Changes in System Hemodynamics During Static Contractions of Upper and Lower Limb Muscles: Influence of Fatigue
- Authors: Borovik A.S.1, Pecheritsa M.A.2, Vinogradova O.L.1, Tarasova O.S.1,2
-
Affiliations:
- Institute of Biomedical Problems, RAS
- Moscow State University
- Issue: Vol 50, No 4 (2024)
- Pages: 80-91
- Section: Articles
- URL: https://journal-vniispk.ru/0131-1646/article/view/268063
- DOI: https://doi.org/10.31857/S0131164624040076
- EDN: https://elibrary.ru/BTINMQ
- ID: 268063
Cite item
Full Text
Abstract
The changes in blood pressure (BP) and heart rate (HR) during exercise grow with the development of muscle fatigue due to activation of the ergoreflex (ER), which is commonly assessed by post-exercise blood flow occlusion. However, this approach does not reproduce ER functioning in natural conditions and is of little use for testing ER from receptors of lower limb muscles, which differ from upper limb muscles in metabolic characteristics, and are also subject to more pronounced changes as a result of physical inactivity in various diseases. The aim of this study was to compare changes in systemic hemodynamics during “natural” ER activation with the development of severe fatigue in a test with rhythmic static contractions of thigh or forearm muscles until failure to work. Nine young men performed rhythmic isometric contractions of the knee extensors or the wrist flexors while maintaining a given load level (40% of the maximum voluntary effort) in a 20 s contraction/20 relaxation mode until fatigue (work duration in both tests was about 30 min). During the tests, systemic BP (Finapres), stroke volume (SV, ModelFlow algorithm) and ECG were continuously recorded. Rhythmic contractions of both muscle groups were accompanied by an increase in BP and HR, while SV decreased. As fatigue developed, the changes in BP and SV during muscle contraction became more pronounced. Importantly, during contractions of the thigh muscles, fatigue potentiated an increase in BP because of an increase in total peripheral resistance, and during contractions of the forearm muscles, because of an increase in cardiac output. Thus, fatigue of various muscle groups is accompanied by activation of different components of the ER – vascular component during lower limb exercise and cardiac component during upper limb exercise. The results obtained must be considered when developing methods for assessing hemodynamic control in cardiovascular diseases, which are often associated with changes in both skeletal muscles and the functioning of the ergoreflex.
Full Text
Во время физической нагрузки активация симпатического и торможение парасимпатического отделов автономной нервной системы (АНС) обусловлены влиянием нескольких механизмов нервной природы. Первый из них – центральная команда, упреждающий механизм, который обеспечивает активацию центров, регулирующих вегетативное обеспечение работы (сердечно-сосудистого и дыхательного) одновременно с формированием команды к движению [1, 2]. Вторая группа механизмов – это рефлексы, инициируемые механическими и метаболическими изменениями в работающих мышцах (механорефлекс и метаборефлекс соответственно), которые объединяются термином эргорефлекс (в англоязычной литературе – exercise pressor reflex) [1–4]. Кроме прямого влияния на сердце и сосуды центральная команда и эргорефлекс модулируют работу барорефлекса, в результате его установочная точка смещается в область более высоких значений артериального давления (АД), что необходимо для повышения интенсивности кровообращения при мышечной работе [5].
Роль различных механизмов нервной регуляции кровообращения при физической нагрузке зависит от режима и интенсивности мышечных сокращений, положения тела, а также от объема и метаболических характеристик работающих мышц [6–9]. Кроме того, изменения АД и частоты сердечных сокращений (ЧСС), связанные с сокращениями мышц, становятся более выраженными при развитии утомления, что связано с усилением влияния эргорефлекса в результате накопления в мышечном интерстиции продуктов обмена веществ (лактат-анионы, протоны, аденозинтрифосфат, ионы калия и др.), которые активируют мышечные хеморецепторы и повышают чувствительность механорецепторов [3, 10, 11]. По данным литературы, запускающие эргорефлекс хеморецепторы в основном являются чувствительными волокнами группы IV, а механорецепторы – волокнами группы III, хотя четкого разграничения чувствительных волокон по модальностям, по-видимому, нет [12].
Рефлекторная регуляция гемодинамики при физической нагрузке может изменяться в результате различных заболеваний: так, например, активность эргорефлекса повышается при артериальной гипертензии, сахарном диабете и сердечной недостаточности в результате изменений функционирования АНС, реактивности сердца и сосудов на нервные влияния, а также метаболических характеристик скелетной мускулатуры [2, 4, 10, 13]. В связи с этим изучение механизмов функционирования эргорефлекса является актуальной задачей физиологии и медицины.
Тестирование работы эргорефлекса часто проводят с использованием послерабочей артериальной окклюзии (ПРАО) – ограничения поступления артериальной крови в мышцы после достаточно продолжительной сократительной активности [6, 14, 15]. Такой подход методически сравнительно прост, но не позволяет оценить работу эргорефлекса в естественной ситуации, когда проявляется его взаимодействие с другими регуляторными механизмами (центральной командой и барорефлексом). Кроме того, методика ПРАО мало применима для тестирования эргорефлекса от рецепторов мышц нижних конечностей. Следует отметить, что тестирование эргорефлекса, инициируемого рецепторами мышц ног, особенно важно, поскольку многие виды деятельности человека связаны с сократительной активностью этих мышц. Именно мышцы ног в первую очередь страдают при вынужденной гиподинамии, а также могут подвергаться изменениям при различных заболеваниях, например при сердечной недостаточности [13, 16]. Можно отметить также, что мышцы ног имеют бóльший объем, чем мышцы верхних конечностей, и отличаются от них по миозиновому фенотипу и метаболическим характеристикам [17].
