Экспериментальные исследования по контролю трещин на резьбовых поверхностях методом электромагнитной термографии
- Авторы: Чжан Ю.1, Сюй Ч.1, Лю П.1, Лю Р.1, Чжао Ц.1, Ванг Л.1, Се Ц.1
-
Учреждения:
- Китайский нефтяной университет (Восточный Китай)
- Выпуск: № 10 (2024)
- Страницы: 59-71
- Раздел: Тепловые методы
- URL: https://journal-vniispk.ru/0130-3082/article/view/266826
- DOI: https://doi.org/10.31857/S0130308224100067
- ID: 266826
Цитировать
Полный текст
Аннотация
Резьбовые соединения, являясь важным типом соединений, в процессе производства и эксплуатации довольно часто оказываются подвержены образованию трещин на резьбовых поверхностях, что может привести к механическому разрушению. Сложная геометрия резьбовых соединений создает большие проблемы для традиционных методов неразрушающего контроля (НК). Таким образом, важным является разработка продвинутой и отвечающей современным требованиям методики неразрушающего контроля для обнаружения трещин на резьбовых поверхностях. В данном исследовании изучается применимость электромагнитной термографии (ЭМТ) для контроля трещин. Принцип контроля был рассмотрен на основе законов электромагнитной индукции и теплопроводности. Эксперименты проводились на четырех болтах с трещинами на резьбовых поверхностях с использованием методики ЭМТ. Эффективность ЭМТ была подтверждена анализом термограмм и температурных откликов. Кроме того, мы изучили влияние нескольких ключевых параметров, включая ориентацию катушки возбуждения, расположение катушки возбуждения, амплитуду тока возбуждения и размер трещины, на результаты контроля. Полученные результаты свидетельствуют о том, что ЭМТ представляет собой эффективный и практичный метод обнаружения трещин на резьбовых поверхностях.
Ключевые слова
Полный текст
ВВЕДЕНИЕ
Являясь одним из надежных, безопасных и экономичных способов соединения механических компонентов, резьбовые соединения широко используются в различных областях техники, например, соединения болт — гайка в мостах и морских сооружениях, резьбовые трубы в нефтегазодобывающем оборудовании [1—3]. Однако под действием сложных напряжений резьбовое соединение обычно разрушается из-за появления трещин в течение эксплуатационного периода [4]. С ростом трещины прочность соединения резко снижается вплоть до серьезных происшествий [5]. Поэтому очень важно обнаруживать трещины на резьбовых поверхностях, чтобы избегать серьезных аварий.
Для обнаружения трещин на резьбовых поверхностях применяется несколько неразрушающих методов (НК), таких как магнитопорошковый контроль [6], ультразвуковой контроль [7], контроль рассеяния магнитного потока [8], вихретоковый контроль [9], измерение поля переменного тока [10]. Однако эти методы все еще имеют множество ограничений. При проведении магнитопорошкового контроля необходимо тщательно очистить поверхность исследуемой резьбы, чтобы избежать ложных индикаций. Кроме того, для повышения чувствительности контроля к микротрещинам обычно требуется использование флуоресцентного магнитного порошка. В этом случае контроль должен проводиться в специальных условиях, что неудобно при контроле in-situ. При ультразвуковом контроле (УЗК) используется специальный датчик для контроля резьбы путем точечного сканирования поверхности резьбы, что приводит к низкой эффективности контроля. Кроме того, только глубокие трещины с большими продольными размерами могут быть успешно обнаружены с помощью этого метода, что объясняется принципом метода УЗК. Неглубокие трещины обычно не замечаются с помощью метода УЗК. Контроль утечки магнитного потока, в котором используются датчики Холла для контроля рассеивания потока на дефекте, не подходит для образцов со сложной геометрической формой. Для вихретоковых измерений сложная геометрия резьбы вызывает изменения в импедансе катушки, которые часто превышают влияние трещин на импеданс катушки, что может помешать результатам испытаний. Несмотря на то, что измерение поля переменного тока (ИППТ) также применяется для обнаружения трещин на резьбовых поверхностях, интерпретация результатов контроля требует от контролеров профессиональных знаний для получения правильного результата измерения. Таким образом, существует необходимость в разработке эффективной и практичной технологии неразрушающего контроля для контроля трещин на резьбовых поверхностях.
Как важный метод неразрушающего контроля (НК), активная инфракрасная термография (АИКТ) показала свои преимущества при исследовании поверхностных трещин на металлических деталях с помощью различных нагревательных воздействий. Эти преимущества включают бесконтактный контроль, высокую чувствительность и интуитивно понятные результаты контроля [11—14]. В АИКТ используются источники нагрева, обычно включающие свет [15—17], ультразвук [18—20], микроволны [21—23] и электромагнитное излучение [24—26]. В последние годы значительное внимание в области неразрушающего контроля привлекает электромагнитная термография (ЭМТ) как один из видов метода АИКТ. Благодаря своему уникальному принципу распознавания, она особенно хорошо подходит для контроля проводящих материалов. ЭМТ успешно применяется для контроля дефектов в различных проводящих материалах, таких как трещины в металле [27], коррозия стали [28, 29], дефекты в проволоках связи [30], усталость от контакта при прокатке [31], ударные повреждения и расслоение в полимере, армированном углеродным волокном (ПАУВ) [32—34]. Однако исследования по применению ЭМТ для контроля трещин на резьбовых поверхностях все еще очень малочисленны [35]. В данном исследовании в качестве образцов для исследования используются болты с трещинами на поверхности резьбы. Теоретический анализ и эксперименты позволяют проверить применимость ЭМТ для обнаружения трещин на резьбовых поверхностях. Исследование обеспечивает техническую поддержку безопасности конструкций с использованием резьбовых соединений.
