2,5-Dimethoxy-benzylidene-rhodanine and its acyclic analogues as selective fluorogenic dyes for lipid droplets of living cells
- Авторлар: Krasnova S.A.1,2, Bogdanova Y.A.1, Sokolov A.I.1,3, Myasnyanko I.N.1,3, Smirnov A.Y.1,3, Baranov M.S.1,3
- 
							Мекемелер: 
							- Shemyakin–Ovchinnikov Institute of Bioorganic Chemistry RAS
- National Research University Higher School of Economics
- Pirogov Russian National Research Medical University
 
- Шығарылым: Том 50, № 1 (2024)
- Беттер: 87-97
- Бөлім: ПИСЬМА РЕДАКТОРУ
- URL: https://journal-vniispk.ru/0132-3423/article/view/258160
- DOI: https://doi.org/10.31857/S0132342324010089
- EDN: https://elibrary.ru/OWGMCP
- ID: 258160
Дәйексөз келтіру
Толық мәтін
Аннотация
We report about a series of arylidene-rhodanines and their acyclic analogues. The fluorescent properties of these substances were studied. We showed that the derivatives containing a 2,5-dimethoxybenzylidene fragment or similar groups are characterized by a noticeable variation in the fluorescence quantum yield depending on the properties of the medium. We discovered that two of the synthesized compounds – dimethoxy-benzylidene-rhodanine and dimethoxy-benzylidene-malononitrile – can be used as selective fluorogenic dyes for lipid droplets (adiposomes) of living cells for labeling under fluorescent microscopy conditions.
Негізгі сөздер
Толық мәтін
ВВЕДЕНИЕ
На сегодняшний день флуоресцентная микроскопия остается одним из ключевых методов анализа в биологических исследованиях. За многие годы было разработано множество способов маркирования живых объектов с применением самых разных флуоресцентных красителей. Однако в последнее время особой популярностью на фоне классических маркеров пользуются флуорогенные метки. Они не имеют собственной выраженной флуоресценции в свободном виде, но приобретают ее при связывании с целевым объектом [1–3]. Благодаря этому такие красители могут быть намного более селективными и фотостабильными, чем классические метки с постоянной флуоресценцией. За последние годы мы показали, что арилиденимидазолоны могут использоваться в качестве флуорогенных маркеров, проявляющих заметную флуоресценцию при взаимодействии с определенными клеточными органеллами [4, 5].
Причина слабой флуоресценции свободных имидазолоновых красителей – возможность безызлучательного сброса энергии возбуждения, возникающего за счет подвижности арилиденового фрагмента [6]. Однако введение в него различных заместителей (примеры представлены на схеме 1) приводит к возрастанию квантового выхода флуоресценции в неполярных и апротонных средах, что позволяет окрашивать отдельные органеллы специфическим образом при совпадении физико-химических свойств красителя и мембран органелл [7].
