популяции предположительно сократилось до 90.2 тыс. голов. Вместе с молодняком, т. е. двухлетними самцами и самками (см. табл. 2), эта объединенная со взрослыми самками группа животных, по исходным материалам авиамониторинга и оценке Кочкарева и др. (2021), составляла 132.9 тыс. особей, или 55.0% всего поголовья сокращающейся по численности таймырской популяции (см. табл. 2).
Статистический анализ данных. Обработку многолетних эмпирических зависимых переменных (численность беременных самок репродуктивных классов) и временны́х рядов динамики численности взрослых самок и потомства нулевого возраста провели математико-статистическими методами биологической статистики (Плохинский, 1970; Песенко, 1982; Zar, 2010). Достоверность различий оценивали при пороговом значении p < 0.05.
При расчетах пользовались пакетом программ Excel 2010 for Windows XP.
РЕЗУЛЬТАТЫ
Обработка исходных материалов в период 1987–1990 гг. из работы Колпащикова (2000), представленных 1142 взрослыми самками, показала, что взвешенная средняя потенциальная плодовитость (Коли, 1979) в период 1987–1990 гг. составила 0.412 плода-самки на одну самку (табл. 3). Максимальными показателями потенциальной плодовитости характеризовался класс 6-летних самок: 0.470 плода-самки на одну самку этой возрастной группы. Для этого же класса животных на этом временном отрезке зафиксирована и самая низкая яловость среди представленных когорт взрослых самок – 6.03%. Таким образом, доля беременных самок среди половозрелых двулетних самок составила 19.1%, среди шестилетних самок – 93.97%. После достижения шестилетнего возраста в этой возрастной группе наблюдалось снижение потенциальной плодовитости, т. е. репродуктивный вклад уменьшался из-за промыслового изъятия и естественной смертности по другим причинам. В охотничье-промысловые сезоны 1987–1990 гг. средняя норма изъятия из популяции равнялась 87.5 тыс. самцов и самок (Колпащиков и др., 2002). Тем не менее имеющееся на тот период времени репродуктивное ядро взрослых самок в таймырской популяции компенсировало такую величину хозяйственного изъятия (см. табл. 2).
Таблица 3. Потенциальная плодовитость самок таймырских тундровых диких северных оленей (Rangifer tarandus) в весенний период 1987–1990 гг. (n = 1142)
Возраст, лет x | Численность выборки, особей fx | Число беременных Bx | Число плодов-самок (mx ± σ) на одну самку (Bх / 2fx) | Яловость, % | Репродуктивный вклад возрастной группы (число плодов-самок) (fx) mx |
2+ 3+ 4+ 5+ 6+ 7+ 8+ 9+ 10+ и старше Итого | 89 269 254 193 116 79 51 35 56 1142 | 17 235 224 173 109 69 42 27 45 941 | 0.096 ± 0.031 0.437 ± 0.030 0.441 ± 0.031 0.448 ± 0.036 0.470 ± 0.046 0.437 ± 0.056 0.412 ± 0.070 0.386 ± 0.082 0.402 ± 0.066 0.412 ± 0.015 | 80.9 12.64 11.81 10.4 6.03 12.66 17.65 22.86 19.64 17.6 | 8.5 117.6 112.01 86.5 54.52 34.52 21.01 13.51 22.5 470.7 |
Примечания. Взвешенное среднее для интервала 1987–1990 гг.: 0.412 плодов-самок на одну взрослую самку; n – численность промысловой выборки.
Вместе с тем наибольшее суммарное эффективное размножение по данному признаку выявлено в группе 3-летних самок численностью 269 особей. На них пришлось 117.6 плодов-самок, т. е. потенциальная плодовитость в этой группе на одну самку составила 0.437 плода-самки с яловостью 12.84%. За ними возрастная группа из 254 четырехлетних самок, на которых пришлось 112 плодов-самок, т. е. с потенциальной плодовитостью 0.441 плода-самки на одну 4-летнюю особь и яловостью 11.81% (см. табл. 3). Особо стоит отметить, что, по материалам промысловых выборок, в миграционных ветвях таймырской популяции в 1987–1990 гг. эти группы половозрелых самок составляли соответственно 23.6 и 22.24% репродуктивного ядра и могли потенциально пополнить стада группировок 48.7% телят-самок. Иными словами, эти две достаточно многочисленные возрастные группы самок дали почти половину всего пополнения популяции.
Самыми низкими показателями потенциальной плодовитости в миграционных ветвях таймырской популяции обладали, как уже отмечалось выше, молодые самки в возрасте 2+ – 0.096 плода-самки на 2-летнюю самку; из этой группы беременными в репродуктивные циклы 1987–1990 гг. оказалось лишь 19.1% самок. Яловость в этой группе самок 80.9% (см. табл. 3). При пересчете с плодами-самцами на временном интервале 1987–1990 гг. общие суммарные показатели зависимых переменных, т. е. показатели потенциального размножения на 100 половозрелых самок таймырских тундровых оленей оказываются достаточно высокими – 82.4 плода и яловостью 17.6%. Эти данные размножения позволяют говорить об удовлетворительном состоянии репродуктивного ядра таймырской популяции, которая в эти же сроки испытывала неослабевающую нагрузку планового промысла со смертностью от других факторов среды, но высоким размножением компенсировала эту убыль, поддерживая численность миграционных потоков в различных частях ареала.
Для 1996–1998 годов, по исходным материалам Колпащикова (2000), выполненные расчеты показали взвешенное среднее (Коли, 1979) на уровне 0.339 плода-самки на одну взрослую самку (табл. 4). Максимальная потенциальная плодовитость отмечена для возрастной группы 8-летних самок: 0.433 плода-самки на одну взрослую самку с яловостью в этом классе 13.3% – это самый низкий показатель по сравнению с показателями животных из других групп (lim 13.3–75.0%). Самые минимальные значения потенциальной плодовитости в данный период наблюдались у классов самок предельных возрастов – 0.125 плода-самки на одну самку. Эти группы животных отстали даже от самой молодой когорты 2-летних самок, у которой средняя потенциальная плодовитость характеризовалась 0.139 плода-самки на одну самку. Как и в предыдущие репродуктивные циклы, основная репродуктивная нагрузка в пополнении популяции приходилась на 3–5-летние когорты половозрелых самок: их вклад в воспроизводство составил 33.03% в миграционных потоках по материалам промысловых выборок. Вместе с тем в этот период значения репродуктивных показателей заметно снизились: общая яловость достигла 32.2%, а суммарные показатели потенциального воспроизводства важенок составили 67.84 плодов на 100 взрослых самок.
Таблица 4. Потенциальная плодовитость самок таймырских тундровых диких северных оленей (Rangifer tarandus) в весенний период 1996–1998 гг. (n = 171)
Возраст, лет x | Численность выборки, особей fx | Число беременных Bx | Число плодов-самок (mx ± σ) на одну самку (Bх / 2fx) | Яловость, % | Репродуктивный вклад возрастной группы (число плодов-самок) (fx) mx |
2+ 3+ 4+ 5+ 6+ 7+ 8+ 9+ 10+ и старше Итого | 18 28 36 32 17 17 15 4 4 171 | 5 17 22 27 14 14 13 3 1 116 | 0.139 ± 0.082 0.304 ± 0.087 0.306 ± 0.077 0.422 ± 0.0874 0.412 ± 0.120 0.412 ± 0.120 0.433 ± 0.128 0.375 ± 0.243 0.125 ± 0.166 0.339 ± 0.0362 | 72.2 39.3 38.9 15.63 17.65 17.65 13.3 25.0 75.0 32.2 | 2.5 8.51 11.02 13.5 7.0 7.0 6.5 1.5 0.5 58.03 |
Примечания. Взвешенное среднее для интервала 1996–1998 гг.: 0.339 самки на одну взрослую самку; n – численность промысловой выборки.
В то же время статистическая оценка достоверности различий между выборочными характеристиками беременных самок из репродуктивных циклов 1986–1990 и 1995–1998 гг. критерием λ (лямбда) Колмогорова–Смирнова (Плохинский, 1970; Песенко, 1982; Zar, 2010) позволяет принять нулевую гипотезу (Н0): λ = 1.3 ˂ λпорог = 1.36, Р = 0.05. Таким образом, эти конкретные выборки беременных самок взяты из одной и той же генеральной совокупности, т. е. сезонных миграционных потоков таймырской популяции, поскольку λ оказалось меньше стандартного значения и предположение об отсутствии различия между сравниваемыми значениями зависимой переменной подтверждено статистическими методами.
