Comparative microanatomy of the guard hairs in the Late Pleistocene wolf (Canis lupus ssp.) from the Late Quaternary deposits of Yakutia, based on SEM observations
- Authors: Chernova O.F.1, Klimovsky A.I.2, Protopopov A.V.2,3
-
Affiliations:
- A.N. Severtsov Institute of Ecology and Evolution, Russian Academy of Sciences
- Academy of Sciences of the Republic of Sakha (Yakutia)
- M.K. Ammosov North-Eastern Federal University
- Issue: Vol 103, No 9 (2024)
- Pages: 83-102
- Section: ARTICLES
- URL: https://journal-vniispk.ru/0044-5134/article/view/273376
- DOI: https://doi.org/10.31857/S0044513424090078
- EDN: https://elibrary.ru/trkrnl
- ID: 273376
Cite item
Full Text
Abstract
Using scanning electron microscopy, a comparative morphological analysis of the fine structure of the guard hairs in the mummy of an adult male ancient wolf (Canis lupus ssp.) with an age of 45504 ± 150 BP, found in the late Pleistocene deposits in Yakutia, was carried out. Guard hairs selected for maximum thickness (guard I) vary significantly in different areas of the wolf’s skin in profile and metric data, and the vibrissae show a special medullary structure. The fine structure of the cellular medulla of the hair in the ancient wolf is shown to be similar to that of extant representatives of Caninae, such as the jackal (C. aureus), maned (Chrysocyon brachyurus) and red wolves (Cuon alpinus), some breeds of domestic dogs (Canis familiaris) (Akita Inu, Basset, Dalmatian, Irish Terrier, Miniature Schnauzer, Russian Greyhound, Hortaya Greyhound), and African fox (Vulpes pallida). In these species, the disordered (lacey or spongy) medulla of the thickest part of the hair shaft (“shield”) differs from the ordered (cellular, with regularly located large cavities) medulla of the fox (V. vulpes), gray (V. ferrilata) and Tibetan foxes (Urocyon cinereoargenteus), arctic fox (Alopex lagopus), corsac fox (Vulpes corsac), American corsac fox (V. velox). By this feature, it is possible to distinguish the hair of wolves and foxes, if we compare the medial part of the hair, since at the base of the hair a cellular medulla is found in some breeds of dogs (Akita Inu, Mastino Napoletano, Miniature Schnauzer, Hortai Greyhound) and corsac fox. The cuticle pattern greatly varies along the guard hair shaft, which is typical of wolves and foxes. This is especially specific in the area of the shaft in front of its thickened part, as it consists of lanceolate or diamond petal scales extended along the hair. The cuticle pattern formed by lance-shaped or diamond petal scales is quite similar in ancient and extant wolves, arctic foxes and African foxes. Yet the cuticle of the hair of many other species differs from that of wolves. Thus, such a feature as the presence of lanceolate or diamond petal cuticle on the hair is of limited importance for distinguishing between the species. We have shown that the hair of an ancient wolf in its fine structure (the thickness of the shaft, the degree of development of the medulla and its microanatomy, the cuticle pattern and its variability along the guard hair shaft) is practically not different from that of recent wolves, this confirming that the wolf as a species had already been fully formed in the Pleistocene. The fine structure of wolf hair differs from that of foxes, but has features similar to the hair of the jackal and domestic dog, this confirming the phylogenetic connections with the latter two genera.
Keywords
Full Text
Позднеплейстоценовый волк (Canis lupus ssp.) был повсеместно распространен в Евразии и Северной Америке. По краниальным признакам он мало отличается от таковых у волков из западносибирских и европейских местонахождений (Лазарев, 2005). Таксономия этого подвида волка окончательно не утверждена и остается дискуссионной, он рассматривается как вымершая экоморфа серого волка или берингийского волка (C. lupus). Он существовал в период с позднего плейстоцена (129 тыс. лет назад) до раннего голоцена (11 тыс. лет назад). По данным Боескорова и Барышникова (2013), древний волк, обитавший в Якутии, не достигал максимальных размеров для вида, характерных для подвида серого волка – лесного евразийского волка (C. l. lupus Linnaeus 1758), и, в целом, соответствовал средним параметрам рецентного тундрового волка (С. l. albus Kerr 1798) Евразии. Но он обладал более коротким и широким нёбом с крупными Р4 (относительно общего размера черепа), что позволяло ему охотиться или (скорее всего) обгладывать остатки зверей позднеплейстоценовой мегафауны (Боескоров, Барышников, 2013).
Позднеплейстоценовые ископаемые остатки волков разной сохранности находят довольно часто по всей территории северо-востока Якутии (Климовский, Колесов, 2022). Это связано в первую очередь с активными действиями искателей бивня мамонта, которые проводят поисковые работы в бассейнах рек Яна, Индигирка, и Колыма. Некоторые остатки волков уникальны. Например, в 2018 г. в бассейне р. Индигирка (в Абыйском р-не) (68°35ʹ15.4509ʺ с. ш., 147°05ʹ29.5704ʺ в.д) была найдена голова волка с частью шеи с мягкими тканями (Plotnikov et al., 2023). Эту находку изучает международная группа ученых во главе с профессором палеонтологии и медицины Наоки Сузуки, из Jikei University School of Medicine (Токио, Япония). В 2022 г. в местности “Дэгдэ” на правом берегу р. Бадяриха (Абыйский р-н, 68°12ʹ1697ʺ с. ш., 146°64ʹ3257ʺ в. д.) соавтором данной статьи А. И. Климовским была найдена голова древнего волка с мягкими тканями и задней частью тела.
Микроструктура кожного покрова рецентного волка, в том числе и волос, хорошо изучена и наиболее полно представлена в монографической публикации (Волк, 1985, глава IV). Известно изменение густоты шерсти в зависимости от региона обитания зверя (Огнев, 1947; Церевитинов, 1951; Замахаева, 1979), описан окрас шерсти (Волк, 1985). Проиллюстрирована микроструктура остевых волос волка на уровне световой микроскопии (www.alaskafurid/wordpress.com; Kennedy, 1982; Keller, 1981, 1984; Chakraborty, De, 2010; Tóth, 2017; Arpacık, 2021) и сканирующей электронной микроскопии (СЭМ) (Головин, 2001; Волк, 1985, глава IV; Чернова, Целикова, 2004, с. 298; Чернова и др., 2011, рис. 36–38). Определены полиморфность (“дифференцировка” по: Церевитинов, 1951, с. 6) – подразделение шерсти на разные ярусы, категории и размерные порядки волос, а также индивидуальные особенности волос на обширном сравнительном материале (12 разновозрастных особей обоего пола), с применением СЭМ (Волк, 1985, с. 107–118). Волосяной покров представлен направляющими, остевыми (до пяти размерных порядков) и пуховыми (до трех размерных порядков). Метрические характеристики волос индивидуальны для каждой особи (Волк, 1985, табл. 19). Обычно толщина направляющих волос у взрослых волков не превышает 138 мкм (Волк, 1985, табл. 19), 200 мкм, иногда 228 км (www.alaskafurid/wordpress.com), а у остей она достигает 110–115 мкм (Волк, 1985, табл. 19). Индекс сердцевины (отношение толщины сердцевины к толщине волоса,%) равен у ости 45–74%, у пуха – 40% (www.alaskafurid/wordpress.com), но значительно варьирует у волос разных категорий, из разных участков тела и у разных особей (Волк, 1985, табл. 19). В прикорневой части волоса и в кончике его стержня сердцевина не развита. Микроструктура ячеистой (губчатой) сердцевины волос не видоспецифична, так как она сходна с таковой у шакала (C. aureus Linnaeus 1758) (Волк, 1985, с. 124). Тем не менее применение методов статистического анализа позволило различать волосы волка, лисицы (Vulpes vulpes Linnaeus 1758) и шакала, особенно по окрасу и микроструктуре волос, орнаменту (“pattern”, анг.) кутикулы и степени развития сердцевины (Arpacık, 2021). Орнамент кутикулы значительно изменяется по стержню волоса, что обычно для всех представителей семейства Canidae (Волк, 1985, c. 124).
Таким образом, для волка характерна яркая полиморфность волосяного покрова и индивидуальные особенности микроструктуры волос разных категорий и размерных порядков, а видовая специфичность основных параметров микроструктур волос слабо выражена, судя по сходству этих микроструктур с таковыми у других представителей подсемейства Caninae.