Альтернативным подходом к оценке функционирования эргорефлекса является использование теста с ритмическими сокращениями мышц в статическом режиме [6, 10], причем такой тест может быть более информативным по сравнению с ПРАО. В наших предыдущих исследованиях изменения эргорефлекторной регуляции гемодинамики, обусловленные продолжительной силовой тренировкой мышц рук, не проявлялись в тесте с ПРАО, но наблюдались при развитии мышечного утомления в тесте с ритмическими сокращениями мышц руки в режиме чередования интервалов сокращения и расслабления длительностью 20 с [6]. Следует отметить, что для оценки активности эргорефлекса, инициируемого рецепторами мышц ног, такой интервальный тест ранее не применялся.
Цель данной работы – сравнение изменений показателей системной гемодинамики при "естественной" активации эргорефлекса по мере развития выраженного утомления в тесте с ритмическими сокращениями мышц бедра и предплечья в статическом режиме до отказа от работы.
МЕТОДИКА
Организация исследования и характеристика испытуемых. В исследованиях принимали участие девять молодых практически здоровых мужчин. Все испытуемые были физически активными, но не занимались спортом на регулярной основе. Средний возраст испытуемых составил 29.2 ± 3.2 лет, рост – 178.6 ± 7.4 см, масса тела – 75.4 ± 11.5 кг. В течение суток до проведения тестирования испытуемые воздерживались от тяжелых физических нагрузок, приема алкогольных и кофеинсодержащих напитков. Каждый испытуемый был предварительно проинформирован о возможных рисках и дал согласие на участие в эксперименте.
Методики измерения показателей. Исследования проводили в специально оборудованной обособленной комнате с температурой воздуха от 20 до 22°C и влажностью от 50 до 60% в одно и то же время суток (с 14:00 до 17:00). В течение тестов непрерывно регистрировали электрокардиограмму (ЭКГ), АД, ударный объем (УО), частоту дыхания и момент силы (МС) в каждом мышечном сокращении.
ЭКГ регистрировали с помощью универсального усилителя биосигналов NVX-52 (МКС, Россия) и одноразовых электродов, которые располагали на передней поверхности грудной клетки испытуемого в соответствии со вторым стандартным отведением, заземляющий электрод располагался в области левой ключицы. ЭКГ использовали для вычисления ЧСС после идентификации R-зубцов и определения длительности R-R интервалов.
АД регистрировали фотокомпенсационным методом с помощью прибора Finometer (FMS, Нидерланды). На медиальную фалангу среднего пальца левой (недоминантной у всех испытуемых) руки надевали пальцевую манжету. Левое предплечье фиксировали на уровне мечевидного отростка грудины с помощью локтевого бандажа-косынки. Вторую измерительную манжету прибора Finometer надевали на плечо, она использовалась для калибровки уровня давления в пальцевой манжете.
УО левого желудочка сердца также регистрировали с помощью прибора Finometer (FMS, Нидерланды), вычисление УО проводили в приборе с использованием алгоритма "ModelFlow". Алгоритм основан на анализе формы пульсовой волны давления крови в артериях пальца, зарегистрированной фотокомпенсационным методом [18].
Дыхание регистрировали с помощью назального термисторного датчика и измерительного блока NVX-52 (МКС, Россия). Перед началом эксперимента для каждого испытуемого подбирали индивидуальную частоту дыхания, которую он поддерживал на протяжении всего теста, следуя голосовым командам с компьютера. Звуковой сигнал, по которому начиналось мышечное сокращение, подавался поочередно в середине фаз вдоха и выдоха. Поскольку дыхательные экскурсии сопряжены с колебаниями АД и ЧСС, такой протокол позволил исключить дыхательные волны в динамике АД и ЧСС при усреднении данных. Кроме того, контроль частоты дыхания позволил предотвратить непроизвольную задержку дыхания во время сокращения мышц.
МС регистрировали с помощью универсального динамометра Biodex (BMS, США) с использованием приспособлений, позволяющих регистрировать силу изометрического сокращения мышц-разгибателей ноги в коленном суставе и мышц-сгибателей руки в лучезапястном суставе.
Регистрируемые сигналы оцифровывали при помощи аналого-цифрового преобразователя в составе усилителя NVX-52 (МКС, Россия) с частотой 1 кГц и записывали на жесткий диск ноутбука с помощью программного обеспечения NeoRec (МКС, Россия).