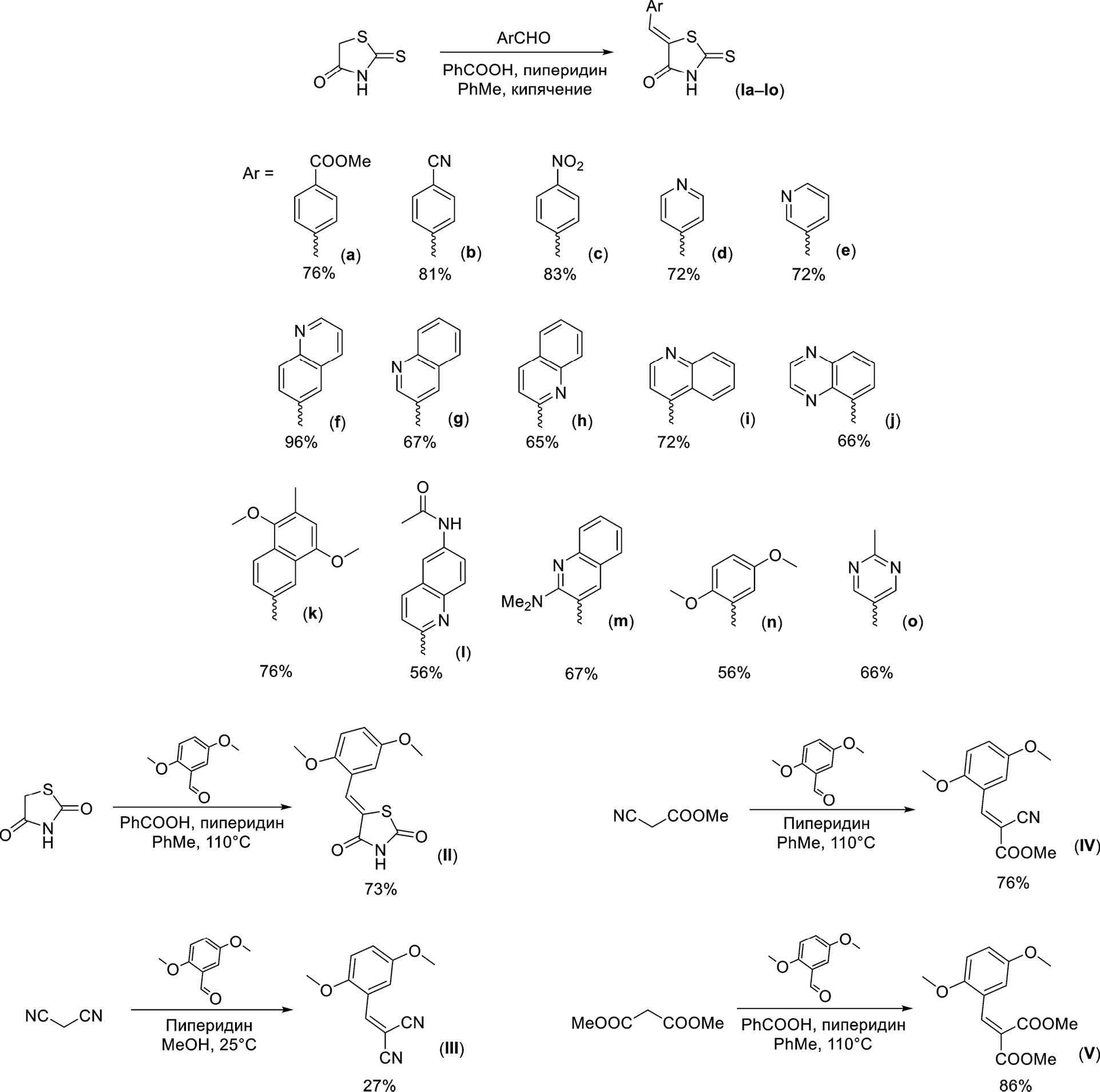
Схема 1. Синтез арилиденроданинов (Ia–Io) и их ациклических аналогов (II–V).
В рамках данной работы мы предложили новую группу родственных структур, которые способны проявлять выраженную флуоресценцию в липидных каплях (адипосомах).
Данные элементы клеток стали рассматриваться как полноценные органеллы со своей особой структурой не так давно [8]. Адипосомы присутствуют во всех типах клеток, служат для хранения нейтральных липидов, занимающих особое место в метаболизме в качестве источников энергии и строительных блоков при формировании мембран и медиаторов клеточных сигналов [9]. При этом механизм биогенеза липидных капель и динамика их поведения до сих пор изучены недостаточно подробно [10]. Липидные капли контактируют с большей частью клеточных органелл, включая ЭПР, аппарат Гольджи, митохондрии, лизосомы и пероксисомы [11], через специальные белковые комплексы и влияют на функционирование этих органелл [12–15]. Кроме того, адипосомы играют важную роль в предотвращении липотоксичности [16] и окислительного стресса [17], которые развиваются при избыточном накоплении клеткой свободных жирных кислот. Эти нарушения ассоциируются с диабетом второго типа и неалкогольной жировой болезнью печени [18]. К другим патологиям, связанным с липидными каплями, относят воспаление [19], эпилепсию [20] и злокачественные новообразования [21]. Отдельно стоит упомянуть о возможности использования адипосом в качестве реперных маркеров при проведении криофлуоресцентной корреляционной микроскопии [22]. Таким образом, липидные капли представляют собой интересный объект для флуоресцентного мечения и разработки новых специфических красителей.
В данной работе с опорой на известные закономерности мы предложили ряд новых соединений – арилиденроданинов и их ациклических аналогов – веществ, подобных исследованным нами ранее имидазолоновым флуорогенным красителям, в структуры которых были введены фрагменты, отвечающие за появление флуоресценции в липофильном окружении.
Цель настоящего исследования – разработка методики синтеза таких арилиденроданинов и их ациклических аналогов, изучение оптических свойств полученных соединений, а также проверка возможности использования данных производных в качестве флуорогенных меток для окрашивания различных органелл в живых клетках.