Цель нашего исследования состоит в сравнительном морфологическом анализе микроструктуры (на уровне СЭМ) остевых волос плейстоценового волка, голоценового волка и рецентных представителей родов подсемейства Caninae для выявления адаптаций волосяного покрова древнего волка к суровым условиям обитания в Арктике в плейстоцене.
МАТЕРИАЛ И МЕТОДЫ
Объектом исследования послужили фрагменты шерсти мумии взрослого самца плейстоценового волка (колл. № Aб-23-1). В 2021 г. мумия была найдена местным жителем на территории северо-восточной части Республики Саха (Якутия) в Абыйской низменности, в среднем течении р. Индигирка, в бассейне р. Тиряхтэх, на левом берегу р. “Муостах” (68.594678 с. ш., 147.202291 в. д.) в ходе поисков бивней мамонта, методом размыва струей воды на позднечетвертичном местонахождении в “костеносных” слоях едомного горизонта, в 1.5 км ниже по течению от ранее найденного позднеплейстоценового волка (28150 ± 150 BP) (Beta-507802) (Плотников и др., 2022). Мумия была передана Академии наук Республики Саха (Якутия) для дальнейшего изучения (рис. 1A–1D).
Рис. 1. Внешний вид взрослого самца плейстоценового волка (Canis lupus ssp.): A – найденная мумия, B – голова, C – стопы, D – кисть. Масштаб 5 см. Фото А. И. Климовского.
Радиоуглеродный анализ проведен сотрудниками Центра коллективного пользования научным оборудованием “Ускорительная масс-спектрометрия” (УМЦ) Новосибирского государственного университета, Новосибирского научного центра (НГУ-ННЦ (ЦКПУМС) и УМС НГУ-ННЦ (AMS Golden Valley). Химическая предподготовка образцов осуществлялась в лаборатории изотопных исследований Центра коллективного пользования оборудованием “Геохронология кайнозоя” Института археологии и этнографии Сибирского отделения Российской Академии наук (ИАЭТ СО РАН). Возраст этой находки GV-04963 составляет 45 504 ± 150 BP.
Для изучения волос в CЭМ мы использовали общепринятую методику (Соколов и др., 1988). Самую крупную вибриссу и наиболее толстые остевые волосы (размерная категория – ость I) из разных участков тела волка (морда, ухо, спина, крестец, бок, грудь, брюхо, бедро, голень, хвост) очищали в шампуне, промывали в дистиллированной воде, проводили через спирты возрастающей концентрации (от 30 до 100%) и ацетон, высушивали в критической точке на установке Hitachi Critical Point Dryer HCP-1 (Япония). Далее образцы напыляли золотом в вакууме на установке S150A Sputter Coater (Edwards, Великобритания). Препараты изучали в растровом электронном микроскопе Vega TS5130MM (Tescan, Чехия), получая электронные изображения орнамента кутикулы на тотальных препаратах и микроструктуры волос на поперечных и продольных сечениях основания и расширенной срединной части (гранна, “shield”, анг.) стержня. Элeктронные изображения редактировали в программе “Adobe Photoshop Element 11” (США), но изменения касались лишь их компоновки, яркости и контраста. Полученные данные анализировали в программе “ImageJ” (Abramoff et al., 2004); морфометрические данные статистически обрабатывали и представляли в графической форме с помощью программы “STATISTICA 10” (США).
Для морфологического описания волос применяли общепринятую терминологию (Церевитинов, 1951; Соколов, 1973; Соколов и др., 1988, рис. 83; Чернова, Целикова, 2004). Отмечена полиморфность (“дифференцировка”) волосяного покрова (категории и размерные порядки волос). Термин “архитектура волос” обозначает трехмерную структуру наружных и внутренних элементов волоса, полученных на объемных электронных изображениях в СЭМ. “Кольцевидная кутикула” отличается тем, что одна длинная чешуйка полностью оборачивает стержень, чешуйка “лентовидной кутикулы” лежит поперек стержня в виде сплошной узкой ленты, а видоизмененная “ланцетовидная”, “копьевидная” и “шевронная” кутикула состоит из высоких чешуек, вытянутых под разным углом (30°–90°) к поперечной оси стержня (Moore et al., 1974, fig. 9; Соколов и др., 1988, рис. 97а; Teerink, 1991). Сердцевина волос относится к типам “губчатая”, “ячеистая” (“multicellular”, laticce”, англ.) (Moore et al., 1974; Волк, 1985, с. 107; Teerink, 1991; Чернова, Целикова, 2004, с. 44; Tóth, 2017). Мы различаем неупорядоченную губчатую, ажурную или ячеистую сердцевину, в которой микроструктуры сердцевины располагаются хаотично, а также упорядоченную ячеистую сердцевину, в которой крупные воздушные полости располагаются в определенном порядке. В однорядной лестничной сердцевине перегородки лежат однорядно поперек длинной оси стержня.
Помимо определения абсолютных размеров основных структур самой крупных остей I, мы вычисляли их относительные индексы (рис. 2):
- D/d – отношение большего диаметра волоса к его меньшему диаметру на поперечном сечении, что дает представление о профиле (конфигурации) стержня;
- s/S ×100% – Индекс сердцевины 1 – отношение площади сердцевинного тяжа к площади поперечного сечения волоса, что позволяет судить о степени развития сердцевины;
- W/w – Индекс сердцевины 2 – отношение толщины волоса к толщине сердцевины на продольном сечении стержня, что также показывает степень развития сердцевины;
- W/H – Индекс кутикулы – отношение толщины волоса к высоте кутикулярных чешуек на тотальном препарате, что позволяет определять тип орнамента кутикулы.
Рис. 2. Промеры микроструктур остевых волос взрослого самца плейстоценового волка (Canis lupus ssp.): D/d – отношение большего диаметра волоса к его меньшему диаметру на поперечном сечении, s/S ×100% – Индекс сердцевины 1 – отношение (%) площади сердцевинного тяжа к площади поперечного сечения волоса, W/w – Индекс сердцевины 2 – отношение толщины волоса к толщине сердцевины на продольном сечении, W/H – Индекс кутикулы – отношение толщины волоса к высоте кутикулярных чешуек на тотальном препарате. Данные СЭМ.
Для проведения сравнительного морфологического анализа микроструктуры волос древнего волка мы использовали собственную базу данных, взяв для сравнения ости I голоценового полярного волка (Canis lupus albus Kerr 1792) (Chernova et al., 2019), рецентных серого волка (C. l. lupus Linnaeus 1758), койота (С. latrans Say 1823), шакала (C. aureus Linnaeus 1758), красного волка (Cuon alpinus Pallas 1811), гривистого волка (Chrysocyon brachyurus Illiger 1815), обыкновенной лисицы, тибетской лисицы (V. ferrilata Hodgson 1842), африканской лисицы (V. pallida Cretzschmar 1827), корсака (V. corsac Linnaeus 1768), американского корсака (V. velox Say 1823), серой лисицы (Urocyon cinereoargenteus Schreber 1775), песца (Alopex lagopus Linnaeus 1758), медновского голубого песца (A. l. semenovi Огнев 1931), домашней собаки (C. familiaris Linnaeus 1758) восьми пород (акита-ину, бассет, далматин, ирландский терьер, неаполитанский мастиф, миттельшнауцер, русская псовая борзая, хортая борзая) (Чернова, Целикова, 2004; Чернова и др., 2011, 2019).
РЕЗУЛЬТАТЫ
Комковатая свалявшаяся шерсть сохранилась почти по всему телу мумии, которая имеет темно-серый окрас на дорсальной и латеральной сторонах тела и на верхней части головы (рис. 1A, 1B) и желтоватый окрас на боковых участках шеи (рис. 1B), на брюхе, хвосте (рис. 1A) и конечностях (рис. 1C, 1D). На кисти короткие желтоватые волосы образуют плотную “щетку”. Щетка покрывает кожу в центральной части подошвы, закрывает тенар и гипотенар, но отсутствует на оголенных межпальцевых мозолях, имеющих типичное для волков расположение (рис. 1D). На стопах волосы также формируют густые и более длинные боковые пучки волос (рис. 1C).
Волосяной покров изученной особи полиморфный, состоит из волос разных категорий и их размерных порядков, которые, кроме того, различаются в разных участках кожного покрова по профилю стержня и метрическим данным. Шерсть представлена вибриссами, направляющими, остевыми и пуховыми волосами. Мы рассматриваем остевые волосы первого порядка (ости I) и вибриссу.