Протоколы мышечной нагрузки. Тесты с сокращениями мышц верхних и нижних конечностей проводили в разные дни с интервалом 1–2 нед., порядок тестов был рандомизирован. Во время проведения тестов испытуемые находились в положении полулежа: угол наклона спинки кресла динамометра Biodex был равен 40°. По данным предварительных экспериментов, при выполнении повторных сокращений мышц руки в положении полулежа испытуемые чувствовали себя более комфортно, чем сидя на кресле с вертикально расположенной спинкой. Перед началом тестирования определяли значение максимальной произвольной силы (МПС) – по лучшему результату из трех попыток при изометрическом максимальном напряжении мышц (ноги или руки, в зависимости от теста). Затем испытуемому надевали манжеты для измерения АД и УО, бандаж для фиксации руки, устанавливали ЭКГ-электроды и датчик дыхания, что занимало 10–15 мин. За это время испытуемый адаптировался к экспериментальной обстановке. Перед началом мышечных сокращений в течение 1 мин регистрировали фоновые значения показателей гемодинамики.
Использовали следующие протоколы нагрузки:
1) повторные изометрические сокращения мышц-разгибателей правой ноги в коленном суставе по звуковому сигналу с поддержанием заданного уровня нагрузки в режиме чередования 20-секудных интервалов сокращения и отдыха (рис. 1);
2) повторные изометрические сокращения мышц-сгибателей правой руки в лучезапястном суставе в таком же режиме.
Рис. 1. Изменения среднего артериального давления (АДср, А), частоты сердечных сокращений (ЧСС, Б), ударного объема (УО, В) и момента силы (МС, Г) в тесте "изометрическое напряжение мышц-разгибателей ноги в коленном суставе". Испытуемый Л.
В обоих случаях нагрузка составляла 40% МПС, сокращения выполнялись до развития выраженного утомления (отказа испытуемого от продолжения работы). Важно отметить, что при статической нагрузке с интенсивностью 40% МПС происходит значительное ограничение кровоснабжения сокращающихся мышц [19], что должно способствовать накоплению в них метаболитов и активации эргорефлекса.
Обработка экспериментальных данных. Обработку данных проводили с помощью специально разработанных программ в среде программирования MATLAB (MathWorks Inc., США). На записях МС размечали моменты начала и окончания сокращения тестируемых мышечных групп в каждом цикле "расслабление/сокращение".
Для каждого сердечного цикла вычисляли ЧСС по длительности R-R интервала на ЭКГ, а также значения среднего АД (АДср) и УО. Минутный объем (МО) рассчитывали умножением УО на ЧСС, а общее периферическое сопротивление сосудов (ОПС) – делением АДср на МО. Затем вычисляли значения гемодинамических показателей в каждом цикле сокращения/расслабления, для этого значения в фазе сокращения усредняли за весь 20-секудный интервал нагрузки, а в фазе расслабления – за интервал длительностью 5 с перед началом сокращения, когда значения показателей гемодинамики восстанавливались до исходного уровня.
Влияние утомления на изменения показателей гемодинамики при сокращении мышц оценивали путем сравнения значений в начале и в конце теста. Для этого всю длительность теста делили на три временны́х отрезка (трети), далее вычисляли и сравнивали средние значения гемодинамических показателей в первой и последней третях работы. Количество усредняемых циклов всегда было четным: в половине из них сокращение мышц начиналось в фазу вдоха, а в половине – в фазу выдоха, это позволило исключить изменения показателей, связанные с дыхательными экскурсиями. Усреднение данных, зарегистрированных в нескольких циклах мышечного сокращения, способствовало уменьшению влияния случайных флуктуаций и позволяло выявить закономерные изменения (т.е. увеличивало отношение сигнал/шум).
Статистическая обработка результатов. Статистическую обработку данных проводили в программе GraphPad Prism 8 (GraphPad Software, США). Все данные представлены в виде среднего и стандартного отклонения. Соответствие распределения данных в выборках нормальному было подтверждено с помощью теста Шапиро-Уилка. Для оценки статистической значимости изменений показателей при сокращении мышц использовался одновыборочный t-тест. При сравнении гемодинамических показателей в первой и последней третях использовали парный t-тест Стьюдента. Различия считали статистически значимыми при p < 0.05.
РЕЗУЛЬТАТЫ ИССЛЕДОВАНИЯ
Исследование изменений показателей гемодинамики при изометрическом напряжении мышц-разгибателей ноги в коленном суставе. Момент силы, соответствующий МПС при изометрическом сокращении мышц-разгибателей ноги в коленном суставе, составил 287 ± 85 Н*м, число циклов в тесте – 43 ± 23, а средняя продолжительность работы – 30 ± 15 мин. Каждое сокращение мышц сопровождалось изменениями АДср, ЧСС и УО, причем к концу теста изменения становились более выраженными, при этом гемодинамические показатели во время расслабления мышц мало изменялись в течение теста (рис. 1).
В табл. 1 приведены значения показателей гемодинамики в конце фазы расслабления, усредненные по всем циклам сокращения/расслабления в I трети и III трети теста. Значения АДср и ОПС в начале и в конце теста статистически значимо не различались. ЧСС в фазе расслабления мышц к концу теста немного возрастала, а УО снижался, однако изменения этих показателей были весьма умеренными (порядка 10%), тогда как МО (интегральный показатель гемодинамической производительности левого желудочка) и ОПС не изменялись в течение теста (табл. 1).