Наоборот, взвешенная средняя потенциальная плодовитость (Коли, 1979) самок в период 1999– 2006 гг. несколько выросла и достигла значений 0.379 плода-самки на одну половозрелую самку (табл. 5) (Шапкин, 2016). Увеличение показателя отмечено даже для молодых двухлетних самок – 0.3 плода-самки на одну самку, с самой низкой для этой когорты яловостью в 40%. Максимальная же потенциальная плодовитость зафиксирована среди самок старшего возраста, в группе 9-летних животных на одну самку пришлось 0.5 плода-самки, а яловость оказалась нулевой. В 1999–2006 годы у важенок предельных возрастов 11–15+ лет отмечены снижение потенциальной плодовитости до значения 0.333 плода-самки на одну взрослую самку и среднего значения яловости до 33.3%. 55.6% потенциального пополнения в миграционных потоках популяции пришлось на когорты животных от 3-х до 6+ лет, на важенок 7–9+ лет приходилось 19.8% и на самок предельных возрастов 10–15+ – 11.03% пополнения. Суммарные показатели потенциальной плодовитости в таймырской популяции на этот период составили 75.84 эмбрионов обоих полов на 100 половозрелых самок, со средней яловостью в период 1999– 2006 гг. в 24.16%.
Таблица 5. Потенциальная плодовитость самок таймырских диких северных оленей в весенний период 1998– 2006 гг. (n = 178)
Возраст, лет х | Численность выборки, особей fx | Число беременных самок Bx | Число плодов-самок (mx ± σ) на одну самку (B/2fx) | Яловость, % | Репродуктивный вклад возрастной группы (число плодов-самок) (fx) mx |
2+ 3+ 4+ 5+ 6+ 7+ 8+ 9+ 10+ 11–15+ Итого | 10 30 25 30 19 23 15 6 8 12 178 | 6 23 16 22 14 20 13 6 7 8 135 | 0.3 ± 0.045 0.383 ± 0.083 0.32 ± 0.089 0.367 ± 0.088 0.368 ± 0.109 0.435 ± 0.103 0.433 ± 0.126 0.5 ± 0.202 0.437 ± 0.173 0.333 ± 0.134 0.379 ± 0.0013 | 40.0 23.3 36.0 26.6 26.3 13.04 13.3 – 12.5 33.3 24.16 | 3.0 11.5 8.0 11.01 6.9 10.01 6.5 3.0 3.5 3.9 67.32 |
n – численность промысловой выборки.
Проверка достоверности оценки генеральных параметров по выборочным данным беременных самок из репродуктивных циклов 1995–1998 гг. и 1998–2006 гг. критерием λ (лямбда) Колмогорова–Смирнова (Плохинский, 1970; Песенко, 1982; Zar, 2010) не опровергла нулевую гипотезу. Животные, попавшие в эти конкретные выборки, относятся к одной той же природной популяции: λ оказалась меньше стандартного (λ = 1.05 ˂ λпорог = 1.36, Р = 0.05) и статистические расчеты не противоречат гипотезе об отсутствии различий.
Данные о реализованной плодовитости, наблюдаемой после отельных периодов 2002–2007 гг. в обследованных мигрирующих осенних стадах (август–ноябрь), свидетельствуют о снижении плодовитости до значения 0.295 теленка-самки на одну половозрелую самку. Доля взрослых яловых самок достигала к этому сроку в маточных стадах и группах 40.97% (табл. 6), т. е. яловость самок из-за потери телят возросла на 16.81%. Большая доля (74.6%) яловых животных выявлена среди самок 2+ лет, минимальная (24.56%) – среди девятилетних самок. Причем реализованная плодовитость (на одну самку) повышались до 9-летнего возраста (lim 0.127–0.377), затем – заметно снижалась. Впрочем, фактическая плодовитость 10-летних особей и особей предельно старших возрастов (11– 16+ лет) оставалась на достаточно высоком уровне по сравнению с этим показателем у 2–5-летних самок. 46.2% лактирующих самок с телятами-самками и телятами-самцами были представлены 4–9-летними особями, именно в этих возрастных репродуктивных классах отмечена наибольшая выживаемость потомства в репродуктивные циклы 2002–2007 гг. (см. табл. 1, 6). Максимальные же показатели пополнения популяции зафиксированы у самок 5-летнего возраста как наиболее многочисленной группы репродуктивных самок репродуктивного ядра (16.7%) в таймырской популяции. Между тем средняя величина реализованной плодовитости в послеотельный период составила 59.03 теленка на 100 взрослых самок. Поэтому мы предполагаем, что за календарный период от весны и до конца лета-осени в стадах сезонных миграционных потоков таймырской популяции из общего количества приплода, рожденного 100 половозрелыми самками, могут погибнуть более 16 телят-самок и телят-самцов.
Таблица 6. Фактическая плодовитость самок таймырских тундровых диких северных оленей (Rangifer tarandus) в летне-осенний период 2002–2007 гг. (n = 2299)
Возраст, лет x | Численность выборки, особей fx | Число лактирующих Bx | Число телят-самок (mx ± σ) на одну самку (B/2fx) | Яловость, % | Репродуктивный вклад возрастной группы (число телят-самок) (fx) mx |
0+ 1+ 2+ 3+ 4+ 5+ 6+ 7+ 8+ 9+ 10+ 11–16+ Итого | – 95 130 260 356 368 316 247 188 114 91 134 2204 | – – 33 90 180 236 203 175 139 86 67 92 1301 | – – 0.127 ± 0.029 0.173 ± 0.023 0.253 ± 0.023 0.321 ± 0.024 0.321 ± 0.026 0.354 ± 0.030 0.370 ± 0.035 0.377 ± 0.045 0.368 ± 0.051 0.343 ± 0.041 0.295 ± 0.009 | – – 74.60 65.40 44.40 35.87 35.76 29.10 26.06 24.56 26.37 31.30 59.03 | – – 16.51 44.90 90.07 118.13 101.44 87.44 69.60 42.98 33.50 46.00 650.60 |
Примечания. Взвешенное среднее для интервала 2002–2007 гг.: 0.295 новорожденной самки на одну взрослую самку; n – численность промысловой выборки.
Статистическая оценка собранных выборок лактирующих самок 2002–2007 гг. с выборочными характеристиками беременных самок 1999– 2006 гг. критерием λ (лямбда) Колмогорова–Смирнова (Плохинский, 1970; Песенко, 1982; Zar, 2010) показала, что Н0 гипотеза осталась в силе: λ = 1.33 ˂ λпорог = 1.36, Р = 0.05. Таким образом, и для этого варианта выборочных характеристик зависимых переменных (потенциальная и реализованная плодовитость) подтверждено отсутствие различия между сравниваемыми распределениями: исследуемые конкретные эмпирические выборки относятся к одной и той же генеральной совокупности – к сезонным миграционным потокам таймырской популяции дикого северного оленя.
Оценивание параметров предпромыслового поголовья взрослых самок таймырской популяции на временном интервале 1966–1990 гг. (Павлов, Боржонов, 1981; Колпащиков, 2000; Шапкин, 2014) подтвердило линейный тренд с эффективностью воспроизводства: у = 4.6704х + 170.08 тыс. (R2 = 0.5342, Ᾱ = 5.2%). Для участвовавших в размножении взрослых самок уравнение тренда на этом отрезке репродуктивных циклов популяции: у = 5.1568 х + 73.879 тыс. (R2 = 0.836). По выполненным расчетам, предпромысловая численность таймырских тундровых оленей в течение 1966–1990 годов ежегодно повышалась на 21.9 тыс. животных. Прирост же взрослых самок, достигших репродуктивного возраста, составил примерно 5.16 тыс. Фактическое количество телят на 100 взрослых самок в 1966–1979 гг., в зависимости от изменения воздействия абиотических и биотических факторов, так же изменялось от 48 (1972 г.) до 67 (1966 г.). Среднее реализованное размножение в период 1966–1979 гг. составило 61 теленок на 100 взрослых самок за год. Размер ежегодного приплода в период 1980–1990 гг. ко времени проведения авиаучетов (середина, конец июля) составлял от 55.3 (1982 г.) до 75.3 телят на 100 взрослых самок за 1990 г. Среднее на этом отрезке реализованное размножение 68.6 телят на 100 взрослых самок (n = 9) (lim 55.3–75.3 телят).