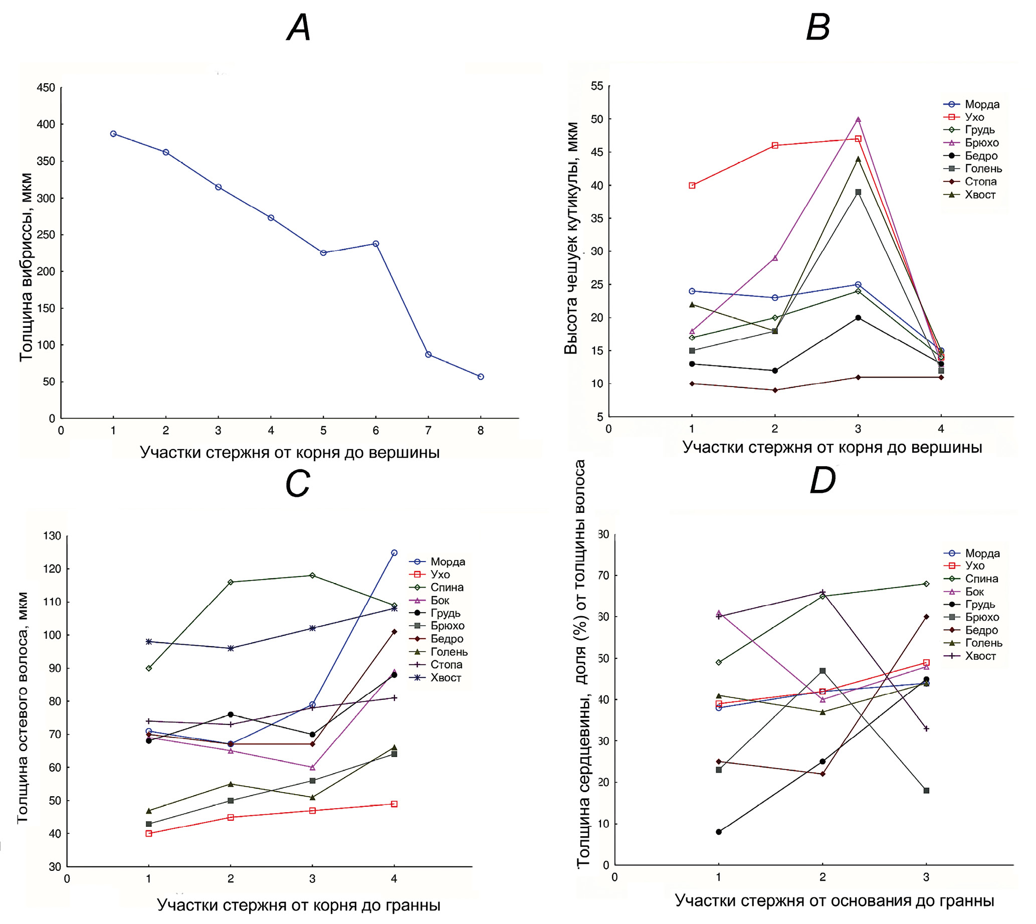
Профиль и толщина вибриссы и остевых волос. Вибрисса жесткая, ярко-рыжего цвета (вероятно, окрашена наполнителем), сильно деформирована, но в неповрежденных участках имеет правильный цилиндрический изогнутый стержень (рис. 3A). “Арочная длина” (изогнутого стержня) вибриссы достигает 60 мм. Толщина вибриссы изменяется по стержню и максимальна в его нижней трети (до 386.7 мкм в прикорневой зоне) (табл. 1, рис. 4A, участки стержня 1–3). Стержень утолщен выше основания тонкой арочной части (рис. 4A, участок 6).
Рис. 3. Поперечные сечения волос из разных участков тела взрослого самца плейстоценового волка (Canis lupus ssp.): A – морда, B – ухо, C – спина, D – бок, E – грудь, F – брюхо, G – бедро, H – голень, I – кисть, J – стопа, K – хвост. Данные СЭМ. Масштаб 50 мкм.
Таблица 1. Промеры толщины по стержню вибриссы и остевых волос взрослого самца плейстоценового волка (Canis lupus ssp.)
Категория, расположение волос | Участок стержня | Толщина стержня, мкм | Высота (мкм) или состояние кутикулы | Толщина (% толщины волоса) или состояние сердцевины |
Вибрисса, вибриссная подушка морды | Корень | 386.7 ± 2.0 σ = 4.1 | Разрушена | 29.9 |
Основание | 362.3 ± 3.2 σ = 10.4 | 9.3 ± 1.4 σ = 1.9 | 28.1 | |
Выше основания | 315.0 ± 3.3 σ = 10.9 | Разрушена | Отсутствует | |
Середина | 272.7 ± 1.6 σ = 2.4 | То же | То же | |
Выше середины | 225.0 ± 1.0 σ = 1.1 | То же | То же | |
Изгиб выше середины | 237.8 ± 0.3 σ = 0.1 | То же | То же | |
Перед вершиной | 87.4 ± 0.5 σ = 0.2 | Разрушена | Отсутствует | |
Вершина | 57.3 ± 2.2 | То же | То же | |
Ость I, носовая часть морды | Корень | 70.8 ± 1.6 σ = 2.4 | 23.8 ± 2.9 σ = 8.7 | То же |
Основание | 67.5 ± 1.4 σ = 2.0 | 23.1 ± 4.9 σ = 23.8 | 37.7 | |
Выше основания | 78.6 ± 1.2 σ = 1.4 | 25.1 ± 1.8 σ = 3.2 | 41.6 | |
Гранна | 125.0 ± 0.7 σ = 0.5 | 15.0 ± 0.5 σ = 0.3 | 44.3 | |
Ость I, внутренняя сторона ушной раковины | Корень | 40.4 ± 0.9 σ = 0.8 | 22.7 ± 1.8 σ = 3.3 | Отсутствует |
Основание | 45.7 ± 1.5 σ = 2.3 | 24.5 ± 5.7 σ = 32.3 | 38.7 | |
Выше основания | 47.2 ± 0.3 σ = 0.1 | 21.7 ± 4.5 σ = 20.0 | 42.3 | |
Середина | 23.3 ± 3.0 σ = 9.0 | 54.1 ± 1.7 σ = 2.9 | 49.3 | |
Гранна | 49.2 ± 2.1 σ = 4.3 | 15.2 ± 1.0 σ = 1.0 | 54.6 | |
Ость I, середина спины | Основание | 116.3 ± 23.6 σ = 5.5 | 23.7 ± 7.3 σ = 53.6 | 49.3 |
Выше основания | 118.3 ± 0.8 σ = 0.6 | Разрушена | 64.8 | |
Середина | 109.4 ± 0.6 σ = 0.3 | То же | 68.4 | |
Выше середины | 105.9 ± 2.6 σ = 6.8 | 51.3 ± 15.0 σ = 226.4 | 72.0 | |
Ближе к вершине | 101.4 ± 1.6 σ = 2.5 | Разрушена | Отсутствует | |
Ость I, середина бока | Корень | 69.4 ± 1.0 σ = 1.1 | 13.5 ± 0.5 σ = 0.2 | То же |
Основание | 64.6 ± 0.9 σ = 0.9 | Разрушена | 61.5 | |
Выше основания | 60.3 ± 5.6 σ = 31.4 | То же | 39.7 | |
Середина | 71.3 ± 0.8 σ = 31.4 | 26.2 ± 2.8 σ = 8.1 | 48.4 | |
Гранна | 88.9 ± 1.6 σ = 2.5 | 14.9 ± 5.1 σ = 25.8 | 47.7 | |
Ость I, середина груди | Корень | 67.7 ± 0.7 σ = 0.6 | 17.3 ± 2.2 σ = 5.0 | Отсутствует |
Основание | 75.8 ± 1.1 σ = 1.1 | 20.0 ± 1.9 σ = 3.7 | 8.1 | |
Выше основания | 69.8 ± 1.5 σ = 2.2 | 23.7 ± 4.2 σ = 17.5 | 24.6 | |
Еще выше основания | 73.5 ± 0.7 σ = 0.6 | 22.6 ± 4.1 σ = 16.9 | 35.4 | |
Середина | 80.6 ± 0.9 σ = 0.8 | 26.5 ± 1.8 σ = 3.3 | 36.2 | |
Перед гранной | 80.5 ± 2.0 σ = 4.2 | 20.9 ± 2.2 σ = 4.7 | 35.4 | |
Гранна | 88.4 ± 1.7 σ = 2.9 | 14.3 ± 2.9 σ = 8.3 | 45.4 | |
Ость I, середина брюха | Корень | 43.0 ± 0.5 σ = 0.3 | 18.5 ± 4.7 σ = 55.6 | Отсутствует |
Основание | 50.0 ± 0.7 σ = 0.6 | 29.4 ± 2.9 σ = 8.7 | 23.3 | |
Выше основания | 56.3 ± 1.3 σ = 1.7 | 42.4 ± 3.8 σ = 14.8 | 47.0 | |
Еще выше основания | 53.0 ± 1.0 σ = 0.9 | 49.6 ± 9.5 σ = 91.2 | 35.7 | |
Перед гранной | 53.6 ± 1.6 σ = 2.4 | 13.7 ± 3.8 σ = 14.1 | 19.9 | |