МЕТОДОЛОГИЯ
Основываясь на принципах электромагнитной индукции, в болтах возникают вихревые токи при воздействии переменного магнитного поля, создаваемого катушками переменного тока. Эти вихревые токи ограничиваются поверхностью резьбы — явление, известное как скин-эффект. Глубина скин-слоя описывает это явление и определяется как глубина, на которой плотность вихревых токов уменьшается в e раз от их значения на поверхности, что может быть описано как
, (1)
где h — глубина скин-слоя; f — частота тока возбуждения; μ — магнитная проницаемость проводника; σ — электрическая проводимость.
Основываясь на явлении нагрева Джоуля, вихревые токи вызывают локальное увеличение температуры. Количество джоулева тепла, генерируемое в образце наводимыми вихревыми токами, может быть выражено:
, (2)
где Q — джоулево тепло; JS — плотность вихревых токов; E — напряженность электрического поля.
Согласно теории о проводимости тепла, тепло будет переноситься от нагретой области в скин-слое к другим областям пока не достигнется тепловое равновесие. Распределение температуры в образце изменяется во времени по следующему закону:
, (3)
где T = T(x, y, z, t) — распределение температуры; k — теплопроводность материала; ρ — плотность; сp — изобарная теплоемкость; q(x, y, z, t) — функция внутреннего теплового потока в единицу объема. В ходе процедуры по контролю дефектов трещины на резьбовой поверхности перераспределяют вихревые токи и потоки тепла. Это приводит к различным распределениям температуры на резьбовых поверхностях, которые могут зафиксированы с помощью инфракрасной (ИК) камеры.
На рис. 1 показана установка ЭМТ для контроля трещин на поверхности резьбы. Под влиянием расстояния между поверхностью резьбы и катушками возбуждения в выступе резьбы индуцируется больше вихревых токов, чем во впадине резьбы. Поэтому в выступе резьбы выделяется больше джоулева тепла. Соответственно, температура выступе резьбы должна быть выше, чем температура впадины резьбы. Таким образом, распределение температуры на поверхности представляет собой закономерность, согласно которой вдоль оси резьбы попеременно возникают области с высокой и низкой температурой. Однако наличие трещин может повлиять на распределение вихревых токов и теплопередачу, что приведет к аномальному распределению температуры на поверхности. Когда вихревой ток сталкивается с трещиной, он вынужден обходить ее, что приводит к увеличению плотности вихревого тока в области трещины. Таким образом, в области трещины генерируется больше тепловой энергии, что приводит к тому, что область трещины демонстрирует высокие температурные характеристики в течении периода нагрева при ЭМТ. Высокие температурные характеристики в области трещин могут быть зафиксированы ИК-камерой, что позволяет обнаружить дефекты. В течение процесса охлаждения температура резьбовой поверхности стремится к равномерному значению, пока в конце концов не возвращается к температуре окружающей среды.
Рис. 1. Контроль трещин на резьбовой поверхности с использованием ЭМТ
ЭКСПЕРИМЕНТАЛЬНАЯ УСТАНОВКА И ОБРАЗЦЫ
Экспериментальная установка представлена на рис. 2. Она включает в себя систему индукционного нагрева (EasyHeat 0224), ИК-камеру (FLIR-T630sc) и компьютер. Система индукционного нагрева обеспечивает максимальную мощность нагрева 2,4 кВт, ток высокой частоты в диапазоне частот от 150 до 400 кГц, действующее значение максимального возможного тока возбуждения составило 400 А. ИК-камера регистрирует изменение температуры резьбовой поверхности с частотой 30 Гц и генерирует термограммы с разрешением 640×480 пикселей. Чувствительность и точность ИК-камеры составляют 30 мК и ±2 % соответственно.
Рис. 2. Экспериментальная установка: 1 — система индукционного нагрева; 2 — ИК-камера; 3 — компьютер; 4 — катушки; 5 — воздуховодяной теплообменник
Образцы, использованные в экспериментах, представлены на рис. 3. В данном исследовании рассматриваются четыре болта (обозначенные как болт A, болт B, болт C и болт D), которые использовались на морской платформе. На впадинах болтов A и B имеется несколько искусственных трещин разного размера, образованных с помощью электроэрозионной обработки (ЭЭО), но эти трещины практически незаметны. Трещины на впадинах болтов C и D являются естественными трещинами, образовавшимися под действием усталостной нагрузки. Подробная информация об образцах и трещинах приведена в табл. 1.
