Synthesis and cytotoxic activity evaluation of maleopimaric and dihydroquinopimaric esters and amides
- Authors: Tretyakova E.V.1, Sharafutdinova S.R.1,2
-
Affiliations:
- Ufa Institute of Chemistry, Ufa Federal Research Center, Russian Academy of Sciences
- Ufa University of Science and Technology
- Issue: Vol 50, No 6 (2024)
- Pages: 780-788
- Section: Articles
- URL: https://journal-vniispk.ru/0132-3423/article/view/275977
- DOI: https://doi.org/10.31857/S0132342324060051
- EDN: https://elibrary.ru/NFTZHA
- ID: 275977
Cite item
Full Text
Abstract
The new 1-, 1,4- and 1,4,20-diethoxyphosphoryl-containing esters were synthesized as a result of interaction of dihydroquinopimaric acid methyl ester hydroxyl derivatives with diethylchlorophosphite, A study of the cytotoxic activity in vitro on 60 cell lines of nine different human tumors of methyl ester of dihydroquinopimaric acid with diethoxyphosphoryl, furan and indole fragments, as well as diterpene amides with linear, heterocyclic and aromatic amines residues showed that diethoxyphosphoryl and benzylamine substituents are of key importance for the manifestation of the cytotoxic effect. Diethoxyphosphoryl derivatives (XIX) and (XVII), and benzylamide (IX) showed cytotoxic activity against one, seven and four cell lines of breast cancer, leukemia, non-small cell lung cancer, melanoma and prostate cancer, respectively. The greatest activity was demonstrated by maleopimaric acid benzylamide (XIII), which effectively inhibited the growth of 19 cell lines of eight cancer types and had a significant cytotoxic effect against all studied leukemia cell lines.
Full Text
ВВЕДЕНИЕ
Природные дитерпеновые кислоты ряда абиетана (абиетиновая, дегидроабиетиновая и левопимаровая кислоты) и их синтетические производные представляют собой важный класс биологически активных соединений с широким спектром биологического и фармакологического действия и в последнее время привлекают значительное внимание благодаря своему противоопухолевому потенциалу [1–3]. Отмечается способность дитерпеновых кислот ингибировать пролиферацию клеток опухолей, вызывать их гибель при воздействии на сигнальные пути апоптоза и ферроптоза, ядерные факторы NF-κB, PI3K/AKT, митохондрии и другие потенциальные молекулярные мишени [4–6]. Кроме того, при использовании смоляных кислот в комбинации с известными противораковыми препаратами происходит значительное увеличение противоопухолевого потенциала и снижение токсичности лекарственного агента [7–9]. Исследование in vivo антиметастатической активности абиетиновой кислоты в сочетании с таксолом на клетках меланомы показало способность дитерпеновой кислоты эффективно ингибировать метастазирование в легких, что может привести к ее использованию в качестве антиметастатического средства или адъюванта при противоопухолевой терапии [10]. 7,8-Эпокси-13,17-триоксолан-абиетиновая кислота проявляет низкую токсичность и обладает комбинированными свойствами: при высокой противовоспалительной и противоязвенной активности оказывает действие на злокачественные клетки MeWo [11], что является немаловажным при возникновении инфекционных осложнений у онкологических больных.
В продолжение исследований по разработке новых фармакологически перспективных средств путем модификации смоляных кислот с целью изучения и анализа влияния заместителей в различных положениях дитерпенового скелета на биологическую активность в настоящей работе представлены результаты синтеза 1-, 1,4- и 1,4,20-эфиров метилдигидрохинопимарата с диэтоксифосфорильным, фурановым и индольным фрагментами, а также С20-амидов дигидрохинопимаровой и малеопимаровой кислот, содержащих остатки линейных, гетероциклических и ароматических аминов. Проведена первичная оценка цитотоксической активности in vitro 16 синтезированных соединений в отношении 60 клеточных линий девяти различных видов опухолей человека.
РЕЗУЛЬТАТЫ И ОБСУЖДЕНИЕ
Известно, что функционализация С20-карбоксильной группы смоляных кислот и их диеновых аддуктов путем введения различных биоактивных фрагментов может значительно усилить цитотоксическую активность исходных соединений. Так, модификация С20-положения малеопимаровой и дигидрохинопимаровой кислот посредством многокомпонентных реакций Манниха и Уги позволила получить производные, эффективно ингибирующие клеточные линии меланомы, лейкемии, эпителиального рака кишечника, почек, предстательной и молочной желез, а также немелкоклеточного рака легких [12, 13]. Химические модификации метилового эфира дигидрохинопимаровой кислоты путем введения оксиминовых фрагментов в положения С1- и С4-цикла Е способствовали появлению широкого спектра цитотоксической активности in vitro, а также противоопухолевой активности in vivo в отношении трансплантированной карциномы молочной железы мыши Ca755 и аденокарциномы толстой кишки животных AKATOL [2]. Выраженный антипролиферативный эффект в отношении культур опухолевых клеток Jurkat, K562, U937 и HeLa отмечен у аналогов метилдигидрохинопимарата с нитрильными заместителями в С1-, С4- и С20-положениях молекулы [14], вызывающих гибель клеток путем апоптоза в фазах S и G2 клеточного цикла, в то время как 1- и 1,3-пропаргиловые эфиры метилдигидрохинопимарата проявляют цитотоксическую активность в отношении клеточных линий лейкемии, меланомы, немелкоклеточного рака легких, рака яичников и почек [15].
С целью изучения влияния заместителей в указанных положениях дигидрохинопимаровой кислоты и анализа влияния структуры дитерпенового соединения на цитотоксическую активность нами были синтезированы 1-, 1,4- и 1,4,20-эфиры метилдигидрохинопимарата с фрагментами фурановой и индолуксусной кислот (I–V) и С20-амиды дигидрохинопимаровой и малеопимаровой кислот с фрагментами линейных, гетероциклических и ароматических аминов (VI–XIII). Синтез указанных соединений осуществляли согласно описанным в литературе методикам [16, 17]. Структуры синтезированных производных (I–XIII) представлены на рис. 1.
Рис. 1. Эфиры метилдигидрохинопимарата (I–V) [16] и амиды дигидрохинопимаровой (VI–IX) и малеопимаровой (X–XIII) кислот [17]. Реагенты и условия: (EtO)2POCl, DMAP, пиридин, 0–23°C, 3 ч.