Гранна | 63.6 ± 1.0 σ = 1.0 | 13.1 ± 1.5 σ = 2.4 | 18.1 | |
Ость I, середина бедра | Корень | 69.6 ± 0.7 σ = 0.5 | 13.5 ± 1.2 σ = 1.4 | Отсутствует |
Основание | 67.5 ± 0.8 σ = 0.7 | 12.3 ± 1.6 σ = 2.7 | 24.8 | |
Выше основания | 66.9 ± 1.9 σ = 3.6 | 20.5 ± 1.6 σ = 2.6 | 22.2 | |
Еще выше основания | 65.4 ± 0.8 σ = 0.6 | 19.6 ± 4.1 σ = 16.8 | 32.6 | |
Гранна | 100.7 ± 0.5 σ = 0.3 | 12.7 ± 1.4 σ = 2.0 | 59.9 | |
Ость I, середина голени | Корень | 47.0 ± 0.5 σ = 0.2 | 15.2 ± 2.2 σ = 4.6 | Отсутствует |
Основание | 55.2 ± 1.8 σ = 3.2 | 18.3 ± 3.4 σ = 11.5 | 40.9 | |
Выше основания | 50.8 ± 1.5 σ = 2.2 | 12.7 ± 1.4 σ = 2.0 | 37.0 | |
Еще выше основания | 55.5 ± 1.4 σ = 2.0 | 38.7 ± 4.2 σ = 17.5 | 39.5 | |
Гранна | 65.6 ± 0.7 σ = 0.4 | 11.6 ± 2.8 σ = 7.8 | 44.2 | |
Ость I, середина дорсальной поверхности кисти | Корень | 45.2 ± 0.6 σ = 0.4 | 9.6 ± 1.3 σ = 1.6 | Отсутствует |
Основание | 52.8 ± 0.3 σ = 0.09 | 9.4 ± 1.9 σ = 3.7 | 4.0 | |
Выше основания | 51.0 ± 1.8 σ = 3.3 | 13.0 ± 1.1 σ = 1.2 | 2.0 | |
Середина | 51.6 ± 1.7 σ = 2.8 | 10.3 ± 1.3 σ = 1.7 | 2.0 | |
Гранна | 73.7 ± 1.6 σ = 2.5 | 12.6 ± 3.6 σ = 13.0 | 2.0 | |
Ость I, середина дорсальной поверхности стопы | Корень | 73.9 ± 0.5 σ = 0.2 | 9.8 ± 0.6 σ = 0.4 | Отсутствует |
Основание | 72.7 ± 1.0 σ = 1.0 | 9.3 ± 0.9 σ = 0.9 | То же | |
Выше основания | 78.1 ± 0.9 σ = 0.8 | 11.2 ± 1.2 σ = 1.4 | То же | |
Середина | 81.2 ± 0.6 σ = 0.4 | 11.0 ± 3.4 σ = 12.0 | То же | |
Ость I, середина дорсальной поверхности хвоста | Корень | 97.9 ± 1.9 σ = 3.7 | 21.6 ± 1.5 σ = 2.4 | Отсутствует |
Основание | 95.9 ± 0.4 σ = 0.2 | 18.3 ± 4.4 σ = 19.3 | 60.5 | |
Выше основания | 102.3 ± 1.9 σ = 3.5 | 43.9 ± 7.5 σ = 561 | 66.3 | |
Еще выше основания | 107.3 ± 1.4 σ = 2.0 | 41.8 ± 5.8 σ = 33.4 | 70.6 | |
Середина | 101.4 ± 0.7 σ = 0.4 | 42.5 ± 2.8 σ = 7.7 | 72.3 | |
Начало гранны | 104.8 ± 0.6 σ = 0.4 | 33.7 ± 13.2 σ = 175.6 | 66.1 | |
Гранна | 108.1 ± 0.8 σ = 0.6 | 14.7 ± 4.8 σ = 23.0 | 33.1 | |
Выше гранны | 92.9 ± 1.2 σ = 1.6 | 16.9 ± 2.6 σ = 6.8 | 23.5 | |
Вершина | 34.6 ± 1.1 σ = 1.3 | 7.4 ± 1.2 σ = 1.8 | Отсутствует |
Примечания. M ± m – средняя арифметическая с ошибкой средней арифметической, σ – дисперсия. Для каждого препарата выполнено три промера (n).
Рис. 4. Микрометрия вибриссы (A) и остевых волос (B–D) у взрослого самца плейстоценового волка (Canis lupus ssp.): A, C – толщина стержня; B – высота чешуек кутикулы; D – соотношение толщины сердцевины и толщины стержня.
По оси абсцисс нанесены обозначения участков стержня волоса, приведенных в табл. 1. A: 1 – корень, 2 – основание, 3 – выше основания, 4 – середина, 5 – выше середины, 6 – изгиб выше середины, 7 – перед вершиной, 8 – вершина. В: 1 – корень, 2 – основание, 3 – выше основания, 4 – гранна. С: 1 – корень, 2 – основание, 3 – выше основания, 4 – гранна. D: 1 – основание, 2 – выше основания, 3 – гранна. Полных данных о кутикуле волос спины не имеем, так как она сильно повреждена в гранне и выше по стержню (см. табл. 1).
Остевые волосы, отобранные по максимальной толщине (ости I), значительно различаются на разных участках кожного покрова волка по профилю и морфометрии (табл. 1, 2, рис. 4С). В большинстве случаев стержень волоса утолщается в его середине или верхней трети, образуя “гранну” (рис. 4С, участок 4). Лишь у толстых (до 118.3 мкм) волос спины стержень утолщен на участке выше основания по сравнению с серединой стержня (рис. 4С, участки 2 и 3). У волос, изъятых из большинства сравниваемых участков тела, стержень немного истончается ниже середины волоса (рис. 4С, участок 3), а затем резко утолщается, максимально у толстых и коротких волос морды (до 125 мкм, рис. 4С, участок 4).
Таблица 2. Относительные промеры микроструктур остевых волос взрослого самца плейстоценового волка (Canis lupus ssp.)
