Новый комплекс рибозима с глюкозо-6-фосфатизомеразной активностью и фермента гексокиназы в пекарских дрожжах Saccharomyces cerevisiae
- Авторы: Соловьева О.Н.1
-
Учреждения:
- Московский государственный университет им. М.В. Ломоносова, НИИ физико-химической биологии им. А.Н. Белозерского
- Выпуск: Том 49, № 5 (2023)
- Страницы: 494-501
- Раздел: Статьи
- URL: https://journal-vniispk.ru/0132-3423/article/view/139253
- DOI: https://doi.org/10.31857/S013234232305007X
- EDN: https://elibrary.ru/BYLHBD
- ID: 139253
Цитировать
Полный текст
Аннотация
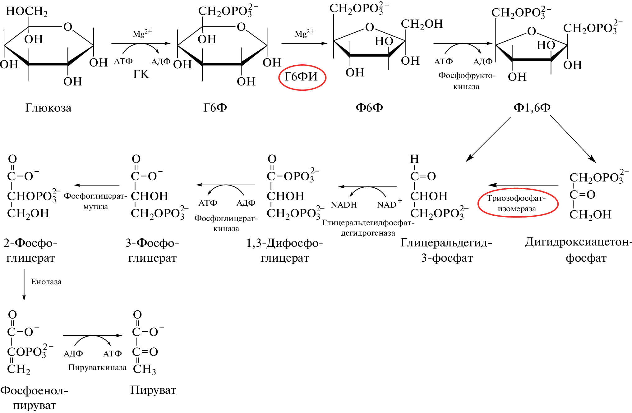
Показано существование неизвестного ранее рибозима с каталитической активностью глюкозо-6-фосфатизомеразы. Рибозим катализирует взаимопревращение глюкозо-6-фосфата и фруктозо-6-фосфата. Рибозим обнаружен в пекарских дрожжах Saccharomyces cerevisiae и выделен в комплексе с ферментом гексокиназой. Комплекс легко выделялся на иммуноаффинной колонке с антителами к гексокиназе. Рибозим состоит из 41–42 нуклеотидов и имеет молекулярную массу 14.15–14.5 кДа. Km и Vmax составляют, соответственно, 0.14 ± 0.02 мМ и 14.0 ± 1.3 ед./мг для глюкозо-6-фосфата и 0.20 ± 0.03 мМ и 15.4 ± 1.4 ед./мг для фруктозо-6-фосфата. Эти кинетические характеристики примерно одинаковы для рибозима в составе комплекса и для свободного рибозима. Гексокиназа в составе комплекса сохраняет свою каталитическую активность.
Ключевые слова
Об авторах
О. Н. Соловьева
Московский государственный университет им. М.В. Ломоносова,НИИ физико-химической биологии им. А.Н. Белозерского
Email: soloveva_o@list.ru
Россия, 119234, Москва, Ленинские горы, 1с40
Список литературы
- Cech T.R., Zaug A.J., Grabowski P.I. // Cell. 1981. V. 27. P. 487–496. https://doi.org/10.1016/0092-8674(81)90390-1
- Kruger K., Grabowski P.J., Zaug A.J., Sands J., Gottschling D.E., Cech T.R. // Cell. 1982. V. 31. P. 147–157. https://doi.org/10.1016/0092-8674(82)90414-7
- Guerrier-Takada C., Gardiner K., Marsh T., Pace N., Altman S. // Cell. 1983. V. 35. P. 849–857. https://doi.org/10.1016/0092-8674(83)90117-4
- Wilson T.J., Lilley D.M.J. // Wiley Interdiscip. Rev. RNA. 2021. V. 12. P. e1651. https://doi.org/10.1002/wrna.165
- Lilley D.M. // Phil. Trans. R. Soc. Lond. B. Biol. Sci. 2011. V. 366. P. 2910–2917. https://doi.org/10.1098/rstb.2011.0132
- Lilley D.M. // Biochem. Soc. Trans. 2011. V. 39. P. 641–646. https://doi.org/10.1042/BST0390641
- Wilson T.J., Lilley D.M. // RNA. V. 21. P. 534–537. https://doi.org/10.1261/rna.049874.115
- Müller S., Appel B., Balke D., Hieronymus R., Nübel C. // F1000Res. 2016. V. 5. P. 1511. https://doi.org/10.12688/f1000research.8601.1
- Kuznetsova S.A., Petrukov K.S., Pletnev F.I., Sergiev P.V., Dontsova O.A. // Biochemistry (Moscow). 2019. V. 84. P. 851–869. https://doi.org/10.1134/S0006297919080029
- Suga H., Cowan J.A., Szostak J.W. // Biochemistry. 1998. V. 37. P. 10118–10125. https://doi.org/10.1021/bi980432a
