Beta1-Adrenoreceptor Reactivity of Human Myocardium in Ischemic Heart Disease with Preserved and Reduced Ejection Fraction of Left Ventricular and ITS Relationship with Structural and Functional Parameters of the Heart
- Authors: Afanasiev S.A.1, Kondratieva D.S.1, Muslimova E.F.1, Korepanov V.A.1, Zatolokin V.V.1, Akhmedov S.D.1
-
Affiliations:
- Tomsk National Research Medical Center
- Issue: Vol 50, No 5 (2024)
- Pages: 41-53
- Section: Articles
- URL: https://journal-vniispk.ru/0131-1646/article/view/270767
- DOI: https://doi.org/10.31857/S0131164624050055
- EDN: https://elibrary.ru/AOLDDI
- ID: 270767
Cite item
Full Text
Abstract
The relationship between adrenergic reactivity of isolated myocardium of the human right atrial appendage in coronary heart disease (CHD) with preserved and reduced ejection fraction (EF) of the left ventricle (LV) upon stimulation of β1-adrenergic receptors (β1-AR) with echocardiography (EchoCG) parameters was studied. It has been shown that adrenergic reactivity, assessed by changes in the force of contractions of isolated myocardial strips in response to stimulation of β1-AR, in patients with preserved LVEF has positive dynamics at 20-minute observation. In reduced LVEF, adrenergic reactivity in response to β1-AR stimulation is weakened and does not have positive dynamics. In patients with CHD, myocardial adrenergic reactivity associated with β1-AR is a significant factor in determining intracardiac hemodynamics. This is manifested in the presence of correlations between the mechanical response of isolated myocardium upon stimulation of β1-AR and the results of echocardiography, and such correlations have different directions in patients with preserved and reduced EF. The discovered differences in the correlation of cardiac ultrasound parameters with the inotropic response of isolated myocardial fragments upon stimulation of β1-AR with preserved and reduced EF probably reflect the different severity of cardiac chamber remodeling and the state of general neurohumoral regulation in the conditions of the pathology under consideration.
Full Text
Хорошо известно, что функционирование органов сердечно-сосудистой системы (ССС) контролируется вегетативной нервной системой (ВНС). Нарушения этого контроля характерны большинству хронических патологий ССС. Было показано, что успешная терапия заболеваний ССС предполагает, в том числе, восстановление регуляторной роли ВНС на сердца [1–3]. Внутрисердечная гемодинамика и возможность сердца быстро реагировать на изменяющиеся условия функционирования в значительной степени определяются бета-адренорецепторами (β-АР). Эти рецепторы представляют собой интегральные белки клеточной мембраны и являются частью симпатического звена ВНС. Убедительно доказана роль этих рецепторов в проявлении не только адаптивных, но и патологических изменений ССС [3—6]. Состояние гиперсимпатикотонии признается значимым фактором в патогенезе многих хронических заболеваний ССС [7, 8]. Это состояние характеризуется изменением адренореактивности сердца, его хроно-инотропной активности в присутствии катехоламинов [9–12]. Сообщается об изменении как плотности, так и функционального состояния β-АР при развитии сердечной недостаточности (СН). На молекулярном уровне идентифицировано три подтипа β-АР: β1, β2, β3. В обзорах последних лет, посвященных роли β-адренергической сигнализации в миокарде, отмечается, что в кардиомиоцитах пул этих рецепторов в основном представлен подтипами β1- и β2-АР [8, 13, 14], тогда как β3-AР рассматриваются как “минорная” изоформа β-AР [15]. В интактном миокарде β1- и β2-AР распределены в соотношении 4 : 1. С развитием СН, в том числе ишемического генеза, количество β1-АР снижается на 50%, но по-прежнему именно эти рецепторы определяют адренореактивность миокарда [4, 16, 17]. Исследование физиологического значения изменения представительства β1-АР остается актуальным. Одной из возможных причин этого может являться то, что для реализации инотропных эффектов стимуляции β1- и β2-АР вовлекаются разные внутриклеточные сигнальные пути [17, 18]. Отмечается, что активность подтипа β2-АР способствует уменьшению повреждающего действия гипоксии и активных форм кислорода [19]. Однако есть сообщения о том, что, напротив, гиперстимуляция β2-АР является более аритмогенной, чем стимуляция β1-АР [14, 20], а в эксперименте удаление β2-АР предотвращает развитие кардиомиопатии [17]. Вероятно, стоит признать, что и у β1-, и у β2-AР есть баланс между кардиотоксическим и кардиопротекторным эффектами [4]. Именно поэтому количество β1-AР в миокарде человека при патологии снижается, но не исчезает. Опубликованы данные, что при сердечно-сосудистых заболеваниях адренореактивность в изолированных фрагментах миокарда предсердий у человека сохраняется независимо от возраста и пола [21]. Признается, что особенности ремоделирования сердца, вызванные гиперактивацией β-AР, требуют дальнейшего исследования [22].