Индекс | Пробы волос с разных участков тела | ||||||||||
Морда | Ухо | Спина | Бок | Грудь | Брюхо | Бедро | Голень | Кисть | Стопа | Хвост | |
D/d | 1.0 ± 0.01 σ = 0.0002 | 1.2 ± 0.1 σ = 0.02 | 1.2 ± 0.03 σ = 0.001 | 1.5 ± 0.2 σ = 0.1 | 1.6 ± 0.1 σ = 0.005 | 1.9 ± 0.3 σ = 0.08 | 1.3 ± 0.1 σ = 0.02 | 1.2 ± 0.1 σ = 0.0005 | 1.2 ± 0.1 σ = 0.02 | 1.0 ± 0.06 σ = 0.004 | 1.1 ± 0.01 σ = 0.0002 |
s/S, % | 11.0 ± 6.6 σ = 43.2 | 21.3 ± 0.3 σ = 0.12 | 36.2 ± 14.0 σ = 197.3 | 20.8 ± 5.8 σ = 33.5 | 6.7 ± 0.4 σ = 0.18 | 10.6 ± 5.2 σ = 26.6 | 15.8 ± 3.8 σ = 14.6 | 21.7 ± 3.7 σ = 14.0 | 2.0 ± 0.01 σ = 0.001 | Сердцевина не развита | 50.7 ± 7.8 σ = 60.5 |
W/w | 2.5 ± 0.7 σ = 0.5 | 2.3 ± 0.1 σ = 0.02 | 1.6 ± 0.1 σ = 0.02 | 2.6 ± 0.4 σ = 0.2 | 2.7 ± 0.5 σ = 0.3 | 4.7 ± 0.3 σ = 0.08 | 3.8 ± 1.4 σ = 2.1 | 2.5 ± 0.2 σ = 0.03 | 4.2 ± .6 σ = 2.6 | То же | 1.7 ± 0.2 σ = 0.04 |
W/H, участок волоса: Корень | 3.2 ± 0.6 σ = 0.3 | 2.0 ± 0.5 σ = 0.2 | 4.0 ± 0.2 σ = 0.05 | 4.5 ± 1.3 σ = 1.6 | 5.2 ± 2.6 σ = 7.0 | 3.1 ± 0.6 σ = 0.4 | 4.5 ± 0.4 σ = 0.2 | 3.0 ± 0.4 σ = 0.1 | 4.8 ± 0.7 σ = 0.5 | 7.1 ± 0.7 σ = 0.4 | 3.6 ± 0.8 σ = 0.7 |
Основание | 3.4 ±1.2 σ = 1.4 | 2.4 ± 0.6 σ = 0.3 | 3.9 ± 0.7 σ = 0.5 | 4.7 ± 0.6 σ = 0.3 | 3.8 ± 1.5 σ = 2.2 | 3.5 ± 0.6 σ = 0.4 | 4.4 ± 0.1 σ = 0.01 | 2.7 ± 0.7 σ = 0.5 | 5.7 ± 1.0 σ = 1.1 | 6.7 ± 2.2 σ = 5.1 | 5.0 ± 1.8 σ = 2.2 |
Середина | 3.2 ± 0.4 σ = 0.1 | 3.2 ± 0.4 σ = 0.1 | 1.8 ± 0.5 σ = 0.3 | 2.7 ± 1.6 σ = 2.6 | 3.3 ± 0.3 σ = 0.1 | 1.1 ± 0.4 σ = 0.2 | 4.2 ± 1.9 σ = 3.7 | 1.5 ± 0.06 σ = 0.003 | 5.0 ± 0.8 σ = 0.6 | 7.1 ± 1.7 σ = 3.0 | 2.1 ± 0.4 σ = 0.2 |
Гранна | 13.8 ± 4.1 σ = 17.0 | 2.6 ± 0.2 σ = 0.05 | Кутикула разрушена | 7.4 ± 1.3 σ = 1.6 | 4.9 ± 1.5 σ = 2.2 | 4.7 ± 0.6 σ = 0.4 | 9.2 ± 1.5 σ = 2.3 | 3.4 ± 1.8 σ = 3.1 | 6.0 ± 2.4 σ = 5.7 | Гранна не развита | 7.1 ± 2.2 σ = 4.9 |
Перед вершиной | Участок разрушен | Участок разрушен | То же | 8.0 ± 3.2 σ = 10.4 | Участок разрушен | Участок разрушен | Участок разрушен | Кутикула разрушена | Кутикула разрушена | Кутикула разрушена | 4.3 ± 0.3 σ = 0.1 |
Примечания. Обозначения как в табл. 1. D/d – соотношение большего поперечного сечения стержня и меньшего, s/S – соотношение площадей поперечных сечений сердцевины и сечения стержня, W/w – соотношение толщин стержня и сердцевины на продольном сечении волоса, W/H – соотношение толщины волоса и высоты кутикулы на тотальном препарате.
Степень развития и архитектура сердцевины. У вибриссы сердцевина имеется только в прикорневой части и основании, где занимает до 30% толщины стержня, а выше по стержню она отсутствует (табл. 1). Архитектура сердцевины вибриссы резко отличается от таковой у волос, так как она представлена цилиндрическими плотными закругленными блоками, вытянутыми вдоль длинной оси стержня в один ряд (рис. 5A). Размеры цельного самого крупного неразрушенного блока составляют 344.1 × 118.0 мкм, а площадь латеральной стороны на продольном сечение стержня достигает 38352.9 мкм2 (= 0.04 мм2).
Рис. 5. Архитектура сердцевины на продольном сечении вибриссы (A), основания (B–С, E–G) и гранны (D) остевых волос из разных участков тела взрослого самца плейстоценового волка (Canis lupus ssp.) и основания остевого волоса песца (Alopex lagopus) (H): B – морда, C – бок, D – грудь, E – брюхо, F – бедро, G – стопа. Данные СЭМ. Масштаб, мкм: A – 200; B–D, F, G – 50, E, H – 20.
У большинства остей I сердцевина отсутствует в прикорневой части и на вершине, имеется в основании волоса (рис. 4D, участок 1), затем незначительно истончается выше по стержню (рис. 4D, участок 2, бок, бедро, голень) или, напротив, утолщается (рис. 4D, участок 2, все пробы – морда, ухо, спина, бок, грудь, бедро, голень, кроме брюха и хвоста), достигая максимума в гранне (рис. 4D, участок 3). В волосах брюха и хвоста, напротив, сердцевина становится тоньше в гранне. В волосах стопы сердцевина отсутствует.
Архитектура сердцевины варьирует в разных участках стержня и зависит от толщины волоса. В основании стержня и ближе к вершине сердцевина однорядная лестничная с продолговатыми полостями; полости разделены тонкими волнистыми перегородками, вытянутыми поперек стержня (рис. 5B, 5C, 5E) или лестничная одно-двухрядная ячеистая с округлыми полостями разной конфигурации (рис. 5F, 5G). В гранне сердцевина типичная ячеистая, причем размеры наиболее крупных округлых полостей, расположенных неупорядоченно, сильно варьируют, однако они ненамного крупнее, чем в однорядной лестничной сердцевине (соответственно 371.5–713.3 мкм2 против 336.9– 643.2 мкм2). Перегородки донной поверхности полостей слабо складчатые, но лишены перфораций, а перегородки между полостями сильно перфорированы, что придает сердцевине ажурный вид.
Высота и орнамент кутикулы. У вибриссы кутикула полностью разрушена, так что изучить ее не удалось.
У остей I высота чешуек кутикулы у волос из большинства проб значительно изменяется от прикорневой зоны до участка ниже гранны, далее в гранне чешуи уплощаются (рис. 4B, участки 3 и 4). Причем высота чешуек вдоль стержня в прикорневой зоне и основание стержня всегда больше, чем в гранне, за исключением волос стопы и бедра (рис. 4B, участки 1 и 4). Это связано со специфическим орнаментом кутикулы на участке перед гранной, который сформирован высокими ланцетовидными (“pentaloid”, “diamond petal”, анг.) или даже продольно вытянутыми чешуйками с заостренными вершинами (шевронный, “chevron”, анг.) (рис. 6, стрелки). В нижних отделах стержня чешуйки довольно высокие с волнистыми краями за счет скругленных треугольных выростов. Апикальные края чешуек изрезаны слабо. Перед гранной орнамент изменяется за счет высоких ланцетовидных чешуек, которые особенно сильно вытягиваются на боковой и вентральной поверхности волоса.
Рис. 6. Орнамент кутикулы остевых волос из разных участков тела (A, C, E) и вибриссы (B) у взрослого самца плейстоценового волка (Canis lupus ssp.), остевого волоса холки взрослой особи песца (Alopex lagopus) (D): A – голень, B – вибрисса, C – брюхо, E – хвост. A, C, E – кутикула от основания стержня до гранны (слева направо). B – кутикула верхней части вибриссы. Копьевидные чешуйки кутикулы обозначены стрелками. Данные СЭМ. Масштаб, мкм: A – 50 и 20; В – 20; C, D, E – 50.
