TB-ISATEST: a Diagnostic LAMP Assay for Differentiation of Mycobacterium tuberculosis
- Authors: Shirshikov F.V.1,2, Bespyatykh J.A.1,2
-
Affiliations:
- Lopukhin Federal Research and Clinical Center of Physical-Chemical Medicine of Federal Medical Biological Agency
- Mendeleev University of Chemical Technology
- Issue: Vol 49, No 6 (2023)
- Pages: 627-640
- Section: Articles
- URL: https://journal-vniispk.ru/0132-3423/article/view/148162
- DOI: https://doi.org/10.31857/S0132342323060131
- EDN: https://elibrary.ru/EYSSZB
- ID: 148162
Cite item
Full Text
Abstract
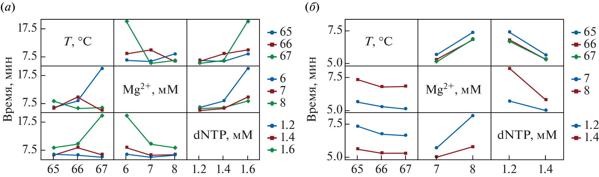
Consumption, white plague, tuberculosis… Only relatively recently, this disease has ceased to be an absolutely death sentence for infected people, but problems of the spread and diagnosis of the disease are still relevant. This paper presents results of the development of a new loop isothermal amplification (LAMP) assay, named TB-ISATEST, which targeting the species-specific gene rv2341 for the differentiation of Mycobacterium tuberculosis from non-tuberculosis mycobacteria. The assay is applicable for quantitative analysis of genomic DNA and allows detecting tenfold difference in concentration. The results of amplification optimization using a unique two-stage protocol based on the method of orthogonal Taguchi matrices are presented for the first time. A theoretical interpretation of the high amplification efficiency values observed in the LAMP reaction is proposed. Limit of detection of the developed assay is 40 copies of genomic DNA per reaction and amplification requires 15 min. In terms of the combination of characteristics, the TB-ISATEST assay surpasses all the known ways for identifying M. tuberculosis by the LAMP method.
Keywords
About the authors
F. V. Shirshikov
Lopukhin Federal Research and Clinical Center of Physical-Chemical Medicine of Federal Medical Biological Agency; Mendeleev University of Chemical Technology
Author for correspondence.
Email: shrshkv@ya.ru
Russia, 119435, Moscow, ul. Malaya Pirogovskaya 1A; Russia, 125047, Moscow, Miusskaya pl. 9
J. A. Bespyatykh
Lopukhin Federal Research and Clinical Center of Physical-Chemical Medicine of Federal Medical Biological Agency; Mendeleev University of Chemical Technology
Email: shrshkv@ya.ru
Russia, 119435, Moscow, ul. Malaya Pirogovskaya 1A; Russia, 125047, Moscow, Miusskaya pl. 9
References
- Pai M., Behr M.A., Dowdy D., Dheda K., Divangahi M., Boehme C.C., Ginsberg A., Swaminathan S., Spigelman M., Getahun H., Menzies D., Raviglione M. // Nat. Rev. Dis. Prim. 2016. V. 2. P. 16076. https://doi.org/10.1038/nrdp.2016.76
- Bhat Z.S., Rather M.A., Maqbool M., Ahmad Z. // Biomed. Pharmacother. 2018. V. 103. P. 1733–1747. https://doi.org/10.1016/j.biopha.2018.04.176
- Chakaya J., Petersen E., Nantanda R., Mungai B.N., Migliori G.B., Amanullah F., Lungu P., Ntoumi F., Kumarasamy N., Maeurer M., Zumla A. // Int. J. Infect. Dis. 2022. V. 124. P. S26–S29. https://doi.org/10.1016/j.ijid.2022.03.011