Цель работы – оценить сопряженность адренореактивности изолированного миокарда при стимуляции β1-адренорецепторов с результатами эхокардиографического исследования у пациентов, имеющих сохраненную или низкую фракцию выброса левого желудочка на фоне ишемической болезни сердца (ИБС).
МЕТОДИКА
В исследование было включено 28 пациентов в возрасте 55—66 лет с диагнозом “хроническая ИБС, стенокардия напряжения II–III функционального класса” (ФК), поступивших на лечение в специализированное отделение НИИ кардиологии (г. Томск). Более 80% этой выборки составляли мужчины. Критериями невключения в исследование служили: хроническая сердечная недостаточность IV ФК по NYHA (New York Heart Association – Нью-Йоркская Кардиологическая Ассоциация), персистирующая/постоянная форма фибрилляции предсердий, сахарный диабет, патология клапанов сердца, онкологические, системные, острые и хронические воспалительные заболевания. Всем пациентам на этапе включения в исследование в рамках общего обследования, для оценки структурно-функционального состояния сердца, проводили эхокардиографическое (ЭхоКГ) исследование в М- и 2D-режимах из стандартных позиций (En Visor CHD Philips, Нидерланды). По результатам ЭхоКГ оценивали фракцию выброса (ФВ) левого желудочка (ЛЖ), конечный систолический объем (КСО), конечный диастолический объем (КДО) ЛЖ, индекс сферичности ЛЖ, выраженность гипертрофии и дилатация камер сердца, а также скорости раннего (пик Е) и позднего (пик А) диастолического наполнения ЛЖ. По результатам ЭхоКГ были сформированы две группы пациентов: группа с сохраненной ФВ (61% (57.5; 64.5)), включавшая 15 чел., и с низкой ФВ (33% (29; 34)), состоявшая из 13 пациентов. Группы с сохраненной и низкой ФВ были сопоставимы по гендерному составу и возрасту пациентов (64 (59; 69) и 62 (59; 69) лет соответственно).
Пациентам проводили плановые операции коронарного шунтирования с применением искусственного кровообращения. Выполнение этих операций предполагает иссечение фрагмента ушка правого предсердия. Такие фрагменты используют для морфологических и электрофизиологических исследований миокарда человека [23—25]. При этом отмечается, что полоски миокарда ушка правого предсердия отражают сократимость миокарда левого желудочка. В настоящем исследовании иссеченные фрагменты ушка помещали в охлажденный раствор Кребса—Хензеляйта следующего состава (в мМ): NaCl – 120; KCl – 4.8; CaCl2 – 2.0; MgSO4 – 1.2; KH2PO4 – 1.2; NaHCO3 – 20.0; глюкоза – 10.0 [26—28] с последующим выделением полосок с параллельным ходом мышечных волокон для исследования инотропной реакции миокарда ex vivo [26]. В работе использовали мышечные полоски диаметром 0.5–0.7 мм и длиной 5–6 мм. Подготовленные мышечные полоски помещали в термостабилизированную (36 °С) камеру объемом 1 мл установки для регистрации сократительной активности мышечных препаратов (Scientific Instruments GmbH, Германия). Суперфузию мышц осуществляли раствором Кребса–Хензеляйта, а для оксигенации раствора использовали газовую смесь “карбоген” (О2 – 95%, СО2 – 5%) [26–28]. Мышечные полоски стимулировали прямоугольными электрическими импульсами длительностью 5 мс с частотой 0.5 Гц [26–28]. Сократительную активность оценивали в изометрическом режиме при помощи датчика Force transducer KG-Series (Scientific Instruments GmbH, Германия). Регистрировали развиваемое мышцей напряжение в пересчете на ее диаметр (мН/мм), а также скорость повышения и понижения напряжения. Перед исследованием мышцы адаптировали к режиму стимуляции в течение 60 мин.
Для воздействия на АР применяли их агонисты и блокаторы, которые добавляли в раствор Кребса—Хензеляйта, используемый для суперфузии мышц, в соответствующих дозах. Показано, что в миокарде человека норадреналин воздействует только на β1-АР и не активирует β2-АР [29]. Однако он способен активировать α-АР [30]. Для исключения этого эффекта исследования проводили на фоне блокады α-АР. С этой целью использовали фентоламин. Предварительные исследования показали, что фентоламин в концентрации 10—6 М блокировал проявление инотропных эффектов стимуляции α-АР фенилэфрином (10—5 М) на фоне блокады β-адренорецепторов (пропранолол 3 10—7 М). Протокол проводимого исследования включал регистрацию инотропного ответа мышечных полосок: 1) исходно (после 60 мин адаптации), 2) в условиях блокады α-АР (фентоламин, 10—6 М), 3) при стимуляции β1-АР (норадреналин, 10—7 М) на фоне блокады α-АР.