РЕЗУЛЬТАТЫ И ОБСУЖДЕНИЕ
Арилиденроданины (Ia–Io) синтезировали по модифицированной литературной методике [23] реакцией различных ароматических альдегидов с роданином (схема 1), а далее исследовали оптические свойства полученного ряда соединений (см. дополнительные материалы и табл. 1). Мы установили, что максимумы поглощения находятся в области 355– 425 нм, а максимумы испускания – в области 405– 618 нм. Однако заметная флуоресценция оказалась характерна только для тех соединений, которые содержали два электронодонорных заместителя в арилиденовом фрагменте (Ik, Im, In). Ранее мы уже показали, что арилиденимидазолон, содержащий две метоксигруппы в орто- и мета- положениях (как у соединения (In)), способен окрашивать эндоплазматический ретикулум [24], поэтому для такого заместителя мы синтезировали производные тиазолидиндиона (II), а также малонового эфира и нитрила (III–V) [25–28] (схема 1).
Таблица 1. Оптические свойства серии арилиденроданинов (Ia–Io) и их ациклических аналогов (II–V) в разных растворителях
| Соединение | Растворитель | Максимум поглощения, нм | Коэффициент поглощения, М–1 см–1 | Максимум испускания, нм | Квантовый выход флуоресценции, % | 
| (Ia) | Диоксан | 383 | 39 000 | –* | –* | 
| EtOAc | 379 | 41 500 | –* | –* | |
| MeCN | 379 | 42 000 | –* | –* | |
| EtOH | 387 | 40 500 | –* | –* | |
| Вода | 380 | 35 500 | –* | –* | |
| (Ib) | Диоксан | 381 | 50 000 | –* | –* | 
| EtOAc | 378 | 67 000 | –* | –* | |
| MeCN | 379 | 49 000 | –* | –* | |
| EtOH | 386 | 50 500 | –* | –* | |
| Вода | 383 | 46 000 | –* | –* | |
| (Ic) | Диоксан | 377 | 39 000 | –* | –* | 
| EtOAc | 374 | 42 000 | –* | –* | |
| MeCN | 374 | 39 000 | –* | –* | |
| EtOH | 401 | 38 000 | –* | –* | |
| Вода | 387 | 35 500 | –* | –* | |
| (Id) | Диоксан | 369 | 34 000 | ~405 | ~0.05 | 
| EtOAc | 363 | 38 500 | –* | –* | |
| MeCN | 364 | 39 000 | –* | –* | |
| EtOH | 376 | 33 000 | –* | –* | |
| Вода | 374 | 39 000 | –* | –* | |
| (Ie) | Диоксан | 374 | 32 000 | ~405 | ~0.05 | 
| EtOAc | 371 | 34 500 | –* | –* | |
| MeCN | 371 | 36 500 | –* | –* | |
| EtOH | 375 | 37 500 | –* | –* | |
| Вода | 373 | 36 500 | –* | –* | |
| (If) | Диоксан | 389 | 22 500 | –* | –* | 
| EtOAc | 386 | 24 000 | –* | –* | |
| MeCN | 385 | 25 000 | –* | –* | |
| EtOH | 389 | 22 500 | –* | –* | |
| Вода | 391 | 16 500 | –* | –* | |
| Соединение | Растворитель | Максимум поглощения, нм | Коэффициент поглощения, М–1 см–1 | Максимум испускания, нм | Квантовый выход флуоресценции, % | 
| (Ig) | Диоксан | 390 | 23 000 | –* | –* | 
| EtOAc | 378 | 26 500 | –* | –* | |
| MeCN | 380 | 26 500 | –* | –* | |
| EtOH | 390 | 23 500 | –* | –* | |
| Вода | 390 | 21 500 | –* | –* | |
| (Ih) | Диоксан | 405 | 43 500 | –* | –* | 
| EtOAc | 402 | 41 500 | –* | –* | |
| MeCN | 401 | 44 500 | –* | –* | |
| EtOH | 407 | 37 500 | –* | –* | |
| Вода | 375 | 21 500 | –* | –* | |
| (Ii) | Диоксан | 379 | 84 500 | ~405 | ~0.05 | 
| EtOAc | 373 | 87 500 | –* | –* | |
| MeCN | 372 | 86 500 | –* | –* | |
| EtOH | 386 | 100 000 | –* | –* | |
| Вода | 382 | 77 500 | –* | –* | |
| (Ij) | Диоксан | 383 | 26 000 | –* | –* | 
| EtOAc | 381 | 25 500 | –* | –* | |
| MeCN | 382 | 24 500 | –* | –* | |
| EtOH | 397 | 21 500 | –* | –* | |
| Вода | 392 | 21 000 | –* | –* | |
| (Ik) | Диоксан | 423 | 28 500 | 536 | 0.96 | 
| EtOAc | 418 | 26 500 | 561 | 1.31 | |
