Synthesis of steroid tracers with a oxyme ligation method and use thereof in fluorescent polarisation immunoassay
- Authors: Prokhorenko I.A.1, Glushchenko D.A.1, Gulyak E.L.1, Mikhura I.V.1, Korshun V.A.1, Mukhametova L.I.2, Eremin S.А.2
-
Affiliations:
- Shemyakin–Ovchinnikov Institute of Bioorganic Chemistry RAS
- Lomonosov Moscow State University
- Issue: Vol 50, No 1 (2024)
- Pages: 51-64
- Section: Articles
- URL: https://journal-vniispk.ru/0132-3423/article/view/258156
- DOI: https://doi.org/10.31857/S0132342324010055
- EDN: https://elibrary.ru/OWPZNS
- ID: 258156
Cite item
Full Text
Abstract
A method for the synthesis of ketosteroid oxime conjugates with a fluorescein (6-FAM) derivative connected via a short bifunctional aminooxypropyl linker is proposed. The conjugates were used as tracers for fluorescence polarization immunoassay (FPIA) with monoclonal antibodies. Stereoisomers by the oxime group were separated by preparative RP TLC and HPLC and tested in the FPIA method. Binding parameters of of tracers with monoclonal antibodies (mAbs) to progesterone were studied. Tracers showed high efficiency in the analysis of steroid hormones, the detection limit of progesterone being lower than that for a previously described analog. The Z-isomer was found to be more sensitive in the FPIA analysis compared to the E-isomer.
Full Text
Сокращения: EDF – этилендиаминфлуоресцеинтиокарбамат; ELISA – иммуноферментный анализ; 6-FAM – 6-карбоксифлуоресцеин; FPIA – поляризационный флуоресцентный иммуноанализ; MAb-3G11 – моноклональные антитела к углеводному антигену Glc9; MAb-Pg – моноклональные антитела к прогестерону.
ВВЕДЕНИЕ
Стероидные гормоны играют ключевую роль в регуляции размножения, половой дифференциации, роста, метаболизма и иммунной системы позвоночных [1–3]. Они широко используются в качестве активных компонентов в гормональной терапии, при лечении, тяжелых форм аллергии, кожных заболеваний, астмы и артрита. Гормональный дисбаланс или отсутствие определенных гормонов может привести к раку, ожирению, диабету и сердечно-сосудистым заболеваниям [1–5]. В связи с этим измерение концентрации различных стероидов в крови или моче человека и животных может иметь большое значение для клинической диагностики и во время терапии. В ветеринарии гормоны применяют также для лечения аномалий репродуктивной системы. Кроме того, стероидные гормоны добавляют в корма животным в качестве стимуляторов роста. В составе бытовых и промышленных отходов гормоны попадают в систему сточных вод, что вызывает необходимость контролировать их концентрацию в пищевых продуктах и окружающей среде [6]. Таким образом, разработка быстрого и надежного метода количественного определения стероидных гормонов весьма актуальна для научных и клинических исследований.
На протяжении более 30 лет преобладающим методом для количественного определения стероидных гормонов был иммуноанализ (например, радиоиммуноанализ или иммуноферментный анализ (ELISA)) [5, 7]. Хотя эти виды иммуноанализа обладают высокой чувствительностью, в некоторых случаях они недостаточно специфичны из-за пространственных ограничений, связанных со взаимодействием компонентов на твердой фазе [7, 8]. Однако другой формат иммуноанализа – поляризационный флуоресцентный иммуноанализ (FPIA) – представляет собой гомогенный, простой и быстрый метод обнаружения низкомолекулярных соединений, широко применяющийся для определения концентрации лекарственных препаратов в клинических исследованиях [9]. FPIA основан на конкурентном связывании с антителом свободного антигена и трейсера – антигена, меченного флуоресцентной меткой. Флуоресцентно-меченый антиген служит необходимым компонентом FPIA, при этом чувствительность и специфичность анализа напрямую зависят от характеристик трейсера. Связывание трейсера с антителом измеряется спектроскопическими методами без какого-либо процесса разделения. Поляризация флуоресценции чувствительна к изменениям во вращательном движении молекулы, меченной флуоресцентной меткой [10]. Сам низкомолекулярный трейсер обладает способностью к флуоресценции с низкой поляризацией, которая увеличивается при связывании с антителом, что приводит к максимальной степени поляризации. При увеличении концентрации свободного антигена в образце наблюдается уменьшение поляризации флуоресценции, поскольку концентрация комплекса трейсер–антитело снижается, а концентрация свободного трейсера увеличивается.
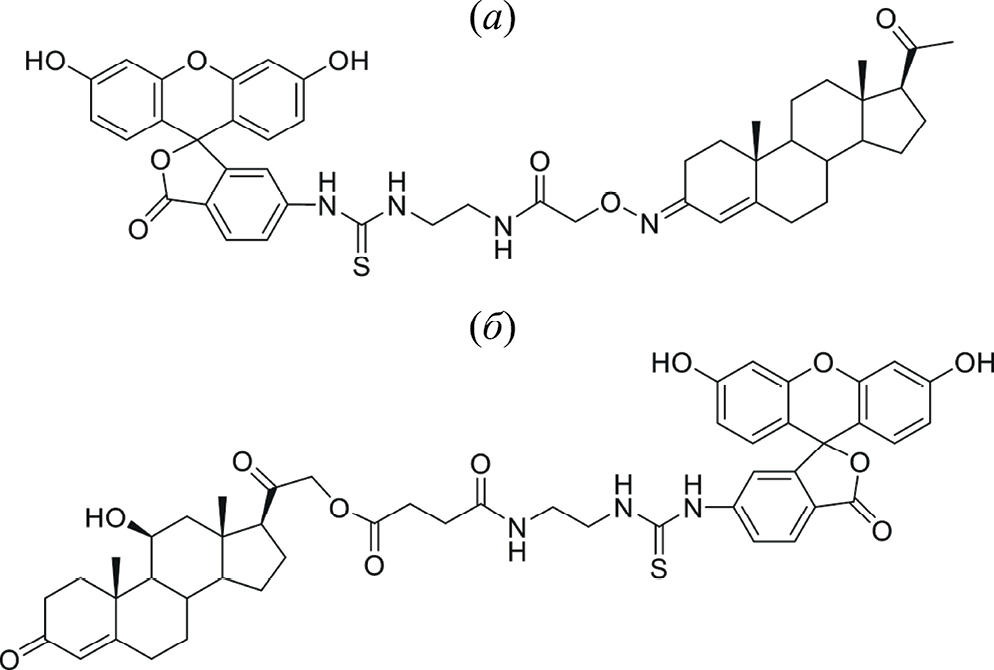
Для определения стероидных гормонов был разработан ряд методов присоединения линкерной группы к молекуле стероида с флуоресцентной меткой с целью получения трейсеров для FPIA. Один из наиболее распространенных методов модификации кетостероидов – это синтез оксимов в реакции с аминооксиуксусной кислотой. Образующиеся карбоксиметильные производные в дальнейшем удобно использовать как для получения конъюгатов для иммунизации, так и для присоединения флуорофоров с аминогруппой на линкере. Так, например, в ряде работ такое карбоксипроизводное прогестерона использовали для получения трейсера соединением через амидную связь с этилендиаминфлуоресцеинтиокарбаматом (рис. 1а). Для стероидов, содержащих гидроксильные группы (например, 11-α-гидроксипрогестерон), ацилирование янтарным ангидридом привело к получению карбоксипроизводного с остатком янтарной кислоты (рис. 1б) [11–13].