Из литературных данных следует, что присутствие фосфониевых и фосфонатных группировок в молекулах природных соединений обеспечивает увеличенную митохондриальную проницаемость вещества [18–20]. В ряду митохондриально-направленных противоопухолевых агентов наиболее многообещающие результаты были получены при использовании фосфониевых солей пентациклических лупановых тритерпеноидов [21–23]. Недавно появилось сообщение о синтезе С2- и С3-четвертичных фосфониевых солей хинопимаровой кислоты, содержащих енольный фрагмент у атома фосфора, однако данные об изучении их биологического действия отсутствуют [24].
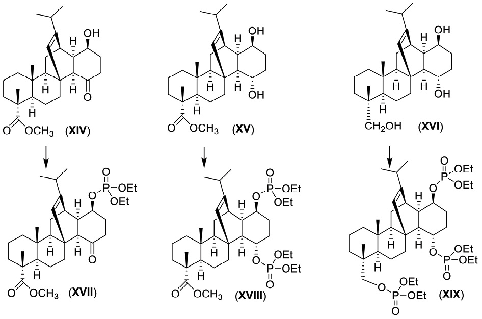
В качестве субстратов для фосфорилирования нами были выбраны доступные дитерпеновые спирты – метиловые эфиры 1β-гидрокси-, 1β,4α-дигидрокси- и 1β,4α,20α-тригидроксидигидрохинопимаровой кислоты (XIV–XVI), легко и с высокими выходами образующиеся при восстановлении метилдигидрохинопимарата боргидридом натрия или алюмогидридом лития [25]. Реакция диэтилхлорфосфита со спиртами (XIV–XVI) протекает в течение 3 ч в присутствии диметиламинопиридина в пиридине с образованием соответствующих диэтоксифосфорильных производных (XVII–XIX) с выходами 80–85% (схема 1).
Схема 1. Синтез диэтоксифосфорильных производных (XVII–XIX).
Структуры синтезированных соединений подтверждены с использованием масс-спектрометрии, одно- и двумерной (COSY, NOESY, 1H-13C HSQC, 1H-13C HMBC) спектроскопии ЯМР. Во всех случаях молекулярные ионные пики соответствовали молекулярным массам синтезированных соединений. В спектрах 1Н-ЯМР соединений (XVII–XIX) наблюдаются сигналы метиленовых протонов этоксигруппы при δ 3.95–4.10 м.д. В спектрах 13С-ЯМР новых соединений присутствуют сигналы в области δ 63.4–83.3 м.д., принадлежащие атомам углеродов С1-, С1,С4- и С1,С4,С20-моно-, ди- и тризамещенных диэтоксифосфорилпроизводных. Из спектров 1H-13C HSQC соединений (XVII–XIX) следует, что протоны Н1 и Н4 соединений (XVIII) и (XIX) проявляются в виде уширенных сигналов при δ 3.81–3.82 и 4.00–4.15 м.д., соответствующие им атомы углерода имеют химический сдвиг при δ 71.4– 73.5 и 63.4–72.8 м.д. Для сигнала атома С20 в спектре соединения (XIX) характерен химический сдвиг при δ 83.3 м.д., протоны Н20 обнаруживаются в виде уширенного сигнала при δ 4.05 м.д.
Цитотоксическую активность синтезированных соединений (I–XIII) и (XVII–XIX) изучали методом высокоэффективного биологического скрининга согласно международной научной программе Национального института здоровья США – DTP (Developmental Therapeutic Program) Национального института рака (Бетезда, Мэриленд, США) [26–28] in vitro на 60 линиях клеток девяти различных опухолей человека (в том числе лейкемии, немелкоклеточного рака легких, эпителиального рака кишечника, центральной нервной системы, меланомы, рака яичников, почек, молочной и предстательной железы). При первичном тестировании активности соединения вносили в среду культивирования клеток в конечной концентрации 10 мкМ на 48 ч. Количественный критерий активности соединений – процент роста клеток линий рака (GP, %) в сравнении с контролем (контроль – 100%, значения от 0 до 100 означают задержку роста, значения менее 0 – летальность) [26–28]. В соответствии с критерием, принятым в Национальном институте рака, вещества считаются активными в случае, если они ингибируют рост клеток до 32% от контроля или вызывают их гибель. Результаты исследования приведены в табл. 1.
Таблица 1. Цитотоксичность соединений (I–XIII) и (XVII–XIX) на 60 линиях опухолевых клеток
линия клеток | Рост клеток, % | ||||||||||||||||||||||||||||
(I) | (II) | (III) | (IV) | (V) | (VI) | (VII) | (VIII) | (IX) | (X) | (XI) | (XII) | (XIII) | (XVII) | (XVIII) | (XIX) | ||||||||||||||
Линия клеток | Рост клеток, % | ||||||||||||||||||||||||||||
(I) | (II) | (III) | (IV) | (V) | (VI) | (VII) | (VIII) | (IX) | (X) | (XI) | (XII) | (XIII) | (XVII) | (XVIII) | (XIX) | ||||||||||||||
Меланома | |||||||||||||||||||||||||||||
LOX IMVI | 98.73 | 110.53 | 109.23 | 95.00 | 77.88 | 93.96 | 83.49 | 88.55 | 27.02 | 97.03 | 97.51 | 83.20 | –8.46 | 62.39 | 100.44 | 74.82 | |||||||||||||
MALME-3M | 92.03 | 107.51 | 106.90 | 93.41 | 92.99 | 114.34 | 111.12 | 114.46 | 95.48 | 94.44 | 100.95 | 103.38 | 87.03 | 86.22 | 103.56 | – | |||||||||||||
Лейкемия | |||||||||||||||||||||||||||||
CCRF-CEM | 90.51 | 105.41 | 108.57 | 99.30 | 72.83 | 107.02 | 75.39 | 91.82 | 9.73 | 97.63 | 71.41 | 98.21 | 16.71 | 55.10 | 106.02 | 51.78 | |||||||||||||
