New cationic carbohydrate-containing amphiphiles and liposomes based on them for effective delivery of short nucleic acids into eukaryotic cells
- Authors: Shmendel E.V.1, Buyanova A.O.1, Markov O.V.2, Morozova N.G.1, Zenkova M.A.2, Maslov M.A.1
-
Affiliations:
- MIREA – Russian Technological University
- Institute of Chemical Biology and Fundamental Medicine, Siberian Branch, Russian Academy of Sciences
- Issue: Vol 50, No 6 (2024)
- Pages: 826-841
- Section: Articles
- URL: https://journal-vniispk.ru/0132-3423/article/view/275982
- DOI: https://doi.org/10.31857/S0132342324060098
- EDN: https://elibrary.ru/NEYHXP
- ID: 275982
Cite item
Full Text
Abstract
New cationic amphiphiles containing lactose or D-mannose residues were synthesized and cationic liposomes with 1,2-dioleoyl-sn-glycero-3-phosphatidylethanolamine (DOPE) were obtained. The cytotoxicity and transfection activity of new carbohydrate-containing amphiphiles and cationic liposomes against HEK 293, BHK and BHK IR-780 cells were studied. It has been shown that cationic amphiphiles effectively deliver only short fluorescein-labeled oligodeoxyribonucleotide into eukaryotic cells, while cationic liposomes formed by lactose containing amphiphile and DOPE effectively mediate the transport of short oligonucleotide and small interfering RNA and were non-toxic to cells. The resulting cationic amphiphiles can be used for intracellular delivering of nucleic acids both individually and part of cationic liposomes.
Full Text
ВВЕДЕНИЕ
Генная терапия – способ устранения причин возникновения и развития различных заболеваний, а не только сопровождающих их симптомов [1]. Для целей генной терапии используются различные терапевтические нуклеиновые кислоты (НК) (синтетические антисенсолигонуклеотиды, аптамеры, siРНК, мРНК, siРНК-мимики, плазмидные векторы и т.д.), которые в большинстве случаев представляют собой полианионы и не могут попасть в клетки без средств, обеспечивающих их доставку и защиту от деградации нуклеазами [2]. В качестве систем доставки НК наиболее широкое распространение получили вирусные векторы, обеспечивающие высокую эффективность трансдукции клеток и внутриклеточную экспрессию НК [3]. Недостатки таких векторов – ограничение размера переносимой НК, иммуногенность и высокая стоимость [4]. Для целей генной терапии разрабатываются разнообразные невирусные системы доставки, такие как катионные липосомы [5–7], полимеросомы [8], дендримеры [9], углеродные нанотрубки, неорганические наночастицы на основе оксида железа, оксида кремния, золота, квантовые точки [10, 11] и экзосомы [12]. Среди невирусных систем доставки широкое распространение получили катионные липосомы и другие липидные наночастицы благодаря их низкой иммуногенности, отсутствию ограничений в размере переносимых терапевтических НК, относительной простоте получения и возможности варьировать состав и модифицировать липидные компоненты в зависимости от природы доставляемой НК и свойств клеток в тканях-мишенях [13, 14].
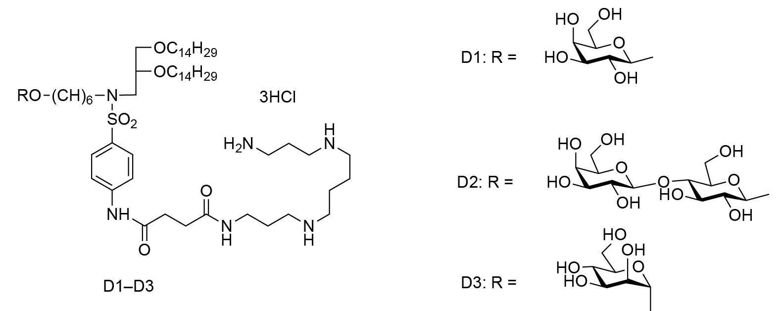
Для обеспечения направленной доставки НК в состав катионных липосом могут быть включены различные адресные лиганды [15]. Так, модификация поверхности липосом остатками фолиевой кислоты [16, 17] или пептидами с RGD-мотивом [18, 19] используется для адресной доставки НК в опухолевые клетки; модификация остатками D-галактозы, специфически связывающимися с асиалогликопротеиновыми рецепторами клеток печени, обеспечивает адресную доставку НК в гепатоциты [20–22]; остатки D-маннозы специфически взаимодействуют с лектинами дендритных клеток и макрофагов [23–25], открывая новые возможности для воздействия на иммунную систему организма. Одна из стратегий создания систем направленной доставки НК в клетки-мишени – дизайн катионных амфифилов, ковалентно связанных с адресным лигандом, что одновременно обеспечивает и связывание НК, и ее доставку в клетки-мишени [26, 27]. Ранее нами был синтезирован галактозилсодержащий катионный амфифил D1 (рис. 1), который обладал низкой цитотоксичностью и обеспечивал эффективную доставку коротких и протяженных НК в эукариотические клетки без участия липида-хэлпера – 1,2-диолеоил-sn-глицеро-3-фосфатидилэтаноламина (DOPE) [26].
Рис. 1. Углеводсодержащие катионные амфифилы D1–D3.
С целью создания структурных аналогов катионного амфифила D1 в данной работе нами осуществлен синтез углеводсодержащих амфифилов D2 и D3 (рис. 1), содержащих остаток спермина, необходимый для компактизации и связывания НК, диглицерид, участвующий в формировании липидных агрегатов, а в качестве остатка углевода, улучшающего гидрофильно-липофильный баланс молекулы, – остаток лактозы или D-маннозы. Кроме того, остаток лактозы может служить адресным лигандом для доставки НК в гепатоциты печени [28], а остаток маннозы – для специфического взаимодействия с лектиновыми рецепторами дендритных клеток и макрофагов [29]. Для оценки потенциала новых катионных амфифилов были сформированы их водные дисперсии и катионные липосомы, изучена их цитотоксичность и проведена оценка способности доставлять различные НК в эукариотические клетки.
РЕЗУЛЬТАТЫ И ОБСУЖДЕНИЕ
Синтез углеводсодержащих катионных амфифилов и получение их водных дисперсий и катионных липосом. Углеводсодержащие катионные амфифилы D2, D3 имеют разветвленную компоновку основных структурных элементов (рис. 1), которая достигалась, как описано ранее [26], путем присоединения углеводной составляющей к гидрофобному домену – 1,2-ди-О-тетрадецил-rac-глицерину, модифицированному в положении С3 бифункциональным линкером, и последующего введения региоселективно защищенного спермина через сукцинильный спейсер с дальнейшим удалением всех защитных групп (схема 1).
Схема 1. Синтез новых катионных амфифилов, содержащих остатки лактозы или D-маннозы. a – 7AcLacBr/4AcManBr, CdCO3; b – Pd/C, NH4+CHOO–; c – янтарный ангидрид, DMAP, Et3N; d – N1,N4,N9-три-трет-бутоксикарбонил-1,12-диамино-4,9-диазадодекан, HBTU, N,N-диизопропилэтиламин; e – 1) TFA, 2) 0.04 н. MeONa/MeOH, 3) 4 н. HCl в диоксане.