Рис. 1. Структура описанных ранее трейсеров для FPIA на основе стероидных гормонов: (а) – Pg3CMO-EDF (амид карбоксиметилоксима прогестерона с этилендиаминфлуоресцеинтиокарбаматом); (б) – 11-α-гидроксипрогестерон, ацилированный янтарным ангидридом.
Синтез новых стероидов, меченных флуоресцентным красителем, представляет большой интерес для изучения биохимических процессов, анализа биологических проб и продуктов питания. Целью данного исследования была разработка нового универсального метода получения флуоресцентных трейсеров из биомолекул с карбонильной группой методом оксимного лигирования. Этот метод был использован для получения трейсеров из кетостероидов, протестированных затем в методе FPIA.
РЕЗУЛЬТАТЫ И ОБСУЖДЕНИЕ
Мы синтезировали бифункциональный реагент (V) (схема 1), содержащий на одном конце аминооксигруппу, защищенную этоксиэтилиденовым остатком, а на другом – аминогруппу.
Схема 1. Синтез бифункционального линкерного реагента (V).
Синтез соединения (I) был описан ранее в литературе [14]. Для повышения выхода данную реакцию обычно проводят при повышенной температуре, иногда с добавлением межфазных катализаторов в водно-органических смесях (например, ацетон–вода 6 : 1). Было показано [15], что это превращение легко проходит в воде благодаря высокой растворимости исходного бромпропанола. Выход целевого продукта (I), полученного по данной методике, после экстракции эфиром и хроматографической очистки составил 74%.
Далее гидроксильную группу азидопропанола (I) активировали метансульфонилхлоридом при охлаждении в присутствии основания с образованием алкилирующего реагента (II), синтез которого аналогичным методом был описан ранее [16]. Полученный с практически количественным выходом 3-азидопропилмезилат (II) без очистки использовали в следующей стадии.
Введение защищенной аминооксигруппы в соединение (II) осуществляли с помощью реакции нуклеофильного замещения 3-азидопропилмезилата с натриевой солью этил-N-гидроксиацетимидата (III). Реакцию проводили с трехкратным избытком этой соли при кипячении в течение 20 ч в смеси изопропанола и трет-бутанола. В результате был получен N-(3-азидопропилокси)этилацетимидат (IV) с выходом 68%.
Ранее соединение (V) получали аминированием соответствующего хлорпроизводного в довольно жестких условиях [17]. Однако мы выбрали иной синтетический путь и провели восстановление азидогруппы соединения (IV) трифенилфосфином по Штаудингеру в тетрагидрофуране с последующим добавлением рассчитанного количества воды и гидролизом образовавшегося азофосфорана при кипячении [18]. Продукт (V) выделили из реакционной смеси колоночной хроматографией с выходом 78%.
С этой целью получен реагент (V) с трехуглеродным линкером и защищенной терминальной аминооксигруппой. Его использовали для модификации флуоресцеина по карбоксильной группе и получения конъюгатов флуорофора с кортикостероном и прогестероном посредством оксимного лигирования [19] с одновременным снятием защитной группы. Полученные с помощью данного реагента трейсеры имеют более короткий линкер по сравнению с опубликованными ранее аналогичными соединениями (рис. 1).
Соединение (V) ацилировали в безводной среде NHS-эфиром 6-карбоксифлуоресцеина в DMF в присутствии ненуклеофильного основания для получения защищенного производного (VI) (схема 2). Производное флуоресцеина (VI) было выделено колоночной хроматографией с выходом 72%.
Схема 2. Синтез этоксиэтилидензащищенного аминооксипроизводного (VI) 6-карбоксифлуоресцеина (6-FAM) и флуоресцентных трейсеров (VII) и (VIII).
Реакцию оксимного лигирования проводили в присутствии эквивалентного количества соляной кислоты со снятием защитной этоксиэтилиденовой группы и быстрой селективной реакцией освободившегося оксиамина с 3-кетогруппой молекулы стероида.
Реакция оксимного лигирования привела к образованию E/Z-изомеров по оксимной связи (рис. 2). Аналогичные флуоресцентные производные оксимов кортикостероидов уже были описаны ранее, а их конфигурация была установлена методом 1Н-ЯМР-спектроскопии на основе анализа химического сдвига протона в 4-м положении остатка стероида [20]. Этот метод в дальнейшем использовали для определения конфигурации полученных изомеров. Индивидуальные изомеры конъюгатов с прогестероном и кортикостероном выделяли с помощью препаративной ТСХ на обращенно-фазовых пластинках RP-18. Анализ чистоты выделеных Z/E-стереоизомеров проводили методом ОФ-ВЭЖХ.
Рис. 2. Стереоизомерные фрагменты оксимов (VII) и (VIII).
Для исследования взаимодействия моноклонального антитела к прогестерону с изомерными трейсерами Е(VII) и Z(VII) измеряли константы их связывания с антителом. Для сравнения был взят трейсер Pg3CMO-EDF (рис. 1а), ранее описанный в работах [11, 12].
