The Features of Synergetic Interaction of Lower Extremities’ Skeletal Muscles under the Spinal Cord Electrical Stimulation
- Authors: Moiseev S.A.1, Gorodnichev R.M.1
-
Affiliations:
- Velikiye Luki State Academy of Physical Education and Sports
- Issue: Vol 49, No 1 (2023)
- Pages: 91-103
- Section: Articles
- URL: https://journal-vniispk.ru/0131-1646/article/view/139813
- DOI: https://doi.org/10.31857/S0131164622100319
- EDN: https://elibrary.ru/APYWXT
- ID: 139813
Cite item
Full Text
Abstract
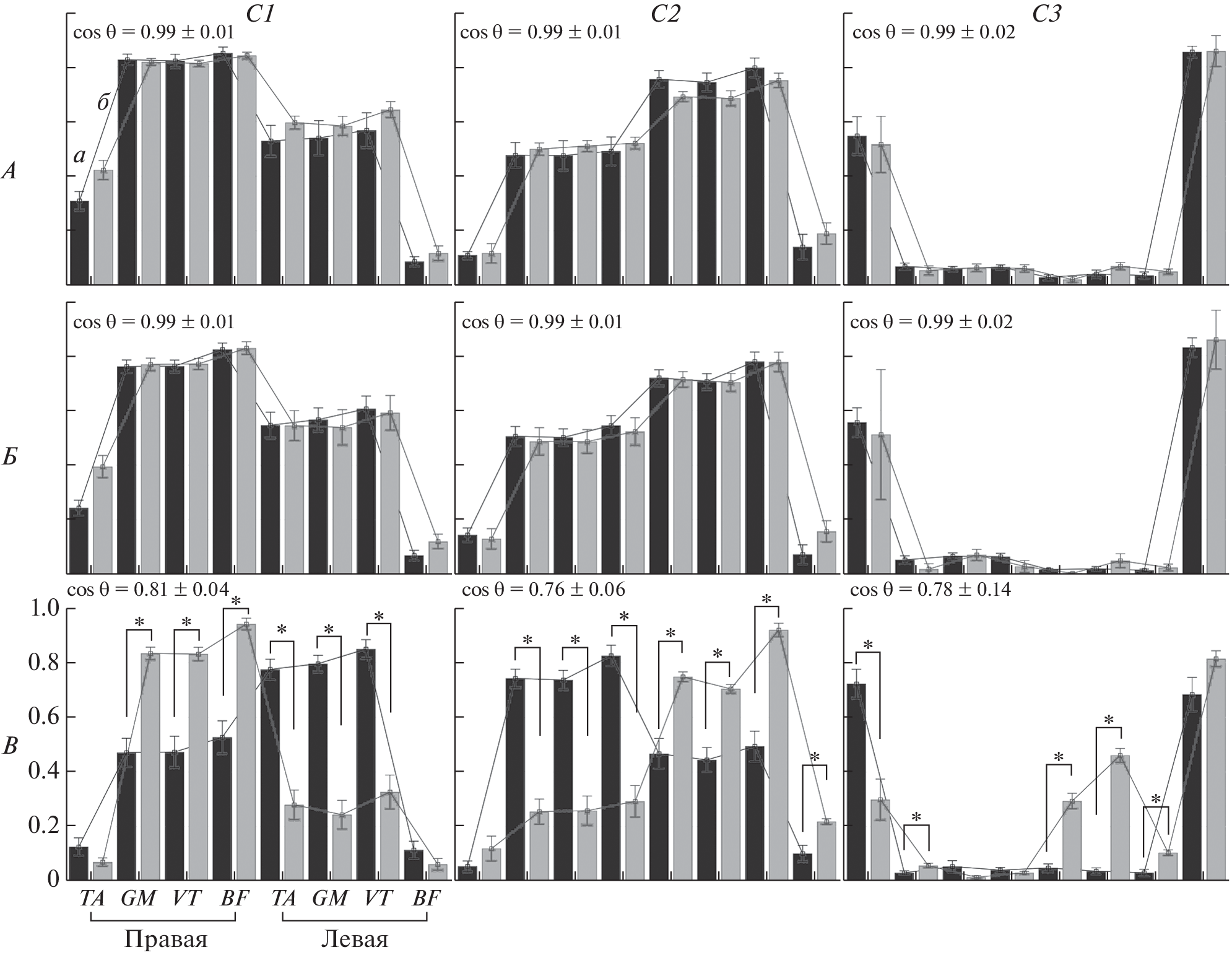
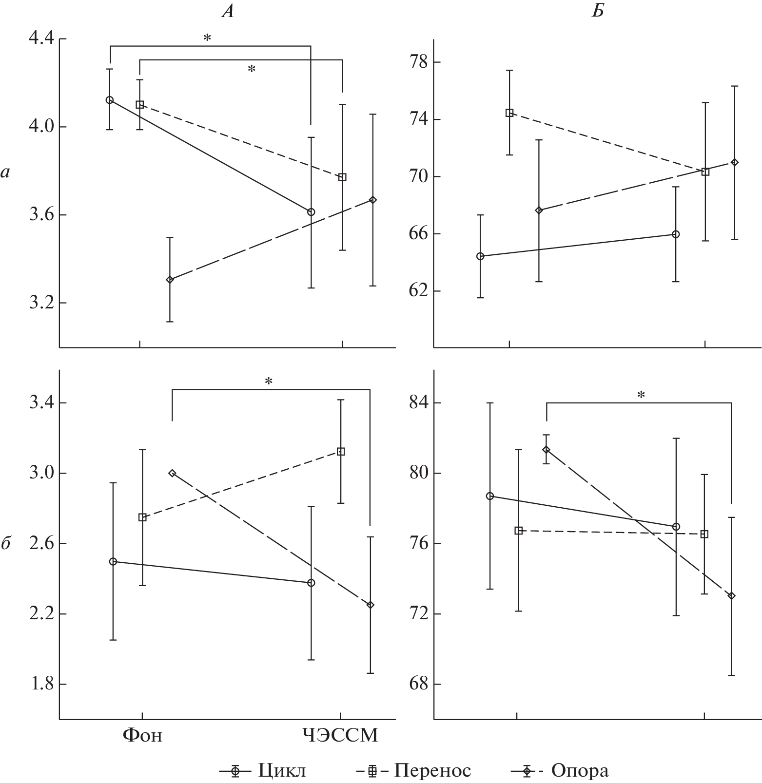
The aim of the work was to study the neural basis of the synergetic interaction of the lower extremities’ skeletal muscles during locomotor activity. It was supposed to determine the relationship of the locomotor-related neuronal networks with the centers regulating the spatiotemporal modes of muscle interaction in the structure of the step cycle and its periods. The subjects walked the treadmill both, under normal conditions and during spinal cord percutaneous electrical stimulation. The parameters of the synergies extracted using the principal component method were analyzed. The reorganization of neuronal activity of spinal locomotor-related networks, similar to adaptive processes that compensate for motor deficits in people with pathologies of the nervous system, has been revealed. Percutaneous electrical stimulation changed the reciprocal relations of bilateral lower extremities muscles in the structure of synergetic modules, mainly during the swing phase. The synergy structure demonstrated combined temporal profiles with several peaks of activity. During stimulation, the formation of a basic profile with a clear outline of the main fluctuations was revealed. The spatiotemporal structure of muscle synergy patterns during stance phase turned out to be more stable, which is probably due to an increase in afferentation from the foot support-sensetive zones, which creates optimal conditions for initiating the central generators of locomotor pattern.
About the authors
S. A. Moiseev
Velikiye Luki State Academy of Physical Education and Sports
Author for correspondence.
Email: sergey_moiseev@vlgafc.ru
Russia, Velikiye Luki
R. M. Gorodnichev
Velikiye Luki State Academy of Physical Education and Sports
Email: sergey_moiseev@vlgafc.ru
Russia, Velikiye Luki
References
- Бернштейн Н.А. Очерки по физиологии движений и физиологии активности. М.: Медицина, 1966. 349 с.
