Влияние "сухой" иммерсии на характеристики управления джойстиком при выполнении зрительно-двигательной задачи у мужчин и женщин
- Авторы: Миллер Н.В.1, Зобова Л.Н.1, Бадаква А.М.1
-
Учреждения:
- ФГБУН ГНЦ РФ – Институт медико-биологических проблем РАН
- Выпуск: Том 50, № 4 (2024)
- Страницы: 49-58
- Раздел: Статьи
- URL: https://journal-vniispk.ru/0131-1646/article/view/268054
- DOI: https://doi.org/10.31857/S0131164624040042
- EDN: https://elibrary.ru/BTNMNI
- ID: 268054
Цитировать
Полный текст
Аннотация
Проведено исследование влияния "сухой" иммерсии (СИ) на характеристики управления джойстиком при выполнении зрительно-двигательной задачи у мужчин и женщин. Показано, что в первые дни СИ происходило ухудшение выполнения зрительно-моторной задачи – увеличение временных показателей и уменьшение точности движения. К концу СИ большинство параметров возвращалось к контрольному уровню, указывая на адаптацию механизмов управления движения руки к условиям иммерсии. Однако при схожести влияния СИ на изменения параметров траекторий движения у мужчин и женщин было показано, что как в контроле, так и в СИ женщины выполняли предъявляемую зрительно-двигательную задачу быстрее и точнее за счет большего латентного времени. В первые дни СИ характеристики выполнения задачи у женщин изменялись меньше, чем у мужчин, что говорило о лучшей адаптации женщин к условиям СИ. В процессе адаптации к факторам СИ у мужчин и женщин по-разному менялась стратегия выполнения зрительно-двигательной задачи.
Ключевые слова
Полный текст
Операторская деятельность является ведущей профессиональной деятельностью космонавтов в космическом полете (КП). В связи с этим накоплено большое количество данных, показывающих негативное влияние невесомости на механизмы управления движением, связанные с гравитационно-зависимыми сенсорными входами [1–3]. Это приводит к значительному увеличению продолжительности и снижению точности движения [4, 5]. Эти данные приводят к выводу, что стратегия управления двигательными процессами в условиях микрогравитации, по-видимому, направлена на поддержание точности движений за счет их замедления. Однако по данным других авторов [6], замедление движения рук в КП не сопровождалось уменьшением точности движений, и не было напрямую связано с дефицитом сенсомоторной координации.
Исследования магнитно-резонансной томографии (МРТ) до и после полета показывают, что длительное воздействие микрогравитации вызывает анатомические и структурные изменения в стволе головного мозга, гиппокампе и сенсомоторной коре, особенно в моторных и вестибулярных областях коры головного мозга [7–10]. Например, в [7], было выявлено двустороннее очаговое увеличение серого вещества в медиальной первичной соматосенсорной и моторной коре, которое могло быть связано со сдвигами жидкости в головном мозге или нейропластичностью, что также может приводить к ухудшению моторного управления и значительным рискам при выполнении операторской деятельности в КП.
Исследования в КП не всегда возможны и финансово затратны, поэтому для изучения влияния факторов КП на живые организмы и разработки профилактических средств для космонавтов широко используются наземные эксперименты, моделирующие факторы КП. Иммерсионные модели [1, 11], воспроизводящие такие факторы КП как снижение статических и динамических мышечных нагрузок, перераспределение жидких сред организма, снятие опорной нагрузки с рецепторной поверхности стоп, уменьшение притока тактильной и проприоцептивной афферентации в структуры центральной нервной системы [7, 12, 13], наиболее часто используются для изучения механизмов движения.
Ранее в исследованиях на обезьянах нами было установлено, что опорная разгрузка в условиях трехчасовой водной иммерсии не оказывает заметного влияния на функциональное состояние нейронов представительства руки в первичной моторной коре [14]. Вместе с тем такая опорная разгрузка изменяла паттерны движений курсора во время выполнения зрительно-двигательной задачи, заключающейся в его перемещении с помощью джойстика на одну из восьми мишеней, появляющихся в случайном порядке, что, по-видимому, свидетельствовало об изменении функционирования структур заднетеменной коры, участвующих в планировании и коррекции движений руки [15].