Анализ кривых изменения поляризации флуоресценции этих трейсеров при взаимодействии с моноклональным антителом к прогестерону показал быстрое увеличение сигнала и установление равновесия в системе в течение 2 мин. Конечные значения поляризации при связывании E/Z-изомеров трейсеров и соединения Pg3CMO-EDF [10, 11] приведены на рис. 3. Два новых изомерных трейсера Е(VII) и Z(VII) показали более высокий сигнал поляризации флуоресценции, чем Pg3CMO-EDF, что позволило разработать более чувствительный анализ. Кроме того, данные трейсеры специфично связывались только с моноклональным антителом к прогестерону (MAb-Pg) и не связывались с антителом MАb-3G11 к 1,3-β-D-нонаглюкану Glc9, описанному Мухаметовой с соавт. [21].
Рис. 3. Изменение сигнала поляризации флуоресценции свободных трейсеров Е(VII), Z(VII) и Pg3CMO-EDF (2.5 нМ) при образовании комплексов со специфическими антителами к прогестерону MAb-Pg (20 нМ) в сравнении с неспецифическими MAb-3G11 (30 нМ).
Для определения Kd моноклонального антитела к прогестерону с трейсерами Е(VII) и Z(VII) была построена зависимость изменения сигнала поляризации флуоресценции от его концентрации, которая представлена на рис. 4. Как видно из графика, при увеличении концентрации антител первоначально наблюдается резкий рост поляризации флуоресценции, который затем замедляется и перестает меняться с дальнейшим увеличением концентрации антител при полном связывании трейсера. Для трейсеров Е(VII) и Z(VII) данное насыщение происходило при более низких концентрациях, что свидетельствует о более сильном связывании с антителом. Для трейсера Pg3CMO-EDF зависимость выглядит более сложной.
Рис. 4. Зависимость изменения сигнала поляризации флуоресценции от концентрации антител для трейсеров Е(VII) (кривая 1), Z(VII) (кривая 2) и Pg3CMO-EDF (кривая 3) (концентрации трейсеров 2.5 нМ); рН 8.5, 25°С.
Для количественной оценки связывания полученных трейсеров с антителами определяли Kd комплексов антиген–антитело для трейсеров Е(VII) и Z(VII).
Взаимодействие моноклонального антитела к прогестерону MAb и трейсера с прогестероном PgFAM описывается уравнением (1):
, (1)
где MAb ∙ PgFAM – это комплекс антитела с трейсером.
Kd выражается следующим образом:
. (2)
При условии, что исходная концентрация антитела, вводимого в реакцию с трейсером, близка к исходной концентрации трейсера [PgFAM]0, а текущую концентрацию антител и трейсера выразить так:
. (3)
Тогда формулу (2) для расчета Kd можно записать так:
.
Если обозначить варьируемые концентрации символами, то получится уравнение (4):
, (4)
где С0 – это исходная концентрация трейсера PgFAM, а Cx – концентрация трейсера, связанного с антителом.
Доля cвязанного с антителом трейсера Fb (отношение концентрации связанного с антителом трейсера Cx к исходной концентрации трейсера C0) определяется как:
, (5)
где mP – наблюдаемая степень поляризации образца, mP0 – поляризация свободного флуоресцентно-меченого антигена, mPmax – поляризация комплекса антитело–антиген при полном связывании, Q – отношение интенсивностей флуоресценции связанной формы к свободной. При измерении сигнала поляризации флуоресценции наших образцов интенсивность трейсера не изменялась при связывании с антителами, поэтому Q = 1.
Поскольку выражение (4) можно преобразовать в квадратное уравнение, а Cx выводится как один из его корней, после подстановки этого решения уравнения (4) в выражение (5) получаем:
, (6)
где .
. (7)
Учитывая бивалентность антител, мы рассчитывали Kd, считая концентрацию белка удвоенной. Kd вычисляли по уравнению (7) с помощью программы Sigma Plot 11 (Systat Software Inc., США) [22].
Величины Kd составили 5.5 ± 0.3 и 2.5 ± 0.2 нМ для трейсеров Е(VII) и Z(VII) соответственно. Для ранее описанного трейсера Pg3CMO-EDF величина Kd составила 24.4 ± 0.2 нМ. Таким образом, связывание моноклонального антитела с полученными нами трейсерами Е(VII) и Z(VII) было более сильным, чем с трейсером Pg3CMO-EDF.
Полученные результаты дают возможность использовать синтезированные нами трейсеры Е(VII) и Z(VII) для высокочувствительного определения прогестерона методом FPIA. Для разработки методики FPIA выбранная концентрация моноклонального антитела должна обеспечивать высокий аналитический сигнал для точного и воспроизводимого анализа, а также низкий предел обнаружения прогестерона. Учитывая эти факторы, была выбрана концентрация антитела, которая обеспечивает 80%-ное связывание с трейсером. Из графика зависимости изменения сигнала поляризации флуоресценции от концентрации антител (рис. 4) были определены оптимальные рабочие концентрации антитела, составившие 3.6 мкг/мл (24 нМ) для двух трейсеров Е(VII) и Z(VII). Для трейсера Pg3CMO-EDF эта величина составляла 4.3 мкг/мл (29 нМ).
Была построена градуировочная зависимость изменения сигнала поляризации флуоресценции от концентрации прогестерона при взаимодействии с моноклональным антителом в присутствии его флуоресцентных производных Е(VII) и Z(VII) в качестве трейсеров. Для ее построения определили изменение сигнала поляризации флуоресценции, наблюдаемое при смешении рабочих растворов трейсера и антитела, в зависимости от концентрации стандартных растворов прогестерона. Были получены калибровочные зависимости для двух новых трейсеров и трейсера Pg3CMO-EDF с более жестким линкером на основе амида карбоксиметилоксима (рис. 5), а также рассчитаны аналитические характеристики, представленные в табл. 1. Предел обнаружения прогестерона определен как концентрация, при которой происходит 10%-ное снижение сигнала поляризации флуоресценции (IC10), а чувствительность анализа IC50 – как концентрация, вызывающая 50%-ное снижение сигнала.
Рис. 5. Градуировочные зависимости (а) и нормированные градуировочные зависимости (б) для трейсеров Е(VII) (кривая 1), Z(VII) (кривая 2) и Pg3CMO-EDF (кривая 3) (концентрации трейсеров 2.5 нМ); рН 8.5, 25°С.