Таблица 1. Значения показателей гемодинамики во время расслабления мышц в I трети и III трети тестов с ритмическими сокращениями мышц нижних и верхних конечностей
Показатели | Сокращения мышц бедра | Сокращения мышц предплечья | ||
I треть | III треть | I треть | III треть | |
Среднее АД, мм рт. ст. | 96.5±7.6 | 97.6±9.0 | 96.2±6.7 | 96.3±7.3 |
ЧСС, уд./мин | 88.4±18.2 | 99.6±21.9# | 75.3±7.1 | 76.2±6.6 |
Ударный объем, мл | 89.7±9.8 | 83.5±10.3# | 94.7±21.1 | 96.8±20.7 |
Минутный объем, л/мин | 7835±1258 | 8143±1145 | 7077±1390 | 7358±1606 |
ОПС, мм рт. ст./(мл/мин) | 12.6±2.2 | 12.3±2.2 | 14.2±3.1 | 13.9±4.1 |
Примечание: АД – артериальное давление, ЧСС – частота сердечных сокращений, ОПС – общее периферическое сопротивление сосудов. Данные представлены в виде среднего и стандартного отклонения; n = 9. # – p < 0.05 – по сравнению со значением в I трети теста (парный t-тест Стьюдента).
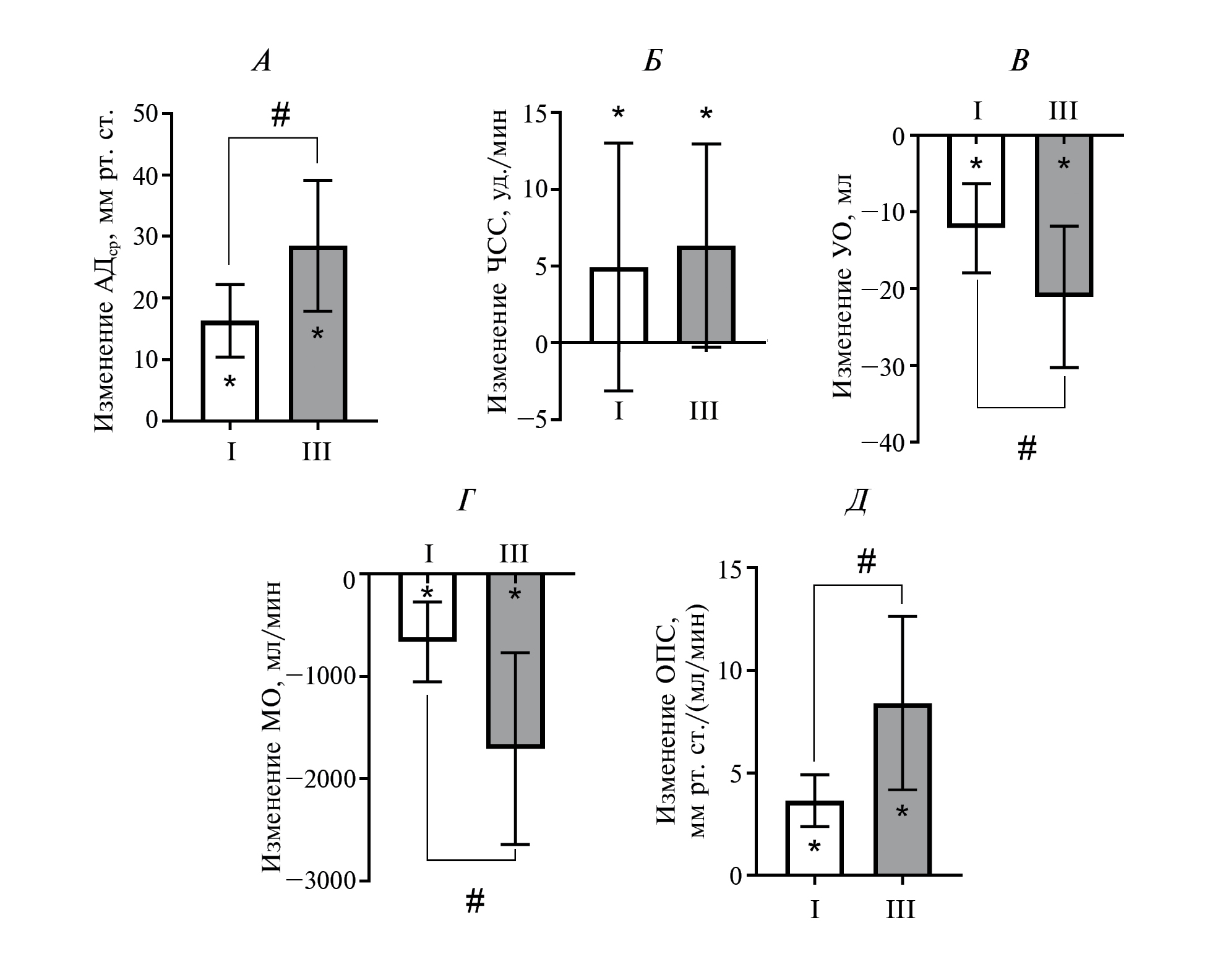
На рис. 2 представлены данные, характеризующие изменения гемодинамических показателей в тесте с сокращениями мышц-разгибателей ноги в коленном суставе, усредненные для всех циклов в I трети и III трети теста. Сокращение мышц приводило к статистически значимым изменениям всех показателей гемодинамики: повышению АДср, ЧСС и ОПС (рис. 2, А, Б, Д), а также к снижению УО и МО (рис. 2, В, Г) как в I трети, так и в III трети теста. При этом изменения АДср, УО, МО и ОПС в конце теста были более выраженными, чем в начале теста. Изменения ЧСС в I трети и III трети статистически значимо не различались.