Рис. 3. Образцы
Таблица 1. Параметры образцов
Образец | Внешний диаметр, мм | Внутренний диаметр, мм | Шаг резьбы, мм | Номер дефекта | Глубина дефекта, мм | Ширина дефекта, мм |
Образец A | 29 | 28 | 2 | A1 | 4 | 0,5 |
A2 | 4 | 0,2 | ||||
A3 | 3 | 0,2 | ||||
A4 | 2 | 0,2 | ||||
Образец B | 48 | 42 | 4,9 | B1 | 3,5 | 0,5 |
B2 | 3,5 | 0,2 | ||||
B3 | 2,5 | 0,2 | ||||
B4 | 1,5 | 0,2 | ||||
Образец C | C | |||||
Образец D | D |
РЕЗУЛЬТАТЫ И ОБСУЖДЕНИЕ
4.1. Анализ термограмм
Во время проведения исследования методом ЭМТ для болта А ток возбуждения и длительность возбуждения были установлены равными 220 А и 300 мс. На рис. 4 представлены термограммы трещин A1, A2, A3 и A4, снятые через 0,3 с. Из рис. 4 видно, что резьбовая поверхность не демонстрирует явных признаков чередования высоких и низких температур из-за малого шага резьбы болта А. На рис. 4a можно четко определить наличие трещины A1. Наличие трещины приводит к появлению сильных искажений индуцированного вихревого тока, в результате чего в месте трещины возникает большое количество вихревого тока, что приводит к выделению большего количества джоулева тепла в месте трещины. Характер воздействия высокой температуры на трещину A2 не является очевидным по сравнению с трещиной A1. Трещины A3 и A4 на рис. 4б трудно различимы из-за меньшего размера дефекта.
Рис. 4. Термограммы дефектов A1, A2, A3 и A4, зафиксированные на 0,3 с
Для болта В ток возбуждения и длительность возбуждения были установлены равными 220 А и 300 мс. На рис. 5 представлены термограммы трещин B1, B2, B3 и B4, снятые через 0,3 с. Из рис. 5 видно, что на поверхности резьбы наблюдается чередование относительно высоких и низких температур, т.е. выступы резьбы имеют более высокие температурные показатели, а впадины резьбы имеют низкие температурные показатели. Трещины B1, B2, B3 и B4 демонстрируют очевидные высокотемпературные показатели. Трещина B4 меньше, чем трещина A4, но ее все равно можно идентифицировать. Причина этого явления может заключаться в том, что болт B имеет больший шаг резьбы.
Рис. 5. Термограммы дефектов B1, B2, B3 и B4, зафиксированные на 0,3 с
Для болтов C и D ток возбуждения и длительность возбуждения были заданы равными 220 А и 300 мс. На рис. 6 представлены термограммы трещин C и D, снятые через 0,3 с. Из рис. 6 видно, что в течение периода возбуждения распределение температуры на поверхности резьбы хорошо согласуется с выводами, полученными в результате теоретического анализа. Высокие и низкие температуры чередуются вдоль оси резьбовой части. Выступы резьбы представляют собой высокотемпературные области, а впадины резьбы — низкотемпературные. Видно, что хотя трещины C и D не могут быть четко идентифицированы, они все же демонстрируют более высокие температурные показатели по сравнению с окружающей зоной контроля.
Рис. 6. Термограммы дефектов C и D, зафиксированная на 0,3 с
Для более четкого отображения температурных характеристик резьбовой поверхности в процессе проведения измерений методом ЭМТ были получены данные о распределении температуры по линиям L1, отмеченной на рис. 4б, и L2, отмеченной на рис. 5б. Из рис. 7 видно, что распределение температуры образцов (болтов А и В) имеет выраженную закономерность. Характерные пики и впадины на рис. 7 соответствуют гребням и корням резьбы соответственно. Расстояние между соседними пиками или соседними впадинами — это шаг резьбы. В то же время в месте дефекта появляется явный единичный пик, который можно использовать как основу для обнаружения трещин.
Рис. 7. Профиль температуры вдоль отмеченной линии для дефектов A1 и A2 (a); B2, B3 и B4 (б)
4.2. Анализ динамики изменения температуры
Динамика изменения температуры в характерном месте на резьбовой поверхности болта А показана на рис. 8. Эти графики показывают изменение температуры с течением времени в области выступа резьбы, впадины резьбы и трещины соответственно. Можно заметить, что температуры имеют одинаковую тенденцию в течение всей процедуры контроля, но имеют разные пиковые значения. Все температуры продолжают расти в течение периода возбуждения, пока не достигнут пиковых значений примерно в конце возбуждения. Разница пиковых температур между областью трещины и выступом составляет 3,26 °С. Максимальная температура впадины резьбы меньше, чем температура области трещины на 4,14 °С. Эта разница температур заметна на термограммах, что достаточно для явного указания на наличие трещин.