Таблица 1. Аналитические характеристики определения прогестерона с помощью моноклонального антитела и трейсеров Е(VII), Z(VII) в сравнении с ранее описанным трейсером Prog3CMO-EDF методом FPIA
Аналитическая характеристика | Трейсер | ||
Е(VII) | Z(VII) | Prog3CMO-EDF | |
Предел обнаружения (IC10), нг/мл | 3.0 ± 0.3 | 7.0 ± 0.3 | 10.0 ± 0.5 |
Линейный диапазон, нг/мл | 6–95 | 15–95 | 15–100 |
Чувствительность анализа (IC50), нг/мл | 22 ± 1 | 35 ± 2 | 45 ± 2 |
Оба трейсера, Е(VII) и Z(VII), продемонстрировали возможность их использования для FPIA-анализа прогестерона. Они показали более низкий предел обнаружения и более высокую чувствительность по сравнению с описанным ранее трейсером Pg3CMO-EDF (табл. 1). Кроме того, предел обнаружения прогестерона при использовании трейсера Е(VII) был почти в 2 раза ниже, чем у трейсера Z(VII). Как показано в данной работе, Kd комплекса для трейсера Е(VII) с MAb в 2 раза выше, чем для трейсера Z(VII), что и объясняет возможность снижения предела обнаружения прогестерона.
ЭКСПЕРИМЕНТАЛЬНАЯ ЧАСТЬ
Материалы и оборудование. Для синтеза модифицирующих реагентов и флуоресцентных трейсеров использовали реактивы производства Химмед (Россия). Дихлорметан, этилацетат, диметилформамид, изопропиловый и метиловый спирты перед использованием перегоняли. Диэтиловый эфир, тетрагидрофуран перегоняли над LiAlH4. Использовали азид натрия и метансульфохлорид (Fluka, Швейцария), прогестерон и кортикостерон (Sigma, США).
ЯМР-спектры регистрировали на спектрометре AVANCE 700 (Bruker BioSpin, Германия) в растворе CDCl4 или DMSO-d6 при 30°С, химические сдвиги укзаны в шкале δ, КССВ – в Гц.
Масс-спектры получали на хроматомасс-спектрометре (хроматограф Agilent 1260, SD, США, совмещенный с масс-спектрометрометрической приставкой ИЭР G6125) с ионной ловушкой. Измерение проводили в режиме регистрации положительных ионов в диапазоне m/z от 100 до 1200. Образцы элюировали 5–95%-ным градиентом CH3CN в воде с добавлением 0.1% муравьиной кислоты в качестве элюирующей добавки со скоростью потока 1.0 мл/мин. Анализируемый образец растворяли в метаноле до концентрации 10–3 мкг/мл. Ввод образца в поток производили через автосамплер (Vialsampler G7129A). Объем вносимой пробы составлял 2 мкл. Данные обрабатывали с помощью программы DataAnalysis 4.0 SP4 (Bruker Daltonik GmbH, Германия).
Для аналитической ТСХ использовали пластинки Kieselgel 60 F254 (Merck, ФРГ), алифатические соединения проявляли раствором, содержащим KMnO4 (1%) и Na2CO3 (2%) в воде. Для контроля полноты протекания реакций использовали системы следующего состава: дихлорметан–эфир 2 : 3 (А), дихлорметан–этилацетат 9 : 1 (Б), гексан–эфир 19 : 1 (В), дихлорметан–метанол–триэтиламин 18 : 1 : 1 (Г), дихлорметан–метанол 9 : 1 (Д). Препаративную ТСХ проводили на пластинках Kieselgel 60 RP-18 F254s (Merck, ФРГ). Для колоночной хроматографии использовали силикагель Kieselgel 60 с размером частиц 40–63 мкм.
Анализ чистоты выделенных изомерных трейсеров Е(VII), Z(VII) и Е(VIII), Z(VIII) проводили при помощи ВЭЖХ на хроматографе (KNAUER Azura HPLC, ФРГ) с использованием колонки ЕС 250/4.6 NUCLEODUR С8 Gravity в градиентном режиме и следующих элюентов: элюент А – 0.1%-ный раствор ТФУ в воде, элюент Б – 0.1%-ный раствор ТФУ в CH3CN (v/v) с расходом 1.0 мл/мин. Ввод образца в поток производили через инжектор Rheodyne 7010 (Rheodyne, США). Сигналы регистрировали УФ-детектором K-2501 при 260 нм.
Исследование синтезированных трейсеров в FPIA проводили на портативном приборе Ellie Sentry-200 (Diachemix, США). В работе использовали 20 мМ боратный буфер, содержащий 0.02% NaN3 и 0.02% Тритона X-100 (буфер А). При анализе использовали специфические моноклональные антитела к прогестерону (IgG2b, кат. № ХМ207; ХЕМА, Россия,), прогестерон и кортикостерон (Sigma, США). Растворы компонентов вводили в пробирку автоматическими дозаторами Research PhysioCare Concept на 0.5–10, 20–200 и 100–1000 мкл (Eppendorf, США). Концентрацию антител и трейсеров определяли спектрофотометрически с помощью прибора Lightwave II (Biochrom, Великобритания).
3-Азидопропанол (I). 1-Бромпропанол (5.0 г, 36 ммоль) и NaN3 (5.0 г, 77 ммоль) растворяли в 50 мл воды. Реакционную смесь перемешивали в течение 12 ч при 60°С с обратным холодильником, контролируя полноту протекания реакции по ТСХ (система А). После охлаждения до комнатной температуры реакционную смесь экстрагировали диэтиловым эфиром (3 × 30 мл), эфирный слой промывали насыщенным раствором NaCl (3 × 20 мл) и сушили безводным сульфатом натрия. 3-Азидопропанол выделяли с помощью колоночной хроматографии на силикагеле с использованием градиентного элюирования 0–10% эфира в дихлорметане. Получали 3-азидопропанол в виде бесцветной маслянистой жидкости, выход 3.69 г (74%). Rf 0.38 (система А). Спектр 1H-ЯМР (CDCl3): 1.72–1.80 (м, 2H, OCH2CH2), 3.38 (т, J 6.9, 2H, CH2N3), 3.67 (т, J 6.2, 2H, OCH2). 13C-ЯМР (CDCl3): 31.32, 48.29, 59.45.
