Synthesis and Transfection Efficiency of Disulfide Policationic Amphiphiles
- Authors: Petukhov I.А.1, Puchkov P.А.1, Morozova N.G.1, Zenkova М.А.2, Maslov М.А.1
- 
							Affiliations: 
							- Lomonosov Institute of Fine Chemical Technologies, MIREA – Russian Technological University
- Institute of Chemical Biology and Fundamental Medicine SB RAS
 
- Issue: Vol 49, No 2 (2023)
- Pages: 165-177
- Section: Articles
- URL: https://journal-vniispk.ru/0132-3423/article/view/145876
- DOI: https://doi.org/10.31857/S0132342323010232
- EDN: https://elibrary.ru/GIHSNO
- ID: 145876
Cite item
Full Text
Abstract
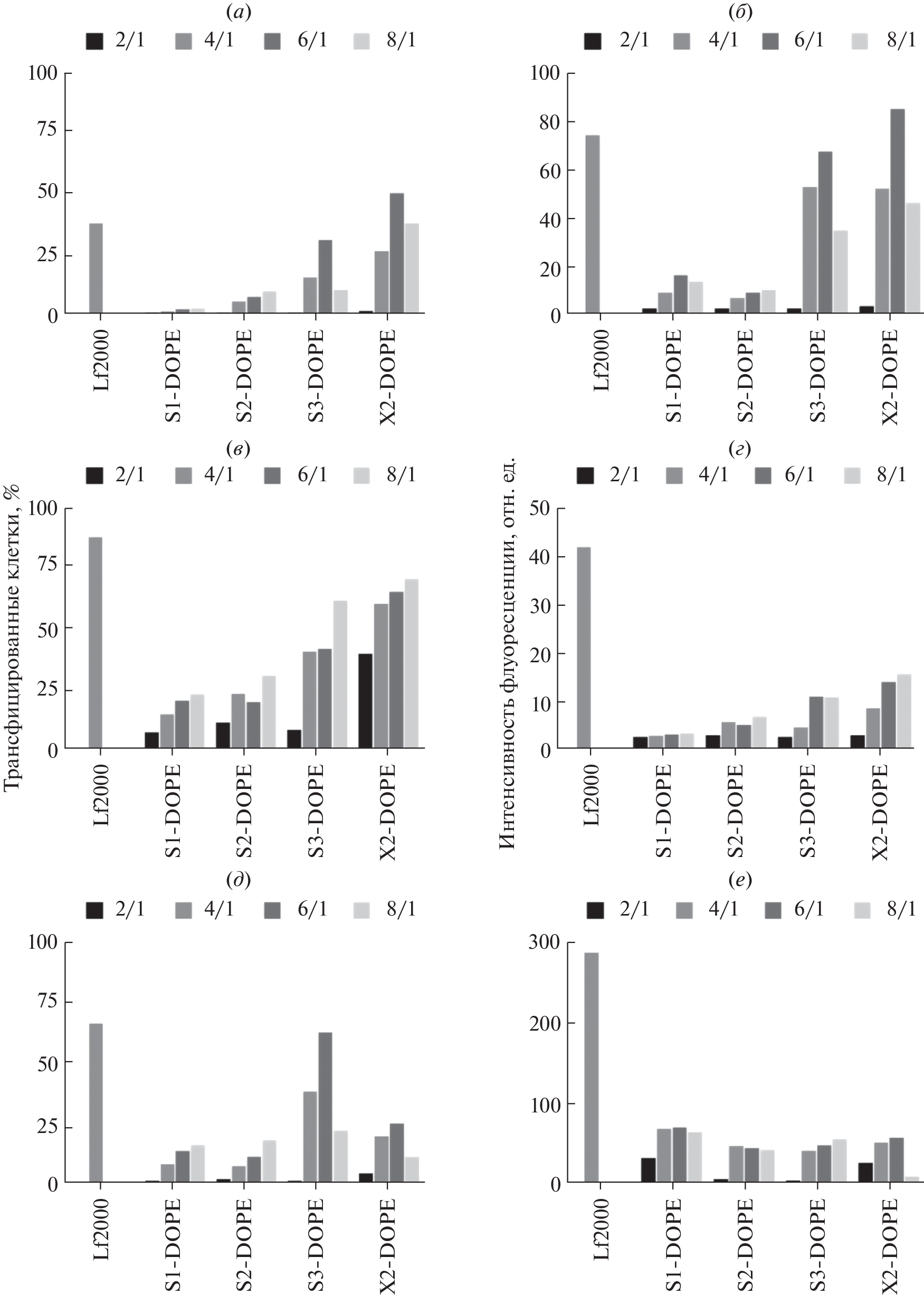
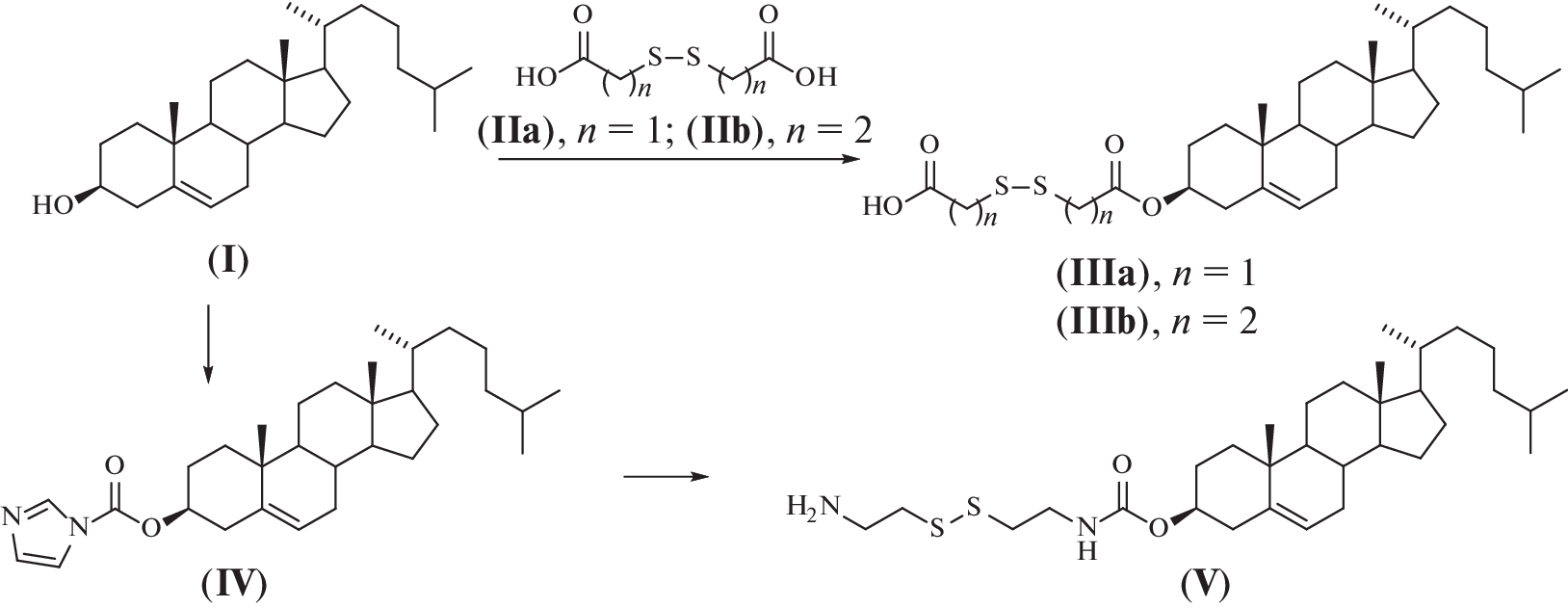
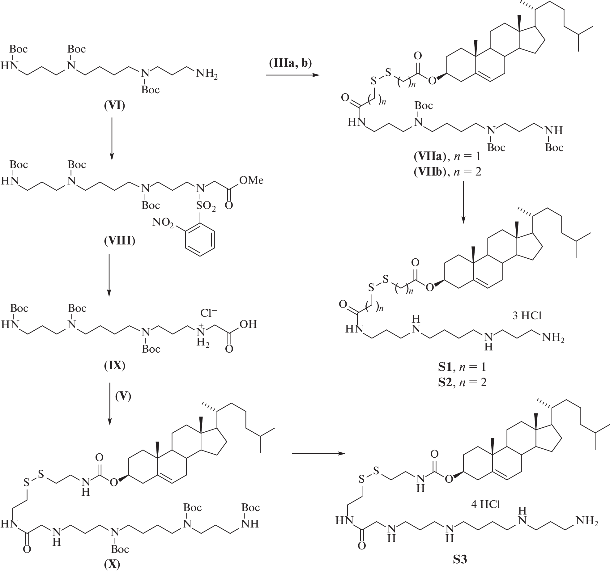
The synthesis of new polycationic amphiphiles containing a disulfide group in their structure has been carried out. Cationic liposomes were formed on the basis of the obtained compounds and helper lipid 1,2-dioleoyl-sn-glycero-3-phosphatidylethanolamine, which demonstrated the absence of toxicity to HEK293 and HeLa cells and high delivery efficiency of fluorescently labeled oligodeoxyribonucleotide. The efficiency of plasmid DNA delivery depended on the cell line and structure of the amphiphile, with liposomes based on tetracationic amphiphiles being the most effective transfectants. These liposomes may be used for in vitro transfection of eukaryotic cells as well as for further in vivo biological tests.
