Индукция активности антиоксидантной системы соединениями селена в мицелии Aspergillus niger
- Авторы: Полубояринов П.А.1, Кузнецова А.В.1, Моисеева И.Я.1, Микуляк Н.И.1, Каплун А.П.2
-
Учреждения:
- ФГБОУ ВО “Пензенский государственный университет”
- Московский технологический университет (Институт тонких химических технологий имени М.В. Ломоносова)
- Выпуск: Том 49, № 5 (2023)
- Страницы: 523-536
- Раздел: Статьи
- URL: https://journal-vniispk.ru/0132-3423/article/view/139256
- DOI: https://doi.org/10.31857/S0132342323040371
- EDN: https://elibrary.ru/ODQTVF
- ID: 139256
Цитировать
Полный текст
Аннотация
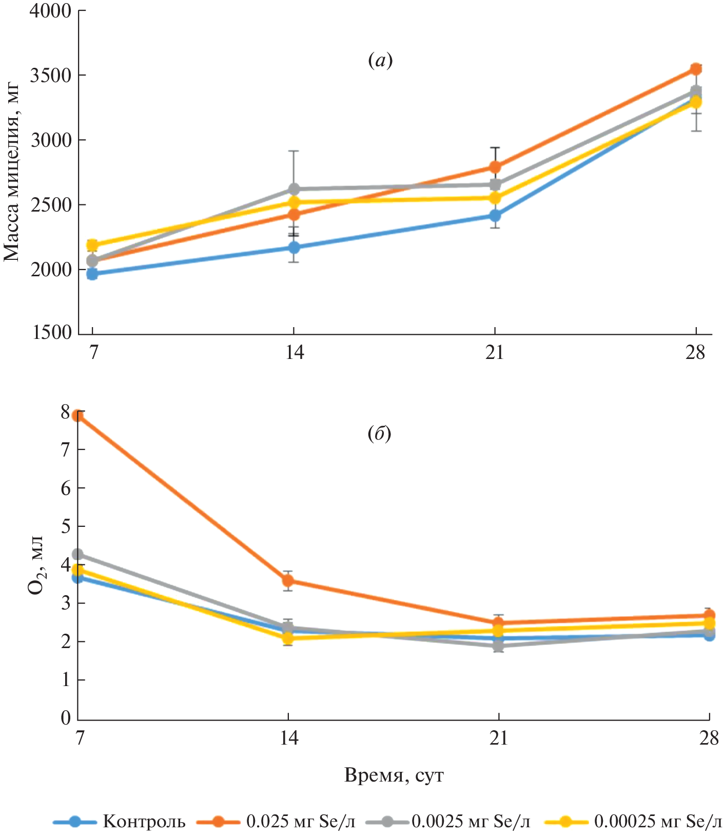
Исследование индукции антиоксидантной активности соединениями селена (Na2SeO3, диацетофенонилселенид (ДАФС-25), L-селеноцистин) в различных организмах представляет интерес как механизм защиты клеточных мембран от окислительного стресса. Методом кулонометрического определения электрогенерированными титрантами (бромом и иодом) проведена сравнительная оценка антиоксидантной активности 23 аминокислот. Показано, что активность уменьшается в следующем ряду: цистин > триптофан > L-селеноцистин > тирозин > 3,3'-диметил-L-селеноцистин > > метионин. С иодом взаимодействуют только аминокислоты-антиоксиданты, которые содержат более активные восстановители – сульфгидрильные и селенольные группы: цистеин > селеноцистеин > трео-3-метил-L-селеноцистеин. Вероятно, коррекция антиоксидантного статуса на уровне аминокислот реализуется за счет наличия сульфгидрильных и селенольных групп в радикалах. Если сульфгидрильных и селенольных групп окажется недостаточно, в роли перехватчиков-восстановителей будут действовать цистин, L-селеноцистин, а также триптофан, тирозин и метионин. Обнаружено, что селенсодержащие соединения дозозависимо индуцируют как общую антиоксидантную активность мицелия гриба Aspergillus niger Tiegh., так и показатели активности антиоксидантной системы (аминокислотный состав и фермент каталазу), что в свою очередь стимулирует накопление биомассы. Наибольший эффект в индукции общей антиоксидантной активности (3.4–5.5 раза) оказывали ДАФС-25 и селенит натрия в самой высокой концентрации (0.025 мг Se/л), более низкие концентрации (0.0025–0.00025 мг Se/л) оказывали меньший эффект (25.8–41.7%). Антиоксидантная активность в пробах с L-селеноцистином повышалась на 1.6–43.3%. Отмечается, что иодная антиоксидантная активность в мицелии в целом была ниже бромной. Все исследуемые соединения селена стимулировали рост биомассы мицелия A. niger (селенит натрия и L-селеноцистин при 0.025 мг Se/л), эффект липофильного ДАФС-25 проявлялся при более низкой концентрации. Также в пробах с ДАФС-25 отмечено более высокое общее содержание аминокислот, активация каталазы и накопление аминокислот-антиоксидантов. Полученные результаты свидетельствуют о том, что в присутствии соединений селена дозозависимо активируется антиоксидантная система мицелия гриба A. niger, что связано с влиянием этих соединений на систему белкового обмена и накопление биомассы.