Рис. 2. Изменения среднего артериального давления (АДср, А), частоты сердечных сокращений (ЧСС, Б), ударного объема (УО, В), минутного объема сердца (МО, Г) и общего периферического сопротивления (ОПС, Д) при статических сокращениях мышц-разгибателей ноги в коленном суставе в I трети и III трети теста (нулевой уровень – значение во время расслабления мышц). Данные представлены в виде среднего и стандартного отклонения; n = 9. * – p < 0.05 – одновыборочный t-тест Стьюдента; # – p < 0.05 – парный t-тест Стьюдента.
Исследование изменений показателей гемодинамики при изометрическом напряжении мышц-сгибателей руки в лучезапястном суставе. Зарегистрированный МС, соответствующий МПС мышц-сгибателей руки в лучезапястном суставе, составил 137 ± 47 Н*м, число циклов при выполнении теста – 44 ± 18, а средняя продолжительность работы – 31 ± 12 мин. Суммарная длительность и количество циклов нагрузки в этом тесте и в тесте с сокращениями мышц бедра не различались.
Значения показателей гемодинамики во время расслабления мышц не изменялись в течение теста (табл. 1). Сокращение мышц-сгибателей руки сопровождалось повышением АДср, ЧСС и ОПС (рис. 3, А, Б, Д), а также снижением УО (рис. 3, В), как и в тесте с сокращением мышц ноги. Изменения АД и ЧСС на начальном этапе двух тестов были сопоставимыми, тогда как снижение УО при сокращениях мышц руки (–6.0 ± 2.3 мл) было меньше, чем при сокращениях мышц ноги (–12.1 ± 5.8 мл, p < 0.05). Поэтому в тесте с сокращениями мышц руки МО статистически значимо не изменялся в I трети теста, а в III трети теста даже несколько повышался (рис. 3, Г), в отличие от теста с сокращениями мышц ноги, в котором наблюдалось снижение МО (рис. 2, Г). Изменения АДср и УО к концу теста становились более выраженными, как и в тесте с сокращениями мышц ноги, однако динамика ЧСС и ОПС была качественно иной – утомление мышц руки приводило к увеличению реакций ЧСС (рис. 3, Б), а ОПС не изменялось (рис. 3, Д). Наряду с качественно иным изменением МО, это указывает на более выраженные изменения показателей работы сердца при сокращениях мышц руки, чем при сокращениях мышц ноги.
Рис. 3. Изменения среднего артериального давления (АДср, А), частоты сердечных сокращений (ЧСС, Б), ударного объема (УО, В), минутного объема сердца (МО, Г) и общего периферического сопротивления (ОПС, Д) при при статических сокращениях мышц-сгибателей руки в лучезапястном суставе в I трети и III трети теста (нулевой уровень – значение во время расслабления мышц). Данные представлены в виде среднего и стандартного отклонения; n = 9. * – p < 0.05 – одновыборочный t-тест Стьюдента; # – p < 0.05 – парный t-тест Стьюдента.
ОБСУЖДЕНИЕ РЕЗУЛЬТАТОВ
Особенности использованного протокола физической нагрузки. В настоящей работе для исследования изменений показателей системной гемодинамики при мышечной работе применялись тесты со статическим сокращением мышц бедра и предплечья. Следует отметить, что тест с изометрическим сокращением мышц предплечья используется в медицине с целью оценки нервной регуляции сердечно-сосудистой системы при различных заболеваниях [20]. Во втором использованном нами тесте исследовалось сокращение мышц-разгибателей ноги в коленном суставе (основная – m. quadriceps femoris), которые играют важную роль в обеспечении позной устойчивости человека и локомоции и выраженно изменяются при гиподинамии [21–23]. В обоих тестах испытуемые выполняли сокращения мышц в ритмическом режиме до развития выраженного утомления, что позволило нам сопоставить гемодинамические эффекты эргорефлекса, инициируемого рецепторами мышц верхних и нижних конечностей, при его естественной активации, т.е. непосредственно во время мышечного сокращения.
Интенсивность нагрузки в тестах составляла 40% МПС, что должно обеспечивать выраженное снижение кровотока в сокращающихся мышцах [19] и, следовательно, накопление в них продуктов метаболизма. Периоды расслабления также были достаточно продолжительными, поэтому утомление мышц развивалось постепенно. Увеличение числа повторяющихся сокращений позволяло нам усреднять данные в 10 и более циклах нагрузки (раздельно – в начале и в конце теста) и тем самым минимизировать случайные и выявлять закономерные изменения показателей гемодинамики.
В фазе отдыха влияние утомления было выражено слабо и проявлялось только в промежутках между повторными статическими сокращениями большой мышечной группы – мышц-разгибателей ноги в коленном суставе. Вместе с тем утомление значительно потенцировало изменения большинства показателей гемодинамики во время сокращения мышц. По всей видимости, накопление в мышцах продуктов обмена веществ при связанном с сокращением снижением кровотока приводило к активации обоих механизмов эргорефлекса – как метаборефлекса, так и механорефлекса, поскольку метаболиты могут не только непосредственно активировать хеморецепторные нервные волокна, но и способствовать активации механорецепторов при мышечном напряжении [10].