Гликозилирование соединения (II) [26] 2,3,6,2',3',4',6'-гепта-О-ацетил-α-лактозил- и 2,3,4,6-тетра-О-ацетил-α-D-маннопиранозилбромидами проводили в условиях модифицированного метода Кенигса–Кнорра в аппарате Сокслета, используя в качестве промотора реакции карбонат кадмия. Реакция протекала с эффектом “соучастия” ацетильной группы при С2-атоме углеводного цикла, что приводило к преимущественному образованию 1,2-транс-гликозидов. В результате гликозилирования были получены β-аномер ((IIIa), 58%) и α-аномер ((IIIb), 45%).
Аномерная конфигурация продуктов реакции гликозилирования (IIIa) и (IIIb) была установлена с помощью ЯМР-спектроскопии. В спектрах 1H-ЯМР присутствуют сигналы аномерных протонов с химическими сдвигами 4.37 м.д. для соединения (IIIa) и 4.73 м.д. для соединения (IIIb) и константами спин-спинового взаимодействия J1.2 = 7.8 Гц и J1.2 = 1.6 Гц соответственно. В спектре 13С-ЯМР сигнал аномерного углерода имел химический сдвиг 101.22 м.д. для соединения (IIIa) и 97.68 м.д. для соединения (IIIb).
Для введения спермина в молекулу амфифила предварительно проводили каталитическое восстановление нитрогруппы в соединениях (IIIa) и (IIIb) до аминогруппы в присутствии Pd/C, используя в качестве источника водорода формиат аммония. В результате ацилирования соединений (IVa) и (IVb) янтарным ангидридом в присутствии N,N-диметил-4-аминопиридина (DMAP) были получены карбоксипроизводные (Va) и (Vb), которые конденсировали с региоселективно защищенным спермином – N1,N4,N9-три-третбутоксикарбонил-1,12-диамино-4,9-диазадодеканом [30] – в присутствии O-(1H-бензотриазол-1-ил)-N,N,N',N'-тетраметилуроний гексафторфосфата (HBTU) при 4°С и получили соединения (VIa) и (VIb) с выходами 69 и 50% соответственно.
На завершающем этапе синтеза осуществляли удаление защитных групп в соединениях (VIa), (VIb), используя опережающее деблокирование аминогрупп, действием трифторуксусной кислоты. Во избежание деструкции ключевых амфифилов D2 и D3 удаление ацетильных групп осуществляли действием 0.04 н. раствора метилата натрия в метаноле с последующей обработкой реакционной смеси раствором 4 н. HCl в диоксане. Выделение углеводсодержащих катионных амфифилов D2 и D3 проводили с использованием обращенно-фазовой хроматографии на силикагеле (LiChroprep® RP-18 для D2 и YMC-Pack ODS-AQ 12S50 для D3) и дополнительного диализа против воды, что привело к получению амфифилов D2 и D3 с выходами 64 и 55% соответственно. Структура полученных целевых амфифилов D2 и D3 была подтверждена с помощью спектроскопии (1Н- и 13С-ЯМР) и масс-спектрометрии.
Ранее нами было показано, что катионный галактозосодержащий амфифил D1 (рис. 1) эффективно доставлял различные НК в эукариотические клетки [26]. Для изучения влияния структуры синтезированных углеводсодержащих катионных амфифилов на эффективность доставки НК в эукариотические клетки были получены дисперсии катионных амфифилов D2 и D3 в воде с использованием ультразвуковой обработки. Следует отметить, что введение в структуру амфифила углеводных остатков увеличивает гидрофильность молекулы и, как следствие, ее растворимость в воде.
Известно, что введение нейтрального липида-хелпера DOPE в состав катионных липосом может улучшить эффективность трансфекции клеток [31]. На основе углеводсодержащих катионных амфифилов D1–D3 и DOPE (соотношение 1 : 1 мольн.) были получены катионные липосомы D1-DOPE, D2-DOPE и D3-DOPE с использованием метода гидратации липидной пленки с последующей обработкой ультразвуком, как описано ранее [32].
Цитотоксичность углеводсодержащих катионных амфифилов и катионных липосом. Изучение цитотоксичности катионных амфифилов D2, D3 и катионных липосом D1-DOPE, D3-DOPE проводили с помощью МТТ-теста на клетках линий НЕК 293 и ВНК в отсутствие эмбриональной бычьей сыворотки (FBS) в ростовой среде DMEM (Sigma-Aldrich, США). Значения IC50 для катионных амфифилов D2 и D3 составили, соответственно, 65.5 и 59.2 мкМ для клеток HEK 293, 35.4 и 17.2 мкМ для клеточной линии BHK. Значения IC50 для катионного амфифила D1 с остатком D-галактозы находились в пределах 20 мкМ для клеток линий НЕК 293 и BHK [26].
Катионные липосомы D1-DOPE и D3-DOPE оказались нетоксичными для клеток НЕК 293 вплоть до концентрации 80 мкМ. На рис. 2 в качестве примера приведен анализ цитотоксичности катионных липосом D2-DOPE, содержащих амфифил с остатком лактозы, в отношении клеток НЕК 293. Цитотоксичность липосом оценивали по изменению жизнеспособности клеток в реальном времени на приборе xCELLigence (ACEA Biosciences, США) в присутствии 10% FBS после 4 ч инкубации. Липосомы D2-DOPE не только не оказывали токсического действия на клетки НЕК 293 во всем диапазоне использованных концентраций, но и стимулировали рост клеток (наибольший клеточный индекс наблюдался при концентрации липосом D2-DOPE 32 мкМ, рис. 2, голубая линия). Таким образом, катионные липосомы на основе углеводсодержащих амфифилов D1–D3 и DOPE, а не их водные дисперсии, обладают уникально низкой цитотоксичностью в отношении клеток НЕК 293. Амфифилы D1–D3 – это поверхностно-активные вещества, которые могут воздействовать на клеточную мембрану, дестабилизируя ее и нарушая целостность липидного бислоя, тем самым проявляя большую цитотоксичность по сравнению с катионными липосомами, которые представляют структурно организованные ансамбли, состоящие из смеси амфифилов D1–D3 и фосфолипидов. В то же время цитотоксичность самих амфифилов D2 и D3 достаточно низкая в диапазоне используемых для трансфекции рабочих концентраций, которые обычно не превышают 10 мкМ.
Рис. 2. Анализ цитотоксичности липосом D2-DOPE. Выживаемость клеток НЕК 293 оценивали в реальном времени с помощью прибора xCELLigence. Клетки НЕК 293 высаживали в 16-луночные планшеты с плотностью 5 × 103 кл./лунку. После 24 ч к клеткам добавляли катионные липосомы D2-DOPE в концентрации от 4 до 64 мкМ, после 4 ч инкубации с катионными липосомами в среду добавляли FBS до концентрации 10%.
Клетки BHK были более чувствительными к действию катионных липосом: композиция D1-DOPE, содержащая амфифил с остатком D-галактозы, обладала умеренной токсичностью (IC50 = 62.3 мкМ), тогда как липосомы D3-DOPE, содержащие амфифил с остатком D-маннозы, оказались токсичными в отношении этого типа клеток (IC50 = 7.6 мкМ).
Эффективность доставки коротких и протяженных нуклеиновых кислот in vitro. Катионные амфифилы D1–D3 и катионные липосомы D1-DOPE, D2-DOPE и D3-DOPE использовали для доставки короткого 25-звенного олигодезоксирибонуклеотида, меченного по 5'-концу флуоресцеином (FITC-ODN), и плазмидной ДНК pEGFP-C2 (4700 п.н.), кодирующей зеленый флуоресцентный белок (EGFP), в клетки НЕК 293, а также малой интерферирующей РНК (siРНК), направленной против мРНК EGFP трансгенных клеток BHK IR-780. Трансфицирующую активность амфифилов и липосом сравнивали с активностью коммерческого препарата Lipofectamine 2000 (Lf 2000, Invitrogene, США).