- Bagcchi S. // The Lancet Microbe. 2023. V. 4. P. e20. https://doi.org/10.1016/S2666-5247(22)00359-7
- Achtman M. // Annu. Rev. Microbiol. 2008. V. 62. P. 53–70. https://doi.org/10.1146/annurev.micro.62.081307.162832
- Riojas M.A., McGough K.J., Rider-Riojas C.J., Rastogi N., Hazbón M.H. // Int. J. Syst. Evol. Microbiol. 2018. V. 68. P. 324–332. https://doi.org/10.1099/ijsem.0.002507
- Gupta R.S., Lo B., Son J. // Front Microbiol. 2018. V. 9. P. 67. https://doi.org/10.3389/fmicb.2018.00067
- Meehan C.J., Barco R.A., Loh Y.E., Cogneau S., Rigouts L. // Int. J. Syst. Evol. Microbiol. 2021. V. 71. P. 004922. https://doi.org/10.1099/ijsem.0.004922
- Johansen M.D., Herrmann J.-L., Kremer L. // Nat. Rev. Microbiol. 2020. V. 18. P. 392–407. https://doi.org/10.1038/s41579-020-0331-1
- Galagan J.E. // Nat. Rev. Genet. 2014. V. 15. P. 307–320. https://doi.org/10.1038/nrg3664
- Gagneux S. // Nat. Rev. Microbiol. 2018. V. 16. P. 202–213. https://doi.org/10.1038/nrmicro.2018.8
- Merker M., Rasigade J.-P., Barbier M., Cox H., Feuerriegel S., Kohl T.A., Shitikov E., Klaos K., Gaudin C., Antoine R., Diel R., Borrell S., Gagneux S., Nikolayevskyy V., Andres S., Crudu V., Supply P., Niemann S., Wirth T. // Nat. Commun. 2022. V. 13. P. 5105. https://doi.org/10.1038/s41467-022-32455-1
- Chakravorty S., Simmons A.M., Rowneki M., Parmar H., Cao Y., Ryan J., Banada P.P., Deshpande S., Shenai S., Gall A., Glass J., Krieswirth B., Schumacher S.G., Nabeta P., Tukvadze N., Rodrigues C., Skrahina A., Tagliani E., Cirillo D.M., Davidow A., Denkinger C.M., Persing D., Kwiatkowski R., Jones M., Alland D. // mBio. 2017. V. 8. P. e00812-17. https://doi.org/10.1128/mBio.00812-17
- World Health Organization, 2021. WHO Consolidated Guidelines on Tuberculosis. Module 3: Diagnosis. Rapid Diagnostics for Tuberculosis Detection, 2021 Update. Geneva: World Health Organization, 2021. https://www.who.int/publications/i/item/9789240029415
- Gryadunov D.A., Shaskolskiy B.L., Nasedkina T.V., Rubina A.Y., Zasedatelev A.S. // Acta Naturae. 2018. V. 10. P. 4–18. https://doi.org/10.32607/20758251-2018-10-4-4-18
- Notomi T., Okayama H., Masubuchi H., Yonekawa T., Watanabe K., Amino N., Hase T. // Nucleic Acids Res. 2000. V. 28. P. e63. https://doi.org/10.1093/nar/28.12.e63
- Tomita N., Mori Y., Kanda H., Notomi T. // Nat. Protoc. 2008. V. 3. P. 877–882. https://doi.org/10.1038/nprot.2008.57
- Kaboev O.K., Luchkina L.A., Akhmedov A.T., Bekker M.L. // J. Bacteriol. 1981. V. 145. P. 21–26. https://doi.org/10.1128/jb.145.1.21-26.1981
- Tanner N.A., Evans T.C. // Curr. Protoc. Mol. Biol. 2014. V. 105. P. 15.14.1–15.14.14. https://doi.org/10.1002/0471142727.mb1514s105
- Nagamine K., Hase T., Notomi T. // Mol. Cell. Probes. 2002. V. 16. P. 223–229. https://doi.org/10.1006/mcpr.2002.0415
- Yonekawa T., Watanabe H., Hosaka N., Semba S., Shoji A., Sato M., Hamasaki M., Yuki S., Sano S., Segawa Y., Notomi T. // Sci. Rep. 2020. V. 10. P. 5409. https://doi.org/10.1038/s41598-020-62109-5