| MeCN | 371 | 25 000 | 618 | 0.54 | |
| EtOH | 404 | 35 000 | 544 | <0.05 | |
| (Il) | Диоксан | 425 | 30 500 | –* | –* | 
| EtOAc | 423 | 29 000 | ~490 | <0.05 | |
| MeCN | 420 | 29 000 | –* | –* | |
| EtOH | 424 | 34 000 | –* | –* | |
| Вода | 384 | 14 500 | –* | –* | |
| Соединение | Растворитель | Максимум поглощения, нм | Коэффициент поглощения, М–1 см–1 | Максимум испускания, нм | Квантовый выход флуоресценции, % | 
| (Im) | Диоксан | 379 | 25 500 | 580 | 0.68 | 
| EtOAc | 376 | 26 500 | 594 | 0.49 | |
| MeCN | 376 | 26 000 | 617 | 0.43 | |
| EtOH | 383 | 25 000 | 573 | <0.05 | |
| (In) | Диоксан | 406 | 21 500 | 481 | 0.22 | 
| EtOAc | 404 | 21 000 | 481 | ~0.05 | |
| MeCN | 404 | 19 500 | 541 | 0.13 | |
| EtOH | 395 | 27 500 | 460 | <0.05 | |
| (Io) | Диоксан | 375 | 29 500 | 405 | ~0.5 | 
| EtOAc | 359 | 34 000 | –* | –* | |
| MeCN | 371 | 37 000 | –* | –* | |
| EtOH | 376 | 34 500 | –* | –* | |
| Вода | 372 | 35 000 | –* | –* | |
| (II) | Диоксан | 377 | 12 500 | 469 | 3.9 | 
| EtOAc | 375 | 12 500 | 473 | 3.9 | |
| MeCN | 378 | 11 500 | 499 | 5.4 | |
| EtOH | 361 | 9500 | 468 | 1.4 | |
| Вода | 363 | 14 000 | 519 | 1.6 | |
| (III) | Диоксан | 406 | 7000 | 504 | 15 | 
| EtOAc | 406 | 7500 | 509 | 17 | |
| MeCN | 409 | 7000 | 537 | 17 | |
| EtOH | 410 | 7000 | 528 | 15 | |
| Вода | 407 | 6000 | 488 | 4 | |
| (IV) | Диоксан | 397 | 8000 | 493 | 13 | 
| EtOAc | 396 | 8500 | 498 | 14 | |
| MeCN | 395 | 8500 | 523 | 16 | |
| EtOH | 400 | 8500 | 522 | 11 | |
| Вода | 398 | 6500 | 504 | 1.2 | |
| (V) | Диоксан | 355 | –** | 477 | <0.05 | 
| EtOAc | 355 | –** | 481 | <0.05 | |
| MeCN | 356 | –** | 503 | <0.05 | |
| EtOH | 358 | –** | 485 | <0.05 | |
| Вода | 356 | –** | 551 | –* | 
* Соединение не флуоресцирует.
** Соединение недостаточно растворимо.
Изучение оптических свойств соединений (II–V) показало, что максимумы поглощения и испускания лежат в тех же областях, что и в случае арилиденроданинов (Ia–Io), однако квантовый выход флуоресценции для производных (II–V) оказался значительно выше (табл. 1).
Для всех соединений с выраженным варьированием флуоресценции в различных средах мы изучили возможность окрашивания клеточных структур. Показано, что при инкубации клеток линии Hela Kyoto c красителями (In) и (III) в концентрациях 7 и 5 мкМ соответственно происходит появление в BFP-канале выраженной флуоресценции, ассоциированной с расположением липидных капель, детектируемых в клетках при их визуализации в проходящем свете (рис. 1). При этом соединение (III) характеризовалось большим разгоранием при растворении в липидных каплях и большей интенсивностью флуоресценции при сходных условиях микроскопии. Также в обоих случаях в клетках присутствовали области, характеризующиеся гораздо меньшей интенсивностью флуоресценции, вероятно, представляющие собой скопления мембран органелл различных типов.
Рис. 1. Микроскопия живых клеток HeLa Kyoto при добавлении 7 мкМ соединения (In) (a–в) или 5 мкМ соединения (III) (г–е). (a, г) – Флуоресценция образцов соединений (In) и (III) соответственно при их проникновении в липидные капли в клетках HeLa Kyoto; (б, д) – клетки HeLa Kyoto в проходящем свете; (в, е) – флуоресцентные сигналы образцов соединений (In) и (III) соответственно, наложенные на изображение клеток в проходящем свете. Масштабная линейка во всех случаях соответствует длине 5 мкм.