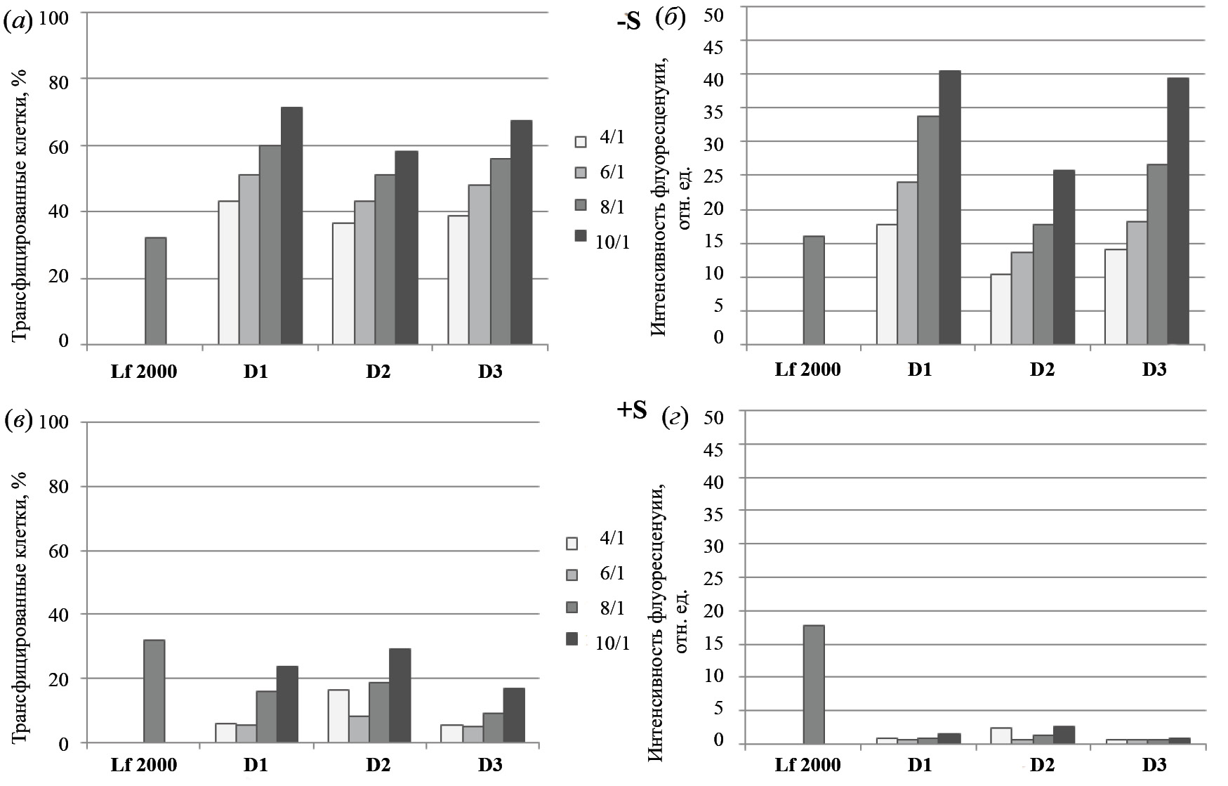
Комплексы FITC-ODN с катионными амфифилами или липосомами формировали при различных соотношениях N/P (отношение количества аминогрупп катионного амфифила D1–D3 к количеству фосфатных групп НК). Оценку эффективности трансфекции клеток НЕК 293 в отсутствие (–S, рис. 4а, 4б) и в присутствии (+S, рис. 3а, 3б, 4в, 4г) 10% FBS проводили методом проточной цитометрии путем измерения количества FITC-положительных клеток (рис. 3а, 4а, 4в) и средней интенсивности флуоресценции клеток в популяции (рис. 3б, 4б, 4г).
Катионные амфифилы D1–D3 эффективно доставляли FITC-ODN, трансфицируя ~100% клеток (рис. 3а). Средняя интенсивность флуоресценции (рис. 3б), которая отражает уровень накопления FITC-ODN в клетках, увеличивалась с увеличением соотношения N/P, достигая 57– 61 отн. ед. при N/P = 1.25/1, что превышает в ~7 раз значения Lf 2000.
Рис. 3. Накопление комплексов FITC-ODN с катионными амфифилами D1–D3 в клетках НЕК 293 в присутствии 10% FBS. Комплексы FITC-ODN/катионные амфифилы D1–D3 формировали при соотношениях N/P = 1/1.5, 1/1 и 1.25/1. Процент FITC-положительных клеток (а) и уровень средней интенсивности флуоресценции клеток в популяции (б) определяли методом проточной цитометрии через 4 ч инкубации клеток с комплексами. Стандартное отклонение не превышает 8%.
Трансфицирующая активность катионных липосом D1-DOPE, D2-DOPE и D3-DOPE в случае доставки FITC-ODN существенно отличалась от активности амфифилов D1–D3 (рис. 4). Если разница между липосомами D1-DOPE, D2-DOPE и Lf 2000 по проценту трансфицированных клеток была незначительной, то для липосом D3-DOPE, содержащих маннозилированный амфифил, FITC-ODN проникал в ~30% клеток HEK 293 как в отсутствие, так и в присутствии FBS (рис. 4а, 4в). По интенсивности накопления FITC-ODN в клетках наиболее эффективными трансфектантами оказались липосомы D1-DOPE и D2-DOPE, содержащие амфифилы D1 с остатком D-галактозы и D2 с остатком лактозы. Они превосходили Lf 2000 в 7–11 раз по интенсивности флуоресценции при соотношении N/P = 2/1 в отсутствие (рис. 4б) и в 6 раз – в присутствии 10% FBS (рис. 4г). Согласно полученным данным, наличие 10% FBS не влияло на количество трансфицированных клеток (рис. 4а, 4в), однако несколько снижало накопление FITC-ODN (рис. 4б, 4г). Таким образом, катионные липосомы D1-DOPE и D2-DOPE при N/P = 2/1 обеспечивали эффективное накопление короткого FITC-ODN в клетках HEK 293, превосходя в ~2 раза по эффективности сами амфифилы D1 и D2.
Рис. 4. Накопление комплексов FITC-ODN с катионными липосомами D1-DOPE, D2-DOPE и D3-DOPE в клетках НЕК 293. Комплексы FITC-ODN/катионные липосомы D1-DOPE, D2-DOPE и D3-DOPE формировали при соотношениях N/P = 1/2, 1/1 и 2/1. Трансфекцию проводили в отсутствие (а, б) или в присутствии 10% FBS (в, г) в клеточной среде. Процент трансфицированных клеток (а, в) и уровень средней интенсивности флуоресценции клеток в популяции (б, г) измеряли с помощью проточной цитометрии через 4 ч инкубации клеток с комплексами. Стандартное отклонение не превышает 9%.
Эффективность доставки плазмидной ДНК pEGFP-C2 в клетки НЕК 293 анализировали через 48 ч после добавления к клеткам комплексов пДНК с катионными амфифилами или липосомами, анализируя количество трансфицированных клеток и уровень экспрессии трансгена (EGFP) с помощью проточной цитометрии. Комплексы pEGFP-C2 с амфифилами D1–D3 и липосомами формировали при соотношениях N/P = 4/1, 6/1, 8/1, 10/1 и вносили к клеткам в отсутствие или в присутствии 10% FBS в среде (рис. 5, 6).