Наряду с мужчинами в КП все чаще стали принимать участие и женщины. Для обеспечения здоровья и безопасности космонавтов во время длительных КП крайне важно изучить и понять влияние межполовых различий на физиологические и психологические изменения, происходящие во время КП. Пол может оказывать влияние на сенсомоторную адаптацию, поскольку мужчины и женщины различаются по многим сенсорным системам, нейронной анатомии и функциональным реакциям. Межполовые различия были продемонстрированы во многих областях, в том числе и в моторных навыках [16]. Между мужчинами и женщинами существуют нейрофизиологические, сенсомоторные и сенсорные различия, связанные с КП. Наиболее отчетливо эти различия наблюдаются в анатомии нервной системы и функциональных реакциях. Было показано, что ортостатическая неустойчивость после КП чаще встречается у женщин, чем у мужчин, женщины чаще подвержены укачиванию, а также у женщин наблюдается большая, чем у мужчин, потеря объема плазмы, во время КП [17–19]. Однако межполовые различия в воздействии КП, в частности, при управлении движениями во время операторской деятельности в КП, недостаточно изучены, потому что отряды космонавтов и астронавтов были и пока остаются в основном мужскими.
Цель данного исследования – оценить влияние СИ на характеристики управления джойстиком при выполнении зрительно-двигательной задачи у мужчин и женщин.
МЕТОДИКА
В исследовании принимали участие 24 испытуемых: 10 мужчин (30.8 ± 4.6 лет) и 14 женщин (28.9 ± 5.1 лет). У каждого мужчины было проведено по 11 тестирований: 4 – до иммерсии (2 – за 7 дней и 2 – за 3 дня до начала СИ), 4 – во время иммерсии (в 1, 3, 4, и 6 день СИ – СИ1, СИ3, СИ4 и СИ6) и 3 – после иммерсии (через 1, 4 и 7 дней – СИ+1, СИ+4, СИ+7). У каждой женщины было проведено по 8 тестирований: 3 – до СИ (за 7, 5 и 3 дня до начала СИ), 3 – во время СИ (СИ1, СИ3, СИ5) и 2 – после СИ (СИ+1, СИ+5). В ходе СИ исследование проводили в ванне, выемки испытателей не требовалось. Исследования до начала и после СИ проводили на кушетке. В качестве контрольных использовали последние перед СИ тестирования, поскольку первые отводились для тренировки навыка выполнения предъявляемой задачи.
Все испытуемые во время тестирования находились в горизонтальном положении, под голову подкладывали валик. На расстоянии 40 см от глаз устанавливали экран монитора с комфортным для работы наклоном. Управление курсором на экране монитора испытуемый осуществлял с помощью джойстика, закрепленного справа от экрана, при этом плечо лежало вдоль тела, а предплечье было поднято вертикально вверх. Движение осуществлялось кистью и пальцами в плоскости, перпендикулярной оси тела. Испытуемые выполняли зрительно-двигательную задачу перевода курсора (кружок диаметром 1.5 см) из центра экрана на одну из появляющихся в случайном порядке периферических мишеней. Мишень диаметром 2 см предъявляли в одном из 8 фиксированных положений, лежащих на окружности с центром, совпадающим с центром экрана. Необходимо было перевести курсор из центрального "стартового" круга диаметром 2.5 см внутрь мишени и удерживать его там 500 мс, после чего цвет мишени меняли, что означало правильное выполнение. После возвращения курсора в центр экрана начинался следующий цикл предъявления мишени. На выполнение одного цикла отводили максимально 10 с. За 15 мин тестирования испытуемый должен был выполнить не менее 200 циклов.
Координаты положения курсора регистрировали с частотой 25 Гц. По зарегистрированным записям перемещения курсора, с учетом сценария предъявления мишеней, рассчитывали временные и геометрические характеристики траекторий движения курсора.
С помощью программы, написанной в MatLab, вычисляли усредненные (M ± sd) для каждой из 8 мишеней и для всех мишеней за сеанс тестирования параметры: длительность выполнения задачи T (время от начала предъявления периферической мишени до изменения ее цвета); "латентное" время реакции tлат (время от предъявления мишени до выхода курсора из центрального круга); время движения курсора по траектории tтр (время от выхода курсора из центрального круга до попадания его на мишень) и относительную длину траектории, как отношение длины траектории курсора к длине прямой линии от центра до касания мишени (Lтр).
Кроме того, при обработке траекторий движения курсора для характеристики точности его движения к мишени вычисляли косинус угла между текущим направлением движения курсора и текущим направлением на мишень с шагом в 40 мс. При текущем направлении движения курсора, перпендикулярном текущему направлению на мишень, значение косинуса равно нулю, а при совпадении направлений – единице, т.е. чем ближе показатель к 1, тем точнее движение курсора к мишени. Усредненное значение величины Cos(ɑ)ср (усреднение за время "активной" траектории по всем мишеням за весь сеанс) можно рассматривать как интегральный показатель влияния различных областей коры мозга испытуемого на планирование и контроль движения руки при управлении курсором во время выполнения двигательной задачи.
Учитывая большие индивидуальные различия, для более адекватного анализа влияния СИ на выполнение задачи, было также проведено сравнение параметров, предварительно индивидуально пронормированных к контрольным значениям и представленных в процентах к контрольному уровню.