- Гельфанд И., Цетлин М. О некоторых способах управления сложными системами // УМН. 1962. Т. 17. № 1(103). С. 3. Gel’fand I.M., Tsetlin M.L. Some methods of control for complex systems // Uspekhi Mat. Nauk. 1962. V. 17. № 1(103). P. 3.
- Cheung V., Cheung B., Zhang J. et al. Plasticity of muscle synergies through fractionation and merging during development and training of human runners // Nat. Commun. 2020. V. 11. № 1. P. 4356.
- Latash M. One more time about motor (and non-motor) synergies // Exp. Brain Res. 2021. V. 239. № 10. P. 2951.
- Laine C., Martinez-Valdes E., Falla D. et al. Motor neuron pools of synergistic thigh Muscles share most of their synaptic input // J. Neurosci. 2015. V. 35. № 35. P. 12207.
- Фельдман А. Центральные и рефлекторные механизмы управления движениями. М.: Наука, 1979. 183 с.
- Feldman A., Mindy F., Garofolini L. et al. Central pattern generator and human locomotion in the context of referent control of motor actions // Clin. Neurophysiol. 2021. V. 132. № 11. P. 2870.
- Madarshahian S., Latash M. Reciprocal and coactivation commands at the level of individual motor units in an extrinsic finger flexor–extensor muscle pair // Exp. Brain Res. 2022. V. 240. № 1. P. 321.
- Sayenko D., Atkinson D., Dy C. et al. Spinal segment-specific transcutaneous stimulation differentially shapes activation pattern among motor pools in humans // J. Appl. Physiol. 2015. V. 118. № 11. P. 1364.
- Городничев Р., Пухов А., Моисеев С. Регуляция фаз шагательного цикла при неинвазивной электрической стимуляции спинного мозга // Физиология человека. 2021. Т. 47. № 1. С. 73. Gorodnichev R., Pukhov A., Moiseev S. Regulation of gait cycle phases during noninvasive electrical stimulation of the spinal cord // Human Physiology. 2021. V. 47. № 1. P. 60.
- Altenburger K., Bumke O., Foerster O. Allgemeine neurologie. Handbuch der Neurologie. Berlin: Verlag von Julius Springer, 1937. S. 747.
- Moiseev S., Pukhov A., Mikhailova E. et al. Methodological and computational aspects of extracting extensive muscle synergies in moderate-intensity locomotions // J. Evol. Biochem. Phys. 2022. V. 58. P. 88.
- Моисеев С., Иванов С., Городничев Р. Особенности организации двигательных синергий на разных уровнях управления сложнокоординационным движением человека // Рос. физиол. журн. им. И.М. Сеченова. 2022. Т. 108. № 4. С. 1.
- Персон Р. Электромиография в исследованиях человека. М.: Наука, 1969. 231 с.
- Moshonkina T., Grishin A., Bogacheva I. et al. Novel non-invasive strategy for spinal neuromodulation to control human locomotion // Front. Hum. Neurosci. 2021. V. 14. P. 622533.
- Grishin A., Bobrova E., Reshetnikova V. et al. A system for detecting stepping cycle phases and spinal cord stimulation as a tool for controlling human locomotion // Biomed. Eng. 2021. V. 54. № 5. P. 312.
- Rybak I.A., Shevtsova N.A., Lafreniere-Roula M., McCrea D.A. Modelling spinal circuitry involved in locomotor pattern generation: insights from deletions during fictive locomotion // J. Physiol. 2006. V. 577. Pt. 2. P. 617.
- Rybak I.A., Stecina K., Shevtsova N.A., McCrea D.A. Modelling spinal circuitry involved in locomotor pattern generation: insights from the effects of afferent stimulation // J. Physiol. 2006. V. 577. Pt. 2. P. 641.
- Churchland M., Cunningham J., Kaufman M. et al. Neural population dynamics during reaching // Nature. 2012. V. 487. № 7405. P. 51.
- Hogan N., Sternad D. On rhythmic and discrete movements: reflections, definitions and implications for motor control // Exp. Brain Res. 2007. V. 181. № 1. P. 13.