Для населения взрослых самок таймырских тундровых диких оленей уравнение тренда на отрезке 1990–2021 гг. с семью значениями численности временного ряда оказалось: y = –14.36х + 231.14 тыс. (R2 = 0.48, Ᾱ = 2.4, rxy = 0.89, p < 0.01, (tp = 4.36, p < 0.01)). Расчетная прогнозная величина взрослых самок по выполненному точечному прогнозу на лето 2022 г. 116.23 тыс. особей, на лето 2023 г. 101.86 тыс. особей. Количественная характеристика поголовья молодняка (телята-сеголетки) таймырских тундровых оленей по уравнению тренда на временном отрезке 1990–2021 гг. y = –21.35х + 175.51 тыс. (R2 = 0.95, ошибка аппроксимации Ᾱ = 2.9, коэффициент автокорреляции rxy = 0.98, p < 0.01 (tp = 11.01, p < 0.001)).
Верхние и нижние расчетные границы численности телят в 1993–2021 годах варьировали от 70.1 (1993 г.) до 15.6 телят (2021 г.) на 100 взрослых самок. Средние значения реализованного размножения таймырской популяции 44.3 теленка на 100 взрослых самок (n = 6) (lim 15.6–70.1 телят). Изменения численности натальной группы в постсоветский период использования охотничьих ресурсов таймырских оленей (второе десятилетие 21 века) демонстрируют явное снижение репродуктивных способностей репродуктивного ядра самок миграционных потоков таймырской популяции, как и снижение общей численности половозрелых самок. Таким образом, подобная минимальная пороговая численность новорожденных (4.71 тыс. особей) не обеспечивает восстановление репродуктивного потенциала репродуктивных поколений стад и сохранение оптимального поголовья таймырской популяции.
ОБСУЖДЕНИЕ
В репродуктивные циклы 1987–1990 гг. максимальная потенциальная плодовитость характерна для 6-летних самок таймырских тундровых диких оленей – 0.470 плода-самки на одну взрослую самку, минимальная плодовитость характерна для двухлетних самок – 0.096 плода-самки на одну самку. Взвешенное среднее для этого интервала времени контролируемого промысла охотничьих ресурсов управляемой таймырской популяции 0.412 плода-самки на одну самку (см. табл. 3). Причем к лету 1990 г. численность таймырских диких оленей достигла максимального предела – 625.0 тыс. голов (Колпащиков, 2000; Шапкин, 2014). Это фактически соответствовало экологической емкости – 630 тыс. диких оленей – ниши арктического, субарктического и бореального секторов ареала северного оленя на севере Средней Сибири, которую мы (Шапкин, Иванова, 2018) рассчитали по логистическому уравнению Ферхюльста–Пирла (Пианка, 1981).
Численность таймырской популяции северного оленя поддерживалась в 1966–1990 гг. при возрастающей промысловой нагрузке (lim 17.1–130.0 тыс. особей) благодаря поголовью взрослых самок в 98.5–201.3 тыс. (Павлов и др., 1971; Колпащиков, 2000) при их среднем количестве 155.83 тыс. в 1966–1979 гг. и 191.86 тыс. самок в 1980–1990 гг. Фактическое количество телят на 100 взрослых самок в 1966–1979 гг. после отела в период проведения авиаучетов флуктуировало в зависимости от изменения степени воздействия неблагоприятных абиотических и биотических факторов, от 48 (1972 г.) до 67 (1966 г.). Среднее реализованное размножение в этот период составляло 61 теленок на 100 половозрелых самок. Годовой прирост в 1967 г. оценен в 9.6%, в 1968 г. – 10.9%, в 1969 г. – 29.4 тыс. голов, или 11.0% (Павлов и др., 1971). Годовое пополнение таймырской популяции в 70-х годах прошлого века при том темпе размножения оценивалось в 15% (Павлов, 1976).
К 1978 г. хозяйственная эксплуатация ресурсов промысловой популяции привела к заметному омоложению ее возрастной структуры: средняя добыча в 1971–1979 гг. достигала 46.24 тыс. голов, при этом биологическая продуктивность не снизилась, т. к. в территориальных миграционных ветвях группировок (субпопуляций) таймырских диких оленей сохранялось оптимальное соотношение животных разных генераций (Павлов, Зырянов, 1981). Средняя норма изъятия в 80-е годы колебалась в пределах 81.4 тыс. голов (Колпащиков и др., 2002), а ежегодная смертность от хищничества волка в естественных условиях существования вида оценивалась примерно в 15–20 тыс. особей (Павлов, 1983). Численность миграционных потоков таймырской популяции поддерживалась достаточно высоким поголовьем половозрелых самок (lim 174.2–201.3 тыс.), а амплитуда скорости роста стада (r) на протяжении экологического мониторинга годовых циклов 1980–1988 гг. имела чаще (n = 7) положительную динамику 0.01–0.06, чем отрицательную (Шапкин, Иванова, 2018). Тем не менее к началу репродуктивных сезонов 1988–1990 гг. поголовье взрослых самок несколько снизилось с 201.3 тыс. в 1984 г. до 189.8–187.5 тыс. в 1988– 1990 гг. (Колпащиков, 2000).
Вместе с тем самки репродуктивного ядра при плановой программе управления охотничьими ресурсами таймырской популяцией и тех темпах размножения принесли летом 1988 г. 142.5 тыс., а летом 1990 г. 141.2 тыс. телят-сеголетков, или 75.08 (июль 1988 г.) и 75.31 теленка (июль 1990 г.) на 100 половозрелых самок. По параметрам потенциальной плодовитости наибольшим репродуктивным вкладом обладали соответственно 3, 4, 5, 6-летние возрастные группы (см. табл. 3), самки которых теоретически принесли 64.9% общего пополнения при контролируемом промысле популяции, поскольку являлись наиболее многочисленными группами самок в стадах сезонных миграционных потоков. С учетом суммарной характеристики потенциальной плодовитости (плоды-самки, плоды-самцы) показатели репродукции оказались равны 82.4 плода на 100 взрослых самок. Таким образом, располагая данными реализованного размножения и потенциальной плодовитости, можно предположить, что детская смертность до отела в 1987– 1990 годы при плановой модели промысла могла составлять в весенних маточных стадах таймырской популяции дикого северного оленя 8.6– 8.9%, а яловость 17.6% (см. табл. 3).
Между тем к 1996–1998 гг. выявлены первые изменения в балансе размножения таймырской популяции: потенциальная плодовитость самок диких оленей заметно упала и определена нами по исходным материалам Колпащикова (2000) для одной взрослой самки на уровне 0.339 плода-самки (Коли, 1979). Суммарная плодовитость животных (плоды- самки и плоды-самцы) в сравнении с параметрами репродуктивных циклов 1987–1990 гг. снизилась до показателей 67.84 плодов на 100 половозрелых самок, т. е. произошло снижение репродуктивного потенциала на 17.7% с возрастанием общей яловости среди взрослого поголовья маточных стад до 32.2% (см. табл. 3, 4). Иными словами, в условиях перехода на рыночную модель использования ресурсов таймырской популяции и усиления неконтролируемого промысла вместе с неблагоприятными лимитирующими факторами среды репродуктивное ядро из 3–6-летних возрастных групп самок обеспечило лишь 46.8% возможного пополнения стад диких северных оленей.
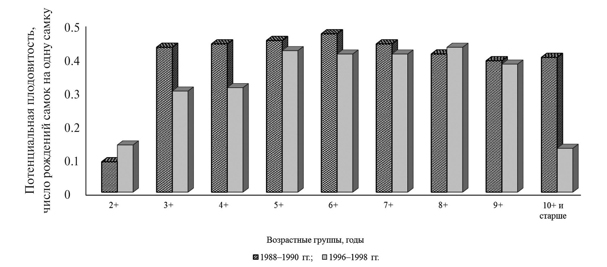
Потенциальная плодовитость в 1996–1998 гг. снизилась во всех возрастных группах самок, кроме двухлетних и восьмилетних (рис. 1), репродуктивный статус которых по эмпирическим данным, напротив, повысился по сравнению с аналогичным статусом самок тех же возрастных групп в 1987–1990 гг. Летний учет предпромысловой численности таймырской популяции 1993 г., а это был единственный состоявшийся учет таймырских тундровых оленей в 90-е годы прошлого века (Шапкин, 2014), показал реализованное размножение в стадах миграционных потоков на уровне 70.1 теленка на 100 взрослых самок, что было на 6.9% меньше по сравнению с этим показателем за 1989–1990 гг.