Инотропный эффект катехоламинов на сердечную мышцу развивается быстро. Однако на примере β2-АР показано, что для полной реализации их инотропных эффектов в изолированном миокарде предсердий мышей может потребоваться до 20 мин [31]. Поскольку в настоящем исследовании рассматривается миокард пациентов с хроническим заболеванием ССС, предполагающим возможность измененного состояния кардиомиоцитов и их рецепторов, развитие инотропного ответа изолированных трабекул при стимуляции β-АР регистрировали непрерывно на протяжении 20 мин (рис. 1). Для записи и последующей обработки механограмм инотропных ответов применяли программу MUSCLEDATA (Scientific Instruments GmbH, Германия). Для анализа использовали характеристики одиночных циклов “сокращение-расслабление”, регистрируемых через 1 и 20 мин после начала воздействия норадреналина. Статистическую обработку полученных данных проводили с помощью программы StatSoft STATISTICA 10.0. Проверку согласия с нормальным законом распределения признаков выполняли по критерию Шапиро—Уилка. Поскольку выявлено отсутствие нормального распределения, данные представлены в виде медианы и интерквартильного размаха – Ме (Q1; Q3). Статистическую значимость различий оценивали при помощи непараметрического критерия Манна—Уитни, линейную связь количественных параметров оценивали с помощью коэффициента корреляции Спирмена [32]. За критический уровень значимости p для всех процедур статистического анализа принимали < 0.05.
Рис. 1. Типичный вид непрерывной регистрации механограммы мышечных полосок из миокарда ушка правого предсердия человека, отражающей развитие инотропного ответа при воздействии агониста β1-АР (А), а также одиночных циклов “сокращение-расслабления” у пациентов с сохраненной (Б) и низкой (В) фракцией выброса. 1 – до воздействия агониста β1-АР; 2 – через 1 мин после воздействия агониста β1-АР; 3 – через 20 мин после воздействия агониста β1-АР
РЕЗУЛЬТАТЫ ИССЛЕДОВАНИЯ И ИХ ОБСУЖДЕНИЕ
При проведении исследований на изолированных мышечных полосках рассматриваемых групп пациентов оказалось, что их инотропный ответ при стимуляции β1-АР различается (рис. 1). Различие касалось как его выраженности уже по прошествии 1 мин, так и динамики изменения к 20-й мин.
После статистической обработки полученных результатов (табл. 1) оказалось, что медиана инотропного ответа миокарда пациентов с сохраненной ФВ уже через минуту после воздействия норадреналина статистически значимо (р < 0.05) увеличивалась почти в 1.4 раза. В группе с низкой ФВ усиление инотропного ответа миокарда менее выражено, но это изменение тоже было статистически значимым (р < 0.05). По прошествии 20 мин для миокарда пациентов, имеющих сохраненную ФВ, был характерен еще более выраженный прирост инотропного ответа. Напротив, в группе пациентов с низкой ФВ усиления инотропного эффекта мышечных полосок за 20 мин не было.
Таблица 1. Инотропный ответ мышечных полосок миокарда пациентов с сохраненной и низкой фракцией выброса (ФВ) при стимуляции их β1-АР
Показатель | Группы пациентов | |||
сохраненная ФВ | низкая ФВ | |||
1 мин | 20 мин | 1 мин | 20 мин | |
Тmax, % | 130 (112; 137)* | 150 (138; 163)*, # | 120 (113; 134)* | 118 (109; 124) |
dTmax /dt, % | 114 (103; 123) | 93 (82; 103) | 126 (114; 129)* | 122 (110; 129)* |
dTmin /dt, % | 107 (96; 121) | 109 (98; 117) | 112 (105; 118) | 106 (103; 118) |
Примечание: Т – развиваемое напряжение; dTmax/dt – скорость повышения напряжения; dTmin/dt – скорость снижения напряжения; * – значимое различие c величиной до стимуляции β1-АР; # – значимое различие между 1 и 20 мин стимуляции β1-АР.