Рис. 5. Доставка плазмидной ДНК pEGFP-C2 с помощью катионных амфифилов D1–D3 в клетки HEK 293 в отсутствие (а, б) или присутствии 10% FBS (в, г) в клеточной среде. Процент EGFP-положительных клеток (а, в) и уровень средней интенсивности флуоресценции (экспрессии EGFP) клеток в популяции (б, г) измеряли с помощью проточной цитометрии через 48 ч после инкубации клеток с комплексами. Стандартное отклонение не превышает 8%.
Рис. 6. Доставка плазмидной ДНК pEGFP-C2 в комплексе с катионными липосомами D1-DOPE, D2-DOPE и D3-DOPE в клетки HEK 293 в отсутствие (а, б) или присутствии 10% FBS (в, г) в клеточной среде. Процент EGFP-экспрессирующих клеток (а, в) и уровень средней интенсивности флуоресценции (экспрессии EGFP) клеток в популяции (б, г) измеряли с помощью проточной цитометрии через 48 ч после инкубации клеток с комплексами. Стандартное отклонение не превышает 7%.
Для катионных амфифилов D1–D3 в бессывороточной среде с ростом соотношения N/P наблюдалось увеличение как количества EGFP-экспрессирующих клеток, которое достигало 58–71% при N/P = 10/1 (рис. 5а), так и увеличение значений интенсивности флуоресценции, которые превосходили в 1.6–2.5 раз (N/P = 10/1) значения, полученные для Lf 2000 (рис. 5б). Известно, что снижение эффективности доставки НК может быть связано с взаимодействием положительно заряженных липоплексов с отрицательно заряженными белками [33] или с липидами или липид-связанными белками сыворотки крови [34], которое может приводить к уменьшению коллоидной стабильности комплексов, преждевременному высвобождению НК [35]. Присутствие 10% FBS многократно снижало эффективность доставки пДНК: по количеству трансфицированных клеток в 2–4 раза, а по средней интенсивности флуоресценции – в 9– 47 раз (рис. 5в, 5г).
Катионные липосомы D1-DOPE, D2-DOPE и D3-DOPE продемонстрировали низкую эффективность доставки протяженной пДНК в клетки НЕК 293 (рис. 6). Если количество EGFP-экспрессирующих клеток было достаточно высоким, особенно в случае липосом D3-DOPE, которые при соотношении N/P = 10/1 в отсутствие FBS доставляли пДНК в ~70% клеток в популяции, что превосходит значения для Lf 2000 в 2 раза (рис. 6а), то значения средней интенсивности флуоресценции лишь немного превышали фоновые значения (1–3 × 104 отн. ед). (рис. 6б, 6г). Возможно, пДНК, проникая в клетку в комплексе с катионными липосомами D1-DOPE, D2-DOPE и D3-DOPE, не способна эффективно высвобождаться не только из комплекса из-за сильных электростатических взаимодействий, но и из эндосом, и, следовательно, не достигает своей дальнейшей цели – ядерной мембраны, через которую она должна проникнуть для дальнейшей экспрессии белка.
Среди терапевтических НК все большую популярность набирают молекулы РНК, используемые, например, для лечения хронического миелоидного лейкоза [36], вакцинации против COVID-19 [37], иммунотерапии рака [38]. Нами была изучена возможность доставки малой интерферирующей РНК (siРНК), направленной против мРНК EGFP, с помощью катионных амфифилов D1–D3 и липосом D1-DOPE, D2-DOPE и D3-DOPE в клетки BHK IR-780, экспрессирующие EGFP (рис. 7). Эффективность трансфекции siРНК определяли по подавлению экспрессии белка EGFP в клетках BHK IR-780 с помощью проточной цитометрии.
Рис. 7. Ингибирование экспрессии белка EGFP в трансгенных клетках BHK IR-780 после доставки siРНК с помощью катионных амфифилов D1–D3 (а, б) или катионных липосом D1-DOPE и D2-DOPE (в, г) в отсутствие (а, в) или в присутствии 10% FBS (б, г) в клеточной среде.
Катионные амфифилы D1–D3 доставляли siРНК в клетки BHK IR-780 с низкой эффективностью (рис. 7а, 7б): подавление экспрессии EGFP практически не наблюдалось даже при высоких значениях N/P = 16/1. Только лактозосодержащий амфифил D2 в отсутствие FBS (при N/P = 16/1) способствовал переносу siРНК и снижению экспрессии EGFP на 40% (рис. 7а).
Катионные липосомы D1-DOPE, D2-DOPE более эффективно доставляли siРНК в клетки BHK IR-780 по сравнению с амфифилами D1–D3 (рис. 7). При соотношениях N/P = 8/1 и 10/1 липосомы D2-DOPE, содержащие амфифил с остатком лактозы, наиболее эффективно способствовали подавлению экспрессии EGFP (на 70%), аналогично коммерческому трансфектанту Lf 2000 (рис. 7в). Однако добавление 10% FBS в клеточную среду снижало эффективность доставки, в этом случае подавление экспрессии белка EGFP не превышало 50%. Ввиду того, что липосомы D3-DOPE были токсичны для клеток BHK, при трансфекции клеток BHK IR-780 также наблюдалась их гибель, что делало невозможным изучение доставки siРНК с помощью этих липосом.
Таким образом, было показано, что состав катионных липосом оказывает большое влияние на эффективность доставки siРНК. Липосомы должны содержать не только катионный амфифил, но и липид-хелпер DOPE, обеспечивающий, с одной стороны, более эффективное проникновение коротких НК внутрь клетки, а с другой – эндосомальное высвобождение в цитоплазму, что критически важно для осуществления биологического действия siРНК.
ЭКСПЕРИМЕНТАЛЬНАЯ ЧАСТЬ
В работе использовали перегнанные растворители отечественного и зарубежного производства, O-(1H-бензотриазол-1-ил)-N,N,N',N'-тетраметилуроний гексафторфосфат, Pd/C (Aldrich, США), янтарный ангидрид (Fluka, Германия) и DIPEA, Et3N (Merck, Германия). Бензол кипятили с металлическим натрием и перегоняли непосредственно перед реакцией; CH2Cl2 и Et3N кипятили с CaH2 и перегоняли непосредственно перед реакцией. Соединениe (II) – катионный амфифил D1 – получали согласно известной методике [26], N1,N4,N9-три-трет-бутоксикарбонил-1,12-диамино-4,9-диазадодекан – согласно методике [30].
Тонкослойную хроматографию проводили на пластинках Kieselgel 60 F254 (Merck, Германия), RP – 18 F254S (Merck, Германия). Обнаружение пятен на хроматограммах осуществляли раствором фосформолибденовая кислота–сульфат церия(IV) с последующим прогреванием, реактивом Драгендорфа, раствором перманганата калия и с помощью УФ-лампы (254 нм). Колоночную хроматографию проводили на силикагеле Kieselgel 60 (0.040–0.063 мм), Kieselgel 60 (0.063– 0.200 мм), LiChroprep® RP-18 (0.040–0.063 мм, Merck, Германия), YMC-Pack ODS-AQ 12S50 (3 мкM, YMC, Япония).
Спектры 1Н- и 13C-ЯМР регистрировали на импульсном Фурье-спектрометрах DPX-300 и AMX-400 (Bruker, Германия) в CDCl3, смеси CDCl3–CD3OD и Py-d5 (внутренний стандарт – тетраметилсилан). Значения химических сдвигов (δ) приведены в миллионных долях (м.д.), константы спин-спинового взаимодействия (J) – в герцах (Гц). Масс-спектры регистрировали на времяпролетном масс-спектрометре Ultraflex (Bruker, Германия) методом матриксной лазерно-десорбционной ионизации на матрице с использованием в качестве матрицы 2,5-дигидроксибензойной кислоты.
