Инфракрасная термографическая диагностика огнестойкости древесины в условиях комбинированного теплового воздействия фронта низового пожара и горящих и тлеющих частиц
- Авторы: Касымов Д.П.1,2, Агафонцев М.В.1, Перминов В.А.2
-
Учреждения:
- Национальный исследовательский Томский государственный университет
- Национальный исследовательский Томский политехнический университет
- Выпуск: № 10 (2024)
- Страницы: 51-58
- Раздел: Тепловые методы
- URL: https://journal-vniispk.ru/0130-3082/article/view/266825
- DOI: https://doi.org/10.31857/S0130308224100058
- ID: 266825
Цитировать
Полный текст
Аннотация
Экспериментально исследовано взаимодействие горящих и тлеющих частиц и лесного горючего материала с последующим воздействием на некоторые виды горючих строительных материалов и конструкций на основе древесины. Получены значения теплового потока, генерируемого тлеющими частицами, а также проанализировано поле температуры наиболее теплонапряженных участков исследуемых конструкций с применением бесконтактных методов ИК-диагностики в узких спектральных диапазонах инфракрасных длин волн. В инфракрасной области излучение поверхности образцов регистрировались с помощью тепловизора JADE J530SB с применением оптического фильтра 2,5—2,7 мкм, который позволял измерять температуру в интервале 310—1500 K. Для интерпретации зарегистрированного излучения от исследуемого образца были использованы калибровки, поставляемые изготовителем узкополосного оптического фильтра.
Ключевые слова
Полный текст
ВВЕДЕНИЕ
На сегодняшний день при исследовании процессов горения и природных пожаров активно применяют современные методы инфракрасной (ИК) диагностики [1—8]. Выработан ряд рекомендаций по применению термографии при испытании древесины, строительных материалов на огнестойкость и пожарную опасность, однако имеющиеся данные требуют проведения дополнительных экспериментов по исследованию пожароопасных характеристик различных материалов, используемых в строительстве, методом ИК-диагностики. Применение данного метода позволяет оценить поле истинных температур в динамике при лабораторных и натурных огневых испытаниях элементов зданий и строительных сооружений из древесины [9, 10]. Разработка на основе этих данных методики испытания различных строительных конструкций, выполненных из древесины, на огнестойкость и пожарную опасность с применением термографии позволит снизить стоимость проведения такого рода работ при одновременном повышении оперативности получения данных, разрешающей способности и информативности результатов. Следует отметить, что задача не сводится лишь к практическим аспектам противопожарной защиты зданий и сооружений на основе древесины, но является заделом для совершенствования физико-математической теории природных пожаров и позволяет продвинуться в понимании процессов образования, переноса горящих частиц и их потенциала воспламенить горючие материалы и инициировать пятнистые пожары.
Известно, что горящие частицы, образующиеся при лесном пожаре, а также горении различных конструкций, являются источником быстрого распространения пламени и вносят значительный вклад в распространение пожаров на природно-урбанизированной территории [11].
Вероятность возгорания конструкции зависит как от физических свойств материалов, так и от условий теплового воздействия. В научной литературе имеется ряд публикаций, посвященных непосредственному влиянию воздействия потока горящих и тлеющих частиц на воспламенение различных элементов строительных конструкций. В частности, в работах [12—14] изучалось взаимодействие потока частиц, генерируемых на специальных установках, с различными типами конструкций из древесины (терраса, вертикальная стенка, крыша здания и др.). Основной фокус исследований был направлен на оценку повреждений в результате аккумуляции частиц при их длительном воздействии, а также на понимание того, как внешние факторы, такие как скорость ветра, масса частиц и влагосодержание рассматриваемых образцов, влияют на характеристики зажигания и воспламенения.
Тем не менее, лишь в ограниченном числе работ ИК-термография применена в качестве измерительного метода. Так, в работе [15] авторы сосредоточились на рассмотрении влияния расстояния между несколькими горящими частицами и их способности к воспламенению конструкций из древесины при различной скорости воздушного потока в зоне их аккумуляции. Применение бесконтактной диагностики позволило оценить распределение температуры в зоне аккумуляции частиц, а также в динамике проанализировать развитие площади горения материала при различных параметрах эксперимента, не внося никаких возмущений.