Известно, что основной вклад в положительный инотропный ответ миокарда при стимуляции β1-АР вносит изменение внутриклеточного гомеостаза ионов кальция [3, 4, 6]. Изменение направлено на увеличение пула этих ионов, депонируемых в саркоплазматическом ретикулуме (СПР) кардиомиоцитов. Показано, что это достигается за счет более полного обратного захвата ионов кальция в СПР при расслаблении кардиомиоцитов и их связывании в этой структуре. Хорошо известно, что на целом сердце это проявляется в повышении скорости диастолического расслабления миокарда (положительный лузитропный эффект). Реализация этого механизма возможна при наличии достаточного резерва у ион-транспортирующих систем СПР и их согласованного функционирования. На уровне изолированных полосок сердечной мышцы в условиях электрической стимуляции изменения внутриклеточного гомеостаза ионов кальция отражается на скоростных параметрах одиночного цикла “сокращение-расслабление”, причем в здоровом миокарде усиление инотропного ответа за счет изменения внутриклеточного гомеостаза кальция характеризуется преимущественным увеличением скорости расслабления [27]. Действительно, именно быстрый обратный захват ионов кальция в СПР при расслаблении кардиомиоцитов и увеличение сопряженного с СПР пула этих ионов способен обеспечить большую их осцилляцию в следующем цикле электромеханического сопряжения. Можно предположить, что в условиях ремоделированного миокарда изменение скоростных параметров цикла “сокращение-расслабление” может быть иным. Действительно, согласно данным, представленным в табл. 1, в настоящем исследовании воздействие агониста β1-АР не сопровождалось преимущественным увеличением скорости расслабления мышечных полосок. Более того, для мышечных полосок миокарда пациентов, имевших низкую ФВ, было получено статистически значимое увеличение скорости сокращения. Такие результаты не противоречат нашим ранее опубликованным данным [28] и, скорее всего, обусловлены исходно высоким напряжением системы, ответственной за обратный захват ионов кальция, сопряженной с СПР. Правомерность такого предположения согласуется с результатами исследования экспрессии белков Са2+-транспортирующей системы СПР в кардиомиоцитах при хронических патологиях сердца [33]. С этой позиции, логично ожидать, что у пациентов с низкой ФВ СПР уже исходно должен иметь бóльший пул ионов кальция. Более полное вовлечение этого пула в осцилляции внутриклеточного кальция при возбуждении кардиомиоцитов, вероятно, и объясняет значимое увеличение как скорости сокращения, так и самого инотропного ответа. А также тот факт, что выявленные изменения сохранялись на протяжении всего периода наблюдений. Напротив, для мышечных полосок миокарда пациентов, имевших сохраненную ФВ, выраженных различий в изменении скоростных показателей не получено, но при этом амплитуда инотропного ответа имела тенденцию к увеличению. Выявленные различия в адренореактивности мышечных полосок миокарда при стимуляции β1-АР у пациентов с сохраненной и низкой ФВ, вероятно, могут быть обусловлены наличием этих рецепторов в разном аффинном состоянии [34, 35]. Нельзя исключать, что на адренореактивность миокарда рассматриваемых групп пациентов может влиять разница в доступности для агонистов субклеточно расположенных адренорецепторов [36]. Это предположение не противоречит представлениям о вовлечении в процесс ремоделирования как внешней мембраны кардиомиоцитов, так и мембран их внутриклеточных структур.
Группы пациентов, сформированные для выполнения настоящего исследования, различались не только по ФВ. По результатам ЭхоКГ, представленным в табл. 2, для сердца пациентов были характерны статистически значимо более высокие значения КСО, КДО и индекса сферичности ЛЖ. Скорости диастолического наполнения показали разную направленность. Так, если скорость раннего диастолического наполнения ЛЖ, оцениваемая по величине показателя пик Е [37–39], была лишь недостоверно выше в группе с низкой ФВ, то скорость позднего диастолического наполнения (пик А) у этой группы пациентов была уже статистически значимо меньше. Такое соотношение показателей вполне согласуется с существующими представлениями о внутрисердечной гемодинамики ремоделированного сердца человека [37, 40]. Так, низкие значения показателя пика А, характерные в настоящем исследовании для пациентов группы с низкой ФВ, свидетельствуют о снижении способности миокарда левого предсердия обеспечить гемодинамический “толчок предсердия”, способствующий растяжению стенки желудочка и более эффективному его сокращению в систолу. Полученные результаты хорошо согласуются с данными, представленными в табл. 3. Так, оказалось, что группа с низкой ФВ включала значимо больше пациентов с диастолической дисфункцией, гипертрофией ЛЖ и дилатацией отделов сердца.
Таблица 2. Параметры сердца рассматриваемых групп пациентов по результатам эхокардиографии (ЭхоКГ) (Ме (Q1; Q3))
Параметры ЭхоКГ | Группы пациентов | ||
сФВ | нФВ | р | |
ФВ ЛЖ, % | 61 (57.5; 64.5) | 33 (29; 34) | < 0.001 |
КСО, мл | 43 (36; 50) | 126 (117; 140) | < 0.001 |
КДО, мл | 112 (99; 124) | 190 (179; 209) | < 0.001 |
Индекс сферичности ЛЖ | 0.56 (0.52; 0.58) | 0.59 (0.55; 0.62) | 0.021 |
Пик Е, см/с | 65 (54; 77) | 71 (51; 93) | 0.490 |
Пик А, см/с | 79 (68; 92) | 69 (44; 83) | 0.023 |
Примечание: ФВ ЛЖ – фракция выброса левого желудочка; КСО – конечный систолический объем ЛЖ; КДО – конечный диастолический объем ЛЖ; пик Е — скорости раннего диастолического наполнения ЛЖ; пик А – скорость позднего диастолического наполнения ЛЖ. Жирным шрифтом выделены статистически значимые различия.