Сравнение изменений показателей гемодинамики при сокращениях неутомленных мышц верхних и нижних конечностей. Изменения АД и ЧСС при повторяющихся статических сокращениях мышц нижних и верхних конечностей не различались по величине, что согласуется с данными литературы [7]. Таким образом, несмотря на сильно различающийся объем, активация двух мышечных групп приводила к сопоставимым изменениям этих показателей системной гемодинамики. При сокращении каждой из мышечных групп наблюдалось увеличение ОПС, что объясняется повышением эфферентной симпатический активности и сужением резистивных сосудов во многих органах, включая неработающие мышцы [7, 10, 24]. В отсутствие утомления повышение ОПС было незначительным и не различалось при работе мышц руки и ноги.
Увеличение ОПС служит лишь одной из причин повышения АД, необходимого для увеличения кровоснабжения работающих мышц. Уровень АД также зависит от МО, который, в свою очередь, определяется влиянием физической нагрузки на ЧСС и УО. При аэробной физической нагрузке УО, как правило, повышается [25]. В нашей работе при сокращениях мышц в статическом режиме наблюдалось снижение УО, что согласуется с данными других авторов. Ранее снижение УО было показано при статических сокращениях мышц как верхних конечностей [14, 26], так и нижних конечностей [27, 28].
Говоря о механизмах снижения УО при статической нагрузке, следует отметить, что в работе [26] была показана обратная корреляция между изменениями АД и УО, на основании чего авторы заключили, что снижение УО в этих условиях связано с повышением АД (увеличением постнагрузки на сердце). Кроме того, снижение УО может быть связано с повышением ЧСС, т.е. укорочением сердечного цикла и, соответственно, фазы заполнения левого желудочка кровью. Показано, что разгибание ноги в коленном суставе сопровождается снижением УО лишь при естественном ритме сердца, тогда как при постоянном (навязанном кардиостимулятом) ритме сердца такое же сокращение приводит к увеличению УО [28].
В тесте с сокращением мышц руки снижение УО было сравнительно небольшим, поэтому оно компенсировалось за счет повышения ЧСС, и МО оставался неизменным. В тесте с сокращением мышц ноги снижение УО было более значительным, поэтому в этом случае происходило снижение МО.
Сравнение эффектов утомления на изменения показателей гемодинамики при сокращениях мышц верхних и нижних конечностей. При развитии утомления в обоих тестах наблюдалось более выраженное повышение АД во время фазы сокращения: по крайней мере в полтора раза по сравнению с изменением этого показателя при сокращении неутомленных мышц. Это можно объяснить влиянием эргорефлекса, инициируемого рецепторами в утомленных мышцах [10]. Снижение УО в этих условиях также становилось более выраженным, что может быть связано с увеличением прессорной реакции на сокращение мышц [26]. Таким образом, активация эргорефлекса могла приводить к дополнительному снижению УО не напрямую, а путем увеличения изменений АД.
Наиболее интересный результат нашей работы – это отличие паттернов гемодинамических изменений, которые обусловлены развитием утомления работающих мышц нижних и верхних конечностей. При сокращениях мышц ноги более выраженный подъем АД во время утомления был связан с повышением ОПС. МО в этих условиях не возрастал, а даже снижался: реакция ЧСС к концу этого теста не изменялась, а снижение УО становилось более выраженным. Вместе с тем при сокращениях мышц руки более выраженный подъем АД во время утомления был связан именно с повышением МО (за счет более выраженного повышения ЧСС), в то время как изменения ОПС в начале и в конце теста не различались.
Можно предположить, что различное влияние эргорефлекса на МО и ОПС при работе разных мышечных групп связано с разными паттернами изменения активности АНС: при активации рецепторов мышц нижних конечностей эргорефлекса сильнее изменяется активность вазомоторных нервных волокон, а при активации рецепторов мышц верхних конечностей – кардиотропные нервные влияния. К сожалению, имеющиеся в литературе данные не позволяют оценить, верно ли это предположение применительно к человеку. В экспериментах на животных показано, что эргорефлекс в первую очередь увеличивает симпатическую активность, адресованную сосудам висцеральных органов [29], тогда как у человека регистрация активности таких нервных волокон невозможна. Вместе с тем следует отметить, что поскольку эргорефлекторное сужение сосудов висцеральных органов способствует перераспределению крови к работающим скелетным мышцам, такое влияние необходимо именно при работе большой мышечной группы (сокращениях мышц нижних конечностей).
Работа сердца регулируется не только симпатическими, но и парасимпатическими влияниями, причем вклад этих двух механизмов при работе мышц зависит от режима мышечных сокращений и задействованной мышечной группы [30]. Можно предположить, что увеличение прироста ЧСС при утомлении мышц руки связано с более выраженным ослаблением вагусного торможения ритма сердца под влиянием двух компонентов эргорефлекса (механорефлекса и метаборефлекса), тогда как при утомлении мышц ноги активность вагуса снижается в меньшей степени. Кроме того, рефлексы от рецепторов мышц разных конечностей могут неодинаково влиять на функционирование сердечного и сосудистого компонентов барорефлекса, как было показано в экспериментах на животных [31]. В целом механизмы неодинакового влияния эргорефлекса на показатели работы сердца и тонус периферических сосудов у человека при работе мышц верхних и нижних конечностей могут быть предметом дальнейших исследований.