HL-60(TB) | 80.01 | 91.91 | 93.92 | 100.67 | 52.31 | 101.70 | 79.78 | 85.78 | 53.53 | 110.00 | 92.27 | 92.01 | 3.62 | 36.37 | 100.78 | 45.14 | |||||||||||||
K-562 | 69.81 | 103.99 | 108.61 | 88.35 | 58.28 | 95.66 | 72.60 | 92.05 | 55.70 | 87.86 | 87.31 | 94.49 | 21.49 | 30.10 | 88.26 | 57.45 | |||||||||||||
MOLT-4 | 82.11 | 103.32 | 101.80 | 78.77 | 54.80 | 89.97 | 49.52 | 86.62 | 16.18 | 98.06 | 98.62 | 90.81 | 15.53 | 29.96 | 104.15 | 40.62 | |||||||||||||
RPMI-8226 | 83.18 | 99.45 | 115.00 | 84.32 | 42.70 | 90.56 | 66.64 | 88.12 | 40.39 | 87.32 | 64.79 | 96.56 | 24.73 | 21.93 | 89.32 | 43.91 | |||||||||||||
SR | 61.87 | 93.39 | 93.33 | 94.65 | – | 89.91 | 72.16 | 79.79 | 44.41 | 87.79 | – | 80.74 | 6.39 | 37.47 | 94.56 | 43.26 | |||||||||||||
Немелкоклеточный рак легкого | |||||||||||||||||||||||||||||
A549/ATCC | 83.54 | 102.34 | 109.13 | 86.92 | 69.13 | 91.04 | 87.08 | 99.10 | 81.61 | 87.36 | 92.34 | 95.56 | 33.74 | 49.67 | 94.54 | 73.00 | |||||||||||||
EKVX | 70.48 | 99.06 | 111.00 | 87.30 | 77.46 | 91.59 | 81.29 | 103.01 | 49.83 | 95.67 | 95.45 | 93.56 | 33.85 | 41.45 | 101.61 | 57.50 | |||||||||||||
HOP-62 | 86.92 | 96.90 | 106.83 | 98.01 | 92.55 | 98.25 | 103.11 | 110.80 | 94.38 | 116.37 | 92.31 | 98.63 | 57.17 | 76.78 | 105.31 | 92.79 | |||||||||||||
HOP-92 | 70.64 | 102.11 | 109.85 | – | 88.92 | 86.15 | 82.61 | 106.49 | 68.88 | 69.29 | 86.59 | 89.81 | 64.71 | 46.76 | 96.23 | 55.32 | |||||||||||||
NCI-H226 | 82.32 | 103.04 | 99.17 | 84.11 | 73.12 | 98.71 | 78.56 | 101.89 | 40.65 | 92.23 | 88.71 | 85.55 | 76.08 | 48.88 | 85.31 | 62.36 | |||||||||||||
NCI-H23 | 89.46 | 103.82 | 106.57 | 81.81 | 77.12 | 94.54 | 87.61 | 97.06 | 59.03 | 91.78 | 91.05 | 93.04 | 23.01 | 50.29 | 90.83 | 62.54 | |||||||||||||
NCI-H322M | 100.60 | 106.46 | 107.01 | 97.17 | 98.57 | 104.72 | 95.87 | 117.14 | 93.43 | 103.18 | 99.65 | 102.31 | 101.75 | 102.19 | 104.42 | – | |||||||||||||
NCI-H460 | 93.92 | 117.26 | 114.99 | 105.99 | 83.12 | 99.77 | 103.14 | 113.37 | 84.53 | 105.49 | 100.25 | 98.73 | 17.59 | 66.46 | 100.57 | 77.04 | |||||||||||||
NCI-H522 | 82.05 | 99.59 | 97.54 | 93.90 | 81.25 | 94.78 | 70.27 | 78.60 | –12.51 | 94.75 | 85.58 | 78.59 | 17.01 | 31.62 | 92.88 | 76.84 | |||||||||||||
Эпителиальный рак кишечникаr | |||||||||||||||||||||||||||||
COLO 205 | 96.26 | 114.71 | 113.70 | 101.15 | 78.03 | 107.62 | 118.37 | 122.16 | 103.29 | 108.35 | 100.33 | 107.98 | 79.62 | 47.56 | 106.73 | 91.73 | |||||||||||||
HCC-2998 | 99.19 | 107.50 | 109.47 | 105.15 | 82.98 | 105.07 | 91.95 | 105.17 | 90.00 | 103.03 | 92.18 | 109.44 | 53.83 | 58.87 | 95.79 | 80.82 | |||||||||||||
HCT-116 | 86.46 | 109.85 | 111.43 | 86.20 | 58.51 | 100.04 | 81.90 | 91.96 | 60.43 | 86.08 | 91.38 | 95.27 | 23.13 | 32.85 | 98.73 | 38.61 | |||||||||||||
HCT-15 | 88.10 | 107.38 | 105.79 | 89.50 | 82.09 | 97.15 | 82.96 | 100.08 | 56.04 | 91.28 | 98.04 | 96.00 | 9.01 | 49.79 | 94.83 | 66.00 | |||||||||||||
HT29 | 80.84 | 115.79 | 115.51 | 88.75 | 81.49 | 104.28 | 85.11 | 100.54 | 81.70 | 102.46 | 102.96 | 109.54 | 18.83 | 42.48 | 99.27 | 64.40 | |||||||||||||
KM12 | 93.33 | 105.49 | 101.97 | 90.12 | 79.03 | 100.32 | 96.73 | 98.89 | 84.59 | 96.00 | 93.23 | 98.51 | 24.86 | 50.89 | 97.40 | 76.46 | |||||||||||||
SW-620 | 91.06 | 101.94 | 108.62 | 100.75 | 85.88 | 105.67 | 91.82 | 112.97 | 85.36 | 106.26 | 99.24 | 98.82 | 54.20 | 56.09 | 99.13 | 88.77 | |||||||||||||
Рак центральной нервной системы | |||||||||||||||||||||||||||||
SF-268 | 85.12 | 107.79 | 104.70 | 89.59 | 78.22 | 95.15 | 95.47 | 98.62 | 80.42 | 90.43 | 97.81 | 105.92 | 46.59 | 76.42 | 101.37 | 72.80 | |||||||||||||
SF-295 | 95.87 | 98.30 | 103.34 | 91.56 | 75.81 | 91.60 | 86.79 | 99.98 | 83.07 | 95.36 | 91.91 | 96.29 | 17.78 | 69.09 | 94.10 | 73.86 | |||||||||||||
SF-539 | 79.88 | 103.33 | 104.58 | 89.51 | 89.19 | 94.60 | 93.50 | 101.94 | 72.16 | 93.64 | 96.31 | 95.22 | 63.23 | 71.69 | 100.42 | 92.47 | |||||||||||||
SNB-19 | 87.49 | 98.37 | 101.76 | 97.43 | 102.13 | 95.62 | 97.85 | 103.15 | 83.21 | 90.28 | 96.36 | 96.51 | 37.87 | 68.08 | 99.47 | 77.30 | |||||||||||||
SNB-75 | 98.36 | 97.83 | 93.32 | 85.70 | 90.50 | 93.32 | 100.08 | 90.42 | 80.77 | 85.00 | 77.53 | 94.24 | 69.61 | 100.31 | 101.40 | – | |||||||||||||
U-251 | 75.61 | 100.16 | 102.45 | 90.44 | 88.14 | 93.45 | 96.88 | 98.66 | 67.02 | 91.10 | 91.40 | 95.97 | 25.09 | 42.12 | 94.08 | 80.90 | |||||||||||||