Таблица 3. Частота структурных нарушений сердца в сформированных группах пациентов (n (%))
Параметры | Группы пациентов | р | |
сФВ | нФВ | ||
Гипертрофия ЛЖ | 14 (25.5) | 15 (68.2) | 0.001 |
Дилатация ЛП | 13 (23.6) | 18 (81.8) | < 0.001 |
Дилатация ЛЖ | 3 (5.5) | 21 (95.5) | < 0.001 |
Дилатация ПП | 3 (5.5) | 6 (27.3) | 0.014 |
Диастолическая дисфункция | 37 (67.3) | 18 (81.8) | 0.014 |
Примечание: ФВ – фракция выброса; ЛЖ – левый желудочек; ЛП – левое предсердие; ПП – правое предсердие; n (%) – качественные значения выражены в абсолютных (n) и относительных величинах в процентах (%); жирным шрифтом выделены статистически значимые различия.
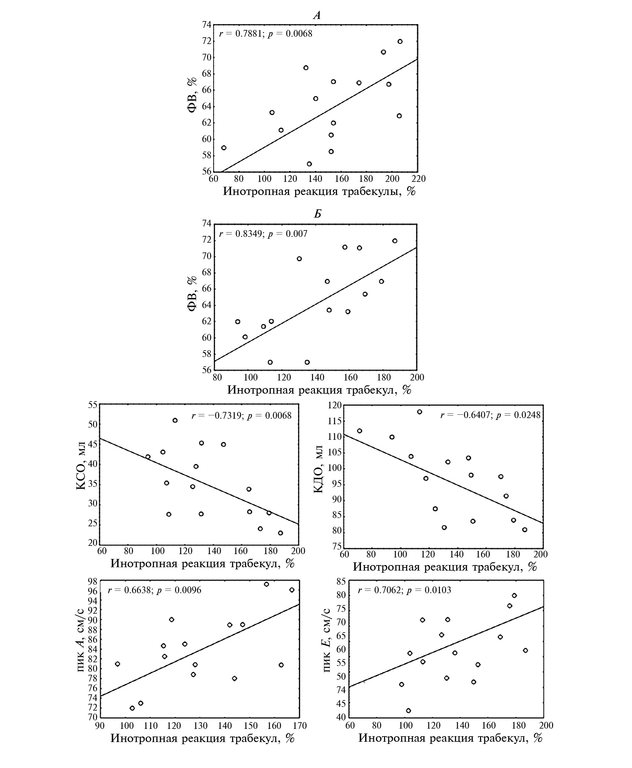
Поскольку состояние сердца пациентов рассматриваемых групп при проведении инструментальных исследований находится под контролем ВНС, нами был проведен корреляционный анализ инотропного ответа изолированных мышечных полосок при стимуляции β1-АР и результатов ЭхоКГ исследований сердца этих пациентов. Оказалось, что у пациентов с сохраненной ФВ инотропная реакция мышечных полосок, проявляющаяся к 1-й мин при стимуляции β1-АР, имеет только одну значимую корреляционную связь с величиной ФВ (рис. 2). По прошествии 20 мин также была выявлена значимая положительная корреляция инотропного ответа с величиной ФВ. Кроме этого, были выявлены отрицательные корреляции с показателями КСО и КДО. Напротив, для показателей пика Е и пика А были получены положительные корреляции. Принципиально иные корреляции обнаружены для пациентов группы с низкой ФВ (рис. 3). Здесь, инотропный ответ мышечных полосок миокарда через 1 мин после воздействия агониста β1-АР не только отрицательно коррелировал с величиной их ФВ, но и имел положительную корреляцию с КСО и КДО. По прошествии 20 мин значимая корреляция была выявлена только для показателя пика Е.