About the authors
I. А. Petukhov
Lomonosov Institute of Fine Chemical Technologies, MIREA – Russian Technological University
														Email: puchkov_pa@mail.ru
				                					                																			                												                								Russia, 119571, Moscow, prosp. Vernadskogo 86						
P. А. Puchkov
Lomonosov Institute of Fine Chemical Technologies, MIREA – Russian Technological University
							Author for correspondence.
							Email: puchkov_pa@mail.ru
				                					                																			                												                								Russia, 119571, Moscow, prosp. Vernadskogo 86						
N. G. Morozova
Lomonosov Institute of Fine Chemical Technologies, MIREA – Russian Technological University
														Email: puchkov_pa@mail.ru
				                					                																			                												                								Russia, 119571, Moscow, prosp. Vernadskogo 86						
М. А. Zenkova
Institute of Chemical Biology and Fundamental Medicine SB RAS
														Email: puchkov_pa@mail.ru
				                					                																			                												                								Russia, 630090, Novosibirsk, prosp. Akad. Lavrentyeva 8						
М. А. Maslov
Lomonosov Institute of Fine Chemical Technologies, MIREA – Russian Technological University
							Author for correspondence.
							Email: puchkov_pa@mail.ru
				                					                																			                												                								Russia, 119571, Moscow, prosp. Vernadskogo 86						
References
- Sung Y.K., Kim S.W. // Biomater. Res. 2019. V. 23. P. 1–7. https://doi.org/10.1186/S40824-019-0156-z
- Ni R., Zhou J., Hossain N., Chau Y. // Adv. Drug Deliv. Rev. 2016. V. 106. P. 3–26. https://doi.org/10.1016/J.ADDR.2016.07.005
- Lan T., Que H., Luo M., Zhao X., Wei X. // Mol. Cancer. 2021. V. 21. P. 71. https://doi.org/10.1186/s12943-022-01550-8
- Beltrán-Gracia E., López-Camacho A., Higuera-Ciapara I., Velázquez-Fernández J.B., Vallejo-Cardona A.A. // Cancer Nanotechnol. 2019. V. 10. P. 1–40. https://doi.org/10.1186/S12645-019-0055-Y
- Patel R., Kaki M., Potluri V.S., Kahar P., Khanna D. // Hum. Vaccin. Immunother. 2022. V. 18. P. 2002083. https://doi.org/10.1080/21645515.2021.2002083
- Gottfried L.F., Dean D.A. // Extracellular and Intracellular Barriers to Non-Viral Gene Transfer. In Novel Gene Therapy Approaches / Ed. Wei M. London: InTech, 2013. P. 75–88.