Рис. 1. Средние значения потенциальной плодовитости в возрастных группах самок таймырских тундровых диких оленей в репродуктивные циклы 1987–1990 и 1996–1998 гг.
Согласно предложенной ранее, в 90-е годы гипотезе, развал плановой охотничьей отрасли приведет к снижению нагрузки на популяцию, что спровоцирует ее бесконтрольный рост (Колпащиков, 2000). На наш взгляд, это предположение было ошибочным. Воздействие промысла на таймырских тундровых оленей не прекращалось, промысел просто принял неконтролируемые неумеренные формы, и этот род деятельности для сельского населения отдаленных территорий Таймыра, Эвенкии и Якутии стал единственным гарантированным источником какого-то заработка. В собственность наиболее энергичным бригадирам, переквалифицировавшимся в менеджеров теневой добычи дикого северного оленя со сбытом продукции оленьего промысла, достались мощные промысловые комплексы на реках Таймыра, которые обладали еще достаточным запасом прочности для их эксплуатации. Разрушаться и приходить в упадок производственные базы отстрела стали гораздо позже, в конце 90-х, начале 2000-х. Более того, усилился зимний активный наземный промысел с применением отсечных изгородей-направителей и коралей, снегоходной техники и вездеходов, а также возросло количество “теневых” мобильных профессиональных бригад, контроль за деятельностью которых не велся.
В репродуктивные циклы 1998–2006 гг. показатели потенциальной плодовитости самок в сезонных миграционных потоках таймырской популяции выросли, но ее средняя репродуктивная характеристика так и не достигла средних значений пика репродукции конца 80-х годов прошлого века (см. табл. 3 и 5), когда охотничьи ресурсы таймырских тундровых оленей монопольно использовались только государством. Средневзвешенная плодовитость в рассматриваемый период на одну половозрелую самку оказалась равна 0.379 плода-самки средняя яловость в весенних стадах – 24.2% (Шапкин, 2016), что превысило на 6.6% показатели зависимой переменной в репродуктивные циклы 1987–1990 гг. При этом среди молодых двухлетних самок беременных было 60%, а среди девятилетних самок – 100% (см. табл. 5). Эти данные убедительно свидетельствуют об активном участии большой части двухлетних самок в репродуктивных циклах популяции в эти годы, а также являются косвенным подтверждением того, что на летних и зимних пастбищах имелись запасы кормовых ресурсов, необходимых таймырским диким оленям.
На основании этих средних многолетних переменных (потенциальная и реализованная плодовитость взрослых самок) 2002–2007 гг. можно выявить повышенную смертность приплода таймырских диких оленей в первое десятилетие 21-го века. Возрастание показателей яловости среди животных имело размах: lim 8.4–42.1%, а изменение плодовитости по числу телят-сеголетков на одну самку колебалось от 0.046 среди 5-летних до 0.21 в группе трехлетних важенок, яловость которых рекордно выросла на 42.1% (с 23.3 до 65.4%), превысив аналогичный показатель в группе двухлетних самок (см. табл. 5 и 6).
Таким образом, потери потомства, связанные с непостоянством условий существования в пределах обширного популяционного ареала и давлением средовых факторов, были отмечены у самок всех возрастных групп. Ориентируясь на показатели яловости в группах, они возросли в среднем для двухлетних на 34.6, для трехлетних на 42.1, у четырехлетних на 8.4, пятилетних на 9.27, шестилетних на 9.46, для семилетних самок на 16.06, среди восьмилетних на 12.76, у девятилетних на 24.56, у десятилетних на 13.9%, и лишь среди животных старших групп 11–15+ лет реализованная плодовитость возросла на 0.015 теленка на одну самку, а общие показатели яловости этой объединенной группы уменьшились на 2.0% из-за более многочисленных эмпирических данных. Следовательно, для телят, родившихся от молодых двух- и трехлетних самок, характерна более высокая неонатальная смертность, чем для телят, родившихся от матерей старшего возраста (Филонов, 1993) (рис. 2).
Рис. 2. Показатели линейной регрессии потенциальной и реализованной плодовитости среди самок таймырских диких северных оленей (Rangifer tarandus) в период 1998–2007 гг.
Наибольшая сохранность приплода выявлена у пятилетних самок: репродуктивный вклад 118 телят-самок, или 18.2% от общего анализируемого показателя (см. табл. 6). Репродуктивным ядром таймырской популяции являлись, по данным за 2002–2007 гг., когорты четырех–семилетних самок: именно на них пришлось 61.1% фактического приплода в стадах сезонных миграционных потоков диких оленей, на 2–3-летние группы самок приходилось 9.5% телят-самок, на животных старших и предельных возрастов 8–16-лет – 29.6% телят-самок. Как известно, в разные годы в популяции, при одной и той же численности, может быть разное соотношение возрастных групп самок, и, таким образом, популяция может иметь разную продуктивность (Филонов, 1989).
Во временной период и репродуктивные циклы 2002–2007 гг. наблюдалось снижение участия в размножении самок, начиная с десятилетнего возраста, хотя показатели размножения среди данной группы взрослых самок оставались еще достаточно высокими (средняя плодовитость 0.368). Даже в группе самок старших и предельных возрастов (11–16 лет) средняя возрастная плодовитость была выше – 0.343 теленка-самки на одну взрослую самку, чем в группах 2–6-летних самок. Взвешенное среднее для интервала 2002–2007 гг. – 0.295 новорожденного теленка-самки на одну взрослую самку, или вместе с телятами-самцами 59.03 теленка на 100 взрослых самок.
Одновременно текущее сглаженное возрастное распределение таймырской популяции при реализованном размножении, с учетом естественной смертности и промыслового изъятия, рассчитанное нами по формуле Гудмана (1983) по промысловым выборкам 2001–2008 гг. показало 77.03% самцов в стадах (n = 4841), 80.56% самок (n = 6004) и для объединенных выборок с животными без пола 82.35% особей (n = 12414) (Шапкин и др., 2021). Эти цифры возрастного распределения по материалам промысловых выборок 2001– 2008 гг. позволяют предполагать, что из популяции на тот момент уже изъято промыслом и погибло под воздействием других факторов среды 22.97% самцов различных возрастных классов. Убыль для населения самок по возрастному распределению составила 19.44% и для объединенного возрастного распределения популяции общая смертность при существующей промысловой нагрузке определена в 17.65%. Причем доля пополнения популяции перед очередным репродуктивным циклом в июне–июле 2009 г., по данным авиаучета, составила 19.06% (Шапкин, 2010), т. е. репродуктивное ядро популяции в первом десятилетии 21-го века еще компенсировало годовые потери от легального и нелегального промысла и элиминацию от иных абиотических и биотических факторов среды.
Коренное негативное изменение экологического “качества” таймырской популяции зарегистрировано во втором десятилетии 21-го столетия. К июлю 2014 г. присутствие сеголеток в демографической структуре популяции сократилось до 13.2% (Кочкарев, Бескостов, 2014), или на 100 взрослых самок приходилось 25.1 теленка. По полученным в июле данным Бондаря, Колпащикова (2018) о ювенальном потомстве диких оленей таймырской популяции в 2017 г. в северной части популяционного ареала (типичные и арктические тундры), размер приплода в составе маточных стад 15.4%, или 41.6 телят на 100 взрослых самок. В миграционных потоках доля телят (визуальная идентификация по фотографиям) в половозрастной структуре стад от 4.7 до 27.9% (Бондарь, Колпащиков, 2018). Последний авиационный мониторинг численности популяции летом 2021 г. показал фактическое присутствие ювенальных особей на уровне 8.57%, или 20700 телят (Кочкарев и др., 2021), что по нашей оценке соответствует 15.6 телят на 100 взрослых самок.
Таким образом, все подобные факты однозначно сигнализируют о бесконтрольном превышении оптимальной интенсивности промысла, поскольку налицо постепенное уменьшение “урожая” (Базыкин, 1985). Демографическое моделирование уравнением прямолинейного тренда данной половозрастной группы (телята-сеголетки) на временном отрезке 1990–2021 гг. дало отрицательное расчетное значение линейного уравнения регрессии в пределах у = –21.4х + 175.51 тыс. (R2 = 0.944, Ᾱ = 2.9%, r = 0.98, р < 0.01) (рис. 3), тогда как в советский период планово-административного использования ресурсов таймырской популяции линейный тренд численности телят-сеголетков за 1975–1990 гг. выражался положительным значением уравнения прогноза: y = 5.16x + 73.88 тыс. (R2 = 0.84, Ᾱ = 5.76%, r = 0.24, p < 0.05). Максимальный “урожай” этой половозрастной группы достигал 142.5 тыс. телят (июль 1988 г.) (Колпащиков, 2000).