Таким образом, мы обнаружили, что арилиденроданин (In) и его ациклический аналог (III) способны окрашивать адипосомы и могут применяться во флуоресцентной микроскопии в качестве флуорогенных меток для живых клеток.
ЭКСПЕРИМЕНТАЛЬНАЯ ЧАСТЬ
Оборудование. Спектры ЯМР (δ, м.д.; J, Гц) регистрировали на спектрометре Avance III NMR (700 МГц; Bruker, США) при 303 K в DMSO-d6 (внутренний стандарт – Me4Si), спектры поглощения – на спектрофотометре Cary 100 Bio (Varian, США), спектры флуоресценции – на спектрофлуориметре Cary Eclipse (Varian, США). Температуры плавления определяли на приборе SMP 30 (Stuart Scientific, Великобритания) и не исправляли. Масс-спектры высокого разрешения регистрировали на приборе TripleTOF 5600+ (AB Sciex, США) с ионизацией методом электроспрея (ESI). Напряжение на капилляре составляло 5.5 кВ в режиме регистрации положительных ионов, 4.5 кВ в режиме регистрации отрицательных ионов. Поток газа носителя – 15 Arb, газа распылителя – 25 Arb. Пробы вводили с помощью шприцевого насоса со скоростью потока 20 мкл/мин.
Синтез (Z)-5-(арилиден)-2-тиоксотиазолидин-4-онов (Ia–Io) (общая методика). К раствору 2-тиоксотиазолидин-4-она (роданина) (0.30 ммоль) в толуоле (2 мл) добавляли соответствующий альдегид (0.30 ммоль), бензойную кислоту (3.4 мг, 0.03 ммоль, 0.1 экв.) и пиперидин (3 мкл, 0.03 ммоль, 0.1 экв.). Полученную смесь кипятили 1–4 ч. Протекание реакции контролировали с помощью ТСХ (гексан–EtOAc). Затем реакционную смесь охлаждали, образовавшийся осадок отфильтровывали, промывали водой (3 × 5 мл), метанолом (2 × 5 мл) и Et2O (2 × 5 мл), сушили при пониженном давлении с получением целевых соединений.
Синтез (Z)-5-(2,5-диметоксибензилиден)тиазолидин-2,4-диона (II). К раствору тиазолидин-2,4-диона (43 мг, 0.38 ммоль) в толуоле (4 мл) добавляли соответствующий альдегид (0.50 ммоль, 1.37 экв.), бензойную кислоту (5 мг, 0.038 ммоль, 0.1 экв.) и пиперидин (4 мкл, 0.038 ммоль, 0,1 экв.). Полученную смесь перемешивали при 110°С в течение 22 ч. Протекание реакции контролировали с помощью ТСХ (гексан–EtOAc). Затем реакционную смесь охлаждали до 4°C, образовавшийся осадок отфильтровывали, промывали Et2O (3 × 5 мл), водой (2 × 5 мл) и Et2O (2 × 5 мл), сушили при пониженном давлении.
Синтез 2-(2,5-диметоксибензилиден)малононитрила (III). К раствору малононитрила (66 мг, 1.05 ммоль, 1.05 экв.) в метаноле (4 мл) добавляли соответствующий альдегид (1.00 ммоль) и пиперидин (7.3 мкл, 0.1 ммоль, 0.1 экв.). Полученную смесь перемешивали в течение 72 ч. Протекание реакции контролировали с помощью ТСХ (толуол). Затем растворитель упаривали, продукт очищали колоночной хроматографией (толуол–EtOAc).
Синтез (E)-метил-2-циано-3-(2,5-диметоксифенил)акрилата (IV). К раствору метил-2-цианоацетата (0.55 ммоль) в толуоле (4 мл) добавляли соответствующий альдегид (0.50 ммоль), бензойную кислоту (6 мг, 0.05 ммоль, 0,1 экв.) и пиперидин (5 мкл, 0.05 ммоль, 0.1 экв.). Полученную смесь перемешивали при 110°С в течение 18 ч. Протекание реакции контролировали с помощью ТСХ (гексан–EtOAc). Затем растворитель упаривали, продукт очищали колоночной хроматографией (гексан–EtOAc).