В работах [16, 17] используется высокоскоростная цифровая камера, а также методы анемометрии по изображениям частиц (Particle Image Velocimetry — PIV) для изучения характеристик частиц и анализа процессов теплообмена в зоне контакта частиц и поверхности рассматриваемого образца. Кроме этого, ИК-камеры используют для косвенной регистрации тепловой картины в эксперименте, в частности, для оценки масштабов пламени [18]. Известно, что применение методов термографии связано с необходимостью выбора рабочего спектрального диапазона и определения коэффициента излучения пламени. Применение узкополосных фильтров в ИК-камере обусловлено следующими факторами: динамическим диапазоном матрицы ИК-детектора и спектром излучения пламени. Однако в вышеуказанных работах этим аспектам не уделено достаточного внимания.
Целью работы является физическое моделирование взаимодействия потока горящих и тлеющих частиц с некоторыми видами горючих строительных материалов и конструкций на основе древесины (на примере модели террасы, ограждения комбинированного типа, а также внутреннего угла) с последующей оценкой их теплофизических параметров (поле температуры, темп нагрева образца, тепловые потоки, а также времена задержки зажигания) на основе применения методов ИК-термографии.
СХЕМА ПРОВЕДЕНИЯ ЭКСПЕРИМЕНТА
Эксперименты проводили в Большой аэрозольной камере (БАК) Института оптики атмосферы СО РАН, входящей в состав центра коллективного пользования «Атмосфера». Объем камеры составляет 2000 м3. Работа в этой камере позволяет избавиться от эффекта бокового и встречного ветра, неизбежно присутствующего при полевых работах и влияющего на характеристики летящих частиц. С целью дооснащения системы регистрации концентраций органического аэрозоля была модернизирована система принудительной вытяжки, а система забора атмосферного воздуха с последующей глубокой фильтраций была дооснащена функцией подогрева поступающего в БАК воздуха с помощью электрического калорифера СФО-100 высокой мощности (90 кВт).
На рис. 1 представлена экспериментальная площадка с размещенным на ней оборудованием.
Рис. 1. Фотография экспериментального стенда непосредственно перед экспериментом
Для решения задач измерения теплофизических характеристик (ТФХ) древесных конструкционных элементов в данном исследовании применяли высокоточную ИК-камеру научного класса совместно с группой контактных датчиков, состоявшей из термопар и датчика теплового потока.
Экспериментальное оборудование включало: ИК-камеру JADE J530SB с узкополосным оптическим фильтром (рабочая длина волны 2,5—2,7 мкм), позволяющую регистрировать температуру в диапазоне 300—1500 °С, выбор которого обусловлен большой интенсивностью излучения паров воды и углекислого газа в используемом спектральном диапазоне, а также объектив с фокусным расстоянием 50 мм. В установку также входили видеокамеры Canon LEGRIA HF R86 («Canon Inc.», Китай) и Sony FDR X3000 («Sony Group Corporation», Китай) для оценки задержки зажигания рассматриваемых образцов древесных строительных материалов и фиксации процесса генерации и переноса частиц; термопары типа K с диаметром спая 200 мкм для оценки поля температуры вблизи поверхности деревянных образцов; датчик теплового потока Hukseflux SBG01 с рабочим диапазоном 0—100 кВт/м2; прибор АКИП-74824А для регистрации термоЭДС; анализатор влажности AND MX-50 для контроля влагосодержания исследуемых образцов. Формат ИК-термограммы — 320 × 240 пикселей. Частота регистрации термограмм составляла 7 Гц. Расстояние от выходной части генератора частиц до тепловизора было равно 3 м. Физическая область, анализируемая ИК-камерой, составляла 0,71 × 0,53 м.
Модель конструкции забора устанавливали на подложку, состоявшую из слоя земли, толщина которого составляла минимум 50 мм, а также слоя хвои сосны. Площадь участка земли, которая была покрыта хвоей, равна 0,5 м2, высота слоя лесного горючего материала — 0,03 м. Запас хвои в эксперименте был равен 0,4 кг/м3. Инициацию процесса зажигания подложки хвои производили при помощи генератора горящих и тлеющих частиц. В качестве частиц использовали сосновые пеллеты, представляющие собой спрессованную стружку хвойной породы древесины. Диаметр пеллет составлял от 5 до 6 мм, а длина — от 5 до 20 мм. Масса частиц, загружаемая в реактор генератора, не превышала 150 г.
Генератор горящих и тлеющих частиц позволял воспроизвести условия возникновения и переноса горящих и тлеющих частиц при лесных пожарах. Фотография установки представлена на рис. 2.