3-Азидопропилметансульфонат (II). 3-Азидопропанол (I) (2.55 г, 25 ммоль) растворяли в 10 мл дихлорметана и добавляли 3.7 мл триэтиламина (26 ммоль). Метансульфонилхлорид (3.04 г, 26 ммоль) растворяли в 10 мл дихлорметана и медленно по каплям добавляли к реакционной смеси при перемешивании и охлаждении на ледяной бане. По окончании реакции (контроль по ТСХ, система Б) реакционную массу упаривали, остаток растворяли в ТГФ и отфильтровывали выпавший осадок. После упаривания растворителя получили хроматографически чистый продукт (II), выход 4.77 г (96%). Rf 0.52 (система Б). Полученный продукт без очистки использовали далее для реакции с натриевой солью N-гидроксиацетимидата (III).
N-Гидроксиацетимидата натриевая соль (III). При охлаждении в ледяной бане растворяли 11.0 г (0.105 моль) N-гидроксиацетимидата в 50 мл этилового спирта, к этому раствору добавляли при перемешивании 42.5 мл 2.6 М раствора этилата натрия в этаноле (0.11 моль). Затем охлаждение прекращали, а полученный раствор перемешивали еще 30 мин при комнатной температуре. К полученной смеси добавляли 150 мл сухого диэтилового эфира, фильтровали выпавший осадок, промывали и сушили в вакууме. Получили 10.5 г продукта, выход 95%.
N-(3-Азидопропилокси)ацетимидат (IV). 3-Азидопропилмезилат (II) (4.77 г, 25 ммоль) растворяли в смеси изопропилового и трет-бутилового спирта (2 : 1 v/v). При перемешивании добавляли натриевую соль гидроксиацетимидата (9.375 г, 75 ммоль). Реакционную смесь оставляли перемешиваться при 40°С в течение ночи. Контроль реакции по ТСХ (система В) показал практически полное исчезновение исходного вещества. После этого осадок мезилата натрия отфильтровывали, растворитель упаривали в вакууме. Целевое вещество выделяли с помощью флеш-хроматографии в градиенте эфира в гексане 0–3%. Масса 3.59 г (68%). Rf 0.4 (система В). Спектр 1H-ЯМР (CDCl3): 1.27 (т, J 7.1, 3H, OCH2CH3), 1.85–1.98 (м, 5H, OCH2CH2, CH3), 3.38 (т, J 6.7, 2H, CH2N3), 3.97 (т, J 6.0, 2H, OCH2), 4.00 (к, J 7.1, 2H, OCH2CH3). 13C-ЯМР (CDCl3): 13.53, 14.32, 28.45, 48.56, 62.15, 70.04, 162.35.
N-(3-Аминопропилокси)ацетимидат (V). Трифенилфосфин (3.64 г, 14 ммоль) при перемешивании добавляли к соединению (IV) (1.66 г, 9 ммоль) в 70 мл ТГФ. По окончании реакции к реакционной смеси добавляли 5 мл воды и нагревали с перемешиванием при 75°С в течение 2.5 ч. После полного превращения (ТСХ, система Г) мезилата в продукт (V) охлажденую реакционную смесь упаривали досуха, целевой амин выделяли на хроматографической колонке в системе 5% метанола в дихлорметане с градиентом триэтиламина 0–5%. Получали жидкость бледно-желтого цвета массой 1.11 г (78%). Rf 0.44 (система Г). Спектр 1H-ЯМР (CDCl3): 3.98 (к, J 7.1, 2H, OCH2CH3), 1.24 (т, J 7.1, 3H, OCH2CH3), 1.30 (с, 2H, NH2), 1.71–1.79 (п, 2H, OCH2CH2), 1.90 (с, 3H, CH3), 2.78 (т, J 6.9, 2H, CH2NH2), 3.95 (т, J 6.2, 2H, OCH2). Спектр 13C-ЯМР (CDCl3): 13.70, 14.49, 33.1, 39.58, 62.23, 71.48, 162.29.
3-(1-Этоксиэтилиденаминоокси)пропиламид 6-карбоксифлуоресцеина (VI). N-(3-Аминопропилокси)-ацетимидат (V) (7.7 мг, 48 мкмоль) добавляли к раствору активированного NHS-эфира красителя 6-FAM (42 мкмоль) в сухом диметилформамиде (2 мл) в темноте при перемешивании. Затем к реакционной смеси добавляли диизопропилэтиламин (22 мкл, 128 мкмоль), полноту превращения контролировали по ТСХ (система Д). Полученный раствор упаривали досуха, остаток хроматографировали на силикагеле методом градиентного элюирования 0–20% метанола в дихлорметане. Целевое соединение выделяли в виде желтого масла. Выход составил 17.2 мг (72%). Rf 0.52 (система Д). Спектр 1H-ЯМР (DMSO-d6): 1.17 (т, J 7.0, 3H, OCH2CH3), 1.76–1.79 (м, 2H, OCH2CH2), 1.80 (с, 3H, СН3), 3.27 (к, J 6.5, 2H, CH2NH), 3.83 (т, J 6.2, 2H, OCH2), 3.90 (к, J 7.1, 2H, OCH2CH3), 6.54–6.61 (м, 4H, ArH), 6.70 (д, J 2.3, 2H, ArH), 7.68 (дд, J 1.5, 0.8, 1H, ArH), 8.07 (дд, J 8.2, 0.7, 1H, ArH), 8.17 (дд, J 8.1, 1.4, 1H, ArH), 8.67 (т, J 5.6, 1H, NH), 10.15 (с, 2H, OH). Спектр 13C-ЯМР (DMSO-d6): 13.30, 14.16, 25.19, 28.35, 36.74, 61.68, 70.68, 102.23, 109.16, 112.71, 124.78, 128.14, 129.18, 129.35, 140.74, 151.82, 152.62, 159.59, 161.26, 164.39, 168.01, 172.68.
Общая методика получения конъюгатов (VII) и (VIII). К амиду (VI) (2 мг, 3.8 ммоль) добавляли 4 мкмоль прогестерона или кортикостерона в 200 мкл метанола. Затем в темноте при перемешивании по каплям добавляли 5 мкл раствора концентрированной соляной кислоты в метаноле (9 : 1 v/v). После завершения реакции (контроль по ТСХ, система Д) смесь обрабатывали раствором, содержащим 15% NaCl и 2% NaHCO3, затем водную фазу подкисляли до pH 5 и экстрагировали этилацетатом (3 × 15 мл). Осушенный органический слой упаривали, а полученное соединение очищали от примесей с помощью колоночной хроматографии на силикагеле методом градиентного элюирования от 0 до 10% метанола в дихлорметане. Фракции, содержащие целевые изомеры флуоресцентных трейсеров, собирали, упаривали и далее очищали более селективными методами разделения.