M14 | – | – | – | 92.40 | 81.28 | 95.50 | 99.07 | 102.59 | 86.90 | 92.41 | 101.52 | 98.50 | 54.32 | 55.35 | 105.41 | 82.47 | |||||||||||||
MDA-MB-435 | 91.56 | 104.06 | 101.49 | 105.86 | 90.22 | 104.85 | 92.96 | 99.44 | 86.00 | 101.16 | 94.76 | 102.79 | 49.57 | 51.99 | 100.67 | 79.58 | |||||||||||||
SK-MEL-2 | 95.71 | 106.64 | 102.35 | 90.23 | 93.29 | 97.96 | 94.50 | 100.53 | 99.23 | 93.69 | 101.10 | 90.17 | 46.99 | 71.33 | 89.77 | 74.56 | |||||||||||||
SK-MEL-28 | 92.45 | 103.90 | 104.50 | 105.97 | 120.81 | 112.95 | 95.51 | 107.59 | 68.58 | 97.93 | 124.09 | 101.89 | 68.13 | 72.73 | 106.10 | 92.44 | |||||||||||||
SK-MEL-5 | 89.62 | 101.67 | 101.45 | 96.90 | 88.33 | 96.43 | 80.31 | 101.28 | 69.26 | 97.47 | 83.35 | 93.55 | 72.22 | 18.09 | 96.18 | 43.11 | |||||||||||||
UACC-257 | 84.55 | 110.09 | 107.85 | 98.38 | 84.37 | 103.20 | 90.28 | 97.93 | 77.63 | 93.22 | 92.06 | 103.63 | 82.13 | 41.76 | 98.38 | 86.34 | |||||||||||||
UACC-62 | 62.00 | 92.55 | 94.63 | 66.45 | 80.93 | 88.05 | 67.09 | 81.57 | 59.64 | 66.77 | 86.99 | 79.42 | 50.21 | 46.12 | 69.09 | 61.54 | |||||||||||||
Рак яичника | |||||||||||||||||||||||||||||
IGROV1 | 71.65 | 99.39 | 113.37 | 74.17 | 96.34 | 105.34 | 101.27 | 107.11 | 90.57 | 96.62 | 98.95 | 95.48 | 31.13 | 72.09 | 105.94 | – | |||||||||||||
OVCAR-3 | 92.51 | 123.22 | 127.35 | 88.13 | 84.36 | 99.71 | 102.53 | 108.62 | 86.90 | 98.96 | 102.31 | 106.89 | 41.97 | 67.65 | 106.29 | 84.79 | |||||||||||||
OVCAR-4 | 77.61 | 102.95 | 102.41 | 85.60 | 77.50 | 104.17 | 84.04 | 87.92 | 47.34 | 98.88 | 86.99 | 95.76 | 49.79 | 49.51 | 100.30 | 53.80 | |||||||||||||
OVCAR-5 | 96.14 | 106.76 | 111.53 | 102.46 | 128.97 | 115.71 | 103.34 | 114.46 | 83.78 | 104.18 | 134.41 | 99.51 | 93.56 | 92.74 | 99.35 | 117.52 | |||||||||||||
OVCAR-8 | 88.37 | 100.07 | 100.74 | 89.91 | 89.18 | 94.05 | 97.25 | 106.40 | 75.08 | 91.78 | 91.74 | 98.96 | 42.71 | 55.48 | 95.70 | 85.49 | |||||||||||||
NC/ADR-RES | 83.42 | 107.01 | 109.84 | 85.89 | 85.65 | 103.67 | 80.32 | 97.19 | 74.03 | 90.48 | 90.00 | 98.17 | 37.37 | 44.28 | 96.61 | 61.81 | |||||||||||||
SK-OV-3 | 96.10 | 114.79 | 107.82 | 100.69 | 90.94 | 99.52 | 99.43 | 96.83 | 104.79 | 112.96 | 96.91 | 89.19 | 74.49 | 54.04 | 104.72 | 79.76 | |||||||||||||
Рак почки | |||||||||||||||||||||||||||||
786-0 | 85.74 | 94.30 | 109.56 | 93.68 | 78.90 | 102.07 | 91.66 | 100.93 | 87.17 | 93.12 | 93.39 | 103.52 | 70.55 | 63.27 | 99.25 | 75.07 | |||||||||||||
A498 | 102.42 | 114.96 | 112.50 | 112.80 | 105.94 | 104.77 | 130.94 | 124.70 | 97.76 | 100.98 | 91.78 | 121.19 | 85.17 | 91.10 | 118.27 | 108.87 | |||||||||||||
ACHN | 81.99 | 111.68 | 109.82 | 88.25 | 71.27 | 97.21 | 93.32 | 98.94 | 70.69 | 92.59 | 94.97 | 82.16 | 25.74 | 65.20 | 100.32 | 72.20 | |||||||||||||
CAKI-1 | 67.09 | 95.80 | 90.16 | 65.83 | 56.44 | 68.64 | 93.74 | 100.13 | 88.70 | 59.79 | 84.48 | 86.61 | 77.13 | 63.24 | 72.72 | 48.44 | |||||||||||||
RXF 393 | – | – | – | 80.54 | 95.63 | 98.65 | 94.13 | – | – | 86.63 | 114.69 | – | – | – | 87.63 | 86.23 | |||||||||||||
SN12C | 87.45 | 100.91 | 103.87 | 88.12 | 99.85 | 112.49 | 113.61 | 107.22 | 83.41 | 95.55 | 107.38 | 97.02 | 52.05 | 65.44 | 98.49 | 77.39 | |||||||||||||
TK-10 | 102.86 | 105.11 | 107.84 | 121.49 | 104.70 | 101.29 | 71.05 | 112.89 | 96.89 | 111.78 | 90.00 | 116.33 | 44.87 | 83.23 | 110.53 | 97.16 | |||||||||||||
UO-31 | 74.05 | 101.03 | 96.35 | 64.47 | 54.93 | 75.70 | 91.66 | 89.29 | 48.15 | 79.42 | 74.80 | 59.04 | 43.37 | 53.46 | 90.10 | – | |||||||||||||
Линия клеток | Рост клеток, % |
|
|
|
|
|
|
|
| ||||||||||||||||||||
(I) | (II) | (III) | (IV) | (V) | (VI) | (VII) | (VIII) | (IX) | (X) | (XI) | (XII) | (XIII) | (XVII) | (XVIII) | (XIX) | ||||||||||||||
Рак предстательной железы | |||||||||||||||||||||||||||||
PC-3 | 51.29 | 87.94 | 101.41 | 60.56 | 41.05 | 76.21 | 50.56 | 68.65 | 36.88 | 69.12 | 68.54 | 85.34 | 33.34 | 23.49 | 75.25 | 36.52 | |||||||||||||
DU-145 | 99.71 | 112.91 | 121.25 | 98.67 | 95.28 | 104.34 | 103.11 | 112.64 | 98.12 | 102.91 | 113.67 | 107.50 | 55.26 | 83.15 | 106.06 | 92.38 | |||||||||||||
Рак молочной железы | |||||||||||||||||||||||||||||
MCF7 | 80.36 | 98.29 | 95.95 | 83.81 | 68.22 | 86.78 | 74.86 | 102.06 | 42.66 | 74.78 | 94.53 | 75.02 | 13.20 | 33.16 | 81.93 | 53.45 | |||||||||||||
MDA-MB-231/ATCC | 78.69 | 100.64 | 99.89 | 89.89 | 81.53 | 99.87 | 90.84 | 95.74 | 86.52 | 86.10 | 91.59 | 89.66 | 77.09 | 66.95 | 90.34 | 66.95 | |||||||||||||