Рис. 2. Установка генерации горящих и тлеющих частиц [19]
Установка имеет функциональную возможность длительной и непрерывной подачи горючего материала, для чего в канал подачи частиц установлен шнековый механизм, а также создания воздушной противодымовой завесы для более безопасной эксплуатации в закрытых помещениях [20].
АНАЛИЗ РЕЗУЛЬТАТОВ
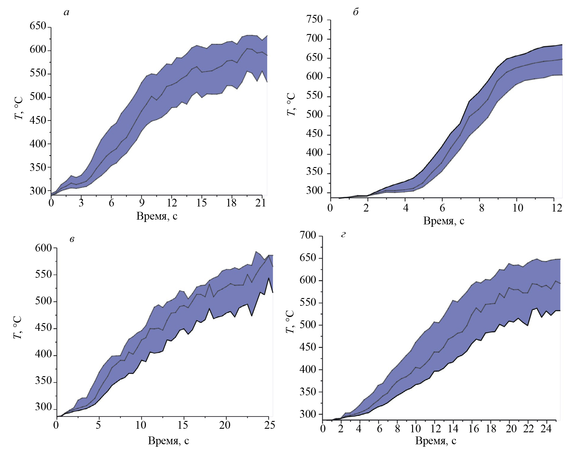
В результате регистрации процесса горения подложки с хвоей и локального перехода процесса на деревянную конструкцию были получены наборы термограмм, обработку которых осуществляли с помощью программного обеспечения «Altair». На термограмме устанавливали контрольные линии, расстояние между которыми составляло 50 мм, а затем для каждой из линий была получена усредненная температура. В случае модели конструкции забора с зазором (рис. 3б) усреднение производилось по дополнительным пяти линиям, находившимся на одной прямой.
Рис. 3. Мгновенная термограмма процесса воздействия пламени на модельную конструкцию забора
В результате были получены кривые, представляющие процесс нагрева поверхности исследуемых конструкций (рис. 4). Три линии, показанные на графиках, представляют собой изменение усредненной температуры, которая совпадает с соответствующей горизонтальной линией на термограмме (см. рис. 3). Область, закрашенная между линиями, показывает диапазон изменения температуры.
Рис. 4. Кривые распределения поля температуры поверхности рассматриваемых образцов из древесины во времени: а, б — сплошное ограждение; в, г — ограждение продуваемого типа (штакетник)
Анализируя графики, приведенные на рис. 4, можно сделать вывод, что конструкционный элемент забора сплошного типа подвержен более интенсивному нагреву, нежели продуваемая конструкция (см. рис. 3б).
Установлено, что температура поверхности сплошной конструкции (см. измерительные линии на рис. 3) в зоне последующего воспламенения достигает 895—937 К, что превышает примерно на 60 град температуру поверхности штакетника и является причиной воспламенения. Можно предположить, что в данном случае на рост температуры поверхности оказывает влияние сплошность щита и соответственно более продолжительное время его нагрева и воспламенения фронтом пожара. Геометрия элемента сплошного забора в эксперименте играла роль преграды, от которой частицы рикошетили, тем самым вероятность их аккумуляции непосредственно вблизи конструкции увеличивалась.
По результатам анализа полученных термограмм температура частиц в момент падения находилась в пределах 490—650 °С. При этом температура в момент выброса частиц из генератора составляла 750—800 °С, что согласуется с работой [21], в которой в лабораторных условиях анализировали ТФХ горящих и тлеющих частиц, образующихся при лесном пожаре.
Использование метода ИК-термографии позволило оценить температуру пламени при горении хвои вблизи конструкции. Результаты представлены на рис. 5, 6.
Рис. 5. Термограмма развития горения хвои сосны вблизи поверхности деревянного ограждения
Рис. 6. Изменение температуры пламени при горении хвои: a — эксперимент с сплошным ограждением; б — ограждение продуваемого типа
Из рисунков видно, что температура в пламени достигает средних значений 990—1030 K, а температура поверхности штакетника достигает максимальных значений 826—920 К в выделенных областях 1—15 (см. рис. 3), что согласуется с данными работы [22—24]. По результатам анализа полученных данных можно сделать вывод, что при выбранных параметрах эксперимента забор продуваемого типа имеет более высокую склонность к воспламенению.
Кроме того, был определен тепловой поток при сгорании насыпки рассматриваемых в экспериментах лесных и степных горючих материалов.