Хотя в настоящем исследовании принимали участие только мужчины, полученные результаты могут иметь более универсальное значение. Показано, что изменения АД и ЧСС в результате активации механорецепторов мышц-разгибателей коленного сустава не различаются у молодых мужчин и женщин [32]. В другой работе изменения гемодинамики, связанные с активностью эргорефлекса, у женщин были несколько менее выраженными, чем у мужчин, но не различались в фолликулярной и лютеиновой фазах цикла, что говорит об отсутствии существенного влияния половых гормонов на активность этого механизма [4]. Таким образом, разработанный нами подход может быть использован для оценки функционирования эргорефлекса у женщин.
ВЫВОДЫ
- Ритмические сокращения скелетных мышц конечностей в изометрическом режиме приводят к увеличению АД, ЧСС и ОПС, УО левого желудочка сердца при этом снижается.
- При развитии утомления изменения АД и УО, связанные с сокращением мышц руки и ноги, становятся более выраженными.
- Более выраженный подъем АД во время утомления при сокращении мышц ноги связан с повышением ОПС, а при сокращении мышц руки – с повышением МО сердца, т.е. в первом случае преобладает сосудистый, а во втором – сердечный компонент эргорефлекса.
- При тестировании функционирования эргорефлекса у пациентов с сердечно-сосудистыми заболеваниями во избежание высокой нагрузки на сердце более предпочтительным является тест со статическими сокращениями мышц нижних конечностей.
Финансирование работы. Исследование выполнено при поддержке РНФ (грант № 23-15-00331).
Соблюдение этических стандартов. Все исследования проводились в соответствии с принципами биомедицинской этики, изложенными в Хельсинкской декларации 1964 г. и последующих поправках к ней. Они также были одобрены комиссией по биомедицинской этике ГНЦ РФ Институтом медико-биологических проблем РАН (Москва), протокол № 649 от 10.10.2023 г.
Каждый участник исследования дал добровольное письменное информированное согласие после получения разъяснений о потенциальных рисках и преимуществах, а также о характере предстоящего исследования.
Конфликт интересов. Авторы данной работы заявляют, что у них нет конфликта интересов.
Вклад авторов в публикацию. А.С. Боровик, О.Л. Виноградова, О.С. Тарасова – идея работы, планирование и организация эксперимента. А.С. Боровик, М.А. Печерица – сбор данных. А.С. Боровик. М.А. Печерица, О.С. Тарасова – обработка данных. А.С. Боровик, М.А. Печерица, О.Л. Виноградова, О.С. Тарасова – написание и редактирование статьи.
About the authors
A. S. Borovik
Institute of Biomedical Problems, RAS
Email: ost.msu@gmail.com
Russian Federation, Moscow
M. A. Pecheritsa
Moscow State University
Email: ost.msu@gmail.com
Russian Federation, Moscow
O. L. Vinogradova
Institute of Biomedical Problems, RAS
Email: ost.msu@gmail.com
Russian Federation, Moscow
O. S. Tarasova
Institute of Biomedical Problems, RAS; Moscow State University
Author for correspondence.
Email: ost.msu@gmail.com
Russian Federation, Moscow; Moscow
References
- Shoemaker J.K., Gros R. A century of exercise physiology: key concepts in neural control of the circulation // Eur. J. Appl. Physiol. 2024. V. 124. № 5. P. 1323.
- Grotle A.K., Macefield V.G., Farquhar W.B. et al. Recent advances in exercise pressor reflex function in health and disease // Auton. Neurosci. 2020. V. 228. P. 102698.
- Vinogradova O.L., Popov D.V., Tarasova O.S. et al. Ergoreflex: the essence and mechanisms // Human Physiology. 2012. V. 38. № 7. P. 665.
- Teixeira A.L., Vianna L.C. The exercise pressor reflex: An update // Clin. Auton. Res. 2022. V. 32. № 4. P. 271.
- Fadel P.J., Raven P.B. Human investigations into the arterial and cardiopulmonary baroreflexes during exercise // Exp. Physiol. 2012. V. 97. № 1. P. 39.
- Bravyi Y.R., Bersenev E.Y., Makarov V.A. et al. Effect of strength training on pressor reflex responses from receptors in exercising muscles // Human Physiology. 2013. V. 39. № 7. P. 729.
- Ray C.A., Rea R.F., Clary M.P., Mark A.L. Muscle sympathetic nerve responses to static leg exercise // J. Appl. Physiol. 1992. V. 73. № 4. P. 1523.
- Saito M. Differences in muscle sympathetic nerve response to isometric exercise in different muscle groups // Eur. J. Appl. Physiol. Occup. Physiol. 1995. V. 70. № 1. P. 26.
- Swift H.T., O’Driscoll J.M., Coleman D.D. et al. Acute cardiac autonomic and haemodynamic responses to leg and arm isometric exercise // Eur. J. Appl. Physiol. 2022. V. 122. № 4. P. 975.