ОБСУЖДЕНИЕ
Палеозоологические исследования волос вымерших видов млекопитающих несомненно представляют большой научный интерес, поскольку в целом ряде случаев позволяют не только сравнить волосы вымерших и рецентных видов с целью выяснения адаптаций зверей к разным условиям обитания, но и дополнить данные молекулярно-генетического анализа, что вкупе позволяет идентифицировать виды и судить об их филогенетических связях и эволюцию. Ценность волос для таких исследований обусловлена тем, что их кератиновые структуры отлично сохраняются в условиях вечной мерзлоты, у мумий, в копролитах и погадках, а также в янтаре (например, Sidorchuk et al., 2019) и археологических артефактах, таких как предметы быта, меховая одежда, отходы жизнедеятельности человека (Chernova et al., 2019). Эти материалы способствуют идентификации остатков вымерших зверей. Трихологические исследования в этом аспекте многочисленны и результативны (Nobacek, 1997; Gilbert et al., 2007; Gharu, Trevedi, 2016; Kirillova et al., 2016). Многие из них, в том числе и наши с соавторами работы, посвящены представителям плейстоценовой мамонтовой фауны – шерстистому мамонту (Mammuthus primigenius Blumenbach 1799), шерстистому носорогу (Coelodonta antiquitatis Blumenbach 1799) (Chernova et al., 2015а), пещерному льву (Panthera spelaea Goldfuss 1810) (Chernova et al., 2020) и донскому зайцу (Lepus tanaiticus Gureev 1964) (Boeskorov et al., 2023; Chernova, Boeskorov, 2023), а также видам голоценового периода, таким как древний бизон (Bison ex. gr. priscus) (Chernova, Kirillova, 2013; Kirillova et al., 2015, 2016), Юкагирская лошадь (Eguus spp.) (Chernova et al., 2015), полярный волк (Chernova et al., 2019). Настоящее исследование волос плейстоценового волка дополнило круг изученного палеонтологического материала, позволило сравнить волосы этого подвида с таковыми у голоценового и рецентного волков, что расширило представление об этом звере и его морфофункциональных адаптациях к суровым условиям Арктики. Сравнение микроструктуры волос у всех перечисленных видов представляется перспективным для выявления общих приспособительных черт волосяного покрова у обитателей Арктики, и наши исследования в этой области будут продолжены по мере поступления палеонтологического материала, объем которого возрастает благодаря процессам потепления климата в Арктике.
Профиль и метрические характеристики волос древнего волка. Вибриссы имеют типичный профиль, они наиболее утолщены в основании стержня и изогнуты в виде арки, что характерно для этих сенсорных волос и отличает их от обычных волос шерсти. Известно несколько важных геометрических пропорций и корреляций между микроструктурами вибрисс, которые определяют их функциональное значение (Belli et al., 2017, fig. 1, 2018). Так, базальная ширина стержня варьирует у разных вибрисс в зависимости от их длины и положения в мистациальной области щеки, а толщина сердцевинного канала имеет линейную зависимость от базальной толщины вибриссы. Локальное утолщение вибрисс до сих пор было неизвестно, возможно, в нашем случае это связано с повреждением стержня, но может служить приспособлением к повышению прочности вибриссы именно на участке стержня, постепенно переходящего в тонкий гибкий кончик, непосредственно принимающий участие в тактильном контакте, что требует дальнейшего накопления данных о профиле вибрисс. Слабое развитие сердцевины в вибриссе служит для повышения ее прочности, именно по этой причине сердцевина имеется только в основании стержня. При изучении в СЭМ архитектура сердцевины вибрисс демонстрирует своеобразные кератиновые структуры у разных видов млекопитающих (Chernova, Kulikov, 2011; Chernova, Zherebtsova, 2023, figs. 5, 6). (1) Сердцевина не содержит полостей; сердцевинный канал заполнен рядом плотно упакованных, неперфорированных, округлых многогранников или цилиндров, ориентированных вдоль или под углом к продольной оси стержня. У многих видов хищников сердцевина имеет вид однорядной лестницы с узкими промежутками между плотными кератиновыми блоками. Именно к такому типу относится сердцевина вибриссы изученного нами древнего волка, которая аналогична таковой у ранее изученной нами вибриссы голоценового волка с Чукотки. (2) У грызунов в сердцевинном канале многогранники образуют двухрядный лестничный узор или ячеистую структуру (Chernova, Zherebtsova, 2023, fig. 5). (3) В сердцевине равномерно распределены плотные пирамидальные перегородки, разделяющие пространства канала на полиморфные фрагменты. Стенки перегородок могут быть ориентированы под углом 45°–60° к продольной оси вибриссы. Тела пирамидальных перегородок лишены перфораций и пигментных гранул и дают начало густо разветвленным подобным корням отросткам. Эти отростки закрепляются на корковом слое, выстилающем сердцевинный канал (Chernova, Zherebtsova, 2023, fig. 5). Имеющиеся данные свидетельствуют о том, что в разных таксонах млекопитающих строение вибрисс направлено на обеспечение оптимальной жесткости стержня либо (1) за счет системы плотных роговых цилиндров или многогранников, заполняющих весь сердцевинный канал и не оставляющих места для инертного воздуха (что найдено и в нашем случае), либо (2) за счет многочисленных массивных перегородок. В обоих случаях механическая жесткость вибриссного стержня повышена, что, вероятно, важно для проведения механических стимулов. Сами плотные перегородки могут улучшать проводимость тактильного сигнала.
При изучении вибрисс в самых разных аспектах вплоть до биомеханики, биомиметики (бионики) и нейрофизиологии, безусловно, стоит учитывать внутреннюю архитектуру стержня вибриссы, поскольку именно она во многом определяет свойства этого тактильного анализатора (Welker, 1964; Ahl, 1986; Sokolov, Kulikov, 1987). Большинство из работ по нейрофизиологии и биомеханике вибрисс выполнено на крысах и мышах, у которых сердцевинный канал полый (Prescott et al., 2011; Quist et al., 2011; Belli et al., 2017, 2018; Breese et al., 2023). Именно поэтому в этих исследованиях не учитывается архитектура сердцевины вибрисс, которая у других видов разнообразна и безусловно влияет на функциональные способности вибриссы. Пока непонятна видоспецифичность или адаптивность архитектуры сердцевины вибрисс к условиям обитания у разных биологических форм (наземные, подземные, норные, летающие, древесные, полуводные, водные), а также их обусловленность общностью происхождения таксонов разного ранга. Кроме того, не разработана типология вибрисс, чем мы предполагаем заняться в будущем, по мере накопления фактических данных. Уже сейчас можно констатировать, что архитектура сердцевины вибрисс сходна у родственных видов (на уровне рода), но значительно различается даже в пределах одной клады, например, у грызунов Ctenohystrica (Chernova, Zherebtsova, 2023).
В изученных остевых волосах степень развития сердцевины невелика, как невелико и разнообразие ее архитектуры. В основном сердцевина представлена лестничной и неупорядоченной губчатой и упорядоченной ячеистой структурой, размеры воздушных полостей которой сильно варьируют даже в пределах одного волоса. У древнего волка слабое развитие сердцевины в середине остевого волоса брюха и хвоста предполагает возрастание их механической прочности в ущерб теплозащитным свойствам, что приближает эти волосы к вибриссам (отсутствие сердцевины в апикальных участках стержня) и волосам стопы, у которых сердцевина полностью отсутствует. Все же в волосах хвоста сердцевина относительно хорошо развита в нижних участках стержня (до 72% толщины волоса), что компенсирует ее слабое развитие в верхних участках стержня и повышает теплозащитные свойства этих волос. Недаром в холодную погоду волки и собаки прячут носы в хвост, свернувшись клубком на лежках.
Сравнительно-морфологический анализ. Сравнение толщины остевых волос и их архитектоники у древнего волка с таковыми у рецентных волков не выявило значительного утолщения волос у первого, во всяком случае для остей I. Так, толщина остей I выше середины стержня у древнего волка на спине достигает 105.9 мкм (табл. 1), у голоценового волка – 101 мкм (Chernova et al., 2019, табл. 3), а у рецентного волка – 112 мкм (Волк, 1985, табл. 19). На груди соответственно 88.4 и 100 мкм. У древнего волка наиболее толстые, но короткие волосы покрывали морду и спину, что можно объяснить их ролью в механической защите именно этих участков тела.