Z/E-изомеры оксимных производных прогестерона и кортикостерона разделяли препаративной ТСХ на пластинке с обращенной фазой. Cлой сорбента из окрашенных флуоресцентных пятен, соответствующих целевым изомерам, собирали с пластинки и затем элюировали смесью дихлорметан–метанол (1 : 1). Растворы упаривали, получали стереоизомеры трейсеров E(VII) и Z(VII) прогестерона в препаративных количествах. Чистоту полученных образцов трейсеров анализировали методом ОФ-ВЭЖХ в градиенте вода–ацетонитрил 0 → 50% за 20 мин.
Выход смеси Z/E-изомеров (VII) в реакции с прогестероном составил 2.73 мг (68%). Смесь Z/E-изомеров разделяли препаративной ТСХ в системе EtOAc : Et2O (25 : 1). Анализ ОФ-ВЭЖХ показал, что примесь другого изомера в каждом из образцов прогестерона составляла не более 3% при расчете на основе хроматограмм, записанных при длине волны поглощения детектора 254 нм.
(Z)-3-(Флуоресцеин-6-карбоксамидо)пропил-3-оксим прогестерона Z(VII). Изомер, имеющий Z-конфигурацию, выделили в количестве 1.20 мг (30%), Rf 0.73. Спектр 1H-ЯМР (DMSO-d6): 0.55 (с, 3H, СH18), 0.81 (уш. дт, 1H, J 3.9, 11.7, СH9), 0.89 (уш. дт, 1H, J 4.1, 12.8, СH7), 1.03 (с, 3H, СH19), 1.08–1.19 (м, 2H, СH14, СH15), 1.29–1.35 (м, 2H, СH11), 1.36–1.43 (м, 1H, CH12), 1.44–1.58 (м, 2H, СH1, СH8, СH15), 1.61 (м, 1H, CH16), 1.73 (м, 1H, СH11), 1.79 (п, J 6.5, 2H, OCH2CH2), 1.83 (дт, J 3.5, 13.6, 1H, СH7), 1.98 (м, 2H, СH1, CH12), 2.02 (м, 1H, СH16), 2.05 (с, 3H, СH21), 2.10 (уш. дт, 1H, J 3.5, 14.2, СH6), 2.14 (уш. дт, 1H, J 4.0, 14.8, СH2), 2.22 (дт, 1H, J 4.0, 14.8, СH2), 2.29 (уш. дт, 1H, J 4.1, 14.4, СH6), 2.55 (уш. т, J 9.2, 1H, СH17), 3.26 (уш. п, J 6.5, 2H, CH2NH), 3.92 (м, 2H, ОCH2), 6.23 (м, 1H, СH4), 6.54–6.59 (м, 4H, ArH), 6.69 (д, J 2.3, 2H, ArH), 7. 67 (уш. с, 1H, ArH), 8.07 (д, J 8.1, 1H, ArH), 8.17 (дд, J 1.4, 8.1, 1H, ArH), 8.67 (уш. т, J 5.6, 1H, NH), 10.13 (уш. с, 2H, ОН). ESI/MS m/z (M + H)+ 745.4. Время выхода пика на аналитической ВЭЖХ – 12.1 мин.
(E)-3-(Флуоресцеин-6-карбоксамидо)пропил-3-оксим прогестерона E(VII). Изомер, имеющий Е-конфигурацию, выделили в количестве 1.17 мг (29%), Rf 0.61. Спектр 1H-ЯМР (DMSO-d6): 0.55 (с, 3H, СH18), 0.80 (дт, 1H, J 3.9, 11.4, СH9), 0.88 (уш. дт, 1H, J 4.5, 12.5, СH7), 0.98 (с, 3H, СH19), 1.09–1.20 (м, 2H, СH14, СH15), 1.33 (уш. дт, 1H, J 3.6, 13.3, СH11), 1.40 (м, 1H, CH12), 1.44 (м, 1H, СH8), 1.50–1.59 (м, 2H, CH1, CH15), 1.62 (м, 1H, CH16), 1.71 (м, 1H, CH11), 1.79 (м, 3H, OCH2CH2, СH7), 1.94–2.00 (м, 3H, CH1, CH12, СH6), 2.03 (м, 1H, СH16), 2.06 (с, 3H, СH21), 2.16 (м, 1H, СH6), 2.25 (уш. дт, 1H, J 4.2, 16.6, СH2), 2.56 (уш. т, J 9.1, 1H, СH17), 2.74 (уш. дт, 1H, J 3.6, 16.6, СH2), 3.27 (уш. к, J 6.5, 2H, CH2NH), 3.96 (т, J 6.3, 2H, ОCH2), 5.66 (уш. д, J 1.9, 1H, СH4), 6.54–6.59 (м, 4H, ArH), 6.69 (д, J 2.2, 2H, ArH), 7.68 (уш. с, 1H, ArH), 8.07 (д, J 8.1, 1H, ArH), 8.17 (дд, J 1.4, 8.1, 1H, ArH), 8.67 (т, J 5.6, 1H, NH), 10.13 (уш. с, 2H, ОН). ESI/MS m/z 745.3 (M + H)+. Время выхода пика на аналитической ВЭЖХ – 13.8 мин.
Выход смеси Z/E-изомеров (VIII) в реакции с кортикостероном составил 2.3 мг (52%). Смесь Z/E-изомеров разделяли препаративной ТСХ в системе CH2Cl2 : EtOAc (5.5 : 4.5). Анализ ОФ-ВЭЖХ показал, что примесь другого изомера в каждом из образцов прогестерона была не более 2%, длина волны поглощения УФ-детектора – 254 нм.