ВЫВОДЫ
Использование бесконтактного метода ИК-дигностики позволило экспериментально определить распределение температуры на поверхности образцов строительного материала в результате воздействия модельного очага горения. Применение методов ИК-термографии позволило идентифицировать теплонапряженные участки на поверхности моделей деревянных конструкций в результате воздействия фронта низового лесного пожара, а также оценить с высокой точностью их характерные размеры. В частности, температура частиц в момент падения находилась в пределах 490—650 °С. При этом температура в момент выброса частиц из генератора составляла 750—800 °С. Установлено, что температура поверхности сплошной конструкции в зоне последующего воспламенения достигает 895—937 К, что превышает примерно на 60 град температуру поверхности штакетника и является причиной воспламенения.
Таким образом, становится возможным осуществлять прогноз поведения материала в условиях теплового воздействия без внесения возмущений, что является важной задачей в области пожарно-технических испытаний строительных материалов и огнезащиты. Полученные результаты могут служить в качестве дополнительных рекомендаций при разработке методов испытаний строительных материалов и огнезащитных составов на пожарную опасность.
В качестве рекомендаций установлено, что непосредственное воздействие низового пожара слабой интенсивности на элементы конструкций из древесины не приводит к значительным повреждениям, а возгорание наблюдается лишь в некоторых случаях. Однако если на территории частного дома, в непосредственной близости от строения, есть мусор, он может воспламениться от падающих горящих частиц, и огонь перейдет на саму постройку. Противостоять такой проблеме поможет скашивание травы как на участке, так и за его пределами, причем необходимо производить скашивание по периметру объекта шириной не менее 5 м, с удалением скошенных растительных материалов. Важным мероприятием является организация пространства на участке (территории), где расположены потенциально горючие материалы в соответствии с правилами пожарной безопасности, а именно их хранение в специально отведенных для этого местах, обработка элементов конструкций специальными огнезащитными составами и др. Для снижения риска воспламенения заборов от пожара следует выбирать ограждения продуваемого типа, а также использовать поверхностную огнезащитную обработку.
Данная работа выполнена при финансовой поддержке Российского научного фонда (No. 24-21-00069).
Об авторах
Д. П. Касымов
Национальный исследовательский Томский государственный университет; Национальный исследовательский Томский политехнический университет
Автор, ответственный за переписку.
Email: denkasymov@gmail.com
Россия, Томск; Томск
М. В. Агафонцев
Национальный исследовательский Томский государственный университет
Email: kim75mva@gmail.com
Россия, Томск
В. А. Перминов
Национальный исследовательский Томский политехнический университет
Email: perminov@tpu.ru
Россия, Томск
Список литературы
- Suzuki S., Brown A., Manzello S.L., Suzuki J., Hayashi Y. Firebrands generated from a full-scale structure burning under well-controlled laboratory conditions // Fire Saf. J. 2014. V. 43—51. P. 43—51.
- Vavilov V.P. Thermal nondestructive testing: development of conventional directions and new trends (a review) // Rus. J. NDT. 2023. V. 59. No. 6. P. 702—723.
- O’Brien J.J., Loudermilk E.L., Hornsby B., Hudak A.T., Bright B.C., Dickinson M.B., Hiers J.K., Teske C., Ottmar R.D. High-resolution infrared thermography for capturing wildland fire behaviour: RxCADRE 2012 // Int. J. of Wildland Fire. 2016. V. 25. P. 62—75.
- Rios O., Pastor E., Valero M.M., Planas E. Short-term fire front spread prediction using inverse modelling and airborne infrared images // Int. J. of Wildland Fire. 2016. V. 25. P. 1033—1047.
- Filkov Alexander I., Tihay-Felicelli Virginie, Masoudvaziri Nima, Rush David, Valencia Andres, Wang Yu, Blunck David L., Valero Mario Miguel, Kempna Kamila, Smolka Jan, De Beer Jacques, Campbell-Lochrie Zakary, Centeno Felipe Roman, Ibrahim Muhammad Asim, Lemmertz Calisa Katiuscia, Tam Wai Cheong. A review of thermal exposure and fire spread mechanisms in large outdoor fires and the built environment // Fire Saf. J. 2023. V. 140. P. 103871.
- Sofan P., Bruce D., Jones E., Marsden J. Detecting peatland combustion using shortwave and thermal infrared landsat-8 data // Advan. in Forest Fire Res. 2018. P. 969—979.
- Bearinger Elias D., Hodges Jonathan L., Yang Fengchang, Rippe Christian M., Lattimer Brian Y. Localized heat transfer from firebrands to surfaces // Fire Saf. J. 2021. V. 120. P. 103037.