HS 578T | 92.58 | 110.41 | 106.94 | 92.12 | 91.91 | 100.12 | 82.68 | 91.81 | 63.06 | 106.54 | 89.51 | 97.23 | 44.61 | 59.55 | 108.39 | 86.33 | |||||||||||||
BT-549 | 110.36 | 99.78 | 100.52 | 118.96 | 102.88 | 121.29 | 95.27 | 88.25 | 68.72 | 123.43 | 89.67 | 102.77 | 69.55 | 54.86 | 137.77 | 85.84 | |||||||||||||
T-47D | 76.39 | 98.91 | 100.38 | 77.90 | 47.86 | 90.13 | 76.20 | 98.06 | 51.82 | 79.65 | 79.16 | 88.34 | 55.96 | 42.10 | 81.48 | 33.51 | |||||||||||||
MDA-MB-468 | 86.84 | 101.65 | 98.19 | 86.71 | 77.43 | 101.28 | 77.46 | 104.59 | 70.10 | 107.46 | 84.38 | 91.05 | 41.47 | 7.96 | 103.71 | 26.41 | |||||||||||||
Примечание: приведена выживаемость клеток (%), культивированных в присутствии 10 мкМ исследуемого соединения, по сравнению с контрольными клетками (без добавления соединения в культуральную среду). Полужирным шрифтом выделены значения, указывающие на ≥50%-ное ингибирование роста линий опухолевых клеток. Отрицательные значения соответствуют гибели клеток. Прочерк – отсутствие данных.
Установлено, что дитерпеновые эфиры (I–V) с фурановым и индольным заместителями, а также амиды с диаминопропановым (VI), (X), пирролидиновым (VII), (XI) и морфолиновым (VIII), (XII) фрагментами не обладают цитотоксической активностью в отношении исследуемой панели опухолевых клеток. Тризамещенное диэтоксифосфорилпроизводное (XIX) проявило умеренную цитотоксическую активность в отношении одной клеточной линии рака молочной железы MDA-MB-468, в то время как монозамещенный эфир (XVII) был активен в отношении семи клеточных линий (K-562, MOLT-4, RMPI-8226 лейкемии, NCI-H522 немелкоклеточного рака легких, SK-MEL-5 меланомы, PC-3 рака предстательной железы и MDAMB-468 молочной железы). Бензиламид дигидрохинопимаровой кислоты (IX) ингибировал клеточные линии CCRF-CEM, MOLT-4 лейкемии и LOX-IMVI меланомы, а наиболее чувствительной к его воздействию оказались клетки линии NCIH522 немелкоклеточного рака легких. Наибольшую активность проявил бензиламид малеопимаровой кислоты (XIII), эффективно угнетающий рост 19 клеточных линий восьми видов рака. Наиболее чувствительной к нему была линия LOX-IMVI меланомы. Следует также отметить значительный цитотоксический эффект соединения (XIII) относительно всех исследуемых клеточных линий лейкемии (табл. 1).
ЭКСПЕРИМЕНТАЛЬНАЯ ЧАСТЬ
Температуры плавления определяли на микростолике RNMK-05 (Boetius Aps, Германия). Оптическое поглощение измеряли на поляриметре 241 MC (Perkin-Elmer, Германия) в трубке длиной 1 дм. ТСХ-анализ проводили на пластинках Сорбфил (ЗАО “Сорбполимер”, Россия), используя систему растворителей хлороформ–этилацетат, 1 : 1. Вещества обнаруживали 10%-ным раствором серной кислоты с последующим нагреванием при 100–120°С в течение 2–3 мин. Элементный анализ осуществляли на СHNS-анализаторе EuruEA-3000 (Eurovector Instruments, Италия), основной стандарт – ацетанилид. Колоночную хроматографию проводили на SiO2 (Silica 60, Macherey-Nagel, Германия). Масс-спектры соединений регистрировали на ВЭЖХ-масс-спектрометре LCMS-210 EV (Shimadzu, Япония). Спектры 1Н- и 13С-ЯМР регистрировали на импульсном спектрометре Avance III (Bruker, Швейцария) с рабочей частотой 500 МГц (1H) и 125 МГц (13C) с использованием 5-мм датчика с Z-градиентом PABBO при постоянной температуре образца 298 K. Химические сдвиги в спектрах 1Н- и 13С-ЯМР приведены в м.д. относительно сигнала внутреннего стандарта тетраметилсилана (ТМС). Эфиры метилдигидрохинопимарата (I–V) [16], (XIV–XVI) [25] и амиды дигидрохинопимаровой (VI–IX) и малеопимаровой (X–XIII) кислот [17, 26] были получены по ранее описанным методикам.
Общая методика синтеза соединений (XVII–XIX). К перемешиваемому раствору 1 ммоль соответствующего дитерпенового спирта (XIV–XVI) в 10 мл пиридина в присутствии каталитического количества диметиламинопиридина при 0°C по каплям добавляли диэтилхлорфосфат (0.28 мл (1.9 ммоль) для соединения (XVII), 0.56 мл (3.8 ммоль) для соединения (XVIII) и 0.84 мл (5.7 ммоль) для соединения (XIX)), медленно доводили температуру до комнатной и продолжали перемешивание в течение 6–8 ч. После завершения реакции (ТСХ-контроль) реакционную смесь выливали в холодную воду (50 мл). Образующийся осадок отфильтровывали, промывали водой до нейтрального значения pH, сушили и очищали методом колоночной хроматографией на SiO2, используя смесь петролейный эфир–этилацетат в объемном соотношении от 5 : 1 до 1 : 1 в качестве элюента.