- Moore K.J.M., Cahill J., Aidelberg G., Aronoff R., Bektaş A., Bezdan D., Butler D.J., Chittur S.V., Codyre M., Federici F., Tanner N.A., Tighe S.W., True R., Ware S.B., Wyllie A.L., Afshin E.E., Bendesky A., Chang C.B., Dela Rosa R., Elhaik E., Erickson D., Goldsborough A.S., Grills G., Hadasch K., Hayden A., Her S.Y., Karl J.A., Kim C.H., Kriegel A.J., Kunstman T., Landau Z., Land K., Langhorst B.W., Lindner A.B., Mayer B.E., McLaughlin L.A., McLaughlin M.T., Molloy J., Mozsary C., Nadler J.L., D’Silva M., Ng D., O’Connor D.H., Ongerth J.E., Osuolale O., Pinharanda A., Plenker D., Ranjan R., Rosbash M., Rotem A., Segarra J., Schürer S., Sherrill-Mix S., Solo-Gabriele H., To S., Vogt M.C., Yu A.D., Mason C.E., The gLAMP Consortium // J. Biomol. Tech. 2021. V. 32. P. 228–275. https://doi.org/10.7171/jbt.21-3203-017
- Shirshikov F.V., Bespyatykh J.A. // Russ. J. Bioorg. Chem. 2022. V. 48. P. 1159–1174. https://doi.org/10.1134/S106816202206022X
- Iwamoto T., Sonobe T., Hayashi K. // J. Clin. Microbiol. 2003. V. 41. P. 2616–2622. https://doi.org/10.1128/JCM.41.6.2616-2622.2003
- Boehme C.C., Nabeta P., Henostroza G., Raqib R., Rahim Z., Gerhardt M., Sanga E., Hoelscher M., Notomi T., Hase T., Perkins M.D. // J. Clin. Microbiol. 2007. V. 45. P. 1936–1940. https://doi.org/10.1128/JCM.02352-06
- Rakotosamimanana N., Lapierre S.G., Raharimanga V., Raherison M.S., Knoblauch A.M., Raherinandrasana A.H., Rakotoson A., Rakotonirina J., Rasolofo V. // BMC Infect. Dis. 2019. V. 19. P. 542. https://doi.org/10.1186/s12879-019-4198-6
- World Health Organization, 2016. The Use of Loop-Mediated Isothermal Amplification (TB-LAMP) for the Diagnosis of Pulmonary Tuberculosis. Geneva: World Health Organization, 2016. https://apps.who.int/iris/handle/10665/249154
- Gray C.M., Katamba A., Narang P., Giraldo J., Zamudio C., Joloba M., Narang R., Paramasivan C.N., Hillemann D., Nabeta P., Amisano D., Alland D., Cobelens F., Boehme C.C. // J. Clin. Microbiol. 2016. V. 54. P. 1984–1991. https://doi.org/10.1128/JCM.03036-15
- García-Basteiro A.L., DiNardo A., Saavedra B., Silva D.R., Palmero D., Gegia M., Migliori G.B., Duarte R., Mambuque E., Centis R., Cuevas L.E., Izco S., Theron G. // Pulmonology. 2018. V. 24. P. 73–85. https://doi.org/10.1016/j.rppnen.2017.12.002
- Neonakis I.K., Spandidos D.A., Petinaki E. // Eur. J. Clin. Microbiol. Infect. Dis. 2011. V. 30. P. 937–942. https://doi.org/10.1007/s10096-011-1195-0
- Yuan L., Li Y., Wang M., Ke Z., Xu W. // J. Infect. Chemother. 2014. V. 20. P. 86–92. https://doi.org/10.1016/j.jiac.2013.07.003
- Nagai K., Horita N., Yamamoto M., Tsukahara T., Nagakura H., Tashiro K., Shibata Y., Watanabe H., Nakashima K., Ushio R., Ikeda M., Narita A., Kanai A., Sato T., Kaneko T. // Sci. Rep. 2016. V. 6. P. 39090. https://doi.org/10.1038/srep39090
- Nliwasa M., MacPherson P., Chisala P., Kamdolozi M., Khundi M., Kaswaswa K., Mwapasa M., Msefula C., Sohn H., Flach C., Corbett E.L. // PLoS One. 2016. V. 11. P. e0155101. https://doi.org/10.1371/journal.pone.0155101