N-[6-(2,3,6,2',3',4',6'-гепта-О-Ацетил-β-лактозилокси)гексил)-N-(rac-2,3-дитетрадецилоксипроп-1-ил)амид 4-нитробензолсульфокислоты (IIIa). К раствору 0.797 г (1.036 ммоль) соединения (II) в 50 мл безводного бензола добавляли 0.613 г (3.448 ммоль) прокаленного CdCO3. Реакционную смесь выдерживали при 110°С в аппарате Сокслета, после 4-кратного обращения паров бензола через прокаленный гранулированный силикагель к реакционной массе в течение 1.5 ч добавляли по каплям раствор 2.219 г (3.188 ммоль) 2,3,6,2',3',4',6'-гепта-О-ацетил-α-лактозилбромида в 25 мл безводного бензола и кипятили 8 ч. Реакционную смесь охлаждали до 24°С, фильтровали через Celite® 545, промывали CНCl3, удаляли растворители в вакууме. Остаток хроматографировали на колонке с силикагелем, элюируя системой толуол–этилацетат (10 : 1). Выход соединения (IIIa) составил 0.795 г (58%). 1Н-ЯМР: 0.84 (т, 6 Н, J 6.8, 2 СН2СН3), 1.12–1.37 (м, 48 Н, 2 (СН2)11, (CH2)2), 1.37–1.41 (м, 2 H, СН2СН2N), 1.41–1.55 (м, 6 H, 2 ОСН2СН2, OСН2СН2), 1.91 (с, 3 H), 1.96 (с, 3 H), 1.98 (с, 3 H), 1.99 (с, 3 H), 2.06 (с, 3 H), 2.08 (с, 3 H), 2.1 (с, 3 H, 7 СН3СО), 3.05–3.57 (м, 12 Н, 2 NСН2, 4 СН2О, СН2CHСН2), 3.65–3.85 (м, 3 Н, H5'-Lac, Hab6'-Lac), 3.95–4.12 (м, 4 Н, Н5-Lac, Нab6-Lac), 4.37 (д, 1 Н, J 7.8, Н-1' Lac), 4.39–4.45 (м, 1 Н, Н-4 Lac), 4.43 (д, 1 Н, J 7.8, Н-1 Lac), 4.79 (дд, 1 Н, J 7.8, 9.4, Н-2 Lac), 4.89 (дд, 1 Н, J 3.4, 10.3, Н-3' Lac), 5.03 (дд, 1 H, J 7.8, 10.3, H-2' Lac), 5.12 (т, 1 Н, J 9.4, Н-3 Lac), 5.26–5.29 (м, 1 Н, Н-4' Lac), 7.89–8.02 (м, 2 Н, Ar), 8.21–8.35 (м, 2 H, Ar). 13C-ЯМР: 14.27, 20.66, 20.78, 20.96, 21.02, 22.83, 25.56, 26.20, 26.26, 26.43, 28.11, 29.50, 29.62, 29.81, 30.19, 32.05, 49.54, 49.72, 60.91, 62.12, 66.72, 69.21, 70.02, 70.25, 70.56, 70.77, 71.12, 71.82, 71.91, 72.74, 72.93, 76.43, 77.75, 100.71, 101.22, 124.35, 128.54, 146.27, 149.92, 169.22, 169.70, 169.95, 170.21. Масс-спектр MALDI, m/z: 1412.031 [M + Na + 2H]+, вычислено для C69H116N2NaO24S: 1411.754.
N-[6-O-(2,3,4,6-тетра-О-Ацетил-α-D-маннопиранозилокси)гексил]-N-(rac-2,3-дитетрадецилоксипроп-1-ил)амид 4-нитробензолсульфокислоты (IIIb). Соединение (IIIb) получали аналогично соединению (IIIa), исходя из 0.569 г (0.739 ммоль) соединения (II) в 13 мл безводного бензола, 0.383 г (2.219 ммоль) прокаленного CdCO3, раствора 0.912 г (2.219 ммоль) 2,3,4,6-тетра-О-ацетил-α-D-маннопиранозилбромида в 15 мл безводного бензола. Время кипячения 3 ч. Система для колоночной хроматографии толуол–этилацетат (12 : 1). Выход соединения (IIIb) составил 0.370 г (45%). 1Н-ЯМР: 0.81 (т, 6 H, J 6.7, 2 CH2CH3), 1.11–1.30 (м, 48 H, 2 (CH2)11, CH2CH2), 1.31–1.41 (м, 2 H, CH2CH2N), 1.42–1.57 (м, 6 H, 3 CH2CH2O), 1.91 (с, 3 H), 1.96 (с, 3 H), 2.02 (с, 3 H), 2.08 (с, 3 H, 4 CH3CO), 3.07–3.28 (м, 4 H, CH2NCH2), 3.29–3.53 (м, 8 H, 2 CH2CH2O, CH2CH, CHHaO), 3.61 (дт, J 9.6, 6.4, 1 H, CHHbO), 3.87–3.93 (м, 1 H, H5-Man), 4.04 (дд, 1 H, J 2.4, 12.2, Ha6-Man), 4.23 (дд, 1 H, J 5.2, 12.2, Hb6-Man), 4.73 (д, 1 H, J 1.6, H1-Man), 5.16 (дд, 1 H, J 1.6, 3.1, H2-Man), 5.19 (дд, 1 H, J 9.2, 9.8, H4-Man), 5.28 (дд, 1 H, J 3.1, 9.8, H3-Man), 7.93–7.98 (м, 2 H, Ar), 8.25–8.31 (м, 2 H, Ar). 13C-ЯМР: 14.26, 20.84, 20.90, 22.82, 25.91, 26.21, 26.27, 26.56, 28.16, 29.33, 29.49, 29.60, 29.64, 29.80, 29.83, 30.21, 32.05, 49.57, 49.75, 62.61, 66.33, 68.35, 68.54, 69.25, 69.80, 70.28, 70.57, 71.91, 97.68, 124.36, 128.56, 146.27, 149.94, 169.88, 170.05, 170.08, 170.09. Масс-спектр MALDI, m/z: 1123.384 [M + Na + H]+, вычислено для C57H99N2NaO16S: 1122.661.