(Z)-3-(Флуоресцеин-6-карбоксамидо)пропил-3-оксим кортикостерона Z(VIII). Выход 0.68 мг (15%), Rf 0.62. Спектр 1H-ЯМР ((DMSO-d6): 0.75 (с, 3H, СH18), 0.79 (уш. дд, J 2.8, 11.8, 1H, СH7), 1.05 (м, 1H, СH14), 1.21–1.27 (с, м, 4H, СH15, СH19), 1.44 (уш. дд, J 3.4, 13.1, 1H, СH9), 1.52 (уш. дт, J 4.2, 13.1, 1H, СH8), 1.54 (м, 1H, CH15), 1.65 (м, 1H, CH16), 1.78–1.87 (м, 4H, OCH2CH2, СH1, СH12), 1.96 (уш. дт, J 4.2, 13.2, 1H, CH7), 2.00 (уш. дд, J 2.6, 13.5, 1H, CH12), 2.03–2.08 (м, 3H, СH1, СH6, СH16), 2.16 (уш. дт, J 4.2, 14.7, 1H, СH2), 2.23 (уш. дт, J 4.0, 14.7, 1H, СH2), 2.33 (уш. ддт, J 1.7, 2.8, 13.2, 1H, CH6), 2.48 (уш. т, J 9.3, 1H, СH17), 3.27 (п, J 6.5, 2H, CH2NH), 3.94 (м, 2H, ОCH2), 4.01 (уш. с, 2H, HОCH2), 4.16 (м, 1H, CH2ОH), 4.23 (уш. д, J 3.4, 1H, С11ОH), 6.16 (уш. д, J 1.7, 1H, CH4), 6.30–6.45 (м, 4H, ArH), 6.60 (д, 2H, ArH), 7.61 (уш. с, 1H, ArH), 8.03 (уш. с, 2H, ArH), 8.57 (м, 1H, NH). ESI/MS m/z 777.3 (M + H)+.
(Е)-3-(Флуоресцеин-6-карбоксамидо)пропил-3-оксим кортикостерона Е(VIII). Выход 1.06 мг (24%), Rf 0.74. Спектр 1H-ЯМР (DMSO-d6): 0.74–0.79 (с, уш. дд, J 3.4, 11.8, 4H, СH7, СH18), 1.05 (уш. дт, 1H, J 7.1, 11.9, СH14), 1.20–1.27 (с, м, 4H, СH15, СH19), 1.38 (уш. дт, J 4.5, 13.4, 1H, СH8), 1.45 (уш. дд, J 3.2, 13.4, 1H, СH9), 1.50–1.57 (м, 1H, CH15), 1.65 (м, 1H, CH16), 1.75–1.83 (м, 4H, OCH2CH2, СH1, СH12), 1.90 (уш. дт, J 4.5, 13.2, 1H, СH7), (м, 1H), 1.98–2.12 (м, 4H, СH1, СH6, CH12, CH16), 2.31 (уш. дт, J 4.0, 16.4, 1H, CH2), 2.49 (уш. т, J 9.5, 1H, СH17), 2.74 (уш. дт, J 4.4, 16.4, 1H, CH2), 3.28 (п, J 6.5, 2H, CH2NH), 3.98 (т, J 6.2, 2H, ОCH2), 4.02 (уш. с, 2H, HОCH2), 4.16 (м, 1H, CH2ОH), 4.26 (м, 1H, С11ОH), 5.58 (уш. д, J 1.8, 1H, CH4), 6.30–6.45 (м, 4H, ArH), 6.60 (дд, J 9.0, 2.7, 2H, ArH), 7.60 (уш. с, 1H, ArH), 8.02 (уш. с, 2H, ArH), 8.56 (м, 1H, NH). ESI/MS m/z 777.3 (M + H)+.
Поляризационный флуоресцентный иммуноанализ. Определение оптимальной концентрации антител. Получали серию разведений моноклональных антител к соответствующему стероидному гормону разной концентрации (1–120 нМ) в буфере А объемом 0.5 мл. Для этого из концентрата антитела готовили 1 мл исходного раствора в буфере А, а из него последовательным двухкратным разведением делали серию из 10 растворов объемом 0.5 мл. Затем в каждый раствор добавляли по 0.5 мл раствора одного из изомеров трейсеров Е(VII) или Z(VII) в концентрации 5 нМ, выдерживали при комнатной температуре 4–5 мин и измеряли поляризацию флуоресценции. Измерения проводили трижды, результаты представляли в виде средних значений ± SD.
Построение калибровочных зависимостей для определения прогестерона методом FPIA. Для построения градуировочной кривой готовили стандартные водные растворы прогестерона с концентрациями 0.001, 0.01, 0.033, 0.05, 0.08, 0.1, 0.2, 0.33, 1, 10 и 100 мкг/мл.
В стеклянные кюветы к 50 мкл стандартных растворов прогестерона добавляли 0.5 мл раствора одного из изомеров трейсеров Е(VII) или Z(VII) в концентрации 5 нМ и 0.5 мл раствора антитела в буфере А в рабочем разведении c концентрацией 24 или 29 нМ и выдерживали при комнатной температуре 4–5 мин. Затем измеряли поляризацию флуоресценции растворов. Измерения проводили трижды, результаты представляли в виде средних значений ± SD.
ЗАКЛЮЧЕНИЕ
В данной работе мы осуществили синтез флуоресцеинового реагента на основе флуорофора 6-FAM с защищенной аминооксигруппой на коротком линкере и использовали его для получения конъюгатов с прогестероном и кортикостероном методом оксимного лигирования, которое происходило одновременно со снятием защитной группы с остатка O-замещенного гидроксиламина на конце линкера. Были получены флуоресцентные трейсеры для анализа методом FPIA стероидов, содержащих карбонильную группу, и их синтетических аналогов. Они обладают перспективными аналитическими характеристиками для определения соответствующих стероидов методом FPIA в биологических пробах и при анализе объектов окружающей среды. Конъюгаты показали высокую эффективность при анализе стероидных гормонов – снижение предела обнаружения прогестерона при сравнении с описаными ранее аналогами. Кроме того, оказалось, что один из стереоизомеров, а именно Z-изомер, более чувствителен в методе FPIA по сравнению с E-изомером. Эти преимущества дают возможность использования таких флуоресцентных производных для разработки тест-систем, диагностикумов и применения их в клиническом анализе гормонов.
БЛАГОДАРНОСТИ
Авторы выражают благодарность Г.П. Поповой за квалифицированную помощь в экспериментальной работе и А.А. Михайлову за консультацию при отнесении ЯМР-спектров.
СОБЛЮДЕНИЕ ЭТИЧЕСКИХ СТАНДАРТОВ
Настоящая статья не содержит описания каких-либо исследований с участием людей и использованием животных в качестве объектов исследований.
КОНФЛИКТ ИНТЕРЕСОВ
Авторы заявляют об отсутствии конфликта интересов.
About the authors
I. A. Prokhorenko
Shemyakin–Ovchinnikov Institute of Bioorganic Chemistry RAS
Author for correspondence.