Ключевые слова
Об авторах
П. А. Полубояринов
ФГБОУ ВО “Пензенский государственный университет”
Автор, ответственный за переписку.
Email: poluboyarinovpavel@yandex.ru
Россия, 440026, Пенза, ул. Красная, 40
А. В. Кузнецова
ФГБОУ ВО “Пензенский государственный университет”
Email: poluboyarinovpavel@yandex.ru
Россия, 440026, Пенза, ул. Красная, 40
И. Я. Моисеева
ФГБОУ ВО “Пензенский государственный университет”
Email: poluboyarinovpavel@yandex.ru
Россия, 440026, Пенза, ул. Красная, 40
Н. И. Микуляк
ФГБОУ ВО “Пензенский государственный университет”
Email: poluboyarinovpavel@yandex.ru
Россия, 440026, Пенза, ул. Красная, 40
А. П. Каплун
Московский технологический университет (Институт тонких химических технологийимени М.В. Ломоносова)
Email: poluboyarinovpavel@yandex.ru
Россия, 125190, Москва, Ленинградский просп., 80, к. 5
Список литературы
- Jitca G., Osz B.E., Tero-Vescan A., Miklos A.P., Rusz C.M., Batrinu M.G., Vari C.E. // Antioxidants. 2022. V. 11. P. 1–30. https://doi.org/10.3390/antiox11030572
- Блинохватов А.Ф., Денисова Г.В., Ильин Д.Ю. // Селен в биосфере / Под ред. Блинохватова А.Ф. Пенза: Пензенская гос. с.-х. академия, 2001. 322 с.
- Santesmasses D., Mariotti M., Gladyshev V.N. // Antioxid. Redox Signal. 2020. V. 33. P. 525–536. https://doi.org/10.1089/ars.2020.8044
- Zhang Y., Roh Y.J., Han S.J., Park I., Lee H.M., Ok Y.S., Lee B.C., Lee S.R. // Antioxidants (Basel). 2020. V. 9. P. 1–17. https://doi.org/10.3390/antiox9050383
- Sies H. // Free Radic. Biol. Med. 1993. V. 14. P. 313–323. https://doi.org/10.1016/0891-5849(93)90028-s
- Блинохватов А.Ф. // 9-R-сим-нонагидро-10-окса(халькогена) антрацены и соли 9-R-сим-октагидро-10-оксониа (халькогенониа) антрацена: дисc. докт. хим. наук. Саратов, 1993. 378 с.
- Древко Б.И. // Патент RU 2051681 С1, 1996.
- Полубояринов П.А., Голубкина Н.А. // Физиология растений. 2015. Т. 62. С. 396–403. [Poluboyarinov P.A., Golubkina N.A. // Russ. J. Plant Physiol. 2015. V. 62. P. 367–374.] https://doi.org/10.1134/S1021443715030164
- Castillo-Godina R.G., Foroughbakhch-Pournavab R., Benavides-Mendoza A. // J. Agr. Sci. Tech. 2016. V. 18. P. 233–244.
- Bebien M., Lagniel G., Garin J., Touati D., Vermeglio A., Labarre J. // J. Bacteriol. 2002. V. 184. P. 1556–1564. https://doi.org/10.1128/jb.184.6.1556-1564.2002
- Строгов В.В., Родионова Т.Н. // Вестник ветеринарии. 2011. Т. 59. С. 150–152.
- Wang H.W., Cai D.B., Xiao G.H., Zhao C.L., Wang Z.H., Xu H.M., Guan Y.Q. // Israeli J. Aquacult.-Bamidgeh. 2009. V. 61. P. 322–332.
- Боряев Г.И., Гаврюшина И.В., Федоров Ю.Н. // С.-х. биол. 2010. Т. 45. С. 65–70.