N-[6-O-(2,3,6,2',3',4',6'-гепта-О-Ацетил-βлактозилокси)гексил]-N-(rac-2,3-дитетрадецилоксипроп-1-ил)амид 4-аминобензолсульфокислоты (IVa). К раствору 0.685 г (0.449 ммоль) соединения (IIIa) в 14 мл смеси метанол : ТГФ (2.5 : 1, v/v) добавляли 0.126 г (1.796 ммоль) формиата аммония и нагревали при перемешивании до 60°С, после чего вносили 5% мольн. Pd/C. Через 1 ч реакционную смесь фильтровали через Celite® 545, промывали метанолом, растворители удаляли в вакууме. Остаток хроматографировали на колонке с силикагелем, элюируя системой толуол–этилацетат (4 : 1). Выход соединения (IVa) составил 0.464 г (77%). 1Н-ЯМР: 0.87 (т, 6 Н, J 6.8, 2 СН2СН3), 1.07–1.30 (м, 48 H, 2 (CH2)11, CH2CH2), 1.31–1.55 (м, 8 H, СН2СН2N, 2 ОСН2СН2, OСН2СН2), 1.89 (с, 3 H), 1.91 (с, 3 H), 1.97 (с, 6 H), 2.03 (с, 3 H), 2.07 (с, 3 H), 2.10 (с, 3 H, 7 CH3CO), 2.87–3.18 (м, 4 H, 2NCH2), 3.18–3.62 (м, 9 H, 4 CH2O, CH2CHCH2), 3.63–3.87 (м, 3 Н, H5'-Lac, Hab6'-Lac), 3.97–4.12 (м, 3 Н, Н5-Lac, Нab6-Lac), 4.37 (д, 1 Н, J 7.8, Н-1' Lac), 4.39–4.42 (м, 1 Н, Н-4 Lac), 4.43 (д, 1 Н, J 7.8, Н-1 Lac), 4.80 (дд, 1 Н, J 7.8, 9.4, Н-2 Lac), 4.89 (дд, 1 Н, J 3.4, 10.3, Н-3' Lac), 5.03 (дд, 1 H, J 7.8, 10.3, H-2' Lac), 5.12 (т, 1 Н, J 9.4, Н-3 Lac), 5.29 (м, 1 Н, Н-4' Lac), 6.59–6.71 (м, 2 H) и 7.45–7.55 (м, 2 H, Ar). 13C-ЯМР: 14.25, 20.84, 20.94, 22.84, 25.56, 26.31, 26.63, 28.15, 29.52, 29.69, 29.82, 30.30, 32.07, 49.75, 49.89, 61.44, 67.26, 69.16, 70.24, 70.80, 71.14, 71.70, 71.88, 78.41, 101.52, 116.27, 129.46, 145.01, 150.33, 169.42, 169.95, 170.25, 170.34, 170.36 170.44, 170.56, 170.58. Масс-спектр MALDI, m/z: 1380.253 [M + Na + H]+, вычислено для C69H117N2NaO22S: 1380.772.
N-[6-O-(2,3,4,6-тетра-О-Ацетил-α-D-маннопиранозилокси)гексил]-N-(rac-2,3-дитетрадецилоксипроп-1-ил)амид 4-аминобензолсульфокислоты (IVb). Соединение (IVb) получали аналогично соединению (IVa), исходя из 0.327 г (0.298 ммоль) соединения (IIIb) в 7 мл смеси метанол : ТГФ (2.5 : 2, v/v), 0.080 г (1.274 ммоль) формиата аммония. Время реакции 2.5 ч. Система для колоночной хроматографии толуол–этилацетат (6 : 1). Выход соединения (IVb) составил 0.280 г (82%). 1Н-ЯМР: 0.81 (т, 6 H, J 6.7, 2 CH2CH3), 1.17–1.30 (м, 48 H, 2 (CH2)11, CH2CH2), 1.31–1.57 (м, 8 H, СН2СН2N, 2 ОСН2СН2, OСН2СН2), 1.91 (с, 3 H), 1.96 (с, 3 H), 2.02 (с, 3 H), 2.08 (с, 3 H, 4 CH3CO), 3.07–3.28 (м, 4 H, CH2NCH2), 3.29–3.39 (м, 6 H, 2 CH2CH2O, CH2O), 3.41–3.53 (м, 2 H, CHHaO, CH2CHCH2), 3.61 (дт, J 9.6, 6.4, 1 H, CHHbO), 3.87–3.93 (м, 1 H, H5-Man), 4.04 (дд, 1 H, J 2.4, 12.2, Ha6-Man), 4.23 (дд, 1 H, J 5.2, 12.2, Hb6-Man), 4.73 (д, 1 H, J 1.6, H1-Man), 5.16 (дд, 1 H, J 1.6, 3.1, H2-Man), 5.19 (дд, 1 H, J 9.2, 9.8, H4-Man), 5.28 (дд, 1 H, J 3.1, 9.8, H3-Man), 6.59–6.62 (м, 2 H, Ar), 7.48 - 7.55 (м, 2 H, Ar). 13C-ЯМР: 14.45, 21.07, 21.09, 21.26, 23.01, 25.99, 26.44, 26.47, 26.80, 28.00, 29.51, 29.69, 29.85, 29.99, 30.03, 30.46, 32.24, 49.75, 49.96, 62.82, 66.52, 68.66, 68.69, 69.55, 69.99, 70.96, 72.01, 76.93, 77.36, 77.78, 78.61, 78.64, 114.67, 125.61, 129.35, 129.59, 142.27, 170.09, 170.37, 170.48, 171.01. Масс-спектр MALDI, m/z: 1091.950 [M + Na]+, вычислено для C57H100N2NaO14S: 1091.679.
N-[6-O-(2,3,6,2',3',4',6'-гепта-О-ацетил-βлактозилокси)гексил]-N-(rac-2,3-дитетрадецилоксипроп-1-ил)амид 4-(3-карбоксипропионамидо)бензолсульфокислоты (Va). К раствору 0.393 г (0.293 ммоль) соединения (IVa) в 5 мл безводного CH2Cl2 при перемешивании добавляли 0.2936 г (2.930 ммоль) янтарного ангидрида, 7.4 мг N,N-диметил-4-аминопиридина и 83 мкл Et3N. Через 96 ч реакционную смесь промывали 0.3%-ным водным раствором HCl. Органическую фазу сушили (Na2SO4), фильтровали, растворители удаляли в вакууме. Остаток хроматографировали на колонке с силикагелем, элюируя системой толуол–этилацетат (1 : 1). Выход соединения (Va) составил 0.382 г (78%). 1Н-ЯМР: 0.81 (т, 6 Н, J 6.8, 2 СН2СН3), 0.95–1.31 (м, 48 Н, 2 (СН2)11, (CH2)2), 1.32–1.53 (м, 8 H, СН2СН2N, 2 ОСН2СН2, OСН2СН2), 1.91 (с, 3 H), 1.96 (с, 3 H), 1.98 (с, 3 H), 1.99 (с, 3 H), 2.06 (с, 3 H), 2.08 (с, 3 H), 2.1 (с, 3 H, 7 СН3СО), 2.58–2.74 (м, 4 H, NCOCH2CH2COO), 2.95–3.57 (м, 13 Н, 2 NСН2, 4 СН2О, СН2CHСН2), 3.66–3.78 (м, 2 Н, Hab6'-Lac), 3.78–3.86 (м, 1 Н, H5'-Lac), 3.91–4.12 (м, 3 Н, Н5-Lac, Нab6'-Lac), 4.37 (д, 1 Н, J 7.8, Н-1' Lac), 4.39–4.41 (м, 1 Н, Н-4 Lac), 4.43 (д, 1 Н, J 7.8, Н-1 Lac), 4.79 (дд, 1 Н, J 7.8, 9.4, Н-2 Lac), 4.89 (дд, 1 Н, J 3.4, 10.3, Н-3' Lac), 5.03 (дд, 1 H, J 7.8, 10.3, H-2' Lac), 5.12 (т, 1 Н, J 9.4, Н-3 Lac), 5.29–5.31 (м, 1 Н, Н-4' Lac), 7.45–7.55 (м, 4 H, Ar). 13C-ЯМР: 14.19, 20.58, 20.69, 20.78, 20.92, 22.79, 25.46, 26.24, 26.48, 27.70, 29.10, 29.39, 29.47, 29.62, 29.78, 29.81, 30.25, 32.05, 49.54, 49.68, 49.88, 61.00, 62.28, 66.88, 69.38, 70.11, 70.78, 71.20, 71.90, 72.00, 72.78, 73.09, 76.41, 78.50, 100.68, 101.15, 119.37, 123.56, 128.46, 142.20, 169.41, 169.57, 169.84, 170.08, 170.18, 170.20, 170.25. Масс-спектр, m/z: 1496.028 [M + K]+, вычислено для C73H120KN2O25S: 1495.754.