Рис. 2. Корреляционные связи, обнаруженные у пациентов с сохраненной ФВ, между инотропным ответом мышечных полосок через 1 (А) и через 20 (Б) мин после стимуляции β1-АР с результатами ЭхоКГ исследования их сердца. ФВ – фракция выброса (%); КСО – конечный систолический объем (мл); КДО – конечный диастолический объем (мл), пик Е – скорость раннего диастолического наполнения ЛЖ (см/с); пик А – скорость позднего диастолического наполнения ЛЖ (см/с)
Рис. 3. Корреляционные связи, обнаруженные у пациентов с низкой ФВ, между инотропным ответом мышечных полосок через 1 (А) и через 20 (Б) мин после стимуляции β1-АР с результатами эхокардиографии (ЭхоКГ) исследования их сердца. Обозначения см. рис. 2
Полученные нами данные согласуются с представлением о том, что дисфункция ВНС сопряжена с развитием хронических заболеваний ССС. На уровне кардиомиоцитов эта дисфункция проявляется в изменении работы ион-транспортирующих систем сарколеммы и СПР. Нарушение внутриклеточного гомеостаза ионов кальция признается важным фактором в ремоделировании сердечной мышцы при ИБС [41, 42]. Хорошо известно, что ремоделирование Са2+-транспортирующих систем СПР в условиях патологии изменяет эффект активации β1-АР на инотропную реакцию миокарда. Результаты исследования свидетельствуют о том, что при низкой ФВ β1-АР сохраняют влияние на адренореактивность миокарда человека. Однако это влияние меньше, чем у пациентов с сохраненной ФВ. Этот результат согласуется с представлением, что снижение функции β-АР в миокарде зависит от выраженности СН [43]. Кроме этого, он не противоречит данным, что в миокарде человека в условиях СН регуляторная роль β1-AР снижается на 40–50% [4, 16, 44]. Различие в динамике инотропного ответа за 20 мин наблюдения при стимуляции β1-AР, обнаруженное нами у пациентов с сохраненной и низкой ФВ, может быть обусловлено исходно разной нагрузкой Са2+-транспортирующих систем СПР и состоянием энергетического метаболизма кардиомиоцитов этих пациентов. Полученные результаты согласуются с уже опубликованными данными о том, что при ИБС в кардиомиоцитах нарушается работа Са2+-транспортирующих систем СПР и изменяется их сопряженность с показателями внутрисердечной гемодинамики [33].
ЗАКЛЮЧЕНИЕ
Полученные данные свидетельствуют о том, что β1-АР сохраняют влияние на сократительную активность миокарда пациентов с низкой ФВ, однако она меньше, чем у пациентов с сохраненной ФВ. У пациентов с низкой ФВ адренореактивность миокарда, сопряженная с β1-АР, является значимым фактором для определения внутрисердечной гемодинамики. Обнаруженные корреляции параметров ультразвукового исследования сердца с инотропным ответом изолированных фрагментов миокарда при стимуляции подтипов β1-АР у пациентов с сохраненной и с низкой ФВ, вероятно, демонстрируют различную выраженность ремоделирования камер сердца и состояние общей нейрогуморальной регуляции в условиях рассматриваемой патологии.
Финансирование работы. Работа проведена в рамках выполнения гранта РНФ № 23-25-00060.
Соблюдение этических стандартов. Все исследования проводились в соответствии с принципами биомедицинской этики, изложенными в Хельсинкской декларации 1964 г. и последующих поправках к ней. Они также были одобрены локальным этическим комитетом НИИ кардиологии Томского НИМЦ (Томск), протокол № 208 от 20.01.2021 г.
Каждый участник исследования дал добровольное письменное информированное согласие после получения разъяснений о потенциальных рисках и преимуществах, а также о характере предстоящего исследования.
Конфликт интересов. Авторы данной работы заявляют, что у них нет конфликта интересов.
Вклад авторов в публикацию. Все авторы приняли участие в обсуждении идеи и композиции рукописи. С.А. Афанасьев – замысел и методология, рецензирование и редактирование, Ш.Д. Ахмедов, В.В. Затолокин – формирование когорт пациентов и взятие биопсийного материала, Э.Ф. Муслимова, Д.С. Кондратьева, В.А. Корепанов – лабораторные исследования и формальный анализ результатов. Д.С. Кондратьева – составление исходного черновика статьи. Окончательный вариант рукописи прочитан и одобрен всеми авторами.
About the authors
S. A. Afanasiev
Tomsk National Research Medical Center
Author for correspondence.
Email: Tursky@cardio-tomsk.ru
Russian Federation, Tomsk
D. S. Kondratieva
Tomsk National Research Medical Center
Email: Tursky@cardio-tomsk.ru
Russian Federation, Tomsk
E. F. Muslimova
Tomsk National Research Medical Center
Email: Tursky@cardio-tomsk.ru
Russian Federation, Tomsk
V. A. Korepanov
Tomsk National Research Medical Center
Email: Tursky@cardio-tomsk.ru
Russian Federation, Tomsk
V. V. Zatolokin
Tomsk National Research Medical Center
Email: Tursky@cardio-tomsk.ru
Russian Federation, Tomsk
Sh. D. Akhmedov
Tomsk National Research Medical Center
Email: Tursky@cardio-tomsk.ru
Russian Federation, Tomsk
References
- Afanasiev S.A., Pavlyukova E.N., Kuzmichkina M.A. et al. Effect of stimulating the auricular branch of the vagus nerve on the heart rate in patients with severe chronic heart failure // Human Physiology. 2016. V. 42. № 4. P. 416.
- Afanasiev S.A., Pavliukova E.N., Kuzmichkina M.A. et al. Nonpharmacological correction of hypersympatheticotonia in patients with chronic coronary insufficiency and severe left ventricular dysfunction // Ann. Noninvasive Electrocardiol. 2016. V. 21. № 6. P. 548.