- Yu G., Shen Y., Zhong F., Ye B., Yang J., Chen G. // PLoS One. 2018. V. 13. P. e0199290. https://doi.org/10.1371/journal.pone.0199290
- Lok K.H., Benjamin W.H., Kimerling M.E., Pruitt V., Lathan M., Razeq J., Hooper N., Cronin W., Dunlap N.E. // Emerg. Infect. Dis. 2002. V. 8. P. 1310–1313. https://doi.org/10.3201/eid0811.020291
- Thierry D., Brisson-Noël A., Vincent-Lévy-Frébault V., Nguyen S., Guesdon J.L., Gicquel B. // J. Clin. Microbiol. 1990. V. 28. P. 2668–2673. https://doi.org/10.1128/jcm.28.12.2668-2673.1990
- Kechin A., Oscorbin I., Cherednichenko A., Khrapov E., Schwartz Y., Stavitskaya N., Filipenko M. // Arch. Microbiol. 2023. V. 205. P. 71. https://doi.org/10.1007/s00203-023-03410-5
- Alonso H., Samper S., Martín C., Otal I. // BMC Genomics. 2013. V. 14. P. 422. https://doi.org/10.1186/1471-2164-14-422
- Zhou L., Ma C., Xiao T., Li M., Liu H., Zhao X., Wan K., Wang R. // Front. Microbiol. 2019. V. 10. P. 1–10. https://doi.org/10.3389/fmicb.2019.01887
- Goig G.A., Torres-Puente M., Mariner-Llicer C., Villamayor L.M., Chiner-Oms Á., Gil-Brusola A., Borrás R., Comas Espadas I. // Bioinformatics. 2019. V. 36. P. 985–989. https://doi.org/10.1093/bioinformatics/btz729
- Shirshikov F. V., Pekov Y.A., Miroshnikov K.A. // PeerJ. 2019. V. 7. P. e6801. https://doi.org/10.7717/peerj.6801
- Abramovitch R.B., Rohde K.H., Hsu F.-F., Russell D.G. // Mol. Microbiol. 2011. V. 80. P. 678–694. https://doi.org/10.1111/j.1365-2958.2011.07601.x
- Gupta A. // FEMS Microbiol. Lett. 2009. V. 290. P. 45–53. https://doi.org/10.1111/j.1574-6968.2008.01400.x
- Morero M., Ramirez M.R., Oyhenart J. // Vet. Parasitol. 2021. V. 295. P. 109462. https://doi.org/10.1016/j.vetpar.2021.109462
- Shoushtari M., Salehi-Vaziri M., Roohvand F., Arashkia A., Jalali T., Azadmanesh K. // Biotechnol. Lett. 2021. V. 43. P. 2149–2160. https://doi.org/10.1007/s10529-021-03175-1
- Wang Y., Li J., Li S., Zhu X., Wang X., Huang J., Yang X., Tai J. // Microchim. Acta. 2021. V. 188. P. 347. https://doi.org/10.1007/s00604-021-04985-w
- Schneider L., Blakely H., Tripathi A. // Electrophoresis. 2019. V. 40. P. 2706–2717. https://doi.org/10.1002/elps.201900167
- Bio-Rad Laboratories Inc., 2006. Real-Time PCR Applications Guide. Bulletin 5279. P. 4–6. https://www.bio-rad.com/webroot/web/pdf/lsr/literature/Bulletin_5279.pdf
- Ruijter J.M., Barnewall R.J., Marsh I.B., Szentirmay A.N., Quinn J.C., van Houdt R., Gunst Q.D., van den Hoff M.J.B. // Clin. Chem. 2021. V. 67. P. 829–842. https://doi.org/10.1093/clinchem/hvab052
- von Hippel P.H., Johnson N.P., Marcus A.H. // Biopolymers. 2013. V. 99. P. 923–954. https://doi.org/10.1002/bip.22347
- Cousins D.V., Bastida R., Cataldi A., Quse V., Redrobe S., Dow S., Duignan P., Murray A., Dupont C., Ahmed N., Collins D.M., Butler W.R., Dawson D., Rodríguez D., Loureiro J., Romano M.I., Alito A., Zumarraga M., Bernardelli A. // Int. J. Syst. Evol. Microbiol. 2003. V. 53. P. 1305–1314. https://doi.org/10.1099/ijs.0.02401-0
- Alexander K.A., Laver P.N., Michel A.L., Williams M., van Helden P.D., Warren R.M., Gey van Pittius N.C. // Emerg. Infect. Dis. 2010. V. 16. P. 1296–1299. https://doi.org/10.3201/eid1608.100314