Сравнение влияния СИ на параметры выполнения задачи мужчинами и женщинами проводили в 4-х точках, когда были тестирования и у мужчин, и у женщин: контроль, 1-й и 3-й дни СИ (СИ1 и СИ3) и 1-й день после завершения СИ (СИ+1).
Статистическую обработку данных проводили с применением дисперсионного анализа и критерия Стьюдента с учетом поправки Бонферрони на число множественных сравнений с предварительной оценкой нормальности распределения. Достоверность отличий оценивали на уровне p < 0.01. Данные представлены в виде Среднее ± Стандартная ошибка (M ± se).
РЕЗУЛЬТАТЫ ИССЛЕДОВАНИЯ И ИХ ОБСУЖДЕНИЕ
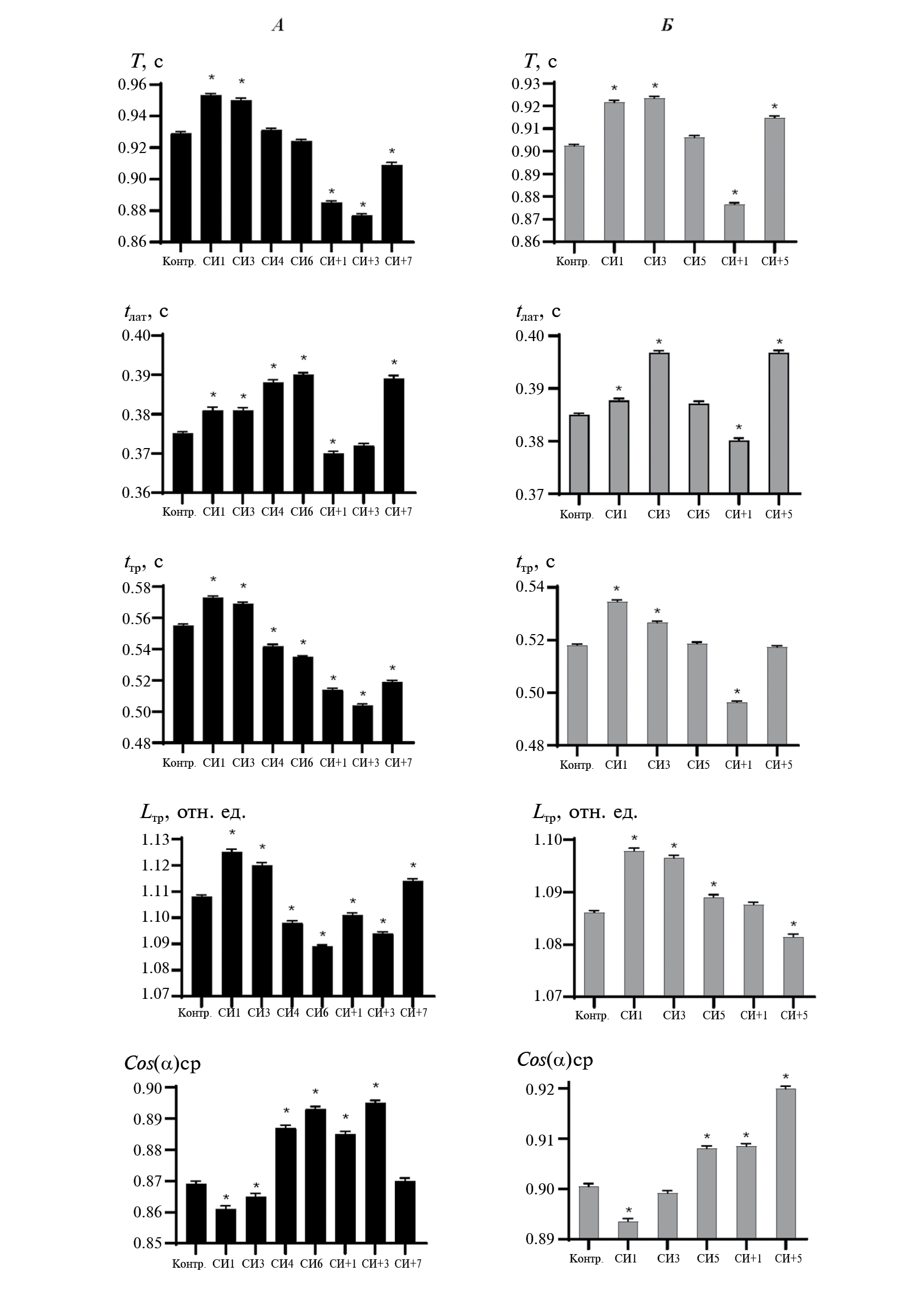
Исследование показало, что паттерн изменения характеристик траекторий движения курсора при выполнении зрительно-моторной задачи у мужчин и женщин имеет много общего. На рис. 1 показана динамика усредненных (M ± se) по всем мишеням за сеанс тестирования параметров траекторий движения курсора и объединенных по группам мужчин (черные столбики) и женщин (серые столбики). Как у мужчин, так и у женщин параметры изменялись, отражая ухудшение выполнения задачи в первые дни СИ (СИ1, СИ3): достоверное увеличение всех временных параметров – (T, tлат, tтр) и ухудшение параметров, характеризующих точность – Lтр и Cos(ɑ)ср (p < 0.01).