- Caton S.E., Hakes R.S.P., Gorham D.J., Zhou A., Gollner M.J. Review of pathways for building fire spread in the wildland urban interface part I: exposure conditions // Fire Technol. 2017. V. 53. P. 429—473.
- Kasymov D., Agafontsev M., Perminov V., Martynov P., Reyno V., Loboda E. Experimental Investigation of the Effect of Heat Flux on the Fire Behavior of Engineered Wood Samples // Fire. 2020. V. 3. P. 61.
- Aydın T.Y. Temperature Influenced Anisotropic Elastic Parameters of Red Pine // Russ. J. Nondestruct. Test. 2022. V. 58. P. 548—562.
- Manzello S.L., Suzuki S., Gollner M.J., Fernandez-Pello A.C. Role of firebrand combustion in large outdoor fire spread // Prog. Energy Combust. Sci. 2020. V. 76. P. 100—801.
- Suzuki S., Manzello S.L. Ignition vulnerabilities of combustibles around houses to firebrand showers: further comparison of experiments // Sustainability. 2021. V. 13. P. 21—36.
- Manzello S.L., Blanchi R., Gollner M.J., Gorham D., McAllister S., Pastor E., Planas E., Reszka P., Suzuki S. Summary of workshop large outdoor fires and the built environment // Fire Saf. J. 2018. V. 100. P. 76—92.
- Bartlett A.I., Hadden R.M., Bisby L.A. A review of factors affecting the burning behaviour of wood for application to tall timber construction // Fire Technol. 2019. V. 55. P. 1—49.
- Kwon B., Liao Y.T. Ignition propensity of structural materials exposed to multiple firebrands in wildland-urban interface (WUI) fires: effects of firebrand distribution and ambient wind / Conf. Spr. Techn. Meet. Cent. St. Sec. Comb. Inst. at: Detroit, Michigan. 2022.
- Baldwin J.H., Sunderland P.B. Ratio pyrometry of emulated firebrand streaks // Fire Saf. J. 2023. V. 136. P. 103746.
- Abul-Huda Yasin M., Bouvet Nicolas. Thermal dynamics of deposited firebrands using phosphor thermometry // Proc. Comb. Ins. 2021. V. 38. No. 3. P. 4757—4765.
- Lauterbach Alec, Lee Sangkyu, De Beer Jacques, Stoliarov Stanislav I., Sunderland Peter B., Gollner Michael J., Filkov Alexander I., Horn Gavin P. Ignition and combustion behavior of pressure treated wood and wood-plastic composite exposed to glowing firebrand piles: Impact of air flow velocity, firebrand coverage density and pile orientation // Fire Saf. J. 2024. V. 147. P. 104198.
- Касымов Д.П., Перминов В.А., Рейно В.В., Фильков А.И., Лобода Е.Л. Экспериментальная установка по генерации горящих частиц для исследования распространения природного пожара // Известия вузов. Физика. 2017. Т. 60. № 12/2. С. 107—112.
- Касымов Д.П., Перминов В.В., Фильков А.И., Агафонцев М.В., Рейно В.В., Лобода Е.Л. Генератор горящих и тлеющих частиц для плоховентилируемых помещений // Патент РФ 199698 (опубл. 15.09.2020).
- Grishin A.M., Filkov A.I., Loboda E.L., Reyno V.V., Kozlov A.V., Kuznetsov V.T., Kasymov D.P., Andreyuk S.M., Ivanov A.I., Stolyarchuk N.D. A field experiment on grass fire effects on wooden constructions and peat layer ignition // Int. J. Wild. Fire. 2014. V. 23. P. 445—449.
- Kasymov D.P., Agafontsev M.V., Tarakanova V.A., Loboda E.L., Martynov P.S., Orlov K.E., Reyno V.V. Effect of wood structure geometry during firebrand generation in laboratory scale and semi-field experiments // J. of Phys.: Conf. S. 2021. V. 1867.
- Kasymov D.P., Agafontsev M.V., Perminov V.V., Loboda E.L., Loboda Yu.A., Reino V.V., Orlov K.E. Ignition resistance of wood building structures exposed to a firebrand shower // Combust. Explos. Shock Waves. 2023. V. 59. P. 206—214.
- Arruda M.R.T., Cantor P., Bicelli A., Branco F. Thermal reaction of firebrand accumulation in construction materials // Case Stud. Constr. Mater. 2024. V. 20. P. e02985.
Дополнительные файлы