- Esteban J., Muñoz-Egea M.C. // Tuberculosis and Nontuberculous Mycobacterial Infections / Ed. David Schlossberg. Washington, DC: ASM Press, 2017. P. 754. https://doi.org/10.1128/microbiolspec.TNMI7-0021-2016
- Ngabonziza J.C.S., Loiseau C., Marceau M., Jouet A., Menardo F., Tzfadia O., Antoine R., Niyigena E.B., Mulders W., Fissette K., Diels M., Gaudin C., Duthoy S., Ssengooba W., André E., Kaswa M.K., Habimana Y.M., Brites D., Affolabi D., Mazarati J.B., de Jong B.C., Rigouts L., Gagneux S., Meehan C.J., Supply P. // Nat. Commun. 2020. V. 11. P. 2917. https://doi.org/10.1038/s41467-020-16626-6
- Panda A., Drancourt M., Tuller T., Pontarotti P. // Sci. Rep. 2018. V. 8. P. 14817. https://doi.org/10.1038/s41598-018-33261-w
- Eldholm V., Balloux F. // Trends Microbiol. 2016. V. 24. P. 637–648. https://doi.org/10.1016/j.tim.2016.03.007
- Altschul S.F., Gish W., Miller W., Myers E.W., Lipman D.J. // J. Mol. Biol. 1990. V. 215. P. 403–410. https://doi.org/10.1016/S0022-2836(05)80360-2
- Szklarczyk D., Gable A.L., Lyon D., Junge A., Wyder S., Huerta-Cepas J., Simonovic M., Doncheva N.T., Morris J.H., Bork P., Jensen L.J., von Mering C. // Nucleic Acids Res. 2019. V. 47. P. D607–D613. https://doi.org/10.1093/nar/gky1131
- Chitale P., Lemenze A.D., Fogarty E.C., Shah A., Grady C., Odom-Mabey A.R., Johnson W.E., Yang J.H., Eren A.M., Brosch R., Kumar P., Alland D. // Nat. Commun. 2022. V. 13. P. 7068. https://doi.org/10.1038/s41467-022-34853-x
- Lu J., Johnston A., Berichon P., Ru K., Korbie D., Trau M. // Sci. Rep. 2017. V. 7. P. 41328. https://doi.org/10.1038/srep41328
- Dwight Z., Palais R., Wittwer C.T. // Bioinformatics. 2011. V. 27. P. 1019–1020. https://doi.org/10.1093/bioinformatics/btr065
- Zuker M. // Nucleic Acids Res. 2003. V. 31. P. 3406–3415. https://doi.org/10.1093/nar/gkg595
- Kerpedjiev P., Hammer S., Hofacker I.L. // Bioinformatics. 2015. V. 31. P. 3377–3379. https://doi.org/10.1093/bioinformatics/btv372
- Popenda M., Szachniuk M., Antczak M., Purzycka K.J., Lukasiak P., Bartol N., Blazewicz J., Adamiak R.W. // Nucleic Acids Res. 2012. V. 40. P. e112. https://doi.org/10.1093/nar/gks339
- Sehnal D., Bittrich S., Deshpande M., Svobodová R., Berka K., Bazgier V., Velankar S., Burley S.K., Koča J., Rose A.S. // Nucleic Acids Res. 2021. V. 49. P. W431–W437. https://doi.org/10.1093/nar/gkab314
- Shitikov E.A., Bespyatykh J.A., Ischenko D.S., Alexeev D.G., Karpova I.Y., Kostryukova E.S., Isaeva Y.D., Nosova E.Y., Mokrousov I.V., Vyazovaya A.A., Narvs-kaya O.V., Vishnevsky B.I., Otten T.F., Zhuravlev V.Iu., Yablonsky P.K., Ilina E.N., Govorun V.M. // PLoS One. 2014. V. 9. P. e84971. https://doi.org/10.1371/journal.pone.0084971
- Bustin S.A., Benes V., Garson J.A., Hellemans J., Huggett J., Kubista M., Mueller R., Nolan T., Pfaffl M.W., Shipley G.L., Vandesompele J., Wittwer C.T. // Clin. Chem. 2009. V. 55. P. 611–622. https://doi.org/10.1373/clinchem.2008.112797
Supplementary files