Рис. 1. Динамика усредненных (M ± se) по всем мишеням за сеанс тестирования параметров траекторий движения курсора. А — у мужчин (черные столбики), Б — у женщин (серые столбики). Звездочки — достоверные отличия от контрольных значений (p < 0.01).
К концу СИ параметры возвращались к контрольному уровню или становились даже лучше, за исключением латентного времени у мужчин, которое продолжало увеличиваться до конца СИ. В 1-й день после завершения СИ как у мужчин, так и у женщин большинство параметров движения курсора становятся лучше контрольных. В период восстановления после СИ наблюдались колебания параметров с тенденцией к возвращению к контрольному уровню.
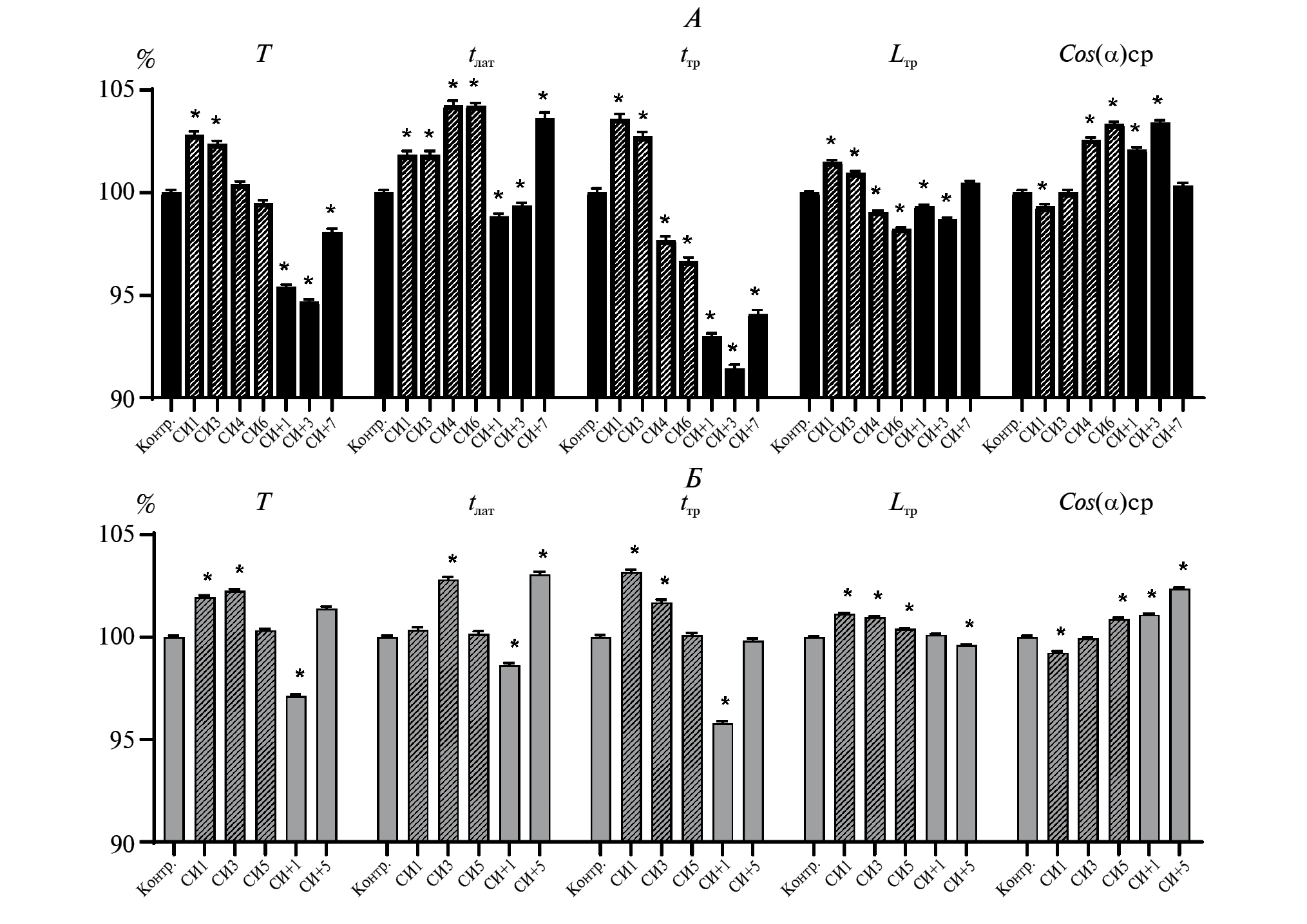
Для более адекватного анализа степени влияния СИ на выполнение задачи мужчинами и женщинами значения параметров, полученные в СИ и после СИ, были предварительно индивидуально пронормированы к контрольным значениям, объединены по группам и представлены в процентах относительно контроля, принимаемого за 100% (M ± se) (рис. 2). Изменения параметров были более выражены у мужчин, при этом наибольшие изменения в первые дни СИ как у мужчин, так и у женщин наблюдались во временных параметрах, особенно во времени движения курсора по траектории tтр – увеличение относительно контрольных значений до 103.58 ± 0.24% (против 100.00 ± 0.20 %) у мужчин (p < 0.01) и до 103.17 ± 0.13% (против 100.00 ± 0.11%) у женщин (p < 0.01) в первый день СИ. Однако к концу СИ этот параметр у женщин возвращается к контрольному уровню, а у мужчин становится достоверно меньше (96.67 ± 0.17%, p < 0.01). После СИ tтр и у мужчин, и у женщин меньше, чем в контроле: у мужчин опускается до значений 91.44 ± 0.17% (p < 0.01), а у женщин – до 95.80 ± 0.11% (p < 0.01), и затем возвращается к контрольному уровню у женщин, а у мужчин стремится к нему. Латентное время (tлат) у мужчин увеличивается до конца СИ (до 104.25 ± 0.23% против 100.00 ± 0.12%; p < 0.01), в то время как у женщин, увеличившись на 3-й день (102.81 ± 0.12% против 100.00 ± 0.07%; p < 0.01), к концу СИ этот параметр не отличается от контрольного. После СИ tлат как у мужчин, так и у женщин также сначала