Рис. 3. Изменение предпромысловой численности телят-сеголетков Rangifer tarandus в постсоветский период использования охотничьих ресурсов таймырской популяции дикого северного оленя. Линии регрессии: 1 – эмпирическая, 2 – теоретическая
Вместе с тем сокращение приплода у таймырских диких оленей Бондарь и Колпащиков (2019) связывают не только с истребительным характером современного промысла, но и с глобальными климатическими изменениями, затронувшими и высокие широты, что приводит к раннему вскрытию рек и массовому отходу новорожденных при переправах через водные преграды. Так, на севере Аляски дата таяния снегового покрова в последние десятилетия сдвинулась по наблюдениям в сравнении с 1960 годами на восемь дней (Stone et al., 2002). Более того, большая часть территории Арктики из-за постоянного переноса тепла и влаги из низких широт подвергается ежегодному прогреванию (Замолодчиков и др., 1996; Павлов, Ананьева, 2004; Макеев и др., 2014). Наиболее же заметные климатические изменения затронули Субарктику (Павлов, 2002). Так, в весеннюю откочевку 2018 г. смертность телят в бассейне р. Хатанга (Хета) варьировала, по наблюдениям Бондаря и Колпащикова (2019), от 7.2 до 26%.
Например, по устному сообщению А. С. Николайчука, при обследовании береговых участков рек Хатанга и Хета в весеннюю миграцию 2017 г. от поселка Хатанга до поселка Катырык (300 км) им было обнаружено 40 павших телят диких оленей, т. е. один погибший теленок приходился на 7.5 км реки. Очевидно, аналогичные ситуации характерны и для других частей обширного ареала таймырской популяции. Таким образом, какое-то количество стельных важенок не успевает дойти до традиционных районов отела на полуострове, приносит потомство южнее (северные отроги Анабарского плато, плато Путорана, юг Таймырской низменности) (Бондарь, Колпащиков, 2018) и мигрирует на север южных субарктических и типичных тундр с неокрепшим еще приплодом. В этом контексте целесообразно признать, что действительно значительная часть ювенального потомства оленей ежегодно погибает при частых переправах на реках Дудыпта, Верхняя Таймыра, Пясина и других многочисленных водоемах полуострова, а также элиминируется хищниками, через территориальные участки которых проходят пути весенней миграции маточных стад. К примеру, из наблюдений в северном (NAP) и южном (SAP) стадах карибу полуострова Аляска в 1998 г. (Sellers et al., 2003) из 39 новорожденных телят, помеченных радиошейниками, к 30 сентября выжило 49.5% (смертность 50.5%). В следующем 1999 г. из 49 телят в стаде SAP к концу июня погибло 45%, а к концу августа в результате хищничества гризли и волков смертность новорожденных телят достигла 66%. Наиболее высокая смертность 61% у карибу стада SAP отмечена, главным образом, среди поздно родившихся телят, т. е. после 18 июня (Sellers et al., 2003).
Влияние на снижение уровня плодовитости самок, возможно, оказывает «процветающая» на весенних миграционных путях таймырской популяции браконьерская срезка пантов у части быков-производителей. В результате этого высокоранговые животные лишаются преимуществ в установлении иерархии в борьбе за самок в период спаривания. По нашим данным, присутствие таких травмированных быков среди быков репродуктивного возраста составляет 23.4% (Шапкин и др., 2022). Впрочем, какая-то часть таких пострадавших самцов диких оленей может все-таки участвовать в гоне. По устному сообщению охотпользователя Ивана Степанова, ему довелось наблюдать однажды гарем самок, сопровождавшийся подобным травмированным быком в районе оз. Собачье (Северное). Статистическая проверка этой гипотезы критерием λ (лямбда) Колмогорова и Смирнова (Плохинский, 1970; Песенко, 1982; Zar, 2010) на достоверность различий между эмпирической численностью половозрелых самок в таймырской популяции и поголовьем учтенных телят, а мы выполнили три варианта расчетов по материалам учетов 1966–1990 гг., 1990–2021 гг. и 1966– 2021 гг., что показало следующее. Для временного ряда 1966–1990 гг. λ = 1.62 < λпорог = 1.63 при Р = 0.01; для временного ряда 1990–2021 гг. λ = 4.75 и 4.75 > 1.95 при р < 0.001 и для общего временного ряда 1966– 2021 гг. λ = 3.75 и 3.75 > 1.95 при р < 0.001. Таким образом, различия между численностью взрослых самок и численностью рожденных телят диких северных оленей в высшей степени достоверны: в двух последних вариантах значения λ превысили стандартные значения. Это не дает принять нуль-гипотезу об отсутствии различий между сравниваемыми распределениями. Лишь на отрезке репродуктивных циклов 1966–1990 гг. нуль-гипотеза не отвергается и отсутствие различий между сравниваемыми распределениями не противоречит полученным данным: такая численность взрослых самок в таймырской популяции вполне могла приносить такое количество телят.
Вместе с тем последние авиаобследования 2017 г. (Бондарь, Колпащиков, 2018) и 2021 г. (Кочкарев и др., 2021) также подтвердили снижение поголовья взрослых самок в популяции. При этом, на наш взгляд, снизилось и качество проведения этих сложных работ, поскольку тех же взрослых самок исполнители в 2017 г. и летом 2021 г. объединили почему-то с неполовозрелым молодняком 1–2 года. По нашему мнению, этот некорректный прием создал путаницу и неопределенность с численностью этой репродуктивной группы. И непонятно, сколько взрослых самок входят в состав таймырской популяции в настоящее время?
Уравнение прямой регрессии, рассчитанное по временному ряду 1990–2020 гг. с аппроксимацией в этот ряд с 2018 г. минимальных значений численности половозрелых самок из наших интервальных прогнозов (2018 г. – 63.4 тыс., 2019 г. – 57.2 тыс., 2020 г. – 51.0 тыс. самок) дает теоретический линейный тренд снижения: у = –21.59х + 252.2 (R2 = 0.73, Ᾱ = 5.1%, r = 0.53, p < 0.01) (Отчет НИР…, 2020). В этом случае приплод в 20700 телят в июле 2021 г., установленный в ходе работ, с учетом всей совокупной детской смертности (потенциальная, фактическая) и присутствия яловых самок в стадах, примерно согласуются с расчетной теоретической исходной численностью самок в 51.0 тыс. голов в репродуктивном цикле 2020–2021 гг. (тогда яловость 59.4%). Схожие рекордные показатели яловости среди взрослых самок отмечались в маточных стадах пясинских миграционных потоков в августе–сентябре 2004 г., яловость составила 53.5% (Шапкин, Арсентьева, 2006; Шапкин, 2016).
Точечный прогноз исходной максимальной численности взрослых самок на 2021 г. был определен нами на уровне 132.95 тыс., т. е. поголовье данной половозрастной группы в таймырской популяции снижается, о чем свидетельствует и значимый тренд (Отчет НИР…, 2020). Прогнозируемые показатели яловости среди поголовья взрослых самок, при такой их исходной численности, оказываются на максимальном уровне, т. е. 84.43%. Таким образом, эти значения для 2020 г., полученные нами с привлечением математического аппарата, полностью совпали с объединенной предпромысловой численностью взрослых самок и молодняка 1–2 года, которую привели на следующий год по итогам выполненных работ исполнители авиаучета (Кочкарев и др., 2021), а именно – 132.9 тыс. самок и молодняка (55.0% от общей численности популяции).
С другой стороны, исходя из биологических законов, изменения в природной популяции представляют собой колебательные процессы около каких-то средних величин (Уильямсон, 1975). Поэтому среднее поголовье размножавшихся самок за период 1990–2017 гг., т. е. самок с телятами, условно можно принять в 101.68 тыс. важенок. Далее определение предположительной численности взрослых важенок строилось из среднего показателя данной половозрастной группы в популяции за период проведения авиаучетов 1966–2014 гг. (n = 19). Многолетние колебания доли этой половозрастной группы за обозначенное время мониторинга составили: lim 30.0–52.6%, соответственно среднее значение соотношений изменчивости вариационного ряда определено в 37.3 ± 1.15%. Взрослые самки в таймырской популяции летом 2017 г. теоретически составляли 143.8 тыс. особей (молодняк обоего пола 1–2 года 109.1 тыс.). К лету 2021 г. поголовье взрослых самок в популяции предположительно сократилось до 90.2 тыс. голов. Вместе с молодняком 1–2 года эта группа животных, по материалам авиамониторинга, включала 132.9 тыс. особей (Кочкарев и др., 2021), или 55.0% поголовья таймырской популяции.