Таблица 3. Сравнительная характеристика микроструктур остевых волос у представителей Caninae, по данным СЭМ
Вид, подвид | Сердцевина в гранне стержня | Кутикула | ||||
Губчатая | Ячеистая | ниже гранны | в гранне | выше гранны | ||
Ланцетовидная или копьевидная | Лентовидная волнистая | Лентовидная уплощенная | Мозаичная | |||
Плейстоценовый волк Canis lupus ssp. | + | + | + | |||
Полярный волк (C. lupus albus) | + | + | + | |||
Серый волк (C. lupus lupus) | + | + | + | + | ||
Шакал (C. aureus) | + | + | + | |||
Койот (C. latrans) | + | + | + | |||
Домашняя собака (C. familiaris): Акита-ину | + | + | + | + | + | + |
Бассет | + | + | + | |||
Далматин | + | + | + | |||
Ирландский терьер | + | + | + | |||
Неаполитанский мастиф | + | + | + | + | + | |
Миттельшнауцер | + | + | + | + | ||
Русская псовая борзая | + | + | + | |||
Хортая борзая | + | + | + | + | ||
Песец (Alopes lagopus) | + | + | + | + | + | |
Медновский голубой песец (A. lagopus semenovi) | + | + | ||||
Корсак (Vulpes corsac) | + | + | + | + | ||
Американский корсак (V. velox) | + | + | + | |||
Обыкновенная лисица (V. vulpes) | + | + | ||||
Африканская лисица (V. pallida) | + | + | + | + | ||
Тибетская лисица (V. ferrilata) | + | + | + | + | ||
Серая лисица (Urocyon cinereoargenteus) | + | + | ||||
Гривистый волк (Chrysocyon brachyurus) | + | + | + | |||
Красный волк (Cuon alpinus) | + | + | + | + | ||
Степень развития сердцевины волос у древнего волка вполне сопоставима с этим показателем у рецентных волков или даже меньше. Например, индекс сердцевины у древнего волка достигает 72% на спине и лишь 45.4% на груди, а у рецентного волка соответственно 77 и 70% (причем это данные для волков, добытых в августе). У голоценового волка сердцевина составляет всего 57% толщины волоса (Chernova et al., 2019, table 3). Эти данные не свидетельствуют в пользу того, что у древнего волка сердцевина волос активнее участвовала в теплозащите, чем у рецентных волков. Это подтверждается фактом отсутствия или фрагментарности сердцевины в волосах морды и лап. Вероятно, необходимость увеличения прочности волос у древнего волка превалировала над необходимостью усиления их теплозащитных свойств. Конечно, имеются и другие механизмы обеспечения теплозащиты, такие как густота шерсти, ее длина и обилие подпуши, изучение которых осталось за рамками нашего исследования, так как лучше всего сохранились только крупные ости.
Архитектура губчатой сердцевины у плейстоценового волка (рис. 7A, 7B, 7D) сходна с таковой у голоценового волка (рис. 7I–7K), рецентного волка (рис. 7С, 7E) и собаки (рис. 7F), но отличается от упорядоченной ячеистой сердцевины у лисицы (рис. 7G) и песца (рис. 7H). Таким образом, мы подтвердили данные авторов более ранних работ (Arpacık, 2021) о том, что волка и лисицу можно различать по микроструктуре сердцевины, а вот волосы волка, шакала и собаки по этому признаку не различишь. Сравнение разных видов Caninae показывает, что для сердцевины их волос характерна губчатая и ячеистая микроструктура, как и в целом для подсемейства (табл. 3). Губчатая сердцевина обнаружена не только у волков (родов Canis, Cuon, Chrysocyon), но и у домашней собаки (акита-ину, бассет, ирландский терьер, миттельшнауцер, русская псовая борзая, хортая борзая), а также у корсака и африканской лисицы. Другие типы сердцевины не обнаружены в гранне волос, хотя в тонком основании волос имеется однорядная лестничная сердцевина.
Рис. 7. Микроструктура сердцевины волос взрослых особей плейстоценового волка (Canis lupus ssp.) (A, B, D) из Якутии, серого волка (C. l. lupus) (C, E) из Монголии, домашней собаки (C. familiaris): неаполитанский мастиф (F); обыкновенной лисицы (Vulpes vulpes) (G), песца (Alopex lagopus) (H), голоценового полярного волка (C. lupus tundrarum) (I, J, K) с Чукотки. A–C, J, K – поперечные сечения стержня; D–I – продольные сечения стержня. Данные СЭМ. Масштаб 10 мкм.
Орнамент кутикулы, образованный ланцетовидными или копьевидными чешуйками, также вполне сходен у древнего и рецентных волков, песца и африканской лисицы (Волк, 1985, рис. 38– 41; Чернова, Целикова, 2004, c. 298, с. 316), а также у некоторых пород домашней собаки (акита- ину, бассет) (Чернова, Целикова, 2004, с. 300, 301). Но кутикула волос многих других видов отличается от таковой у волос волков (табл. 3). Таким образом, такая особенность, как присутствие на волосах ланцетовидной или копьевидной (и даже шевронной) кутикулы имеет ограниченную пригодность для различения видов.
ЗАКЛЮЧЕНИЕ
Нами показано, что: (1) волосяной покров плейстоценового волка по своей микроструктуре (толщина волос, степень развития сердцевины и ее архитектура, орнамент кутикулы и его вариабельность по стержню остевого волоса) практически не отличался от такового у рецентных волков, т. е. волк как вид был уже полностью сформирован в плейстоцене; (2) специфические подвидовые адаптации волосяного покрова древнего волка к условиям обитания не выявлены; (3) микроструктура волос волков отличается от таковой у лисиц, но имеет черты сходства с волосами шакала, койота и домашней собаки, что соответствует филогенетическим связям этих таксонов; (4) на разных участках тела (морда, ухо, спина, бок, грудь, бедро, голень, кисть, стопа, хвост) микроструктура и метрические характеристики различаются у волос разных типов и размерных категорий.
БЛАГОДАРНОСТИ
Авторы благодарны Е. А. Шкулёву за находку и передачу для исследований мумии плейстоценового волка.
ФИНАНСИРОВАНИЕ РАБОТЫ
Данная работа финансировалась за счет средств бюджета Института проблем экологии и эволюции имени А. Н. Северцова Российской Академии наук, Академии наук Республики Саха (Якутия) и Северо-Восточного федерального университета имени М. К. Аммосова. Исследование выполнено за счет гранта Российского научного фонда № 24-27-20045, https://rscf/project/24-27-2045/.
СОБЛЮДЕНИЕ ЭТИЧЕСКИХ СТАНДАРТОВ
В данной работе не использовались люди или живые животные, исследование основано на легальном музейном материале.
КОНФЛИКТ ИНТЕРЕСОВ
Авторы данной работы заявляют, что у них нет конфликта интересов.
About the authors
O. F. Chernova
A.N. Severtsov Institute of Ecology and Evolution, Russian Academy of Sciences
Author for correspondence.
Email: olga.chernova.moscow@gmail.com
Russian Federation, Moscow, 119071
A. I. Klimovsky
Academy of Sciences of the Republic of Sakha (Yakutia)
Email: aisen87@mail.ru
Russian Federation, Yakutsk, 677000
A. V. Protopopov
Academy of Sciences of the Republic of Sakha (Yakutia); M.K. Ammosov North-Eastern Federal University
Email: a.protopopov@mail.ru
Russian Federation, Yakutsk, 677000; Yakutsk, 677000
References
- Боескоров Г. Г., Барышников Г. Ф., 2013. Позднечетвертичные хищные млекопитающие Якутии. М.: Наука. 210 c.
- Волк (Происхождение, систематика, морфология, экология), 1985. Д. И. Бибиков, ред. М.: Наука. 606 с.
- Головин А. В., 2001. Особенности строение сердцевинных клеток остевых волос Волчьих (Canidae, Carnivora) // Проблемы эволюционной и экологической морфологии. М.: Биоинформсервис. С. 62–74.
- Замахаева И. М., 1979. Об изменчивости волосяного покрова волка // Экология. № 3. С. 99–101.
- Климовский А. И., Колесов С. В., 2022. Новые находки волка (Canis lupus L. 1758) в позднеплейстоценовых отложениях Колымо-Индигирской низменности // Природные ресурсы Арктики и Субарктики. Т. 27. № 4. С. 592–599.
- Лазарев П. А., 2005. Крупные млекопитающие антропогена Якутии (филогенез, систематика, палеоэкология, фаунистические комплексы, тафономия, останки). Дис. … докт. биол. наук. Якутск: Институт прикладной экологии Севера Академии наук Республики Саха (Якутия). 317 с.
- Огнев С. И., 1947. Звери СССР и прилежащих стран. Т. 5. М.-Л.: Издательство АН СССР. 809 с.
- Плотников В. В., Протопопов А. В., Наоки Сузуки, Дален Люве, 2022. Ископаемый волк (Сanis sp.) из среднего течения реки Индигирка, верхний плейстоцен Якутии // Зоологический журнал. T. 101. № 6. С. 693–702.
- Соколов В. Е., 1973. Кожный покров млекопитающих. М.: Наука. 487 с.
- Соколов В. Е., Скурат Л. Н., Степанова Л. В., Шабадаш С. А., 1988. Руководство по изучению кожного покрова млекопитающих. М.: Наука. 279 с.