Рис. 8. Изменение температуры во времени на различных участках образца A
Из приведенного выше анализа следует, что целесообразность контроля трещин на резьбовых поверхностях с помощью метода ЭМТ была подтверждена. По сравнению с другими методами неразрушающего контроля, результаты контроля с помощью ЭМТ просты и легко интерпретируются. Кроме того, нагрев при ЭМТ длится очень короткое время, а весь процесс контроля занимает всего несколько секунд. Такая высокая эффективность контроля очень важна для контроля in-situ. Кроме того, для ЭМТ не требуется подготовка поверхности, а после контроля не нужна дополнительная обработка. Важнейшим преимуществом этого метода является то, что заметная разница между областями трещин и бездефектными поверхностями резьбы является достаточно существенным доказательством для идентификации трещин. ЭМТ может точно обнаружить даже крошечные невидимые трещины, такие как в данном исследовании.
4.3. Анализ чувствительности к параметрам контроля
4.3.1. Влияние взаимного расположения катушки и образца
На основе принципа электромагнитной индукции Фарадея вихревой ток, наведенный в исследуемом образце катушкой, имеет определенное направление. Трещины, перпендикулярные индуцированному вихревому току, сильно влияют на распределение тока. Напротив, трещины, параллельные вихревому току, почти не нарушают его распределения. Теоретически, метод контроля должен быть чувствителен к ориентации трещины.
Мы провели эксперименты с использванием метода ЭМТ на болте A, чтобы проверить влияние различных вариантов расположения катушки и образца. Эксперименты проводились в зависимости от того, что центральная ось катушки параллельна или перпендикулярна центральной оси болта. В экспериментах по диагностике методом ЭМТ параметры контроля были заданы одинаковыми. Ток возбуждения и длительность возбуждения составляли 300 А и 300 мс соответственно. Термограммы, записанные в конце возбуждения в двух экспериментах, показаны на рис. 9a и б.
Рис. 9. Термограммы различно ориентированных катушки и образца: центральная ось катушки параллельна оси болта (a); центральная ось катушки перпендикулярна оси болта (б)
Из рис. 9a видно, что в случае, когда ось катушки параллельна оси болта, трещины на поверхности резьбы действительно не наблюдаются. В этом случае наведенные вихревые токи распространяются вдоль окружности болта. Поскольку трещины на образце также являются окружными вдоль витка резьбы, они параллельны наведенным вихревым токам. Поэтому трещина не мешает распределению вихревых токов, а на снятых термограммах не видно отклонения от нормы температуры в области трещины.
Термограмма, представленная на рис. 9б, четко указывает на наличие трещины. В данном случае ось катушки перпендикулярна оси болта, и наведенные вихревые токи распределяются в осевом направлении по поверхности резьбы. Таким образом, наличие трещин будет больше препятствовать распределению вихревых токов. В результате, плотность вихревых токов увеличивается в области трещин и выделяется больше джоулева тепла. При таких условиях трещины более четко видны на термограммах.
Экспериментальная проверка подтверждает, что контроль значительно чувствителен к ориентации трещин. Поэтому во время контроля необходимо следить за тем, чтобы распределение генерируемых вихревых токов было максимально перпендикулярно ориентации трещины.
4.3.2. Влияние положения трещины
Точное определение эффективного участка контроля имеет большое значение для правильного результата обследования. Во-первых, был экспериментально исследован эффективный диапазон зоны контроля для катушки, используемой в данном исследовании. Затем было экспериментально изучено влияние расположения трещин на их индикацию на полученных термограммах.
Было экспериментально исследовано влияние расположения трещин на их обнаружение. В качестве объекта исследования был взят болт В с четырьмя трещинами на резьбовой поверхности. Расположив болт В так, чтобы его ось была перпендикулярна осевому направлению катушки, болт В был осмотрен три раза. Перемещая катушку от левого конца к правому концу болта Б, возбуждали образец для получения термограмм, как показано на рис. 10.
Рис. 10. Термограммы болта B при различных расположениях катушек
Из рис. 10 видно, что индикация трещины меняется в зависимости от положения, в котором она находится. Когда B3 располагался на краю диапазона эффективного возбуждения катушки, контраст между трещиной и окружающей ее поверхностью резьбы был очень слабым, как показано на рис. 10a. Однако, поскольку B1 и B2 находились в пределах эффективного диапазона возбуждения катушки, индикация была отчетливой. Когда катушка была перемещена в положение, показанное на рис. 9б, трещины B2 и B3 одновременно находились в пределах эффективного диапазона возбуждения катушки, поэтому на термограммах были видны явные признаки трещин. Когда катушка находится в положении, показанном на рис. 10в, трещины B2, B3 и B4 могут быть эффективно обнаружены. Видно, что трещины, расположенные в зоне эффективного воздействия катушки, можно легко обнаружить. Чем ближе к оси катушки (центральная область внутри катушки), тем лучше эффект обнаружения.