Таким образом, репродуктивный потенциал таймырской популяции дикого северного оленя летом 2021 г. создавали, возможно, 90.2 тыс. половозрелых самок и 42.7 тыс. молодых самцов и самок в возрасте 1–2 года. При выявленном приплоде в 20700 телят общие показатели яловости в популяции из данной расчетной теоретической численности взрослых самок оказываются 77% (77.1). Впрочем, действительные показатели яловости были, конечно, меньше, ибо в период проведения авиаучета на итоговые расчеты признака повлияли важенки, находившиеся в состоянии репродуктивной паузы; самки, потерявшие эмбрионы, плоды в период беременности; самки, оставшиеся без потомства. В сопоставлении же с суммарной численностью репродуктивного ядра таймырской популяции в 1987–1990 гг. в 189.9–187.5 тыс. голов нынешнее расчетное количество взрослых самок в 90.2 тыс. свидетельствует о снижении воспроизводственного потенциала данной промысловой популяции в два раза.
Таким образом, из-за бесконтрольного промысла мы подходим опять к мерам 1956 г., когда Правительство СССР было вынуждено принять Постановление об охране диких северных оленей и ввело полный запрет на их добычу (Забродин, 1979). До 1967 г. охота на дикого оленя в регионе разрешалась в размере 5–7 тыс. голов только коренному населению (Павлов, 1983). Вероятно, и в настоящее время для сохранения репродуктивного потенциала и хозяйственного значения таймырской популяции рано или поздно федеральным властям придется принимать аналогичное природоохранное решение.
ЗАКЛЮЧЕНИЕ
Оптимальным уровнем размножения, который необходим для устойчивого поддержания стабильной численности кочующей в пространстве таймырской популяции и который уравновешивал бы годовую убыль, можно считать средние показатели потенциальной плодовитости в локальных миграционных потоках животных в пределах 0.412 самки на одну половозрелую самку. Такие показатели были зафиксированы в конце 80-х годах XX столетия при верхнем пороге численности популяции в 625 тыс. Численность взрослых самок в тот период достигала 187.5 тыс. особей, или 30% от общего поголовья (Колпащиков, 2000). В июле 1990 г. показатели размножения после отела равнялись 75.31 теленка на 100 половозрелых самок. Основное пополнение популяции (телята обоих полов) давали 3–5-летние возрастные группы – 67.2%, на средневозрастных животных 6–7-лет приходилось 18.9%, на старшие группы самок 8–9-лет – 7.3%, на группу самок 10 лет и старше – 4.8%.
В репродуктивных циклах 1995–1998 гг. основное воспроизводство по-прежнему поддерживалось поголовьем самок от 3 до 5-лет: 56.9%, на когорты 6–7-летних самок пришлось 24.3% потенциального пополнения, самки старших возрастов 8–9-лет давали 13.8% потенциальной репродукции, а за самками предельных когорт от 10-лет и старше числилось 0.86% потенциального пополнения популяции. Размножение таймырской популяции обеспечивали 145.8 тыс. половозрелых самок (Шапкин, 2014).
В репродуктивные циклы 1998–2006 гг. таймырская популяция в целом еще сохраняла положительный воспроизводительный потенциал, но самки отдельных генераций давали меньше потомков. Так, на самок 3–5-летних групп приходилось уже 45.2% потенциального пополнения стад миграционных потоков популяции, ниже, чем в периоды с 1995–1998 гг. и 1987–1990 гг. Группы 6–7-летних животных практически сохранили те же репродуктивные способности: их уровень пополнения популяции – 25.2%. Близким оказался в репродукции на этом этапе и вклад самок 8–9-лет: на них пришлось 14.07% пополнения и существенно выросла потенциальная репродукция поколений самок предельных возрастов от 10-лет и старше – 11.11%. Средние показатели реализованного размножения (август-октябрь) в период 2002–2007 гг. 59.03 теленка (самцы, самки) на 100 взрослых самок (lim 49–76) (Шапкин, 2016; Шапкин, Суханова, 2021).
Для жизненных циклов 2009–2021 гг. воспроизводство в популяции характеризовалась неустойчивыми показателями воспроизводства, что было обусловлено усилением воздействия неблагоприятных факторов среды, а также возрастающим антропогенным прессом (нелегальный и легальный коммерческий промысел). Увеличению промыслового изъятия способствовала передача Федеральным центром части полномочий (в том числе и управление биологическими ресурсами) регионам РФ (№ 258-ФЗ от 29 декабря 2006 г.). Так, на территории Красноярского края с 25.09.2008 г. действует Постановление краевого Правительства № 103-п «Об установлении лимитов использования объектов животного мира для удовлетворения личных нужд». Согласно этому Постановлению, представителям из числа коренных малочисленных народов Севера, проживающих в местах традиционного природопользования и ведущих традиционный (кочевой) образ жизни, разрешено добывать на питание 8 диких северных оленей (Шапкин, Забелин, 2017). По сути, это узаконенное на региональном уровне легальное браконьерство. Начиналось оно с 3 оленей, затем планку довели до 5, теперь это уже 8 голов. Правом такой охоты на 10 февраля 2017 г. обладали 812 человек, на сентябрь 2020 г. 1003 человека (данные Службы по охране, контролю и регулированию использования объектов животного мира и среды их обитания Красноярского края. На 31 декабря 2023 г. на Таймыре и в северной части Эвенкийского района добывать диких оленей круглогодично без разрешений имели право уже 2355 человек (Письмо № 86-02200 от 14.02.2024 МПРЛК Красноярского края).
Между тем исполнителями учетных работ 2014, 2017 гг. отмечается высокая яловость среди маточного поголовья таймырской популяции (Кочкарев, Бескостов, 2014; Бондарь, Колпащиков, 2018), которую они объясняют для половины важенок их низкими репродуктивными способностями. Однако наша гипотеза – репродуктивное ядро популяции не обладает в данное время стабильным возрастным распределением, ибо численность половозрелых самок в группировках сократилась, а пополнение уменьшилось. Согласно результатам выполненного нами анализа, основной «урожай» стадам приносят многочисленные 3–5-летние самки. Сейчас их присутствие в миграционных потоках таймырской популяции сократилось, причем и потери того же потомства среди молодых самок по исследованиям Филонова (1993) и нашим (Шапкин, 2016; Шапкин, Суханова, 2021) оказываются выше, чем у самок старшего возраста. Маточное поголовье самок таймырской популяции дикого северного оленя летом 2021 г. предположительно по расчетам состояло из 90.2 тыс. разновозрастных особей, молодняк 1–2 года из 42.7 тыс. самцов и самок, что, конечно же, повышает уязвимость таймырской популяции от воздействия истребительного промысла. Репродуктивные возможности таймырской популяции в настоящее время уменьшились, а пополнение не компенсирует гибель животных во всех возрастных группах. Также мы предполагаем, что таймырская популяция на данное время не имеет стабильную возрастную структуру.
Таким образом, таймырская популяция дикого северного оленя в настоящее время не обладает тем биологическим потенциалом при реализации размножения, которым располагала в 1987– 1990 гг. В пересчете родившихся телят на 100 взрослых самок, снижение пополнения в 2021 г. составило к биологическим циклам 1987–1990 гг. 79.3%, к лету 2003 г. 71.2%, к 2009 г. 73.6%. В других значениях сокращение пополнения в таймырской популяции относительно 1987–1990 гг. для временного отрезка было в 2003 г. в 1.2 раза, для 2009 г. в 1.6 раза, летом 2014 г. уже в 2.6 раза, к лету 2017 г. в 2.4 раза, к лету 2021 г. величина приплода сократилась в 6.8 раз. Численность же исходного поголовья половозрелых самок сократилась вдвое. Современный неконтролируемый промысел (рыночная модель эксплуатации) вместе с комплексом факторов внешней среды препятствуют подъему численности таймырской популяции до экологической “емкости угодий” и, напротив, подводит к постепенной потере этой природной популяции как стратегического продовольственного ресурса севера Средней Сибири. По решению Межведомственной рабочей группы по сохранению дикого северного оленя от 15.12.2021 г. совместно с охотничьим советом Красноярского края от 11.03.2022 г. лимит добычи таймырских тундровых диких оленей снижен до 2.5%, а размер допустимой квоты добычи в охотсезоне 2022–2023 гг. для охотпользователей Таймыра установлен в пределах 3125 голов (www.ohotnadzor24.ru).