- Церевитинов Б. Ф., 1951. Дифференцировка волосяного покрова пушных зверей // Вопросы товароведения пушно-мехового сырья. Труды Всесоюзного научно-исследовательского института охотничьего промысла. Вып. 10. С. 6–17.
- Чернова О. Ф., Целикова Т. Н., 2004. Атлас волос млекопитающих (Тонкая структура остевых волос и игл в сканирующем электронном микроскопе). М.: Товарищество научных изданий КМК. 429 с.
- Чернова О. Ф., Перфилова Т. В., Жукова Ф. А. и др., 2011. Атлас микроструктуры волос млекопитающих – объектов судебной экспертизы. М.: Российский Федеральный Центр Судебной Экспертизы. 286 с.
- Чернова О. Ф., Перфилова Т. В., Киладзе А. Б. и др., 2019. Атлас микроструктуры волос редких видов млекопитающих, занесенных в красную книгу Российской Федерации. М.: Российский Федеральный Центр Судебной Экспертизы. 186 с.
- Abràmoff M. D., Magalhães P. J., Ram S. J., 2004. Image processing with ImageJ // Biophotonics International. V. 11. № 7. P. 36–42.
- Ahl A. S., 1986. The role of vibrissae in behavior: status review // Veterinary Research Communications. V. 10. № 4. P. 245–268.
- Arpacık A., 2021. Microanatomical observations of hair characteristics of Red Fox (Vulpes vulpes), Golden Jackal (Canis aureus), and Gray Wolf (Canis lupus): A comparative study // Pakistan Journal of Zoology. V. 53. № 6. P. 2247–2254.
- Belli H. M., Yang A. E.T., Bresee Ch.S., Hartmann M. J.Z., 2017. Variation in vibrissal geometry across the rat mystacial pad: base diameter, medulla, and taper // Journal of Neurophysiology. V. 117. № 4. P. 1807–1820.
- Belli H. M., Bresee Ch.S., Graff M. M., Hartmann M. J.Z., 2018. Quantifying the three-dimensional facial morphology of the laboratory rat with a focus on the vibrissae // PLoS One. V. 13. № 4. e0194981.
- Boeskorov G. G., Сheprasov M.Yu., Pavlova M. R., Chernova O. F., Novgorodov G. P., Schelkova M. V., Nikolaev A. N., 2023. On the morphology and ecology of the fossil Don Hare (Lepus tanaiticus Gureev, 1964) // Paleontological Journal. V. 57. Suppl. 1. P. S95–S111.
- Breese C. S., Belli H. M., Luo Y., Hartmann M. J.Z., 2023. Comparative morphology of the whiskers and faces of mouse and rat (Mus musculus and Rattus norvegicus) // Journal of Experimental Biology. V. 226. № 19: jeb.245597.
- Chakraborty R., De J. K., 2010. Atlas on hairs of Indian mammals. Part I: Carnivora. Published by the Division by the Director, Zoological Survey of India, Kolkata. P. 1–144.
- Chernova O. F., Kulikov V. F., 2011. Structural differences between the shafts of mammalian vibrissae and hairs and their causes // Doklady Biological Sciences. V. 438. P. 182–185.
- Chernova O. F., Kirillova I. V., 2013. Hair microstructure of the late quaternary bison from north-east Russia // Proceedings of the Zoological Institute RAS (Proceedings Zin). V. 317. № 2. P. 202–216.
- Chernova O. F., Boeskorov G. G., Protopopov A. V., 2015. Identification of the hair of a Holocene “Yukagir horse” (Equus spp.) mummy // Doklady Biological Sciences. V. 462. P. 141–143.
- Chernova O. F., Kirillova I. V., Boeskorov G. G. et al., 2015a. Architectonics of the hairs of woolly mammoth and woolly rhino // Proceedings of the Zoological Institute RAS. V. 319. № 3. P. 441–460.
- Chernova O. F., Vasyukov D. D., Savinetsky A. B., 2019. Identification of fossil mammal fur from ancient Eskimo settlements of Chukotka // Зоологический журнал. Т. 98. № 10. С. 1186–1202.
- Chernova O. F., Protopopov A. V., Boeskorov G. G., Pavlov I. S., Plotnikov V. V., Suzuki N., 2020. First description of the fur of two cubs of fossil Cave Lion Panthera spelaea (Goldfuss, 1810) found in Yakutia in 2017 and 2018 // Doklady Biological Sciences. V. 492. № 1. P. 93–98.
- Chernova O. F., Boeskorov G. G., 2023. Structure of the hair of the Don hare Lepus tanaiticus (Leporidae, Lagomorpha) first found in Pleistocene deposits in Yakutia, Russia // Biological Bulletin. V. 50. № 9. P. 2471– 2491.
- Chernova O. F., Zherebtsova O. V., 2023. Architecture of vibrissae in eight rodent species of Ctenohystrica (Rodentia): A comparative SEM study // Zoologischer Anzeiger – A journal of comparative zoology. V. 307. P. 54–69.
- Gharu J., Trevedi S., 2016. Ancient hairs: need for morphological analysis of Prehistoric and extant mammals // Vertebrate Zoology. V. 66. № 2. P. 221–224.
- Gilbert M. T.P., Tomsho L. P., Rendulic S. et al., 2007. Whole-genome shotgun sequencing of mitochondria from ancient hair shafts // Science. V. 317. P. 1927– 1930.
- Keller A., 1981. Détermination des mammafires de la Suisse par leur pelage: V. Carnivora, VI. Artiodactyla // Revue suisse de Zoologie. T. 88. Fasc. 3. P. 803– 820.
- Keller A., 1984. Etude sur la structure fine des jarres doesaux de quelques Canides sauvages et domestiquesa de genre Canis (Mammalia: Canidae) // Revue suisse de Zoologie. T. 91. Fasc. 4. P. 973–992.
- Kennedy A. J., 1982. Distiquishing characteristics if the hairs of wild and domestic canids from Alberta // Canadian Journal of Zoology. V. 60. P. 536–541.
- Kirillova I. V., Plicht J. V.D., Gubin S. V. et al., 2016. Taphonomic phenomenon of ancient hair from Glacial Beringia: perspectives for palaeoecological reconstructions // An International Journal of Quaternary Research, Boreas. 10.1111/bor.12162; ISSN0300-9483.
- Kirillova I. V., Zanina O. G., Chernova O. F. et al., 2015. Ancient bison from the Rauchua River mouth (Chukotka, Russia) // Journal of Quaternary Research. V. 84. P. 232–245.
- Moore J. D., Spence L. E., Dugnolle C. E., 1974. Identification of the dorsal guard hairs of some mammals of Wyoming. W. G. Hepworth, ed. // Wyoming Game and Fish Department Commission Bulletin. Cheyeene. № 14. 77 p.
- Novacek M. J., 1997. Mammalian evolution: an early record bristling with evidence // Current Biology. V. 7. № 8. P. 489–491.
- Plotnikov V. V., Protopopova A. V., Naoki Suzuki, 2023. Love Dalen fossils of the Wolf (Canis sp.) from the Middle Reaches of the Indigirka River from the Late Pleistocene in Yakutia // Biology Bulletin. V. 50. № 5. P. 7–15.
- Prescott T. J., Grant R. A., Mitchinson B. M., 2011. Vibrissal behavior and function // Scholardia. V. 6. № 11: 6642.
- Quist B. M., Farugi R. A., Hartmann M. J.Z., 2011. Variation in Young’s modulus along the length of a rat vibrissa // Journal of Biomechanica. V. 44. P. 2775–2781.
- Sidorchuk E. A., Bochkov A. V., Weiterschan Th., Chernova O. F., 2019. A case of mite-on-mammal ectoparasitism from Eocene Baltic amber (Acari: Prostigmata: Myobiidae and Mammalia: Erinaceomorpha) // Journal of Systematic Palaeontology. V. 17. № 4. P. 331– 347.
- Sokolov V. E., Kulikov V. F., 1987. The structure and function of the vibrissal apparatus in some rodents // Mammalia. V. 51. P. 125–138.
- Teerink B. J., 1991. Hair of West-European mammals: Atlas and identification Key. Cambridge: University Press. 224 p.
- Tóth M., 2017. Hair and fur atlas of central European mammals // Nagykov´acsi, Hungary. Pars. Ltd. https://doi.org/10.18655/hairatlas. www.hairatlas.hu
- Welker W., 1964. Analysis of sniffing of the albino rat. Behaviour. V. 22. P. 223–244. www.alaskafurid/wordpress.com
Supplementary files