4.3.3. Влияние амплитуды тока возбуждения
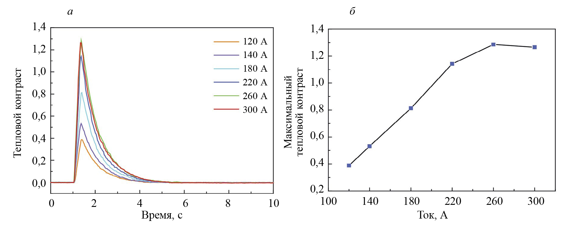
Амплитуда тока возбуждения определяет напряженность магнитного поля, возникающего в области контроля. Напряженность магнитного поля теоретически может влиять на интенсивность индуцированных вихревых токов и на индикацию трещин соответственно. В данном эксперименте были исследованы трещины A1 и A2 при одинаковой длительности нагрева, но с разными амплитудами токов возбуждения. Длительность возбуждения составляла 300 мс, а амплитуда тока возбуждения — 120, 140, 180, 220, 260 и 300 А соответственно. Термограммы, полученные по окончании возбуждения, представлены на рис. 11.
Рис. 11. Термограммы дефектов A1 и A2 с различными токами возбуждения при длительности нагрева 300 мс: 120 A (a); 140 A (б); 180 A (в); 220 A (г); 260 A (д); 300 A (е)
Из рис. 11a видно, что при токе возбуждения 120 А трещина A2 была слабо выражена. При увеличении амплитуды тока до 220 А индикация трещины А2 стала более четкой. В то же время эффект обнаружения трещины A1 также постепенно увеличивался. Однако при увеличении амплитуды тока возбуждения до 300 А индикация трещин не была значительно усилена.
Теоретически, амплитуда тока возбуждения определяет напряженность магнитного поля, генерируемого в зоне контроля. Напряженность магнитного поля может влиять на интенсивность индуцированных вихревых токов и, соответственно, на индикацию трещин. Поэтому, когда размер трещины мал, амплитуда тока возбуждения может быть соответствующим образом увеличена.
Для дальнейшего анализа влияния различных амплитуд токов возбуждения на результаты контроля используется коэффициент теплового контраста α, который представляет собой тепловой контраст между трещиной и бездефектной областью:
, (4)
где T1 — тепловой отклик бездефектной области; T2 — тепловой отклик от концов трещины A1.
На рис. 12a показан тепловой контраст, полученный в каждом эксперименте. Из рисунка видно, что для токов возбуждения различной амплитуды время наступления максимального теплового контраста дефектов в основном совпадает. На рис. 12б показано изменение максимального теплового контраста трещины A1 в процессе контроля при различных токах возбуждения. На рисунке видно, что с увеличением амплитуды тока возбуждения максимальный тепловой контраст в целом имеет тенденцию к росту. Но при увеличении тока до 300 А (по сравнению с результатами исследования при 260 А) максимальный тепловой контраст практически не изменился. Результаты эксперимента показывают, что увеличение амплитуды тока возбуждения может в определенной степени улучшить визуализацию дефектов трещины на термограмме.
Рис. 12. Тепловой контраст (а) и максимальный тепловой контраст (б) при различных токах возбуждения
4.3.4. Влияние размера трещины
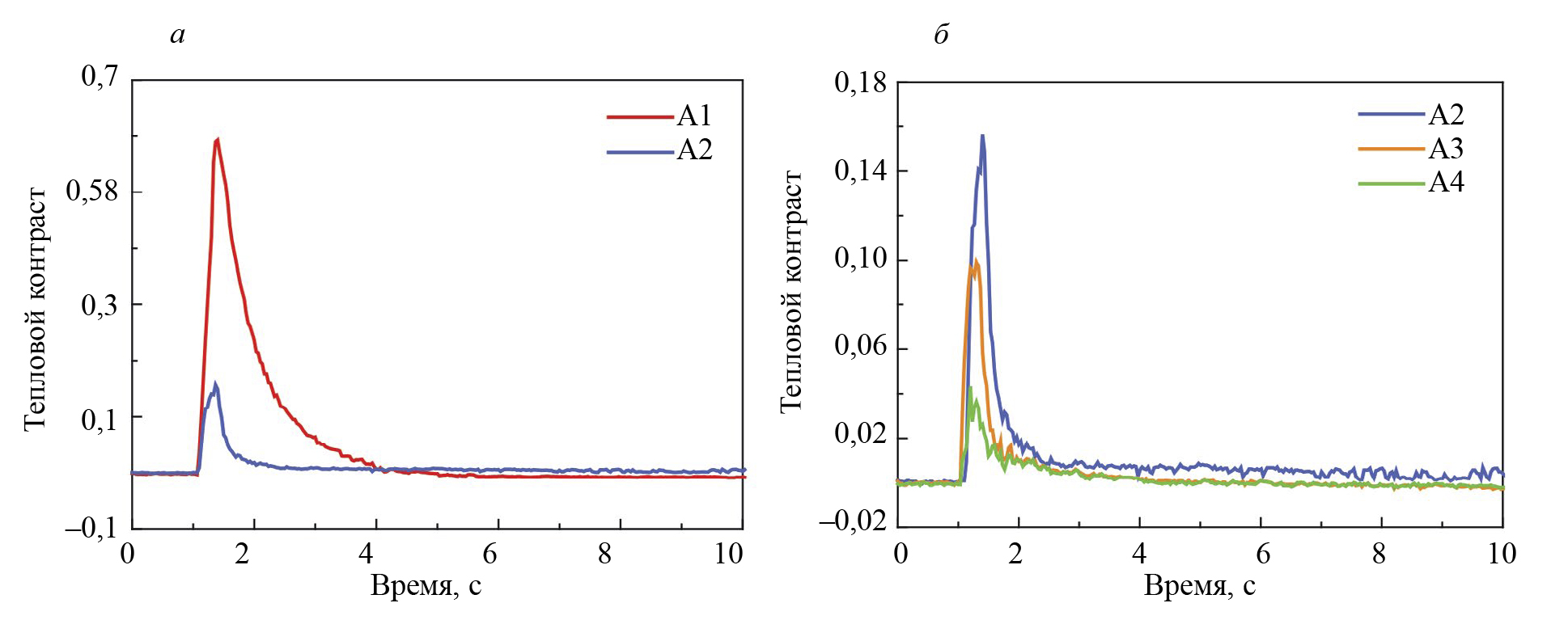
Чтобы изучить влияние размера трещины на ее индикацию был проведен контроль четырех трещин на поверхности болта А и оценена их различимость. Во время контроля амплитуда тока возбуждения была установлена на 220 А, а длительность нагрева — на 300 мс. Из рис. 13 видно, что трещина A1 с наибольшим размером может быть отчетливо распознана. Хотя характер контура трещины A2 не так очевиден, область дефекта все же демонстрирует высокие температурные показатели по сравнению с окружающей бездефектной областью. Но трещины A3 и A4 с меньшими размерами трудно идентифицировать.