Метил 1-((диэтоксифосфорил)окси)-13-изопропил-7,10a-диметил-4-оксо-2,3,4,4a,5,6,6a,7,8,9,10,10a,10b,11,12,12a-гексадекагидро-1H-4b,12-этенохризен-7-карбоксилат (XVII). Выход 87% (0.49 г), т. пл. 101°С, [α]D20 +81° (с 0.05, CHCl3). 1H-ЯМР (δ, м.д.; J, Гц): 0.61 (3Н, с, 18-CН3); 0.86–0.96 (1Н, м, 10-CН2), 1.02 (3Н, д, J 7.0, 17-CН3), 1.05 (3Н, д, J 7.0, 16-CН3), 1.21 (3Н, с, 19-СН3), 1.31–1.69 (10Н, м, 6,8,9,10,11-СH2, 10b-CH), 1.77–1.80 (5Н, м, 6b-CН, 2-CH2, 3-CH2), 1.98–2.48 (4Н, м, 1a-CH, 4a-CH, 15-CН, 5-CH2), 2.69–2.71 (1Н, м, 5-CH2), 2.81 (1Н, c, 12-CH), 3.65 (3H, c, 21-CH3), 3.75 (1Н, c, 1-CH), 3.99–4.02 (10Н, м, 1'-СН2, 1''-CH2, 2'-CH3, 2''-CH3), 5.61 (1Н, с, 14-CH). 13C-ЯМР (δ, м.д.): 15.7, 16.8, 17.0, 19.5, 21.4, 21.8, 27.2, 29.8, 30.1, 32.8, 34.5, 35.1, 36.4, 36.6, 37.5, 37.9, 38.1, 40.4, 45.8, 47.1, 47.8, 49.4, 51.9, 54.9, 55.1, 62.1, 68.2 (C-1), 124.5 (С-13), 147.6 (С-14), 179.2 (С-20), 213.5 (C-4). МС (APCI) m/z 565.32 [M + H]+ (вычислено для C31H50O7P, 564.70). Найдено (%): C, 66.00; H, 8.70; P, 5.50. C31H49O7P. Вычислено (%): C, 65.94; H, 8.75; P, 5.48.
Метил 1,4-бис((диэтоксифосфорил)окси)-13-изопропил-7,10a-диметил-2,3,4,4a,5,6,6a,7,8,9,10,10a,10b,11,12,12a-гексадекагидро-1H-4b,12-этенохризен-7-карбоксилат (XVIII). Выход 82% (0.57 г), т. пл. 92°С, [α]D20 +35° (с 0.05, CHCl3). 1H-ЯМР спектр (δ, м.д.; J, Гц): 0.71–0.76 (1Н, м, 10-CН2), 0.79 (3Н, с, 18-CН3), 0.95 (3Н, д, J 7.0, 17-CН3), 0.98 (3Н, д, J 7.0, 16-CН3), 1.12 (3Н, с, 19-СН3), 1.31–1.69 (10Н, м, 6,8,9,10,11-СH2, 10b-CH), 1.77–1.80 (5Н, м, 6b-CН, 2-CH2, 3-CH2), 1.98–2.20 (4Н, м, 1a-CH, 4a-CH, 15-CН, 5-CH2), 2.25–2.31 (1Н, м, 5-CH2), 2.99 (1Н, с, 12-CH), 3.51 (3H, с, 21-CH3), 3.82 (1Н, уш.с., 1-CH), 3.95–4.10 (20Н, м, 1'-СН2, 1''-CH2, 3'-СН2, 3''-CH2, 2'-CH3, 2''-CH3, 4'-CH3, 4''-CH3), 4.15 (1Н, уш.с., 4-CH), 5.20 (1H, c, 14-CH). 13C-ЯМР (δ, м.д.): 15.7, 16.3, 16.5, 16.8, 17.1, 18.5, 20.4, 21.2, 21.9, 22.7, 26.6, 29.6, 32.2, 33.7, 35.4, 35.9, 36.7, 37.8, 38.6, 42.1, 42.6, 45.0, 47.5, 48.3, 49.2, 49.7, 51.5, 52.3, 56.7, 60.9, 63.4 (C-4), 71.4 (C-1), 124.5 (С-13), 149.8 (С-14), 179.2 (С-20). МС (APCI) m/z 703.37 [M + H]+ (вычислено для C35H61O10P2, 703.80). Найдено (%): C, 60.00; H, 8.60; P, 8.80. C35H60O10P2. Вычислено (%): C, 59.82; H, 8.61; P, 8.81.
7-(((Диэтоксифосфорил)окси)метил)-13-изопропил-7,10a-диметил-2,3,4,4a,5,6,6a,7,8,9,10,10a,10b,11,12,12a-гексадекагидро-1H-4b,12-этенохризен-1,4-диил тетраэтилбис(фосфат) (XIX). Выход 79% (0.64 г), т. пл. 75°С, [α]D20 +11° (с 0.05, CHCl3). 1H-ЯМР (δ, м.д. (J, Гц): 0.72–0.76 (1Н, м, 10-CН2), 0.79 (3Н, с, 18-CН3), 0.95 (3Н, д, J 7.0, 16-CН3), 0.98 (3Н, д, J 7.0, 17-CН3), 1.02 (3Н, с, 19-СН3), 1.31–1.69 (10Н, м, 6,8,9,10,11-СH2, 10b-CH), 1.77–1.80 (5Н, м, 6b-CН, 2-CH2, 3-CH2), 1.98–2.20 (4Н, м, 1a-CH, 4a-CH, 15-CН, 5-CH2), 2.35–2.40 (1Н, м, 5-CH2), 3.50 (1Н, с, 12-CH), 3.81 (1Н, уш.с., 1-CH), 4.00 (2H, уш.с., 20-CH2), 3.95–4.10 (20Н, м, 1’-СН2, 1’’-CH2, 3’-СН2, 3’’-CH2, 2’-CH3, 2’’-CH3, 4’-CH3, 4’’-CH3), 4.12 (1Н, уш.с., 4-CH), 5.25 (3Н, с, 14-CH). 13C-ЯМР (δ, м.д.): 14.7, 15.7, 15.8, 16.5, 16.8, 17.2, 17.6, 18.5, 18.8, 19.0, 20.4, 21.2, 21.9, 22.8, 26.6, 29.6, 32.1, 33.7, 35.4, 35.8, 36.5, 37.8, 38.2, 38.4, 39.4, 39.9, 42.2, 42.6, 45.0, 47.5, 48.5, 49.9, 56.8, 72.8 (C-4), 73.5 (C-1), 83.3 (C-20), 124.5 (С-13), 149.8 (С-14). МС (APCI) m/z 811.40 [M + H]+ (вычислено для C38H70O12P3, 811.88). Найдено (%): C, 56.30; H, 8.60; P, 11.50. C38H69O12P3. Вычислено (%): C, 56.29; H, 8.58; P, 11.46.