- DeRose V.J. // Chem. Biol. 2002. V. 9. P. 961–969. https://doi.org/10.1016/S1074-5521(02)00217-X
- Kingery D.A., Pfund E., Voorhees R.M., Okuda K., Wohlgemuth I., Kitchen D.E., Rodnina M.V., Strobel S.A. // Chem. Biol. 2008. V. 15. P. 493–500. https://doi.org/10.1016/j.chembiol.2008.04.005
- Wohlgemuth I., Brenner S., Beringer M., Rodnina M.V. // J. Biol. Chem. 2008. V. 283. P. 32229–32235. https://doi.org/10.1074/jbc.M805316200
- Kikovska E., Svard S.G., Kirsebom L.A. // Proc. Natl. Acad. Sci. USA. 2007. V. 104. P. 2062–2067. https://doi.org/10.1073/pnas.0607326104
- Marvin M.C., Engelke D.R. // J. Cell. Biochem. 2009. V. 108. P. 1244–1251. https://doi.org/10.1002/jcb.22367
- McCarthy T.J., Plog M.A., Floy S.A., Jansen J.A., Juliane K., Soukup J.K., Soukup G.A. // Chem. Biol. 2005. V. 12. P. 1221–1226. https://doi.org/10.1016/j.chembiol.2005.09.006
- Brooks K.M., Hampel K.J. // Biochemistry. 2011. V. 50. P. 2424–2433. https://doi.org/10.1021/bi101842u
- Bingaman J.L., Zhang S., Stevens D.R., Yennawar N.H., Hammes-Schiffer S., Bevilacqua P.C. // Chem. Biol. 2017. V. 13. P. 439–445. https://doi.org/10.1038/nchembio.2300
- Lohse P.A., Szostak J.W. // Nature. 1996. V. 381. P. 442–444. https://doi.org/10.1038/381442a0
- Travascio P., Bennet A.J., Wang D.Y., Sen D. // Chem. Biol. 1999. V. 6. P. 779–787. https://doi.org/10.1016/S1074-5521(99)80125-2
- Nieuwlandt D., West M., Cheng X., Kirshenheuter G., Eaton B.E. // ChemBioChem. 2003. V. 4. P. 651–654. https://doi.org/10.1002/cbic.200300610
- Cernak P., Sen D. // Nat. Chem. 2013. V. 5. P. 971–977. https://doi.org/10.1038/nchem.1777
- Tsukiji S., Pattnaik S.B., Suga H. // Nat. Struct. Biol. 2003. V. 10. P. 713–717. https://doi.org/10.1038/nsb964
- Corley M., Burns M.C., Yeo G.W. // Mol. Cell. 2020. V. 78. P. 9–29. https://doi.org/10.1016/j.molcel.2020.03.011
- Smith J.M., Sandow J.J., Webb A.I. // Biochem. Soc. Trans. 2021. V. 49. P. 393–403. https://doi.org/10.1042/BST20200688
- Ramanathan M., Porter D.F., Khavari P.A. // Nat. Methods. 2019. V. 16. P. 225–234. https://doi.org/10.1038/s41592-019-0330-1
- Tsukiji S., Pattnaik S.B., Suga H. // J. Am. Chem. Soc. 2004. V. 126. P. 5044–5045. https://doi.org/10.1021/ja0495213
- Fusz S., Eisenführ A., Srivatsan S.G., Heckel A., Famulok M. // Chem. Biol. 2005. V. 12. P. 941–950. https://doi.org/10.1021/ja0495213
- Fusz S., Srivatsan S.G., Ackermann D., Famulok M. // J. Org. Chem. 2008. V. 73. P. 5069–5077. https://doi.org/10.1021/jo800639p
- Curtis N.J., Jeffery C.J. // Biochem. Soc. Trans. 2021. V. 49. P. 1099–1108. https://doi.org/10.1042/BST20200664
- Gemmill D., D’souza S., Meier-Stephenson V., Patel T.R. // Biochem. Cell Biol. 2020. V. 98. P. 31–41. https://doi.org/10.1139/bcb-2019-0041
- Solovjeva O.N. // Open J. Anal. Bioanal. Chem. 2020. V. 4. P. 020–028. https://doi.org/10.17352/ojabc.000020