- Kumari N., Gaur H., Bhargava A. Cardiac voltage gated calcium channels and their regulation by β-adrenergic signaling // Life Sci. 2018. V. 194. P. 139.
- Baker A.J. Adrenergic signaling in heart failure: a balance of toxic and protective effects // Pflugers Arch. 2014. V. 466. № 6. P. 1139.
- Shlyakhto E.V., Konradi A.O., Zvartau N.E. et al. [Influence on the autonomic cardiovascular system regulation in the treatment of hypertension, arrhythmias and heart failure] // Russ. J. Cardiol. 2022. V. 27. № 9. P. 92.
- Chen H., Zhang S., Hou R., Liu H. Gi-protein-coupled β1-adrenergic receptor: re-understanding the selectivity of β1-adrenergic receptor to G protein // Acta Biochim. Biophys. Sin. (Shanghai). 2022. V. 54. № 8. P. 1043.
- Perez D.M. Targeting adrenergic receptors in metabolic therapies for heart failure // Int. J. Mol. Sci. 2021. V. 22. № 11. P. 5783.
- Ippolito M., Benovic J.L. Biased agonism at β-adrenergic receptors // Cell. Signal. 2021. V. 80. P. 109905.
- Avakian A.E., Tkachuk V.A. [Structural and functional organisation of the signal transmission system in G-protein receptors] // Russ. J. Physiol. 2003. V. 89. № 2. P. 219.
- Hamdani N., Linke W.A. Alteration of the beta-adrenergic signaling pathway in human heart failure // Curr. Pharm. Biotechnol. 2012. V. 13. № 13. P. 2522.
- Krasnikov T.L., Gabrusenko S.A. [Beta-adrenergic receptors of the normal heart and in heart failure] // Usp. Fiziol. Nauk. 2000. V. 31. № 2. P. 35.
- Bencivenga L., Liccardo D., Napolitano C. et al. β-Adrenergic receptor signaling and heart failure: from bench to bedside // Heart Fail Clin. 2019. V. 15. № 3. P. 409.
- Motiejunaite J., Amar L., Vidal-Petiot E. Adrenergic receptors and cardiovascular effects of catecholamines // Ann. Endocrinol. 2021. V. 82. № 3–4. P. 193.
- Brodde O.-E., Bruck H., Leineweber K. Cardiac adrenoceptors: physiological and pathophysiological relevance // J. Pharmacol. Sci. 2006. V. 100. № 5. P. 323.
- Cannavo A., Koch W.J. Targeting β3-adrenergic receptors in the heart: Selective agonism and β-blockade // J. Cardiovasc. Pharmacol. 2017. V. 69. № 2. P. 71.
- Pathak A., Mrabeti S. β-blockade for patients with hypertension, ischemic heart disease or heart failure: Where are we now? // Vasc. Health Risk. Manag. 2021. V. 17. P. 337.
- Fajardo G., Zhao M., Urashima T. et al. Deletion of the β2-adrenergic receptor prevents the development of cardiomyopathy in mice // J. Mol. Cell. Cardiol. 2013. V. 63. P. 155.
- Sandroni P.B., Fisher-Wellman K.H., Jensen B.C. Adrenergic receptor regulation of mitochondrial function in cardiomyocytes // J. Cardiovasc. Pharmacol. 2022. V. 80. № 3. P. 364.
- McGraw D.W., Liggett S.B. Molecular mechanisms of beta2-adrenergic receptor function and regulation // Proc. Am. Thorac. Soc. 2005. V. 2. № 4. P. 6292.
- Lang D., Holzem K., Kang C. et al. Arrhythmogenic remodeling of β2 versus β1 adrenergic signaling in the human failing heart // Circ. Arrhythm. Electrophysiol. 2015. V. 8. № 2. P. 409.
- Pecha S., Geelhoed B., Kempe R. et al. No impact of sex and age on beta-adrenoceptor-mediated inotropy in human right atrial trabeculae // Acta Physiol. (Oxford, England). 2021. V. 231. № 3. P. e13564.
- Li W., Zhu Y., Wang W. et al. Src tyrosine kinase promotes cardiac remodeling induced by chronic sympathetic activation // Biosci Rep. 2023. V. 43. № 10. P. BSR20231097.
- Kazakov V.A., Gutor S.S., Sukhodolo I.V. et al. Correlative intercoupling of histomorphometrical values of different heart parts in norm and with chronic heart failure // Bull. Sib. Med. 2009. № 3. P. 43.
- Korotayeva K.N., Tsirkin V.I., Vyaznikov V.A., Kostjaev A.A. Influence of the human blood serum on contractility and β-adrenoreactivity of the isolated human myocardium // Human Physiology. 2011. V. 37. № 3. P. 339.