- Sinoway L.I., Li J. A perspective on the muscle reflex: Implications for congestive heart failure // J. Appl. Physiol. 2005. V. 99. № 1. P. 5.
- Fisher J.P., Young C.N., Fadel P.J. Autonomic adjustments to exercise in humans // Compr. Physiol. 2015. V. 5. № 2. P. 475.
- Amann M., Runnels S., Morgan D.E. et al. On the contribution of group III and IV muscle afferents to the circulatory response to rhythmic exercise in humans // J. Physiol. 2011. V. 589. № 15. P. 3855.
- Aimo A., Saccaro L.F., Borrelli C. et al. The ergoreflex : how the skeletal muscle modulates ventilation and cardiovascular function in health and disease // Eur. J. Heart Fail. 2021. V. 23. № 9. P. 1458.
- Bunsawat K., Clifton H.L., Ratchford S.M. et al. Cardiovascular responses to static handgrip exercise and postexercise ischemia in heart failure with preserved ejection fraction // J. Appl. Physiol. 2023. V. 134. № 6. P. 1508.
- Crisafulli A. The impact of cardiovascular diseases on cardiovascular regulation during exercise in humans: Studies on metaboreflex activation elicited by the post-exercise muscle ischemia method // Curr. Cardiol. Rev. 2017. V. 13. № 4. P. 293.
- Kaur J., Senador D., Krishnan A.C. et al. Muscle metaboreflex-induced vasoconstriction in the ischemic active muscle is exaggerated in heart failure // Am. J. Physiol. Hear. Circ. Physiol. 2018. V. 314. № 1. P. H11.
- Helge J.W. Arm and leg substrate utilization and muscle adaptation after prolonged low-intensity training // Acta Physiol. (Oxf). 2010. V. 199. № 4. P. 519.
- Sugawara J., Tanabe T., Miyachi M. et al. Non-invasive assessment of cardiac output during exercise in healthy young humans: Comparison between Modelflow method and Doppler echocardiography method // Acta Physiol. Scand. 2003. V. 179. № 4. P. 361.
- Sjøgaard G., Savard G., Juel C. Muscle blood flow during isometric activity and its relation to muscle fatigue // Eur. J. Appl. Physiol. Occup. Physiol. 1988. V. 57. № 3. P. 327.
- Lopez-Jaramillo P., Lopez-Lopez J.P., Tole M.C., Cohen D.D. Muscular strength in risk factors for cardiovascular disease and mortality: a narrative review // Anatol. J. Cardiol. 2022. V. 26. № 8. P. 598.
- Takahashi Y., Kaji T., Yasui T. et al. Ultrasonographic changes in quadriceps femoris thickness in women with normal pregnancy and women on bed rest for threatened preterm labor // Sci. Rep. 2022. V. 12. № 1. P. 17506.
- Smeuninx B., Elhassan Y.S., Sapey E. et al. A single bout of prior resistance exercise attenuates muscle atrophy and declines in myofibrillar protein synthesis during bed-rest in older men // J. Physiol. 2023. doi: 10.1113/JP285130 (Online ahead of print).
- Makhnovskii P.A., Bokov R.O., Kolpakov F.A., Popov D.V. Transcriptomic signatures and upstream regulation in human skeletal muscle adapted to disuse and aerobic exercise // Int. J. Mol. Sci. 2021. V. 22. № 3. P. 1208.
- Boulton D., Taylor C.E., Green S., Macefield V.G. The metaboreflex does not contribute to the increase in muscle sympathetic nerve activity to contracting muscle during static exercise in humans // J. Physiol. 2018. V. 596. № 6. P. 1091.
- Hellsten Y., Nyberg M. Cardiovascular adaptations to exercise training // Compr. Physiol. 2015. V. 6. № 1. P. 1.
- Elstad M., Nådland I.H., Toska K., Walløe L. Stroke volume decreases during mild dynamic and static exercise in supine humans // Acta Physiol. 2009. V. 195. № 2. P. 289.
- Fisher J.P., Ogoh S., Dawson E.A. et al. Cardiac and vasomotor components of the carotid baroreflex control of arterial blood pressure during isometric exercise in humans // J. Physiol. 2006. V. 572. Pt. 3. P. 869.
- Nóbrega A.C.L., Williamson J.W., Garcia J.A., Mitchell J.H. Mechanisms for increasing stroke volume during static exercise with fixed heart rate in humans // J. Appl. Physiol. 1997. V. 83. № 3. P. 712.
- Koba S., Xing J., Sinoway L.I., Li J. Differential sympathetic outflow elicited by active muscle in rats // Am. J. Physiol. 2007. V. 293. № 4. P. H2335.
- Fisher J.P. Autonomic control of the heart during exercise in humans: Role of skeletal muscle afferents // Exp. Physiol. 2014. V. 99. № 2. P. 300.
- Beaty O. Carotid sinus and blood pressure control during hindlimb and forelimb contractions // Am. J. Physiol. 1985. V. 248. № 5. P. H688.
- Laginestra F.G., Favaretto T., Giuriato G. et al. Concurrent metaboreflex activation increases chronotropic and ventilatory responses to passive leg movement without sex-related differences // Eur. J. Appl. Physiol. 2023. V. 123. № 8. P. 1751.
Supplementary files