Email: prig67@mail.ru
Russian Federation, ul. Miklukho-Maklaya 16/10, Moscow, 117997
D. A. Glushchenko
Shemyakin–Ovchinnikov Institute of Bioorganic Chemistry RAS
Email: prig67@mail.ru
Russian Federation, ul. Miklukho-Maklaya 16/10, Moscow, 117997
E. L. Gulyak
Shemyakin–Ovchinnikov Institute of Bioorganic Chemistry RAS
Email: prig67@mail.ru
Russian Federation, ul. Miklukho-Maklaya 16/10, Moscow, 117997
I. V. Mikhura
Shemyakin–Ovchinnikov Institute of Bioorganic Chemistry RAS
Email: prig67@mail.ru
Russian Federation, ul. Miklukho-Maklaya 16/10, Moscow, 117997
V. A. Korshun
Shemyakin–Ovchinnikov Institute of Bioorganic Chemistry RAS
Email: prig67@mail.ru
Russian Federation, ul. Miklukho-Maklaya 16/10, Moscow, 117997
L. I. Mukhametova
Lomonosov Moscow State University
Email: prig67@mail.ru
Department of Chemistry
Russian Federation, Leninskiye Gory 1/3, Moscow, 119991S. А. Eremin
Lomonosov Moscow State University
Email: prig67@mail.ru
Department of Chemistry
Russian Federation, Leninskiye Gory 1/3, Moscow, 119991References
- Zamri M.F.M.A., Bahru R., Pramanik S.K., Fattah I.M.R. // J. Water Proc. Engin. 2021. V. 41. 102017. https://doi.org/10.1016/j.jwpe.2021.102017
- Miller W.L., Auchus R.J. // Endocr. Rev. 2011. V. 32. P. 81. https://doi.org/10.1210/ER.2010-0013
- Куджаев А.М., Андрианова А.Г., Гущина А.Е., Смирнов И.В., Ротанова Т.В. // Биоорг. химия. Т. 48. С. 381–414. [Kudzhaev A.M., Andrianova A.G., Gustchina A.E., Smirnov I.V., Rotanova T.V. // Russ. J. Bioorg. Chem. 2022. V. 48. P. 678–709.] https://doi.org/10.1134/S1068162022040136
- Gore A.C. // JAMA Int. Med. 2016. V. 176. P. 1705–1706. https://doi.org/10.1001/jamainternmed.2016.5766
- Abraham G.E. // J. Steroid Biochem. 1975. V. 6. P. 261–270. https://doi.org/10.1016/0022-4731(75)90141-7
- Relave F., Lefebvre R.C., Beaudoin S., Price C. // Can. Vet. J. 2007. V. 48. P. 823–826.
- Stanczyk F.Z., Lee J.S., Santen R.J. // Cancer Epidemiol. Biomarkers Prev. 2007. V. 16. P. 1713–1719. https://doi.org/10.1158/1055-9965.EPI-06-0765
- Tate J., Ward G. // Clin. Biochem. Rev. 2004. V. 25. P. 105–120.
- Hall M.D., Yasgar A., Peryea T., Braisted J.C., Jadhav A., Simeonov A., Coussens N.P. // Methods Appl. Fluoresc. 2016. V. 4. P. 022001. https://doi.org/10.1088/2050-6120/4/2/022001
- Smith D.S., Eremin S.A. // Anal. Bioanal. Chem. 2008. V. 391. P. 1499–1507. https://doi.org/10.1007/s00216-008-1897-z
- Choi M.J., Choi J., Yoon D.Y., Park J., Eremin S.A. // Biol. Pharm. Bull. 1997. V. 20. P. 309–314. https://doi.org/10.1248/bpb.20.309
- Колосова A.Ю., Еремин С.А., Гаврилова Е.М., Егоров А.М. // Проблемы эндокринологии. 1994. Т. 40. С. 48–51. https://doi.org/10.14341/probl12147
- Hong J.Y., Choi M.J. // Biol. Pharm. Bull. 2002. V. 25. P. 1258–1262. https://doi.org/10.1248/bpb.25.1258
- Quémener D., Davis T.P., Barner-Kowollik C., Stenzel M.H. // Chem. Commun. 2006. V. 48. P. 5051–5053. https://doi.org/10.1039/B611224B
- Clède S., Lambert F., Sandt C., Kascakova S., Unger M., Harté E., Plamont M.-A., Saint-Forth R., Deniset- Besseau A., Guerouiab Z., Hirschmugl C., Lecomte S., Dazzi A., Vessières A., Policar C. // Analyst. 2013. V. 138. P. 5627–5638. https://doi.org/10.1039/C3AN00807J
- Robinson S.W., Beer P.D. // Org. Biomol. Chem. 2017. V. 15. P. 153–159. https://doi.org/10.1039/ c6ob02339h
- Khomutov A.R., Vepsalainen J.J., Shvetsov A.S., Hyvönen T., Keinänen T.A., Pustobaev V.N., Eloranta T.O., Khomutov R.M. // Tetrahedron. 1996. V. 52. P. 13751–13766. https://doi.org/10.1016/0040-4020(96)00836-8
- Sapozhnikova A., Misyurin V.A., Ryazantsev D.Y., Kokin E.A., Finashutina Yu.P., Alexeeva A.V., Ivanov I.A., Kocharovskaya M.V., Tikhonova N.A., Popova G.P., Alferova V.A., Ustinov A.V., Korshun V.A., Brylev V.A. // Int. J. Mol. Sci. 2022. V. 22. P. 12845. https://doi.org/10.3390/ijms222312845
- Kolmer D.K., Cool E.T. // Chem. Rev. 2017. V. 117. P. 10358–10376. https://doi.org/10.1021/acs.chemrev.7b00090
- Adamczyk M., Chen Y.-Y., Grote J., Mattingly P.G. // Steroids. 1999. V. 64. P. 283–290. https://doi.org/10.1016/S0039-128X(99)00004-5
- Мухаметова Л.И., Крылов В.Б., Соловьев A.C., Яшунский Д.В., Матвеев A.Л., Тикунова Н.В., Еремин С.А., Нифантьев Н.Э. // Известия Акад. наук. Сер. хим. 2021. №. 5. С. 975–981.
- Zhao Q., Bai Y., Wang H. // Talanta. 2020. V. 217. P. 121018. https://doi.org/10.1016/j.talanta.2020.121018
Supplementary files