- Frère J., Göpfert B., Slawinski J. et al. Shoulder muscles recruitment during a power backward giant swing on high bar: a wavelet-EMG-analysis // Hum. Mov. Sci. 2012. V. 31. № 2. P. 472.
- Frère J. Spectral properties of multiple myoelectric signals: New insights into the neural origin of muscle synergies // Neuroscience. 2017. V. 355. P. 22.
- Laine C., Valero-Cuevas F. Intermuscular coherence reflects functional coordination // J. Neurophysiol. 2017. V. 118. № 3. P. 1775.
- Madarshahian S., Letizi J., Latash M. Synergic control of a single muscle: The example of flexor digitorum superficialis // J. Physiol. 2021. V. 599. № 4. P. 1261.
- Ivanenko Y., Poppele R., Lacquaniti F. Motor control programs and walking // Neuroscientist. 2006. V. 12. № 4. P. 339.
- Janshen L., Santuz A., Arampatzis A. Muscle synergies in patients with multiple sclerosis reveal demand-specific alterations in the modular organization of locomotion // Front. Hum. Neurosci. 2021. V. 14. P. 593365.
- Mileti I., Zampogna A., Santuz A. et al. Muscle synergies in parkinson’s disease // Sensors (Basel). 2020. V. 20. № 11. P. 3209.
- Janshen L., Santuz A., Ekizos A., Arampatzis A. Fuzziness of muscle synergies in patients with multiple sclerosis indicates increased robustness of motor control during walking // Sci. Rep. 2020. V. 10. № 1. P. 7249.
- Van Criekinge T., Vermeulen J., Wagemans K. et al. Lower limb muscle synergies during walking after stroke: a systematic review // Disabil. Rehabil. 2020. V. 42. № 20. P. 2836.
- Cheung V., Cheung B., Zhang J. et al. Plasticity of muscle synergies through fractionation and merging during development and training of human runners // Nat. Commun. 2020. V. 11. № 1. P. 4356.
- Yokoyama H., Kato T., Kaneko N. et al. Basic locomotor muscle synergies used in land walking are finely tuned during underwater walking // Sci. Rep. 2021. V. 11. № 1. P. 18480.
- Mileti I., Serra A., Wolf N. et al. Muscle activation patterns are more constrained and regular in treadmill than in overground human locomotion // Front. Bioeng. Biotechnol. 2020. V. 8. P. 581619.
- Mehryar P., Shourijeh M., Rezaeian T. et al. Differences in muscle synergies between healthy subjects and transfemoral amputees during normal transient-state walking speed // Gait Posture. 2020. V. 76. P. 98.
- Santuz A., Ekizos A., Eckardt N. Challenging human locomotion: stability and modular organisation in unsteady conditions // Sci. Rep. 2018. V. 8. № 1. P. 2740.
- Saito H., Yokoyama H., Sasaki A. et al. Flexible recruitments of fundamental muscle synergies in the trunk and lower limbs for highly variable movements and postures // Sensors (Basel). 2021. V. 21. № 18. P. 6186.
- Santuz A., Akay T., Mayer W. et al. Modular organization of murine locomotor pattern in the presence and absence of sensory feedback from muscle spindles // J. Physiol. 2019. V. 597. № 12. P. 3147.
- Григорьев А., Козловская И., Шенкман Б. Роль опорной афферентации в организации тонической мышечной системы // Рос. физиол. журн. им. И.М. Сеченова. 2004. Т. 90. № 5. С. 508.
- Томиловская Е.С., Мошонкина Т.Р., Городничев Р.М. и др. Механическая стимуляция опорных зон стоп: неинвазивный способ активации генераторов шагательных движений у человека // Физиология человека. 2013. Т. 39. № 5. С. 34. Tomilovskaya E., Moshonkina T., Gorodnichev R. et al. Mechanical stimulation of the support zones of soles: the method of noninvasive activation of the stepping movement generators in humans // Human Physiology. 2013. V. 39. № 5. P. 480.
Supplementary files