Рис. 13. Термограммы для трещин: A1 (a); A2 (б); A3, A4 (в)
Температурные данные о трещинах A1—A4 получаются отдельно для дальнейшего количественного анализа характерных различий трещин разного размера. Были выбраны две репрезентативные точки в области трещин и в бездефектной области для исследования коэффициента теплового контраста. Как было описано ранее, трещины A1 и A2 имеют одинаковую глубину 4 мм, но разную ширину (0,5 и 0,2 мм соответственно). Трещины A2, A3 и A4 имеют одинаковую ширину 0,2 мм, но разную глубину, которая составляет 4, 3 и 2 мм соответственно. Для трещин A1 и A2, которые имеют одинаковую глубину, но разную ширину, мы можем визуально определить, что более широкая трещина A1 показана более отчетливо, чем трещина A2 на рис. 14a. Для трещин A2, A3 и A4, которые имеют одинаковую ширину, но разную глубину, мы видим, что с увеличением глубины трещин трещины отображаются более отчетливо на полученных термограммах.
Рис. 14. Динамика изменения тепловых контрастов
ЗАКЛЮЧЕНИЕ
В данной работе изучается возможность использования метода ЭМТ для обнаружения трещин на резьбовой поверхности. В результате проведенных экспериментов с выявлением трещин и анализа термограмм и температурных данных, полученных в ходе эксперимента, были сделаны следующие выводы:
- На основании термограмм и температурных данных, полученных в ходе эксперимента, видно, что резьбовая поверхность демонстрирует относительно высокотемпературный чередующийся характер распределения, то есть выступы резьбы демонстрируют высокие температурные характеристики, а впадины резьбы — низкие температурные характеристики. Однако наличие трещин на резьбовой поверхности может привести к появлению на термограммах единичных значений температуры, значительно отличающихся от вышеупомянутых стандартных характеристик, что может быть использовано в качестве основы для выявления трещин на резьбовой поверхности с помощью метода ЭМТ.
- Экспериментально подтверждена целесообразность и применимость метода ЭМТ для распознавания трещин на резьбовой поверхности. Исследование показало, что метод ЭМТ может быстро и наглядно определить наличие и расположение нескольких трещин с различными характеристиками на резьбовой поверхности.
- Проведен тщательный анализ влияния таких ключевых параметров, как ориентация катушки возбуждения, расположение катушки возбуждения, амплитуда тока возбуждения и размер трещины, на эффективность контроля. Исследование показало, что ориентация катушки оптимальна, когда вихревой ток, генерируемый в образце, перпендикулярен трещине. Все трещины в пределах эффективного диапазона возбуждения катушки могут быть эффективно выявлены в одно и то же время. При дефектоскопии трещин амплитуда тока возбуждения должна быть выше соответствующего критического тока. Видимость трещин постепенно улучшается с увеличением глубины и ширины трещины.
В целом, результаты показывают, что метод ЭМТ является эффективным и практичным методом контроля трещин на резьбовых поверхностях. Он также применим к другому оборудованию с резьбовыми поверхностями в нефтегазовой промышленности (например, буровым инструментам, штангам и т. д.). Следующим шагом будет проектирование и разработка автоматической испытательной рамы для дальнейшего улучшения возможности применения метода ЭМТ для неразрушающего контроля оборудования нефтегазовой промышленности с резьбовыми поверхностями.