N-[6-O-(2,3,4,6-тетра-О-Ацетил-α-D-маннопиранозилокси)гексил]-N-(rac-2,3-дитетрадецилоксипроп-1-ил)амид 4-(3-карбоксипропионамидо)бензолсульфокислоты (Vb). Соединение (Vb) получали аналогично соединению (Va), исходя из 0.245 г (0.223 ммоль) соединения (IVb) в 4 мл безводного CH2Cl2, 0.223 г (2.230 ммоль) янтарного ангидрида, 5.4 мг N,N-диметил-4-аминопиридина и 45 мкл Et3N. Система для колоночной хроматографии толуол–этилацетат (4 : 1). Выход соединения (Vb) составил 0.205 г (78%). 1Н-ЯМР: 0.81 (т, 6 H, J 6.7, 2 CH2CH3), 1.07–1.30 (м, 48 H, 2 (CH2)11, CH2CH2), 1.31–1.57 (м, 8 H, СН2СН2N, 2 ОСН2СН2, OСН2СН2), 1.91 (с, 3 H), 1.96 (с, 3 H), 2.02 (с, 3 H), 2.08 (с, 3 H, 4 CH3CO), 2.58–2.74 (м, 4 H, NCOCH2CH2COO), 2.96–3.28 (м, 4 H, CH2NCH2), 3.29–3.39 (м, 6 H, 2 CH2CH2O, CH2O), 3.41–3.53 (м, 2 H, CHHaO, CH2CHCH2), 3.60 (дт, J 9.6, 6.4, 1 H, CHHbO), 3.88–3.93 (м, 1 H, H5-Man), 4.05 (дд, 1 H, J 2.4, 12.2, Ha6-Man), 4.22 (дд, 1 H, J 5.2, 12.2, Hb6-Man), 4.73 (д, 1 H, J 1.6, H1-Man), 5.16 (дд, 1 H, J 1.6, 3.1, H2-Man), 5.19 (дд, 1 H, J 9.2, 9.8, H4-Man), 5.28 (дд, 1 H, J 3.1, 9.8, H3-Man), 7.58–7.72 (м, 4 H, Ar), 8.22 (уш с, 1 H, NH). 13C-ЯМР: 14.25, 20.90, 20.95, 22.80, 25.71, 26.23, 26.45, 27.31, 28.81, 29.00, 29.22, 29.48, 29.63, 29.72, 30.24, 32.04, 49.25, 49.35, 49.51, 52.07, 62.64, 66.22, 68.37, 68.49, 69.63, 69.72, 70.62, 70.67, 70.77, 70.80, 71.87, 76.73, 77.16, 77.36, 77.58 ,78.49, 78.61, 97.60, 119.31, 128.46, 134.89, 134.94, 142.07, 169.92, 170.47, 170.64, 170.70, 170.72. Масс-спектр MALDI, m/z: 1191.423 [M + Na]+, вычислено для C61H104N2NaO17S: 1191.695.
(N-{6-O-(2,3,6,2',3',4',6'-тетра-О-Ацетилβ-лактозилокси)гексил}-N-(rac-2,3-дитетрадецилоксипроп-1-ил)амид) 4-{3-[(N4,N9,N12-трис-(трет-бутоксикарбонил))-12-амино-4,9-диазадодециламинокарбонил]пропионамидо}бензолсульфокислоты (VIa). К охлажденному до 4°С раствору 0.080 г (0.0535 ммоль) соединения (Va) и 0.017 г (0.0342 ммоль) N1,N4,N9-тритрет-бутоксикарбонил-1,12-диамино-4,9-диазадодекана в 6 мл ДМФА добавляли последовательно 20 мкл (0.120 ммоль) N,N-диизопропилэтиламина, а через 10 мин по каплям вносили раствор 0.045 г (0.120 ммоль) HBTU в 2 мл ДМФА в течение 1 ч. Через 2 ч к реакционной смеси добавляли 8 мл CНCl3 и экстрагировали 3%-ным водным раствором HCl (3 × 5 мл). Органическую фазу сушили (Na2SO4), фильтровали, растворитель удаляли в вакууме. Остаток хроматографировали на колонке с силикагелем, элюируя системой CНCl3–СH3OH (50 : 1). Выход соединения (VIa) составил 0.072 г (69%). 1Н-ЯМР: 0.81 (т, 6 Н, J 6.8, 2 СН2СН3), 1.11–1.28 (м, 48 Н, 2 (СН2)11, (CH2)2), 1.28–1.66 (м, 47 H, 3 CH2CH2O, 4 CH2CH2N, 2 CH2CH2NH, 9 CH3), 1.89 (с, 3 H ), 1.91 (с, 3 H), 1.97 (с, 6 H), 2.03 (с, 3 H), 2.07 (с, 3 H), 2.10 (с, 3 H, 7 CH3CO), 2.56–2.75 (м, 4 H, NC(O)CH2CH2C(O)N), 2.92–3.65 (м, 25 H, 6 CH2N, 2 CH2NH, 3 CH2O, CH2CH), 3.68–3.75 (м, 2 Н, Нab6'-Lac), 3.78–3.86 (м, 1 Н, Н5'-Lac), 3.91–4.12 (м, 3 Н, H5-Lac, Hab6-Lac,), 4.37 (д, 1 Н, J 7.8, Н-1' Lac), 4.41 (м, 1 Н, Н-4 Lac), 4.43 (д, 1 Н, J 7.8, Н-1 Lac), 4.79 (дд, 1 Н, J 7.8, 9.4, Н-2 Lac), 4.89 (дд, 1 Н, J 3.4, 10.3, Н-3' Lac), 5.03 (дд, 1 H, J 7.8, 10.3, H-2' Lac), 5.12 (т, 1 Н, J 9.4, Н-3 Lac), 5.29 (м, 1 Н, Н-4' Lac), 7.55–7.71 (м, 4 H, Ar). 13C-ЯМР: 14.19, 20.58, 20.70, 22.76, 25.50, 25.87, 25.96, 26.21, 26.51, 28.21, 28.54, 29.18, 29.43, 29.59, 29.74, 30.21, 32.00, 49.75, 49.86, 50.03, 60.93, 62.21, 62.49, 63.94, 64.58, 66.79, 69.28, 70.05, 70.68, 70.78, 71.13, 71.82, 72.73, 73.00, 76.45, 78.29, 100.67, 101.15, 110.84, 119.38, 128.43, 142.20, 169.25, 170.18, 170.22, 170.44, 170.51, 171.22, 171.95, 172.95. Масс-спектр MALDI, m/z: 1964.790 [M + Na]+, вычислено для C98H168N6NaO30S: 1964.142.