- Lamberts R.R., Lingam S.J., Wang, H.Y. et al. Impaired relaxation despite upregulated calcium-handling protein atrial myocardium from type 2 diabetic patients with preserved ejection fraction // Cardiovasc. Diabetol. 2014. V. 13. P. 72.
- Afanasiev S.A., Kondratieva D.S., Egorova M.V. et al. [Features the interaction of functional and metabolic remodeling of myocardium in comorbid course of ischemic heart disease and 2 type diabetes mellitus] // Diabetes Mellitus. 2019. V. 22. № 1. P. 25.
- Maier L.S., Bers D.M., Pieske B. Differences in Ca2+-Handling and Sarcoplasmic Reticulum Ca2+-Content in Isolated Rat and Rabbit Myocardium // J. Mol. Cell. Cardiol. 2000. V. 32. № 12. Р. 2249.
- Kondrat’eva D.S., Afanas’ev S.A., Falaleeva L.P., Shakhov V.P. Inotropic response of the myocardium in rats with postinfarction cardiosclerosis exposed to extrasystolic treatment // Bull. Exp. Biol. Med. 2005. V. 139. № 6. P. 647.
- Brodde O.-E., Khamssi M., Zerkowski H.R. β-Adrenoceptors in the transplanted human heart: unaltered ß-adrenoceptor density, but increased proportion of β2-adrenoceptors with increasing posttransplant time // Naunyn Schmiedebergs Arch. Pharmacol. 1991. V. 344. № 4. P. 430.
- Osnes J.B., Aass H., Skomedal T. Adrenoceptors in myocardial regulation: concomitant contribution from both alpha- and beta-adrenoceptor stimulation to the inotropic response // Basic Res. Cardiol. 1989. V. 84. Suppl 1. P. 9.
- Odnosivkina Yu.G., Petrov A.M., Zefirov A.L. [Mechanism of the slow inotropic response of the mouse atrium mediated by the β2-adrenoreceptor] // Russ. J. Physiol. 2011. V. 97. № 11. P. 1223.
- Glants S. [Medico-biological statistics]. M.: Praktika, 1998. 459 p.
- Kondratieva D.S., Archakov E.A., Muslimova E.F. Relationship between the expression level of calcium handling proteins of the sarcoplasmic reticulum of cardiomyocytes and the structural and functional state of the patient hearts with permanent atrial fibrillation // Human Physiology. 2021. V. 47. № 6. P. 666.
- Molenaar P., Chen L., Semmler A.B. et al. Human heart beta-adrenoceptors: beta1-adrenoceptor diversification through ‘affinity states’ and polymorphism // Clin. Exp. Pharmacol. Physiol. 2007. V. 34. № 10. P. 1020.
- Kaumann A.J., Kenakin T., Angus J.A. Gs protein- coupled receptors in human heart. The pharmacology of functional, biochemical, and recombinant receptor systems. Handbook of experimental pharmacology. Springer, Berlin. 2000. 73 p.
- Wei W., Smrcka A.V. Subcellular β-Adrenergic receptor Ssgnaling in cardiac physiology and disease // J. Cardiovasc. Pharmacol. 2022. V. 80. № 3. P. 334.
- Pathak A., Mrabeti S. β-Blockade for patients with hypertension, ischemic heart disease or heart failure: Where are we now? // Vasc. Health Risk. Manag. 2021. V. 17. P. 337.
- Nikolajević S.J., Janić M., Šabovič M. Molecular mechanisms responsible for diastolic dysfunction in diabetes mellitus patients // Int. J. Mol. Sci. 2019. V. 20. № 5. P. 1197.
- Citerni C., Kirchhoff J., Olsen L.H. et al. Characterization of atrial and ventricular structural remodeling in a porcine model of atrial fibrillation induced by atrial tachypacing // Front. Vet. Sci. 2020. V. 7. P. 179.
- Wiputra H., Chan W.X., Foo Y.Y. et al. Cardiac motion estimation from medical images: a regularisation framework applied on pairwise image registration displacement fields // Sci. Rep. 2020. V. 10. № 1. P. 18510.
- Dobrev D., Wehrens X.H.T. Calcium-mediated cellular triggered activity in atrial fibrillation // J. Physiology. 2017. V. 595. № 12. P. 4001.
- Lugenbiel P., Wenz F., Govorov K. et al. Atrial fibrillation complicated by heart failure induces distinct remodeling of calcium cycling proteins // PLoS One. 2015. V. 10. № 3. P. e0116395.
- Khamssi M., Brodde O.E. The role of cardiac beta1- and beta2-adrenoceptor stimulation in heart failure // J. Cardiovasc. Pharmacol. 1990. V. 16. Suppl 5. P. S133.
- Tilley D.G., Rockman H.A. Role of β-adrenergic receptor signalling and desensitization in heart failure: new concepts and prospects for treatment // Expert Rev. Cardiovasc. Ther. 2006. V. 4. № 3. P. 417.
Supplementary files