- Dzobo K., Naik Y.S. // South African J. Sci. 2013. V. 109. P. 1–8. https://doi.org/10.1590/sajs.2013/965
- Golubkina N., Zamana S., Seredin T., Poluboyarinov P., Sokolov S., Baranova H., Krivenkov L., Pietrantonio L., Caruso G. // Plants (Basel). 2019. V. 8. P. 102. https://doi.org/10.3390/plants8040102
- Misra S., Kwong R.W.M., Niyogi S. // J. Exp. Biol. 2012. V. 215. P. 1491–1501. https://doi.org/10.1242/jeb.062307
- Полубояринов П.А., Елистратов Д.Г., Швец В.И. // Тонк. химич. технол. 2019. Т. 14. С. 5–24.
- Casalbore G., Mastragostino M., Valcher S. // J. Electroanal. Chem. 1978. V. 87. P. 411–418.
- Абуллин И.Ф., Будников Г.К. // Заводская лаб. 1998. Т. 64. С. 1–12.
- Ramussen. B., Sorensen A., Gotfredsen H., Pittelkow M. // Chem. Commun. 2014. V. 50. P. 3716–3718. https://doi.org/10.1039/C4CC00523F
- Sulfur in Organic and Inorganic Chemistry / Ed. Senning A. New York: Marcel Dekker, 1972.
- Pleasants J.C., Guo W., Rabenstein D.L. // J. Am. Chem. Soc. 1989. V. 111. P. 6553–6558.
- Hondal R.J., Ruggles E.L. // Amino Acids. 2011. V. 41. P. 73–89. https://doi.org/10.1007/s00726-010-0494-6
- Блинохватов А.Ф., Денисова Г.В., Иванов А.И., Ильин Д.Ю. // Микология и фитопатол. 2000. Т. 34. С. 42–45.
- Князева О.Е., Полубояринов П.А. // В сб. Современные проблемы теоретической и экспериментальной химии. Межвузовский сборник научных трудов XIV Всероссийской конференции молодых ученых с международным участием. Саратов, 2020. С. 64–67.
- Kieliszek M., Blazejak S., Bzducha-Wrobel A., Kot A.M. // Biol. Trace Elem. Res. 1989. V. 187. P. 316–327.
- Szabados L., Savoure A. // Trends Plant Sci. 2010. V. 15. P. 89–97.
- Yuan L., Zhang R., Ma X., Yang L., Zheng Q., Chen D., Li M., Fan T., Liu Y., Pan L., Yin X. // Nutrients. 2018. V. 10. P. 318. https://doi.org/10.3390/nu10030318
- Чикин Ю.А., Лихачев А.Н. // Микология и фитопатология. 1997. Т. 31. № 4. С. 54–61.
- Полубояринов П.А., Моисеева И.Я., Микуляк Н.И., Голубкина Н.А., Каплун А.П. // Изв. высших учебных заведений. Сер. Химия и химич. технол. 2022. Т. 65. С. 19–29. https://doi.org/10.6060/ivkkt.20226502.6466
- Полубояринов П.А., Голубкина Н.А., Аниськов А.А., Моисеева И.Я., Глебова Н.Н., Швец В.И. // Биоорг. химия. 2019. Т. 45. С. 365–373. [Poluboyarinov P.A., Golubkina N.A., Aniskov A.A., Moiseeva I.J., Glebova N.N., Shvets V.I. // Russ. J. Bioorg. Chem. 2019. V. 45. P. 241–247.] https://doi.org/10.1134/S1068162019040083
- Лапин А.А. // МВИ-001-44538054-07. Суммарная антиоксидантная активность. Методика выполнения измерений на кулонометрическом анализаторе. Жердевка: ООО Концерн “Отечественные инновационные технологии”, 2011. 35 с.
- Минеев В.Г., Сычев В.Г., Амельянчик O.A., Болышева Т.Н., Гомонова Н.Ф., Дурынина Е.П., Егоров B.C., Егорова Е.В., Едемская Н.Л., Карпова Е.А., Прижукова В.Г. // Практикум по агрохимии. Москва: изд-во МГУ, 2001. 689 с.
- М-04-38-2009. Методика определения протеиногенных аминокислот в кормах и сырье. ООО “Люмэкс-маркетинг”. СПб., 2014. 49 с.
- Панкратов А.Н., Цивилева О.М., Белобородая А.С., Цымбал О.А., Древко Я.Б. // Изв. Саратовского ун. Новая серия. Серия: Химия. Биология. Экология. 2017. Т. 17. № 3. С. 286–298.
Дополнительные файлы
