Работа финансово поддержана Национальной ключевой программой исследований и разработок Китая (2023YFC3009202).
Об авторах
Юбинь Чжан
Китайский нефтяной университет (Восточный Китай)
Автор, ответственный за переписку.
Email: chxu@upc.edu.cn
Китай, Циндао
Чангханг Сюй
Китайский нефтяной университет (Восточный Китай)
Email: chxu@upc.edu.cn
Китай, Циндао
Пэнцянь Лю
Китайский нефтяной университет (Восточный Китай)
Email: chxu@upc.edu.cn
Китай, Циндао
Руи Лю
Китайский нефтяной университет (Восточный Китай)
Email: chxu@upc.edu.cn
Китай, Циндао
Цин Чжао
Китайский нефтяной университет (Восточный Китай)
Email: chxu@upc.edu.cn
Китай, Циндао
Лонгбо Ванг
Китайский нефтяной университет (Восточный Китай)
Email: chxu@upc.edu.cn
Китай, Циндао
Цзин Се
Китайский нефтяной университет (Восточный Китай)
Email: chxu@upc.edu.cn
Китай, Циндао
Список литературы
- Huang J., Liu J., Gong H., Deng X. A comprehensive review of loosening detection methods for threaded fasteners // Mechanical Systems and Signal Processing. 2022. V. 168.
- Van Wittenberghe J., De Pauw J., De Baets P., De Waele W., Ost W., De Roeck G., Bui T.T. Fatigue investigation of threaded pipe connections // International Journal of Sustainable Construction and Design. 2010. V. 1. No.1.
- Shahani A.R., Sharifi S.M.H. Contact stress analysis and calculation of stress concentration factors at the tool joint of a drill pipe // Materials & Design. 2009. V. 30. P. 3615—3621.
- Lee H.-C., Choi J.-m., Lee B., Kim T.-G. Failure analysis of stress corrosion cracking in aircraft bolts // Engineering Failure Analysis. 2007. V. 14. P. 209—217.
- Escobar J.A., Romero A.F., Lobo-Guerrero J. Failure analysis of submersible pump system collapse caused by assembly bolt crack propagation by stress corrosion cracking // Engineering Failure Analysis. 2016. V. 60. P. 1—8.
- Uludag A. The Magnetic Particle Inspection Examination of Aircraft Propeller Mounting Bolts // Journal of Multidiciplinary Engineering Science and Technology (JMEST). 2016. V. 3. No. 12.
- Chen J., He R., Kang X., Yang X. Simulation and experiment for the inspection of stainless steel bolts in servicing using an ultrasonic phased array // Nondestructive Testing and Evaluation. 2015. V. 30. P. 373—386.
- Jinfeng D., Yihua K., Xinjun W. Tubing thread inspection by magnetic flux leakage // NDT & E International. 2006. V. 39. P. 53—56.
- She S., Liu Y., Zhang S., Wen Y., Zhou Z., Liu X., Sui Z., Ren D., Zhang F., He Y. Flexible Differential Butterfly-Shape Eddy Current Array Sensor for Defect Detection of Screw Thread // IEEE Sensors Journal. 2021. V. 21. P. 20764—20777.
- Knight M.J., Brennan F.P., Dover W.D. Effect of residual stress on ACFM crack measurements in drill collar threaded connections // NDT & E International. 2004. V. 37. P. 337—343.
- Zhang Y., Xu C., Liu P., Xie J., Han Y., Liu R., Chen L. One-dimensional deep convolutional autoencoder active infrared thermography: Enhanced visualization of internal defects in FRP composites // Composites Part B: Engineering. 2024. V. 272.
- Wang F., Wang Y., Liu J., Wang Y. The Feature Recognition of CFRP Subsurface Defects Using Low-Energy Chirp-Pulsed Radar Thermography // IEEE Transactions on Industrial Informatics. 2020. V. 16. P. 5160—5168.
- Liu P., Xu C., Zhang Y., Qin Y., Xu Y., Xie J., Song G. Low-power vibrothermography detection technique for surface cracks on composite sucker rod // Smart Materials and Structures. 2023. V. 32.
- Luo Z., Wang H., Huang Y., Shen P., Zheng E., Zhang H. Nondestructive detection of CFRP subsurface defects using transient lock-in thermography // Journal of Thermal Analysis and Calorimetry. 2024.
- Li X., Wang H., He Y., Wang Y. A Novel Methodology to Predict 3-D Surface Temperature Field on Delamination for Thermography // IEEE Transactions on Industrial Informatics. 2024. V. 20. P. 9670—9680.
- Liu G., Gao W., Liu W., Zou X., Xu J., Liu T. Debonds and Water-Filled Defects Detection in Honeycomb Sandwich Composites Based on Pulse Infrared Thermography NDT Technique // Russian Journal of Nondestructive Testing. 2023. V. 59. P. 583—591.