БЛАГОДАРНОСТИ
Выражаю товарищескую признательность коллегам по научной деятельности в НИИСХ Крайнего Севера в 1987–2012 гг. – зав. отделом биологических ресурсов Л. А. Колпащикову, Я. И. Кокореву, А. Ф. Арсентьевой, Т. П. Базелянской, А. Л. Колесникову, С. В. Алабугину, В. В. Гончарову, а также сотрудникам НИИСХ и экологии Арктики 2017–2023 гг. А. А. Кайзеру, Р. Г. Ивановой, О. К. Сергеевой и Л. С. Виркшене. Отдельную благодарность приношу Н. С. Сухановой, научному сотруднику отдела Экологии животных ФГБНУ ВНИИОЗ им. проф. Б. М. Житкова, которая оказала неоценимую помощь в обработке промысловых сборов таймырских диких северных оленей 2007 г.
Также приношу дань человеческой памяти руководителю Таймырского территориального отдела Службы по охране, контролю и регулированию использования объектов животного мира и среды их обитания МПР Красноярского края в 2008–2019 гг. А. С. Николайчуку .
ФИНАНСИРОВАНИЕ РАБОТЫ
Данная работа финансировалась за счет средств бюджета Научно-исследовательского института сельского хозяйства и экологии Арктики в рамках темы Государственного задания НИИСХ и ЭА ФКНЦ СО РАН “Оценка состояния компонентов природных комплексов Норило-Пясинской экосистемы в условиях техногенного загрязнения” (2 этап). Номер проекта в ИСГЗ FWES-2022-0008, Рег. № НИОКТР 122022600041-8.
Никаких дополнительных грантов на проведение или руководство данным конкретным исследованием получено не было.
СОБЛЮДЕНИЕ ЭТИЧЕСКИХ СТАНДАРТОВ
Сбор научных материалов проводился в районах традиционной промысловой охоты в календарные сроки промысла мигрирующих стад таймырского тундрового дикого оленя от добытых промысловиками животных по утвержденным советским (1987–1990 гг.) и постсоветским планам НИР 1996–1998, 1999–2007 гг. мониторинга численности таймырской популяции дикого северного оленя.
КОНФЛИКТ ИНТЕРЕСОВ
Автор данной работы заявляет, что у него нет конфликта интересов.
About the authors
A. M. Shapkin
Research Institute of the Agriculture and Ecology of the Artic
Author for correspondence.
Email: anatoliy-shapkin@rambler.ru
Russian Federation, Norilsk
References
- Балинова В. С., 2004. Статистика в вопросах и ответах: Учебное пособие. М.: Издательство Проспект. 344 с.
- Бабичева И. В., Болдовская Т. Е., 2010. Справочник по математике (в формулах, таблицах, рисунках). Редактор Т. И. Кукина. Омск: Издательство Сибирской государственной автомобильно-дорожной академии. 148 с.
- Базыкин А. Д., 1985. Математическая биофизика взаимодействующих популяций. М.: Наука. 181 с.
- Большаков В. Н., Кубанцев Б. С., 1984. Половая структура популяций млекопитающих и ее динамика. М.: Наука. 233 с.
- Бондарь М. Г., Колпащиков Л. А., 2018. Оценка численности и летнее размещение таймырской популяции диких северных оленей в 2017 году // Научные труды Федерального государственного бюджетного учреждения «Объединенная дирекция заповедников Таймыра». Норильск: Изд-во «Апекс». 2 вып. С. 29–45.
- Бондарь М. Г., Колпащиков Л. А., 2019. Таймырская популяция дикого северного оленя в изменяющихся условиях среды обитания // Научный вестник Арктики. № 6. Норильск: редакционно-издательский центр ФГБОУВО “НГИИ”. С. 8–15.
- Гудман Д., 1983. Демографический подход к жестко управляемым популяциям // Сб. науч. трудов. Биология охраны природы. М.: Мир. С. 198–224.
- Забродин В. А., 1979. Хозяйственное освоение и охрана диких северных оленей тундровых популяций // Проблемы охраны и хозяйственного использования ресурсов диких животных Енисейского Севера. Научные труды. Т. 26. Новосибирск: редакционно-полиграфическое объединение СО ВАСХНИЛ. С. 5–10.
- Замолодчиков Д. Г., Карелин Д. В., Иващенко А. И., 1996. Углеродный баланс тундровых ландшафтов Центральной Сибири: наблюдения и моделирование на геоинформационной основе // Журнал общей биологии. Т. 52. № 2. С. 15–34.
- Зырянов В. А., 1974. К размножению Rangifer tarandus L. таймырской популяции // Первый Международный конгресс по млекопитающим. 6–12 июня. Т. 1. М.: ВИНИТИ. С. 229–230.
- Клевезаль Г. А., Клейненберг С. Е., 1967. Определение возраста млекопитающих по слоистым структурам зубов и кости. М.: Наука. 144 с.
- Коли Г., 1979. Анализ популяций позвоночных. Пер. с англ. М.: Мир. 362 с.
- Колпащиков Л. А., 2000. Таймырская популяция дикого северного оленя: Биологические основы управления и устойчивого использования ресурсов. Дис. … докт. биол. наук: 11.00.11. Норильск. 379 с.
- Колпащиков Л. А., Павлов Б. М., 2001. Плодовитость самок диких северных оленей // Научное обеспечение рационального природопользования Енисейского Севера. Сборник научных трудов. Новосибирск. С. 55–65.
- Колпащиков Л. А., Кокорев Я. И., Колесников А. Л., Алабугин С. В., Шапкин А. М., 2002. Состояние промысла и технологии добычи диких оленей на Таймыре // Вопросы экологии традиционного природопользования на Крайнем Севере. Сборник научных трудов. Новосибирск. С. 43–53.
- Колпащиков Л. А., Кокорев Я. И., Якушкин Г. Д., Колесников А. Л., Шапкин А. М., Шилин Б. В., Михайлов В. В., 2008. Временные методические рекомендации по авиаучету численности диких северных оленей на Таймыре с использованием тепловизора и цифровой аэрофотосъемочной аппаратуры. Норильск. 21 с.
- Кочкарев П. В., Бескостов И. Ю., 2014. Окончательный отчет по мероприятию «Проведение работ по оценке состояния и территориального размещения таймырской популяции дикого северного оленя / ФГБУ «Государственный заповедник Центральносибирский». Государственный контракт № 314/13 от 06.03.2014. Бор. 67 с.
- Кочкарев П. В., Колпащиков Л. А., Савченко П. А. и др., 2021. Отчет по мониторингу состояния и территориального размещения таймырской популяции дикого северного оленя. (АВИАУЧЕТ таймырской популяции 2021 г.). ФГБУ «Государственный природный биосферный заповедник «Центральносибирский». Библиогр. С. 78–80. Государственный контракт от 01.03.2021 года № Ф.2021.000044, заключенный с Министерством экологии и рационального природопользования Красноярского края. Бор. 81 с.
- Макеев В. М., Клоков К. Б., Колпащиков Л. А., Михайлов В. В., 2014. Северный олень в условиях изменяющегося климата. СПб.: Лемма. 244 с.
- Мичурин Л. Н., 1964. Дикий северный олень Таймырского полуострова и рациональное использование его запасов. Дис. … канд. биол. наук. Норильск. 227 с.
- Отчет НИР0356–2019–0033, 2020. «Основы создания системы рационального природопользования для социально-экономического развития АПК Арктической зоны» (промежуточный). Направление Х «Зоотехния» (Дикий северный олень). Норильск. С. 141–158. Рег. № НИОКТР АААА-А19–119011500353. Рег. № ИКРБС.
- Павлов Б. М., Савельев В. Д., Якушкин Г. Д., Зырянов В. А., 1971. Экологическая структура популяции диких северных оленей Таймыра // Экология. № 1. С. 49–56.
- Павлов Б. М., Куксов В. А., Савельев В. Д., 1976. Рациональное использование ресурсов диких северных оленей таймырской популяции (методические рекомендации). Новосибирск: Редакционно-издательский центр СО ВАСХНИЛ. 40 с.
- Павлов Б. М., 1976. Популяционные адаптации диких северных оленей Таймыра // Дикий северный олень. Бюллетень научно-технической информации. Норильск. С. 61–63.