Синтез диметил-2-(2,5-диметоксибензилиден)малоната (V). К раствору диметилмалоната (83 мг, 0.50 ммоль) в толуоле (4 мл) добавляли соответствующий альдегид (0.55 ммоль, 1.1 экв.), бензойную кислоту (6 мг, 0.05 ммоль, 0.1 экв.) и пиперидин (5 мкл, 0.05 ммоль, 0.1 экв.). Полученную смесь перемешивали при 110°С в течение 22 ч. Протекание реакции контролировали с помощью ТСХ (гексан–EtOAc). Растворитель упаривали, продукт очищали колоночной хроматографией (гексан–EtOAc).
Выходы реакций, температуры плавления, спектральные и оптические характеристики синтезированных соединений приведены в дополнительных материалах.
Окрашивание и флуоресцентная микроскопия клеток HeLa Kyoto. Клетки иммортализованной линии HeLa Kyoto (ATCC) культивировали в среде DМЕМ (ПанЭко, Россия) с добавлением 10% телячьей эмбриональной сыворотки (ПанЭко, Россия) и 100 ед./мл пенициллин-стрептомицина (ПанЭко, Россия) в увлажненном инкубаторе в присутствии 5% СО2 при 37°C. За сутки до проведения микроскопии клетки высевали на чашки со стеклянным дном (SPL Life Sciences, Корея), диаметр чашек составлял 35 мм. На следующий день перед проведением микроскопии культивационную среду заменяли на среду для визуализации, состоявшую из раствора Хэнкса (ПанЭко, Россия) с добавлением 20 мМ HEPES (Corning, США) и 7 мкМ вещества (In) или 5 мкM соединения (III), разведенных из стоковых растворов в DMSO (10 мМ), и инкубировали 15 мин при комнатной температуре. Микроскопию проводили с помощью инвертированного флуоресцентного микроскопа BZ-9000 (Keyence, Япония). Для получения изображений использовали объектив 60× PlanApo 1.40 NA (Nikon, США), куб ET-EBFP2/C (Keyence, Япония), а также встроенную в управляющую микроскопом программу Bz-II Viewer функцию Binning 2×2. Результаты исследования обрабатывали в Fiji ImageJ (https://fiji.sc/).
ЗАКЛЮЧЕНИЕ
Синтезирована серия арилиденроданинов и их ациклических аналогов, исследованы оптические свойства полученных соединений. Установлено, что введение двух электронодонорных заместителей в данные структуры позволяет существенно увеличить батохромный сдвиг максимумов испускания, значение квантового выхода флуоресценции и его сольватохромный разброс. Однако для большинства новых соединений, в отличие от оригинальных арилиденимидазолонов, характерны гораздо меньшие значения этих величин в неполярных и апротонных средах. Заметной флуоресценцией отличались лишь соединения (III) и (IV), содержащие нитрильную группу.
Мы обнаружили, что два вещества из предложенных – соединения (In) и (III) – могут использоваться во флуоресцентной микроскопии в качестве флуорогенных маркеров, селективно окрашивающих липидные капли в живых клетках. Соединение (III) при этом обладает большей интенсивностью флуоресценции, чем соединение (In), и представляет собой перспективный инструмент для изучения адипосом.
Расширение инструментария, применимого для визуализации, описания свойств и динамики липидных капель, несомненно способно благотворно повлиять на уровень внимания научного сообщества к этим органеллам, а также повысить степень понимания их участия как в физиологических, так и в патологических процессах.
ФОНДОВАЯ ПОДДЕРЖКА
Исследование выполнено при финансовой поддержке Российского научного фонда (проект № 20-73-10195).
СОБЛЮДЕНИЕ ЭТИЧЕСКИХ СТАНДАРТОВ
Настоящая статья не содержит описания каких-либо исследований с участием людей и использованием животных в качестве объектов исследований.
КОНФЛИКТ ИНТЕРЕСОВ
Авторы заявляют об отсутствии конфликта интересов.
Авторлар туралы
S. Krasnova
Shemyakin–Ovchinnikov Institute of Bioorganic Chemistry RAS; National Research University Higher School of Economics
							Хат алмасуға жауапты Автор.