Цитотоксическая активность соединений. Методика тестирования цитотоксической активности in vitro соединений (I–XIII) и (XVII–XIX) в NCI (США) описана в работах [27–30].
Для исследований использовали модель in vitro, позволяющую стандартизировать условия эксперимента для повторяющихся серий [30]. Исследуемые соединения растворяли в DMSO и доводили концентрацию до 10 мкМ. В каждую лунку 96-луночного планшета добавляли 10 мкл раствора соединения и 190 мкл клеточной суспензии. Опухолевые клетки инкубировали с исследуемым соединением в течение 48 ч при 37°С в атмосфере, содержащей 5% СО2 с относительной влажностью 100%. Рост клеток останавливали добавлением 50 мкл холодной 50%-ной трихлоруксусной кислоты и выдерживанием смеси в течение 60 мин при 4°С. Микропланшеты промывали 5 раз холодной водой и сушили на воздухе. Добавляли в каждую лунку по 100 мкл 0.4%-ного раствора сульфородамина В в 1%-ной уксусной кислоте и выдерживали смесь при комнатной температуре 10 мин. После окрашивания несвязанный краситель и оставшиеся мертвые клетки удаляли 5-кратным промыванием 1%-ной уксусной кислотой. Микропланшеты сушили на воздухе. Связанный краситель затем растворяли в 200 мкл 10 мкМ водного раствора трис(гидроксиметил)аминометана (Trizma base) (Merck, Германия) и считывали поглощение на автоматическом микропланшетном фотометре Epoch (BioTeck Instruments, Inc., США) при длине волны 515 нм. Для добавления реагентов и промывки микропланшетов использовали устройства ELx405 (BioTek Instruments Inc., США) и Titertek Zoom 538 (Titertek Instruments, США). Оптическую плотность красителя сульфородамина В измеряли на универсальном микропланшетном фотометре Teacan Sunrise Reader (Tecan Austria GmbH, Австрия) при длине волны 430 нм.
Процент роста опухолевых клеток (GP) при их ингибировании (TD < T0) рассчитывали по формуле:
GP = [(TD – T0)/T0] × 100%,
где TD – средняя оптическая плотность опухолевых клеток в конце теста, Т0 – средняя оптическая плотность опухолевых клеток в начальный момент времени, до добавления испытуемого соединения.
ЗАКЛЮЧЕНИЕ
Для анализа влияния структуры абиетанового дитерпеноида на цитотоксическую активность синтезированы 1-, 1,4- и 1,4,20-эфиры метилдигидрохинопимарата с фрагментами фурановой и индолуксусной кислот и С20-амиды дигидрохинопимаровой и малеопимаровой кислот с фрагментами линейных, гетероциклических и ароматических аминов. С помощью реакции фосфорилирования диэтилхлорфосфатом осуществлена модификация положений С1, С4 и С20 гидроксипроизводных метилового эфира дигидрохинопимаровой кислоты.
Проведена первичная оценка цитотоксической активности in vitro 16 синтезированных соединений в отношении панели из 60 клеточных линий опухолевых клеток. Установлено, что введение диэтоксифосфорильного заместителя в положение С1 кольца Е метилового эфира дигидрохинопимаровой кислоты и бензиламинного фрагмента в С20 малеопимаровой кислоты приводят к получению соединений с выраженной цитотоксической активностью. Диэтоксифосфорилсодержащий эфир (XVII) и бензиламид (XIII) эффективно угнетали рост 7 и 19 клеточных линий пяти и восьми видов рака соответственно. Наиболее чувствительными к воздействию этих соединений оказались клетки NCI-H522 (немелкоклеточный рак легких) и LOX-IMVI (меланома).
Полученные результаты свидетельствуют о том, что синтезированные производные могут быть рекомендованы для углубленного изучения и разработки на их основе перспективной группы препаратов цитотоксического действия.
БЛАГОДАРНОСТИ
Спектры 1H- и 13C-ЯМР получены с использованием оборудования Центра коллективного пользования “Химия” и “Агидель” Уфимского федерального исследовательского центра РАН.
Авторы выражают благодарность Национальному институту рака США (National Cancer Institute, NCI) за определение цитотоксической активности in vitro соединений (I–XIX).
ФОНДОВАЯ ПОДДЕРЖКА
Работа выполнена по теме государственного задания № 1021062311392-9-1.4.1.
СОБЛЮДЕНИЕ ЭТИЧЕСКИХ СТАНДАРТОВ
Настоящая статья не содержит описания исследований с участием людей или использованием животных в качестве объектов исследования.
КОНФЛИКТ ИНТЕРЕСОВ
Авторы заявляют об отсутствии конфликта интересов.
ВКЛАД АВТОРОВ
Авторы ЕВТ и СРШ – подготовка и характеристика соединений. Автор ЕВТ – подготовка и финальное редактирование текста статьи.
ДОСТУПНОСТЬ ДАННЫХ
Данные, подтверждающие выводы настоящего ис-следования, можно получить у корреспондирующего автора по обоснованному запросу.
About the authors
E. V. Tretyakova
Ufa Institute of Chemistry, Ufa Federal Research Center, Russian Academy of Sciences
Author for correspondence.
Email: tretyakovaelv@gmail.com
Russian Federation, prosp. Oktyabrya 71, Ufa, 450054
S. R. Sharafutdinova
Ufa Institute of Chemistry, Ufa Federal Research Center, Russian Academy of Sciences; Ufa University of Science and Technology
Email: tretyakovaelv@gmail.com
Russian Federation, prosp. Oktyabrya 71, Ufa, 450054; Ufa, ul. Zaki Validi 32, 450076
References
- Wiemann J., Al-Harrasi A., Csuk R. // Anticancer Agents Med. Chem. 2020. V. 20. P. 1756–1767. https://doi.org/10.2174/1871520620666200317110010
- Tretyakova E.V., Smirnova I.E., Kazakova O.B., Tolstikov G.A., Yavorskaya N.P., Golubeva I.S., Pugacheva R.B., Apryshko G.N., Poroikov V.V. // Bioorg. Med. Chem. 2014. V. 22. P. 6481–6489. https://doi.org/10.1016/j.bmc.2014.09.030
- Ahmad B., Tian C., Tang J.-X., Dumbuya J.S., Li W., Lu J. // Front. Pharmacol. 2024. V. 15. P. 1392203. https://doi.org/10.3389/fphar.2024.1392203
- Haffez H., Osman S., Ebrahim H.Y., Hassan Z.A. // Molecules. 2022. V. 27. P. 293. https://doi.org/10.3390/molecules27010293
- Liu X., Chen W., Liu Q., Dai J. // Onco Targets Ther. 2019. V. 12. P. 4825–4837. https://doi.org/10.2147/OTT.S199161
- Xu Y., Tong Y., Lei Z., Zhu J., Wan L. // Biomed. Pharmacother. 2023. V. 158. P. 114154. https://doi.org/10.1016/j.biopha.2022.114154
- Lin C.H., Chuang H.S. // Patent US7015248B2, published 01.04.2004.