достоверно уменьшается (у мужчин 98.86 ± 0.13%, p < 0.01; у женщин 98.63 ± 0.11%, p < 0.01), а затем вновь увеличивается, становясь достоверно больше, чем в контроле (у мужчин 103.63 ± 0.28%, p < 0.01; у женщин 103.05 ± 0.13%, p < 0.01). Динамика длительности выполнения задачи (T) отражает адаптацию к изменяющимся условиям за счет изменения как латентного времени, так и времени движения. В начале СИ как у мужчин, так и у женщин T достоверно увеличена (у мужчин 102.83 ± 0.16% против 100.00 ± 0.13%, p < 0.01; у женщин 103.05 ± 0.13% против 100.00 ± 0.07%, p < 0.01). К концу СИ и у мужчин, и у женщин T возвращается к контрольному уровню. После СИ, в период реадаптации T достоверно уменьшается (у мужчин 94.68 ± 0.12%, p < 0.01; у женщин 97.12 ± 0.07%, p < 0.01) и затем опять возвращается к контрольному уровню у женщин и стремится к нему у мужчин.
Рис. 2. Динамика индивидуально пронормированных к контрольным значениям, и затем усредненных (M ± se) по группе и по всем мишеням за сеанс тестирования параметров траекторий движения курсора. А — у мужчин (черные столбики); Б — у женщин (серые столбики). Для удобства восприятия данные, относящиеся к СИ, выделены штриховкой. Звездочки – достоверные отличия от контрольных значений (p < 0.01).
Изменения параметров, отражающих точность движения, не столь выражены. В первые дни СИ длина траектории (Lтр) и у мужчин, и у женщин достоверно увеличивается (у мужчин 101.48 ± 0.06% против 100.00 ± 0.06%, p < 0.01; у женщин 101.13 ± 0.05% против 100.00 ± 0.03%, p < 0.01), а Cos(α)ср уменьшается (у мужчин 99.32 ± 0.12% против 100.00 ± 0.12%, p < 0.01; у женщин 99.24 ± 0.06% против 100.00 ± 0.06%, p < 0.01). К концу СИ у женщин Lтр возвращается к контрольному уровню, а Cos(α)ср становится даже больше, на 0.8%, и эти параметры продолжают улучшаться до 5-го дня после окончания СИ (Lтр – 99.60 ± 0.04%, p < 0.01; Cos(α)ср – 102.37 ± 0.06%, p < 0.01). У мужчин колебания этих параметров более выражены – после ухудшения в первые дни СИ они достоверно улучшаются к 6-му дню СИ (Lтр – 98.25 ± 0.06%, p < 0.01; Cos(α)ср – 103.35 ± 0.11%, p < 0.01), но к 7-му дню после СИ они возвращаются к контрольному уровню.