- Павлов Б. М., Боржонов Б. Б., 1981. Особенности летнего размещения и оценка численности диких северных оленей таймырской популяции // Экология и хозяйственное использование наземной фауны Енисейского Севера. Новосибирск. С. 13–21.
- Павлов Б. М., Зырянов В. А., 1981. Роль промысла в регулировании качественного состава популяции диких оленей Таймыра // Ресурсы диких северных оленей Енисейского Севера и их использование. Новосибирск. С. 8–12.
- Павлов Б. М., 1983. Промысловое оленеводство – важный резерв производства мяса // Вестник сельскохозяйственной науки. № 3. С. 119–121.
- Павлов Б. М., Арсентьева Н. Ф., Боржонов Б. Б., Дорогов В. Ф., Куксов В. А., 1985. Демографическая структура таймырской популяции диких северных оленей // Экология, охрана и хозяйственное использование диких северных оленей. Отв. ред. А. И. Соломаха. ВАСХНИЛ. Сиб. отд-ние. Новосибирск. С. 71–80.
- Павлов А. В., 2002. Вековые аномалии температур воздуха на Севере России // Криосфера Земли. Т. VI. № 2. С. 75–81.
- Павлов А. В., Ананьева Г. В., 2004. Оценка современных изменений температуры воздуха на территории криолитозоны России // Криосфера Земли. Т. VIII. № 2. С. 3–9.
- Песенко Ю. А.,1982. Принципы и методы количественного анализа в фаунистических исследованиях. М.: Наука. 288 с.
- Пианка Э., 1981. Эволюционная экология. Пер. с англ. М.: Мир. 400 с.
- Плохинский Н. А., 1970. Биометрия. М.: Издательство Московского Университета. 368 с.
- Северцов С. А., 1935. К познанию экологии размножения // Зоологический журнал. Т. 14. Вып. 2. С. 371–396.
- Соколов А. А., 1999. Ретроспективная оценка по костным остаткам состояния популяций северных оленей (Rangifer tarandus L., 1758) из районов с разным уровнем радиационного загрязнения. Автореф. дис. … канд. биол. наук. 03.00.08. Москва. 27 с.
- Уильямсон М., 1975. Анализ биологических популяций. М.: Мир. 272 с.
- Филонов К. П., 1989. Копытные животные и крупные хищники на заповедных территориях. М.: Наука. 256 с.
- Филонов К. П., 1993. Оценка состояния популяции оленьих. М.: Наука. 272 с.
- Шапкин А. М., Арсентьева Н. Ф., 2006. Плодовитость самок диких северных оленей на Западном Таймыре // Биологические ресурсы Крайнего Севера: современное состояние и проблемы использования. Новосибирск. С. 77–88.
- Шапкин А. М., 2010. Показатели стадности и прироста среди группировок диких северных оленей Таймыра летом 2009 г. // Биологические ресурсы Крайнего Севера: изучение и использование. СПб.: Редакционно-издательский центр ГУАП. С. 247–259.
- Шапкин А. М., 2012. Мониторинг основных группировок дикого северного оленя (Rangifer tarandus L.) в экосистеме Западного Таймыра. Автореф. дис. … канд. биол. наук. Красноярский государственный аграрный университет. 23 с.
- Шапкин А. М., 2014. К вопросу о численности таймырской популяции Rangifer tarandus L. и о сложившихся методах управления ее ресурсами // Современные проблемы охотничьего хозяйства Казахстана и сопредельных стран (Материалы науч. – практ. конф. Алматы 11–12 марта 2014). Алматы. С. 327–334.
- Шапкин А. М., 2016. Анализ плодовитости самок таймырской популяции дикого северного оленя (Rangifer tarandus) // Зоологический журнал. Т. 95. Вып. 12. С. 1475–1486. doi: 10.7868/SOO44513416120163
- Шапкин А. М., Забелин М. М., 2017. Промысловое оленеводство Таймыра: состояние и перспективы развития // Достижения науки и техники АПК. Т. 31. № 9. С. 39–47.
- Шапкин А. М., Иванова Р. Г., 2018. Оценка емкости среды применительно таймырской популяции дикого северного оленя (Rangifer tarandus) // Генетика и разведение животных. № 2. С. 82–90. doi: 10.31043/2410–2733–2018–2–108–116
- Шапкин А. М., Суханова Н. С., 2021. Реализованное размножение таймырских диких северных оленей (Rangifer tarandus) пясинских миграционных потоков в репродуктивном цикле 2006–2007 гг. // Зоологический журнал. Т. 100. Вып. 3. С. 344–360. doi: 10.31857/S0044513421030107
- Шапкин А. М., Иванова Р. Г., Арсентьева Н. Ф., Суханова Н. С., 2021. Возрастное распределение в таймырской популяции дикого северного оленя (RANGIFER TARANDUS) в первом десятилетии 21 века // Генетика и разведение животных. № 3. С. 15–21. doi.org/10/31043/2410-2733-2021-2-3-9
- Шапкин А. М., Арсентьева Н. Ф., Суханова Н. С., 2022. О репродуктивном возрасте самцов таймырских диких северных оленей (Rangifer tarandus) // Генетика и разведение животных. № 4. С. 98–107. doi.org/10.31043/2410-2733-4-98-107
- Шилов И. А., 2003. Экология. М.: Высшая школа. 512 с.
- Adams L. G., Dale B. W., 1998. Reproductive performance of female Alaskan caribou // J. Wildl. Manage. 62 (4). P. 1184–1195. doi: 10.2307/3801982
- Coulson T., Gaillard J-M., Festa-Bianchet M., 2005. Decomposing the variation in population growth into contributions from multiple demographic rater // Journal of Animal Ecology. V. 74 (4). P. 789– 801. doi: 10.1111/j.1365-2656.2005.00975.x
- Couturier S., Otto R. D., Côte S. D., Luther G., Mahoney S. P., 2010. Body size variations in caribou ecotypes and relationships with demography // J. Wildl. Manage. 74 (3). P. 395–404. doi.10.2193/2008-384
- Gaillard J-M., Festa-Bianchet М., Yoccoz N. G., 1998. Population dynamics of large herbivores: variable recruitment with constant adult survival // Trends Ecol. Evol. V. 13 (2). P. 58–63. doi: 10.1016/SO169-5347(97)01237-8. PMID: 21238201
- Gunn A., Nixon W., 2007–2008. Rangifer Health & Body Condition Monitoring. Manual // Circum Arctic Rangifer Monitoring and Assessment (CARMA) Network. IPY-API International Polar Year Annee polaire internationale. 30.
- Festa-Bianchet M., Jorgenson J. T., Reale D., 2000. Early development, adult mass, and reproductive success in bighorn sheep // Behavioral Ecology. V. 11. P. 633– 639.
- Festa-Bianchet M., Ray J. C., Boutin S., Côte S. D., Gunn A., 2011. Conservation of caribou (Rangifer tarandus) in Canada: an uncertain future // Canadian Journal of Zoology. V. 89. P. 419–434. doi: 10.1139/Z11–025
- InterGroup Consultants, 2008. Economic valuation and socio-cultural perspectives of the estimated harvest of the Beverly and Qamanirjuaq caribou herds. Beverly and Qamanirjuaq Caribou Management Board, Winnipeg, Man. Available from [Электронный ресурс]: http://www.arctic-caribou.com/PDF/Economic_and_Socio Cultural_Value_of_Bev+Qam_Caribou_ 01 May 08. (15.02.22).
- Sand H., 1996. Live history patterns in female moose (Alces alces): the relationship between age, body size, fecundity and environmental conditions // Oecologia. 106. Р. 212–220.
- Sellers R. A., Valkenburg P., Squibb R. C., Dale B. W., Zarnke R. L., 2003. Natality and calf mortality of the Northern Alaska Peninsula and Southern Alaska Peninsula caribou herds // Rangifer Spec. Issue. V. 60. P. 161–166.
- Stone R. S., Dutton E. G., Harris J. M., Longenecker D., 2002. Earlier spring snowmelt in northern Alaska as an indicator of climate change // Journal of Geophysical Research-Atmospheres. V. 107. P. 1–15.
- Zar J. H., 2010. Biostatistical analysis. Northern Illinois University, New Jersey. 944 p.
- www.ohotnadzor24.ru 2022. Проект квот добычи тундрового дикого северного оленя на территории Красноярского края в период с 1 августа 2022 года до 1 августа 2023 года. 5 с.
Supplementary files