							Email: svetlanakr2002@mail.ru
				                					                																			                												                	Ресей, 							ul. Miklukho-Maklaya 16/10, Moscow, 117997; ul. Myasnitskaya 20, Moscow, 101000						
Yu. Bogdanova
Shemyakin–Ovchinnikov Institute of Bioorganic Chemistry RAS
														Email: svetlanakr2002@mail.ru
				                					                																			                												                	Ресей, 							ul. Miklukho-Maklaya 16/10, Moscow, 117997						
A. Sokolov
Shemyakin–Ovchinnikov Institute of Bioorganic Chemistry RAS; Pirogov Russian National Research Medical University
														Email: svetlanakr2002@mail.ru
				                					                																			                												                	Ресей, 							ul. Miklukho-Maklaya 16/10, Moscow, 117997; ul. Ostrovitianova 1, Moscow, 117997						
I. Myasnyanko
Shemyakin–Ovchinnikov Institute of Bioorganic Chemistry RAS; Pirogov Russian National Research Medical University
														Email: svetlanakr2002@mail.ru
				                					                																			                												                	Ресей, 							ul. Miklukho-Maklaya 16/10, Moscow, 117997; ul. Ostrovitianova 1, Moscow, 117997						
A. Smirnov
Shemyakin–Ovchinnikov Institute of Bioorganic Chemistry RAS; Pirogov Russian National Research Medical University
														Email: svetlanakr2002@mail.ru
				                					                																			                												                	Ресей, 							ul. Miklukho-Maklaya 16/10, Moscow, 117997; ul. Ostrovitianova 1, Moscow, 117997						
M. Baranov
Shemyakin–Ovchinnikov Institute of Bioorganic Chemistry RAS; Pirogov Russian National Research Medical University
														Email: svetlanakr2002@mail.ru
				                					                																			                												                	Ресей, 							ul. Miklukho-Maklaya 16/10, Moscow, 117997; ul. Ostrovitianova 1, Moscow, 117997						
Әдебиет тізімі
- Plamont M.A., Billon-Denis E., Maurin S., Gauron C., Pimenta F.M., Specht C.G., Shi J., Quérard J., Pan B., Rossignol J., Moncoq K., Morellet N., Volovitch M., Lescop E., Chen Y., Triller A., Vriz S., Le Saux T., Jullien L., Gautier A. // Proc. Natl. Acad. Sci. USA. 2016. V. 113. P. 497–502. https://doi.org/10.1073/pnas.1513094113
- Bozhanova N.G., Baranov M.S., Klementieva N.V., Sarkisyan K.S., Gavrikov A.S., Yampolsky I.V., Zagaynova E.V., Lukyanov S.A., Lukyanov K.A., Mishin A.S. // Chem. Sci. 2017. V. 8. P. 7138–7142. https://doi.org/10.1039/C7SC01628J
- Collot M., Kreder R., Tatarets A.L., Patsenker L.D., Melya Y., Klymchenko A.S. // Chem. Commun. 2015. V. 51. P. 17136–17139. https://doi.org/10.1039/C5CC06094J
- Ermakova Y.G., Bogdanova Y.A., Baleeva N.S., Zaitseva S.O., Guglya E.B., Smirnov A.Y., Zagudaylova M.B., Baranov M.S. // Dyes Pigm. 2019. V. 170. P. 107550. https://doi.org/10.1016/j.dyepig.2019.107550
- Ermakova Y.G., Sen T., Bogdanova Y.A., Smirnov A.Y., Baleeva N.S., Krylov A.I., Baranov M.S. // J. Phys. Chem. Lett. 2018. V. 9. P. 1958–1963. https://doi.org/10.1021/acs.jpclett.8b00512
- Baranov M.S., Lukyanov K.A., Borissova A.O., Shamir J., Kosenkov D., Slipchenko L.V., Tolbert L.M., Yampolsky I.V., Solntsev K.M. // J. Am. Chem. Soc. 2012. V. 134. P. 6025–6032. https://doi.org/10.1021/ja3010144
- Perfilov M.M., Zaitseva E.R., Smirnov A.Y., Mikhaylov A.A., Baleeva N.S., Myasnyanko I.N., Mishin A.S., Baranov M.S. // Dyes Pigm. 2022. V. 198. P. 110033. https://doi.org/10.1016/j.dyepig.2021.110033