- Wang F., Liu J., Song P., Gong J., Peng W., Liu G., Chen M., Wang Y. Multimodal optical excitation pulsed thermography: Enhanced recognize debonding defects of the solid propellant rocket motor cladding layer // Mechanical Systems and Signal Processing. 2022. V. 163.
- Liu P., Xu C., Zhang Y., Chen L., Han Y., Liu R., Qin Y. Detection and quantification of corrosion defects in CFRP-strengthened steel structures based on low-power vibrothermography // Nondestructive Testing and Evaluation. 2024. P. 1—25.
- Chulkov A.O., Nesteruk D.A., Shagdyrov B.I., Vavilov V.P. Method and Equipment for Infrared and Ultrasonic Thermographic Testing of Large-Sized Complex-Shaped Composite Products // Russian Journal of Nondestructive Testing. 2021. V. 57. P. 619—626.
- Liu P., Xu C., Zhang Y., Chen L., Liu R., Wang L., Zhao Q. A combined inspection technique for debonding defects in CFRP-strengthened steel structures based on leaky Lamb wave and low-power vibrothermography // Journal of Thermal Analysis and Calorimetry. 2024.
- He H., Zhao Y., Lu B., He Y., Shen G., He Z., Wang H. Detection of Debonding Defects Between Radar Absorbing Material and CFRP Substrate by Microwave Thermography // IEEE Sensors Journal. 2022. V. 22. P. 4378—4385.
- Wilcox L.M., Donnell K.M. Modified Thermographic Signal-to-Noise Ratio for Active Microwave Thermography // IEEE Transactions on Instrumentation and Measurement. 2024. V. 73. P. 1—10.
- Li M., Wang L., Zou X. Nondestructive evaluation of carbon fiber reinforced polymer (CFRP)-timber interfacial debonding using active microwave thermography (AMT) // Construction and Building Materials. 2024. V. 422.
- Chen L., Zhang Y., Xie J., Liu P., Han Y., Liu R., Xu C., Song G. Simultaneous inspection of multi-kind defects in adhesively bonded CFRP/steel structures by inductive thermography // Infrared Physics & Technology. 2024. V. 138.
- Wang F., Sheng J., Sfarra S., Zhou Y., Xu L., Liu L., Chen M., Yue H., Liu J. Multimode infrared thermal-wave imaging in non-destructive testing and evaluation (NDT&E): Physical principles, modulated waveform, and excitation heat source // Infrared Physics & Technology. 2023. V. 135.
- Yang R., Du B., Duan P., HeY., Wang H., He Y., Zhang K. Electromagnetic Induction Heating and Image Fusion of Silicon Photovoltaic Cell Electrothermography and Electroluminescence // IEEE Transactions on Industrial Informatics. 2020. V. 16. P. 4413—4422.
- Miao L., Gao B., Li H., Lu X., Liu L., Woo W.L., Wu J. Novel interventional electromagnetic thermography for subsurface defect detection // International Journal of Thermal Sciences. 2023. V. 184.
- Ding S., Tian G., Zhu J., Chen X., Wang Y., Chen Y. Characterisation and evaluation of paint-coated marine corrosion in carbon steel using eddy current pulsed thermography // NDT & E International. 2022. V. 130.
- He Y., Tian G.Y., Pan M., Chen D., Zhang H. An investigation into eddy current pulsed thermography for detection of corrosion blister // Corrosion Science. 2014. V. 78. P. 1—6.
- Li K., Tian G.Y., Cheng L., Yin A., Cao W., Crichton S. State Detection of Bond Wires in IGBT Modules Using Eddy Current Pulsed Thermography // IEEE Transactions on Power Electronics. 2014. V. 29. P. 5000—5009.
- Peng J., Tian G.Y., Wang L., Zhang Y., Li K., Gao X. Investigation into eddy current pulsed thermography for rolling contact fatigue detection and characterization // NDT & E International. 2015. V. 74. P. 72—80.
- Cheng L., Gao B., Tian G.Y., Woo W.L., Berthiau G. Impact Damage Detection and Identification Using Eddy Current Pulsed Thermography Through Integration of PCA and ICA // IEEE Sensors Journal. 2014. V. 14. P. 1655—1663.
- Yi Q., Tian G.Y., Malekmohammadi H., Zhu J., Laureti S., Ricci M. New features for delamination depth evaluation in carbon fiber reinforced plastic materials using eddy current pulse-compression thermography // NDT & E International. 2019. V. 102. P. 264—273.
- Ren W., Liu J., Tian G.Y., Gao B., Cheng L., Yang H. Quantitative non-destructive evaluation method for impact damage using eddy current pulsed thermography // Composites Part B: Engineering. 2013. V. 54. P. 169—179.
- Chen Y., Xu Z., Wu J., He S., Roskosz M., Xia H., Kang Y. A Scanning Induction Thermography System for Thread Defects of Drill Pipes // IEEE Transactions on Instrumentation and Measurement. 2022. V. 71. P. 1—9.
Дополнительные файлы
