Однако, несмотря на столь одинаковый паттерн изменения характеристик движений курсора под влиянием СИ, было отмечено, что значения параметров как в контроле, так и во время и после СИ у женщин и мужчин отличаются. Количественное сравнение было проведено в 4-х точках, когда проводились тестирования и у мужчин, и у женщин – контроль, 1-й и 3-й дни СИ и 1-й день после СИ, оно подтвердило достоверность этих отличий (рис. 3, А): все исследуемые параметры во все дни сравнения у мужчин и женщин достоверно отличались (p < 0.01), указывая на то, что женщины в целом выполняют задачу лучше – быстрее и точнее, при том, что латентное время у них было больше. Это, возможно, свидетельствует о лучшем планировании движений у женщин.
Рис. 3. Сравнение усредненных (M ± se) по всем мишеням за сеанс тестирования параметров траекторий движения курсора у мужчин (черные столбики) и у женщин (серые столбики). А – данные, представленные в измеряемых единицах. Б — те же данные, представленные в процентах к контрольным значениям. Звездочки — достоверные отличия значений у мужчин и женщин в дни сравнения (p < 0.01).
Для количественного сравнения влияния СИ на выполнение задачи мужчинами и женщинами в эти же дни исследований (СИ1, СИ3 и СИ+1) было проведено сравнение процентных (относительно контрольных значений) изменений параметров (рис. 3, Б). В первый день СИ у мужчин наблюдается достоверно большее ухудшение 3-х параметров: T (102.83 ± 0.16% у мужчин против 101.95 ± 0.09% у женщин, p < 0.01), tлат (101.83 ± 0.20% у мужчин против 101.35 ± 0.12% у женщин, p < 0.01) и Lтр (101.48 ± 0.10% у мужчин против 101.13 ± 0.05% у женщин, p < 0.01). На третий день СИ изменение T относительно контроля у мужчин и женщин не отличается, однако при этом изменение tлат становится достоверно больше у женщин (101.82 ± 0.20% у мужчин против 102.81 ± 0.12% у женщин, p < 0.01), а tтр, наоборот, – достоверно больше у мужчин (101.72 ± 0.23% у мужчин против 101.70 ± 0.12% у женщин, p < 0.01). При этом изменения точностных параметров у мужчин и женщин не отличаются. В первый день после завершения СИ все параметры, за исключением tлат, у мужчин достоверно больше отличаются от контрольного уровня, чем у женщин (T: 95.41 ± 0.12% у мужчин против 97.12 ± 0.07% у женщин, p < 0.01; tтр: 92.97 ± 0.17% у мужчин против 95.80 ± 0.10% у женщин, p < 0.01; Lтр: 99.34 ± 0.08% у мужчин против 100.11 ± 0.04% у женщин, p < 0.01; Cos(α)ср: 102.10 ± 0.11% у мужчин против 101.08 ± 0.06% у женщин, p < 0.01), что, по-видимому, связано с большей продолжительностью СИ у мужчин.
Анализ полученных данных показал, что как у мужчин, так и у женщин в первые дни опорной разгрузки в условиях СИ происходит достоверное изменение параметров, указывающее на ухудшение выполнения зрительно-моторной задачи, – увеличение временных показателей и уменьшение точности движения. Ухудшение точности движений руки в первый день СИ было отмечено ранее [20] при исследовании характеристик циклических точностных движений руки. При выполнении быстрых движений прицеливания в КП [6, 21, 22] наблюдалось общее замедление движений, т.е. пиковые ускорения уменьшались, что приводило к увеличению времени движения, и увеличивались ошибки позиционирования. Также в КП было показано увеличение продолжительности горизонтальных движений руки при указывании на визуальные цели [21], однако точность движений в этом исследовании не изменялась. Такие же результаты были получены при исследовании в КП характеристик движения рук космонавтов к визуальным целям [6]. Исследование с применением локальной, приложенной к руке гравитационной разгрузки [4] показало значительное увеличение продолжительности движения и снижение его точности. Таким образом, наши данные, полученные в СИ, позволяют утверждать, что СИ является адекватной моделью для изучения влияния КП на характеристики управления движениями руки.
Существуют работы, показывающие различия в выполнении точностных движений у мужчин и женщин [23–25]. Вопрос о том, сохраняются ли эти различия в КП, пока не исследован. Наше исследование показало, что при сходной динамике изменений характеристик движений курсора в СИ у мужчин и женщин сохраняются групповые различия, наблюдавшиеся в контроле.