- Puchkov P.A., Maslov M.A. // Pharmaceutics. 2021. V. 13. P. 920. https://doi.org/10.3390/pharmaceutics13060920
- Yu C., Li L., Hu P., Yang Y., Wei W., Deng X., Wang L., Tay F.R., Ma J. // Adv. Sci. 2021. V. 8. P. 2100540.
- Zhang X.X., McIntosh T.J., Grinstaff M.W. // Biochimie. 2012. V. 94. P. 42–58. https://doi.org/10.1016/j.biochi.2011.05.005
- Chen X., Yang J., Liang H., Jiang Q., Ke B., Nie Y. // J. Mater. Chem. B. 2017. V. 5. P. 1482–1497. https://doi.org/10.1039/C6TB02945K
- Liu J., Chang J., Jiang Y., Meng X., Sun T., Mao L., Xu Q., Wang M. // Adv. Mater. 2019. V. 31. P. 1–7. https://doi.org/10.1002/adma.201902575
- Петухов И.А., Маслов М.А., Морозова Н.Г., Серебренникова Г.А. // Известия Академии наук. Серия химическая. 2010. № 1. С. 254–261.
- Sebyakin Y.L., Budanova U.A., Guryeva L.Y. // Biochem. Suppl. Ser. A Membr. Cell Biol. 2007. V. 1. P. 212–218. https://doi.org/10.1134/S1990747807030038
- Goyal P., Goyal K., Kumar S.G.V., Singh A., Katare O.P., Mishra D.N. // Acta Pharm. 2005. V. 55. P. 1–25.
- Masotti A., Mossa G., Cametti C., Ortaggi G., Bianco A., Grosso N.D., Malizia D., Esposito C. // Colloids Surf. B Biointerfaces. 2009. V. 68. P. 136–144. https://doi.org/10.1016/J.COLSURFB.2008.09.017
- Byk T., Haddada H., Vainchenker W., Louache F. // Hum. Gene Ther. 1998. V. 9. P. 2493–2502. https://doi.org/10.1089/hum.1998.9.17-2493
- Shen G., Rajan R., Zhu J., Bell C.E., Pei D. // J. Med. Chem. 2006. V. 49. P. 3003–3011. https://doi.org/10.1021/jm060047g
- Miller K.A., Kumar E.V.K.S., Wood S.J., Cromer J.R., Datta A., David S.A. // J. Med. Chem. 2005. V. 48. P. 2589–2599. https://doi.org/10.1021/jm049449j
- Elsana H., Olusanya T.O.B., Carr-Wilkinson J., Darby S., Faheem A., Elkordy A.A. // Sci. Rep. 2019. V. 9. P. 1–17. https://doi.org/10.1038/s41598-019-51065-4
- Maslov M.A., Kabilova T.O., Petukhov I.A., Morozova N.G., Serebrennikova G.A., Vlassov V.V., Zenkova M.A. // J. Control. Release. 2012. V. 160. P. 182–193. https://doi.org/10.1016/j.jconrel.2011.11.023
- Aljaberi A., Spelios M., Kearns M., Selvi B., Savva M. // Colloids Surf. B Biointerfaces. 2007. V. 57. P. 108–117. https://doi.org/10.1016/j.colsurfb.2007.01.012
- Sebastiani F., Yanez Arteta M., Lindfors L., Cárdenas M. // J. Colloid Interface Sci. 2022. V. 610. P. 766–774. https://doi.org/10.1016/J.JCIS.2021.11.117
- Ivanković M., Ćukušić A., Gotić I., Škrobot N., Matijašić M., Polančec D., Rubelj I. // Biogerontology. 2007. V. 8. P. 163–172. https://doi.org/10.1007/s10522-006-9043-9
- Tang F., Hughes J.A. // Bioconjug. Chem. 1999. V. 10. P. 791–796. https://doi.org/10.1021/BC990016I
- Yong-Hee K., You Han Bae, Sung Wan Kim // J. Control. Release 1994. V. 28. P. 143–152. https://doi.org/10.1016/0168-3659(94)90161-9
Supplementary files
 
				
			 
					 
						 
						 
						 
						 
				