- Farese R.V., Walther T.C. // Cell. 2009. V. 139. P. 855–860. https://doi.org/10.1016/j.cell.2009.11.005
- Onal G., Kutlu O., Gozuacik D., Dokmeci Emre S. // Lipids Health Dis. 2017. V. 16. P. 128. https://doi.org/10.1186/s12944-017-0521-7
- Olzmann J.A., Carvalho P. // Nat. Rev. Mol. Cell Biol. 2019. V. 20. P. 137–155. https://doi.org/10.1038/s41580-018-0085-z
- Valm A.M., Cohen S., Legant W.R., Melunis J., Hershberg U., Wait E., Cohen A.R., Davidson M.W., Betzig E., Lippincott-Schwartz J. // Nature. 2017. V. 546. P. 162–167. https://doi.org/10.1038/nature22369
- Velázquez A.P., Tatsuta T., Ghillebert R., Drescher I., Graef M. // J. Cell Biol. 2016. V. 212. P. 621–631. https://doi.org/10.1083/jcb.201508102
- Fei W., Wang H., Fu X., Bielby C., Yang H. // Biochem. J. 2009. V. 424. P. 61–67. https://doi.org/10.1042/BJ20090785
- Nguyen T.B., Louie S.M., Daniele J.R., Tran Q., Dillin A., Zoncu R., Nomura D.K., Olzmann J.A. // Dev. Cell. 2017. V. 42. P. 9–21. https://doi.org/10.1016/j.devcel.2017.06.003
- Kong J., Ji Y., Jeon Y.G., Han J.S., Han K.H., Lee J.H., Lee G., Jang H., Choe S.S., Baes M., Kim J.B. // Nat. Commun. 2020. V. 11. P. 578. https://doi.org/10.1038/s41467-019-14176-0
- Brookheart R.T., Michel C.I., Schaffer J.E. // Cell Metab. 2009. V. 10. P. 9–12. https://doi.org/10.1016/j.cmet.2009.03.011
- Kuramoto K., Okamura T., Yamaguchi T., Nakamura T.Y., Wakabayashi S., Morinaga H., Nomura M., Yanase T., Otsu K., Usuda N., Matsumura S., Inoue K., Fushiki T., Kojima Y., Hashimoto T., Sakai F., Hirose F., Osumi T. // J. Biol. Chem. 2012. V. 287. P. 23852–23863. https://doi.org/10.1074/jbc.M111.328708
- Greenberg A.S., Coleman R.A., Kraemer F.B., McManaman J.L., Obin M.S., Puri V., Yan Q.W., Miyoshi H., Mashek D.G. // J. Clin. Investig. 2011. V. 121. P. 2102–2110. https://doi.org/10.1172/JCI46069
- Bozza P.T., Viola J.P.B. // Prostaglandins Leukot. Essent. Fatty Acids. 2010. V. 82. P. 243–250. https://doi.org/10.1016/j.plefa.2010.02.005
- Chen Z.P., Wang S., Zhao X., Fang W., Wang Z., Ye H., Wang M.J., Ke L., Huang T., Lv P., Jiang X., Zhang Q., Li L., Xie S.T., Zhu J.N., Hang C., Chen D., Liu X., Yan C. // Nat. Neurosci. 2023. V. 26. P. 542–554. https://doi.org/10.1038/s41593-023-01288-6
- Tirinato L., Pagliari F., Limongi T., Marini M., Falqui A., Seco J., Candeloro P., Liberale C., Di Fabrizio E. // Stem Cells Int. 2017. V. 2017. P. 1–17. https://doi.org/10.1155/2017/1656053
- Scher N., Rechav K., Paul-Gilloteaux P., Avinoam O. // iScience. 2021. V. 24. P. 102714. https://doi.org/10.1016/j.isci.2021.102714
- Sánchez-Recillas A., Navarrete-Vázquez G., Hidalgo- Figueroa S., Bonilla-Hernández M., Ortiz-Andrade R., Ibarra-Barajas M., Yáñez-Pérez V., Sánchez-Salgado J.C. // J. Pharm. Pharmacol. 2020. V. 72. P. 1186–1198. https://doi.org/10.1111/jphp.13295
- Sokolov A.I., Gorshkova A.A., Baleeva N.S., Baranov M.S. // Russ. J. Bioorg. Chem. 2022. V. 48. P. 1367–1371. https://doi.org/10.1134/S1068162022060243
- Durai Ananda Kumar T., Swathi N., Navatha J., Subrahmanyam C.V.S., Satyanarayana K. // J. Sulphur Chem. 2014. V. 36. P. 105–115. https://doi.org/10.1080/17415993.2014.970555
- Madasamy K., Kumaraguru S., Sankar V., Mannathan S., Kathiresan M. // New J. Chem. 2019. V. 43. P. 3793–3800. https://doi.org/10.1039/C8NJ05953E
- Kharas G.B., Crawford A.L., Payne K.J., Sanidad M.N.T., Sims M.W., Leung D., Watson K. // J. Macromol. Sci. A. 2005. V. 42. P. 683–690. https://doi.org/10.1081/MA-200058623
- Swenton J.S., Freskos J.N., Morrow G.W., Sercel A.D. // Tetrahedron. 1984. V. 40. P. 4625–4632. https://doi.org/10.1016/S0040-4020(01)91523-6
Қосымша файлдар
 
				
			 
						 
					 
						 
						 
						 
									