В первые дни СИ у мужчин наблюдалось более выраженное, чем у женщин, изменение временных и точностных параметров движений курсора, что говорит о меньшей адаптивности мужчин к условиям СИ и согласуется с литературными данными о лучшей приспособленности женского организма к стрессорным воздействиям [26, 27]. Однако сравнительных данных о стрессоустойчивости мужчин и женщин в КП и модельных экспериментах крайне мало [27, 28].
В процессе адаптации, к четвертому-шестому дню СИ, время выполнения задачи (T) возвращается к контрольному уровню. Однако, в отличие от женщин, у мужчин это происходит за счет изменения стратегии выполнения задачи – при увеличении латентного периода время движения курсора уменьшается.
ВЫВОДЫ
- Исследование показало, что паттерны изменения параметров движения курсора при выполнении зрительно-двигательной задачи под влиянием СИ были схожи у мужчин и женщин. В первые дни СИ происходило достоверное изменение параметров, указывающее на ухудшение выполнения зрительно-моторной задачи, – увеличение временных показателей и уменьшение точности движения. К концу СИ значения большинства параметров возвращались к контрольному уровню, а в некоторых случаях становились даже лучше, указывая на адаптацию механизмов управления движения руки к условиям иммерсии. В первый день после завершения СИ как у мужчин, так и у женщин значения всех параметров лучше контрольных или не отличаются от них.
- Данные, полученные в настоящем исследовании, позволяют утверждать, что СИ является адекватной моделью для изучения влияния КП на операторскую деятельность.
- Однако, было показано, что при схожести влияния СИ на изменения параметров траекторий движения у мужчин и женщин как в контроле, так и в СИ, женщины выполняли предъявляемую зрительно-моторную задачу быстрее и точнее за счет большего латентного времени, что может свидетельствовать о лучшем планировании движений.
- Влияние факторов СИ в первые дни на мужчин больше, чем на женщин, что говорит о лучшей адаптации женщин к данным условиям.
- В процессе адаптации к условиям СИ у мужчин и женщин по-разному меняется стратегия выполнения зрительно-двигательной задачи.
Финансирование работы. Исследования проведены при поддержке РАН (№ FMFR-2024-0033).
Соблюдение этических стандартов. Все исследования проводились в соответствии с принципами биомедицинской этики, изложенными в Хельсинкской декларации 1964 г. и последующих поправках к ней. Они также были одобрены Комиссией по биомедицинской этике Института медико-биологических проблем РАН (Москва), протокол № 594 от 06.09.2021 г. и протокол № 615 от 06.06.2022 г.
Каждый участник исследования дал добровольное письменное информированное согласие после получения разъяснений о потенциальных рисках и преимуществах, а также о характере предстоящего исследования.
Конфликт интересов. Авторы данной работы заявляют, что у них нет конфликта интересов.
Благодарности. Авторы выражают благодарность испытателям, принявшим участие в исследованиях, а также всем сотрудникам Института медико-биологических проблем РАН (Москва), обеспечивавших их проведение.
Об авторах
Н. В. Миллер
ФГБУН ГНЦ РФ – Институт медико-биологических проблем РАН
Автор, ответственный за переписку.
Email: nvmiller@mail.ru
Россия, Москва
Л. Н. Зобова
ФГБУН ГНЦ РФ – Институт медико-биологических проблем РАН
Email: nvmiller@mail.ru
Москва
А. М. Бадаква
ФГБУН ГНЦ РФ – Институт медико-биологических проблем РАН
Email: nvmiller@mail.ru
Россия, Москва
Список литературы
- Козловская И.Б. Гравитация и позно-тоническая двигательная система // Авиакосм. и эколог. мед. 2017. Т. 51. № 3. С. 5.
- Корнилова Л.Н., Наумов И.А., Глухих Д.О. и др. Вестибулярная функция и космическая болезнь движения // Физиология человека. 2017. Т. 43. № 5. С. 80.
- Carriot J., Mackrous I., Cullen K.E. Challenges to the vestibular system in space: how the brain responds and adapts to microgravity // Front. Neural Circuits. 2021. V. 15. P. 760313.
- Jamšek M.J., Kunavar T., Blohm G. et al. Effects of simulated microgravity and hypergravity conditions on arm movements in normogravity // Front. Neural Circuits. 2021. V. 15. P. 750176.
- Tays G.D., Hupfeld K.E., McGregor H.R. et al. The effects of long duration spaceflight on sensorimotor control and cognition // Front. Neural Circuits. 2021. V. 15. P. 723504.
- Mechtcheriakov S., Berger M., Molokanova E. et al. Slowing of human arm movements during weightlessness: the role of vision // Eur. J. Appl. Physiol. 2002. V. 87. № 6. P. 576.