- Tanaka R., Tokuda H., Ezaki Y. // Phytomedicine. 2008. V. 15. P. 985–992. https://doi.org/10.1016/j.phymed.2008.02.020
- Yoshida N., Takada T., Yamamura Y., Adachi I., Suzuki H., Kawakami J. // Drug Metab. Dispos. 2008. V. 36. P. 1206–1211. https://doi.org/10.1124/dmd.107.019513
- Hsieh Y.S., Yang S.F., Hsieh Y.H., Hung C. H., Chu S.C., Yang S.H., Chen P.N. // Am. J. Chin. Med. 2015. V. 43. P. 1697–1714. https://doi.org/10.1142/S0192415X15500962
- Kazakova O.B., Smirnova I.E., Do Tkhi Tkhu Kh, Tkhankh Tra Nguen, Apryshko G.N., Zhukova O.S., Medvedeva N.I., Nazyrov T.I., Tret’iakova E.V., Chudov I.V., Ismagilova A.F., Suponitskii K.Iu., Kazakov D.V., Safarov F.E., Tolstikov G.A. // Russ. J. Bioorg. Chem. 2013. V. 39. P. 202–210. https://doi.org/10.1134/s1068162013020088.
- Tret’yakova E.V., Zakirova G.F., Salimova E.V., Kukovinets O.S., Odinokov V.N., Parfenova L.V. // Med. Chem. Res. 2018. V. 27. P. 2199–2213. https://doi.org/10.1007/s00044-018-2227-4
- Smirnova A.A., Zakirova L.M., Smirnova I.E., Tretyakova E.V. // Molbank. 2023. V. 2023. P. M1707. https://doi.org/10.3390/M1707
- Tretyakova E.V., Salimova E.V., Parfenova L.V., Yunusbaeva M.M., Dzhemileva L.U., D’yakonov V.V., Dzhemilev U.M. // Anticancer Agents Med. Chem. 2019. V. 19. P. 1172–1183. https://doi.org/10.2174/1871520619666190404100846
- Tret’yakova E.V., Salimova E.V., Parfenova L.V. // Nat. Prod. Res. 2020. V. 36. P. 79–86. https://doi.org/10.1080/14786419.2020.1762187
- Tretyakova E., Heise N.V., Csuk R., Kazakova O. // Nat. Prod. Res. 2023. P. 1–9. https://doi.org/10.1080/14786419.2023.2266107
- Smirnova I.E., Tret’yakova E.V., Baev D.S., Kazakova O.B. // Nat. Prod. Res. 2023. V. 37. P. 313–321. https://doi.org/10.1080/14786419.2021.1969566
- Zielonka J., Josep J., Sikora A., Hardy M., Ouari O., Vasquez-Vivar J., Cheng G., Lopez M., Kalyanaraman B. // Chem. Rev. 2017. V. 117. P. 10043–10120. https://doi.org/10.1021/acs.chemrev.7b00042
- Chrobak E., Bębenek E., Kadela-Tomanek M., Latocha M., Jelsch C., Wenger E., Boryczka S. // Molecules. 2016. V. 21. P. 1123. https://doi.org/10.3390/molecules21091123
- Abdou W.M., Shaddy A.A. // Arkivoc. 2009. P. 143–182. https://doi.org/10.3998/ark.5550190.0010.910
- Spivak A.Y., Nedopekina D.A., Shakurova E.R., Khalitova R.R., Gubaidullin R.R., Odinokov V.N., Dzhemilev U.M., Bel’skii Y.P., Bel’skaya N.V., Stankevich S.A., Korotkaya E.V., Khazanov V.A. // Russ. Chem. Bull. 2013. V. 62. P. 188–198. https://doi.org/10.1007/s11172-013-0028-y
- Спивак А.Ю., Халитова Р.Р., Шакурова Э.Р., Недопекина Д.А., Губайдуллин Р.Р., Одиноков В.Н., Джемилев У.М., Бельский Ю.П., Бельская Н.В., Станкевич С.А., Хазанов В.А. // Патент RU2551647C2, опубл. 27.05.2015.
- Кайзер Д., Спивак А.Ю., Недопекина Д.А., Губайдуллин Р.Р., Одиноков В.Н., Джемилев У.М., Бельский Ю.П., Бельская Н.В., Станкевич С.А., Хазанов В.А. // Патент RU2576658C2, опубл. 10.03.2016.
- Shinkareva A.M., Nemtarev A.V., Chachkov D.V., Dobrynin A.B., Litvinov I.A., Mironov V.F. // Mend. Commun. 2024. V. 34. P. 113–115. https://doi.org/10.1016/j.mencom.2024.01.034
- Smirnova I.E., Tret’yakova E.V., Flekhter O.B., Spirikhin L.V., Galin F.Z., Tolstikov G.A., Starikova Z.A., Korlyukov A.A. // Russ. J. Org. Chem. 2008. V. 44. P. 1598–1605. https://doi.org/10.1134/S1070428008110055
- Vafina G.F., Khanova M.D., Meshcheryakova S.A., Bulgakov A.K. // Chem. Nat. Compd. 2019. V. 55. P. 868–870. https://doi.org/10.1007/s10600-019-02835-z
- NCI-60 Screening Methodology // National Cancer Institute. Developmental Therapeutics Program. https://dtp.cancer.gov/discovery_development/nci-60/methodology.htm
- Grever M.R., Schepartz S.A., Chabner B.A. // Semin. Oncol. 1992. V. 19. P. 622–638.
- Boyd M.R., Paull K.D. // Drug Dev. Res. 1995. V. 34. P. 91–109. https://doi.org/10.1002/ddr.430340203
- Shoemaker R.H. // Nature Rev. 2006. V. 6. P. 813–823. https://doi.org/10.1038/nrc1951
Supplementary files