- Gancedo C., Flores C.L. // Microbiol. Mol. Biol. Rev. 2008. V. 72. P. 197–210. https://doi.org/10.1128/MMBR.00036-07
- Ahuatzi D., Riera A., Pela Ez.R., Herrero P., Moreno F. // J. Biol. Chem. 2007. V. 282. P. 4485–4493. https://doi.org/10.1074/jbc.M606854200
- Rodríguez-Saavedra C., Morgado-Martínez L.E., Burgos-Palacios A., King-Díaz B., López-Coria M., Sánchez-Nieto S. // Front. Mol. Biosci. 2021. V. 8. P. 701 975. https://doi.org/10.3389/fmolb.2021.701975
- Castello A., Hentze M.W., Preiss T. // Trends Endocrinol. Metab. 2015. V. 26. P. 746–757. https://doi.org/10.1016/j.tem.2015.09.012
- Bradford M.M. // Anal. Biochem. 1976. V. 72. P. 248–254. https://doi.org/10.1016/0003-2697(76)90527-3
- Wilfinger W.W., Mackey K., Chomczynski P. // Biotechniques. 1997. V. 22. P. 474–481. https://doi.org/10.2144/97223st01
- Jacob L., Beecken V., Bartunik L.J., Rose M., Bartunik H.D. // J. Chromatogr. 1991. V. 587. P. 85–92. https://doi.org/10.1016/0021-9673(91)85201-p
- Rabinovitz M. // FEBS Lett. 1992. V. 302. P. 113–116. https://doi.org/10.1016/0014-5793(92)80418-G
- White M.R., Garcin E.D. // Wiley Interdiscip. Rev. RNA. 2016. V. 7. P. 53–70. https://doi.org/10.1002/wrna.1315
- Arutyunova E.I., Danshina P.V., Domnina L.V., Pleten A.P., Muronetz V.I. // Biochem. Biophys. Res. Commun. 2003. V. 307. P. 547–552. https://doi.org/10.1016/S0006-291X(03)01222-1
- Baranowska B., Baranowski T. // Mol. Cell Biochem. 1977. V. 16. P. 43–48. https://doi.org/10.1007/BF01769838
- Baranowska B., Baranowski T. // Mol. Cell Biochem. 1977. V. 17. P. 75–83. https://doi.org/10.1007/BF01743430
- Castello A., Hentze M.W., Preiss T. // Trends Endocrinol. Metab. 2015. V. 26. P. 746–757. https://doi.org/10.1016/j.tem.2015.09.012
- Schmidt E.E., Colowick S.P. // Arch. Biochem. Biophys. 1973. V. 158. P. 458–470. https://doi.org/10.1016/0003-9861(73)90537-7
- Salas M., Vinuela E., Sols A. // J. Biol. Chem. 1965. V. 240. P. 561–568. https://doi.org/10.1016/S0021-9258(17)45210-0
- Bessell E.M., Thomas P. // Biochem. J. 1973. V. 131. P. 77–82. https://doi.org/10.1042/bj1300020p
- Solovjeva O.N. // Biochemistry (Moscow). 2002. V. 67. P. 667–671. https://doi.org/10.1023/a:1016198321838
- Brückner J. // Biochem. J. 1955. V. 60. P. 200–205. https://doi.org/10.1042/bj0600200
- Barbas C.F., 3rd, Burton D.R., Scott J.K., Silverman G.J. // CSH Protoc. 2007. P. pdb.ip47. https://doi.org/10.1101/pdb.ip47
- Mansour T.E. // J. Biol. Chem. 1963. V. 238. P. 2285–2292. https://doi.org/10.1016/S0021-9258(19)67967-6
- Fromm H.J., Zewe V. // J. Biol. Chem. 1962. V. 237. P. 3027–3032. https://doi.org/10.1016/S0021-9258(18)50115-0
- Cech T.R. // Cold Spring Harb. Perspect. Biol. 2012. V. 4. P. a006742. https://doi.org/10.1101/cshperspect.a006742
- Robertson M.P., Joyce G.F. // Cold Spring Harb. Perspect. Biol. 2012. V. 4. P. a003608. https://doi.org/10.1101/cshperspect.a003608
Дополнительные файлы