- Koppelmans V., Bloomberg J., Mulavara A., Seidler R. Brain structural plasticity with spaceflight // NPJ Microgravity. 2016. V. 2. P. 2.
- Van Ombergen A., Jillings S., Jeurissen B. et al. Brain ventricular volume changes induced by long-duration spaceflight // Proc. Natl. Acad. Sci. U.S.A. 2019. V. 116. № 21. P. 10531.
- Jillings S., Van Ombergen A., Tomilovskaya E. et al. Macro-and microstructural changes in cosmonauts’ brains after long-duration spaceflight // Sci. Adv. 2020. V. 6. № 36. P. eaaz9488.
- Clément G.R., Boyle R.D., George K.A. et al. Challenges to the central nervous system during human spaceflight missions to Mars // J. Neurophysiol. 2020. V. 123. № 5. P. 2037.
- Томиловская Е.С., Рукавишников И.В., Амирова Л.Е. и др. 21-суточная "сухая" иммерсия: особенности проведения и основные итоги // Авиакосм. и эколог. мед. 2020. Т. 54. № 4. С. 5.
- Gallagher M., Arshad I., Ferre E.R. Gravity modulates behaviour control strategy // Exp. Brain Res. 2019. V. 237. № 4. P. 989.
- Saveko A., Bekreneva M., Ponomarev I. et al. Impact of different ground-based microgravity models on human sensorimotor system // Front. Physiol. 2023. V. 14. P. 1085545.
- Бадаква А.М., Миллер Н.В., Зобова Л.Н., Рощин В.Ю. Исследование влияния опорной разгрузки на корковые механизмы управления движениями руки в иммерсионных экспериментах на обезьянах // Авиакосм. и эколог. мед. 2019. Т. 53. № 3. С. 33.
- Бадаква А.М., Миллер Н.В., Зобова Л.Н., Рощин В.Ю. Влияние водной иммерсии обезьян на активность структур заднетеменной коры, участвующих в планировании и коррекции движений рук при выполнении моторной задачи // Физиология человека. 2021. Т. 47. № 3. С. 13.
- Moreno-Briseño P., Díaz R., Campos-Romo A., Fernandez-Ruiz J. Sex-related differences in motor learning and performance // Behav. Brain Funct. 2010. V. 6. № 1. P. 74.
- Reschke M.F., Cohen H.S., Cerisano J.M. et al. Effects of sex and gender on adaptation to space: neurosensory systems // J. Womens Health. 2014. V. 23. № 11. P. 959.
- Mark S., Scott G.B., Donoviel D.B. et al. The impact of sex and gender on adaptation to space: executive summary // J. Womens Health. 2014. V. 23. № 11. P. 941.
- D'souza S., Haghgoo N., Mankame K. et al. Safe spaceflight for women: Examining the data gap and improving design considerations // J. Space Saf. Eng. 2022. V. 9. № 2. P. 154.
- Ляховецкий В.А., Зеленская И.С., Карпинская В.Ю. и др. Влияние "сухой" иммерсии на характеристики циклических точностных движений руки // Физиология человека. 2022. Т. 48. № 6. С. 57.
- Berger M., Mescheriakov S., Molokanova E. et al. Pointing arm movements in short-and long-term spaceflights // Aviat. Space Environ. Med. 1997. V. 68. № 9. P. 781.
- Weber B., Proske U. Limb position sense and sensorimotor performance under conditions of weightlessness // Life Sci. Space Res. 2022. V. 32. P. 63.
- Barral J., Debû B. Aiming in adults: Sex and laterality effects // Laterality. 2004. V. 9. № 3. P. 299.
- Batmaz A.U., de Mathelin M., Dresp-Langley B. Seeing virtual while acting real: Visual display and strategy effects on the time and precision of eye-hand coordination // PloS One. 2017. V. 12. № 8. P. e0183789.
- Liutsko L., Muiños R., Tous Ral J.M., Contreras M.J. Fine motor precision tasks: sex differences in performance with and without visual guidance across different age groups // Behav. Sci. 2020. V. 10. № 1. P. 36.
- Коган Б.М., Дроздов А.З., Дмитриева Т.Б. Механизмы развития соматических и психопатологических стрессовых расстройств (половые и гендерные аспекты) // Системная психология и социология. 2010. Т. 1. № 1. С. 105.
- Goel N., Bale T.L., Epperson C.N. et al. Effects of sex and gender on adaptation to space: behavioral health // J. Womens Health. 2014. V. 23. № 11. P. 975.
- Schneider S., Askew C.D., Brümmer V. et al. The effect of parabolic flight on perceived physical, motivational and psychological state in men and women: correlation with neuroendocrine stress parameters and electrocortical activity // Stress. 2009. V. 12. № 4. P. 336.
Дополнительные файлы