(N-{6-O-(2,3,4,6-тетра-О-Ацетил-α-D-маннопиранозилокси)гексил}-N-(rac-2,3-дитетрадецилоксипроп-1-ил)амид) 4-{3-[(N4,N9,N12-триc-(трет-бутоксикарбонил))-12-амино-4,9-диазадодециламинокарбонил]пропионамидо}бензолсульфокислоты (VIb). Соединение (VIb) получали аналогично соединению (VIa), исходя из 0.177 г (0.151 ммоль) соединения (Vb) и 0.161 г (0.32 ммоль) N1,N4,N9-три-трет-бутоксикарбонил-1,12-диамино-4,9-диазадодекана в 9.5 мл ДМФА, 37 мкл (0.32 ммоль) N,N-диизопропилэтиламина, раствора 161 мг (0.32 ммоль) HBTU в 2 мл ДМФА. Время реакции 5 ч. Система для колоночной хроматографии толуол–ацетон (20 : 1). Выход соединения (VIb) составил 0.126 г (50%). 1Н-ЯМР: 0.81 (т, 6 H, J 6.7, 2 CH2CH3), 1.15–1.30 (м, 48 H, 2 (CH2)11, CH2CH2), 1.30–1.66 (м, 47 H, 3 CH2CH2O, 4 CH2CH2N, 2 CH2CH2NH, 9 CH3), 1.91 (с, 3 H), 1.96 (с, 3 H), 2.02 (с, 3 H), 2.08 (с, 3 H, 4 CH3CO), 2.58–2.74 (м, 4 H, NCOCH2CH2COO), 2.96–3.28 (м, 4 H, CH2NCH2), 3.29–3.39 (м, 6 H, 2 CH2CH2O, CH2O), 3.41–3.53 (м, 2 H, CHHaO, CH2CHCH2), 3.61 (дт, J 9.6, 6.4, 1 H, CHHbO), 3.87–3.93 (м, 1 H, H5-Man), 4.04 (дд, 1 H, J 2.4, 12.2, Ha6-Man), 4.22 (дд, 1 H, J 5.2, 12.2, Hb6-Man), 4.73 (д, 1 H, J 1.6, H1-Man), 5.16 (дд, 1 H, J 1.6, 3.1, H2-Man), 5.19 (дд, 1 H, J 9.2, 9.8, H4-Man), 5.28 (дд, 1 H, J 3.1, 9.8, H3-Man), 7.62–7.66 (м, 4 H, Ar), 8.22 (уш с, 1 H, NH). 13C-ЯМР: 14.25, 20.88, 22.80, 25.80, 26.58, 27.45, 27.71, 28.05, 29.13, 29.33, 30.24, 31.62, 33.43, 36.02, 37.57, 38.73, 43.37, 43.99, 44.42, 46.40, 46.95, 49.77, 49.99, 62.62, 66.30, 68.44, 68.48, 69.39, 69.76, 70.73, 71.84, 76.77, 77.58, 78.33, 78.58, 80.15, 97.66, 111.05, 117.72, 119.26, 126.16, 126.97, 128.45, 134.12, 142.52, 145.46, 156.22, 170.25, 170.82. Масс-спектр, m/z: 1675.528 [M + Na]+, вычислено для C86H152N6NaO22S: 1676.058.
(N-{6-O-Лактозилокси)гексил}-N-(rac-2,3дитетрадецилоксипроп-1-ил)амид)-4-{3-(12-амино-4,9-диазадодециламинокарбонил)пропионамидо}бензолсульфокислоты тригидрохлорид (D2). К раствору 0.053 г (0.0272 ммоль) соединения (VIa) в 1.7 мл CH2Cl2 добавляли 0.162 мл (2.181 ммоль) трифторуксусной кислоты. Через 3 ч к реакционной смеси добавляли диэтиловый эфир, растворители удаляли в вакууме. К остатку добавляли 11.7 мл 0.04 н. раствора метилата натрия в метаноле и выдерживали 4 ч. К реакционной смеси добавляли раствор 4 н. HCl в диоксане, пока значение pH смеси не достигнет 5. Растворители удаляли в вакууме, остаток хроматографировали на колонке с обращенно-фазовым силикагелем LiChroprer®RP-18 (Merck), элюируя системой метанол–0.1% водн. НСl (100 : 1). Выход соединения составил 0.103 г (64 %). 1Н-ЯМР (Py-d5): 0.79 (т, 6 Н, J 6.8, 2 СН2СН3), 1.02–1.41 (м, 48 Н, 2 (СН2)11, (CH2)2), 1.41–1.61 (м, 16 H, 3 CH2CH2O, CH2CH2N, 4 CH2CH2NH), 1.81–2.31 (м, 4 H, NC(O)CH2CH2C(O)N), 2.51–3.61 (м, 25 Н, 3 ОСН2, 2 NСН2, 5 NHСН2, NH2СН2, CH2CH), 3.61–4.44 (м, 12 Н, H5-Lac, Н5'-Lac, Hab6-Lac, Нab6'-Lac, Н-1' Lac, Н-4 Lac, Н-1 Lac, Н-2 Lac, Н-3' Lac, Н-3 Lac), 4.55–4.67 (м, 1 H, H-2' Lac), 4.81–4.99 (м, 1 Н, Н-4' Lac), 7.75–7.82 и 8.10–8.21 (м, 4 Н, Ar). 13C-ЯМР: 14.84, 23.48, 24.28, 25.50, 26.40, 27.29, 28.54, 30.16, 30.55, 30.72, 30.72, 31.23, 33.63, 38.47, 46.04, 46.47, 48.05, 50.46, 62.32, 62.49, 70.27, 70.40, 71.24, 72.28, 72.88, 75.25, 76.79, 77.49, 78.72, 79.52, 82.04, 104.51, 105.80, 120.28, 129.27, 134.58, 144.82, 172.96, 174.35. Масс-спектр MALDI, m/z: 1348.117 [M + H – 3HCl]+ вычислено для C69H131N6O17S: 1347.929.
(N-{6-O-α-D-Маннопиранозилокси)гексил}N-(rac-2,3-дитетрадецилоксипроп-1-ил)амид)4-{3-(12-амино-4,9-диазадодециламинокарбонил)пропионамидо}бензолсульфокислоты тригидрохлорид (D3). Соединение (D3) получали аналогично соединению (D2), исходя из 0.110 г (0.0666 ммоль) соединения (VIb) в 3.5 мл CH2Cl2, 0.400 мл (7.270 ммоль) трифторуксусной кислоты, времени реакции 4.5 ч, 23 мл 0.04 н. раствора метилата натрия в метаноле, времени реакции 5.5 ч. Растворители удаляли в вакууме, остаток хроматографировали на колонке с обращенно-фазовым силикагелем YMC-Gel ODS-AQ 12S50 (YMC), элюируя системой метанол– вода (1 : 1 → 5 : 1). Растворитель удаляли в вакууме, остаток растворяли в 5 мл дистиллированной воды и проводили диализ против воды с использованием диализной мембраны Spectra/Por® 6 (Repligen, США). Выход соединения составил 0.041 г (55%). 1Н-ЯМР (Py-d5): 0.67 (т, 6 H, J 6.7, 2 CH2CH3), 1.10 (с, 44 H, 2 (CH2)11), 1.15–1.25 (м, 4 H, CH2CH2), 1.34–1.61 (м, 16 H, 3 CH2CH2O, CH2CH2N, 4 CH2CH2NH), 1.81–2.31 (м, 4 H, NC(O)CH2CH2C(O)N), 2.51–3.61 (м, 25 Н, 3 ОСН2, 2 NСН2, 5 NHСН2, NH2СН2, CH2CH), 3.61–4.57 (м, 1 H, H5-Man, H6-Man, H2-Man, H4-Man, H3-Man), 5.22 (д, 1 H, H(1) Man, J 1.2), 7.75–7.91 (м, 2 H) и 8.05–8.15 (м, 2 H, Ar), 8.95–9.02 (м, 1 H, NH), 11.05–11.45 (м, 1 H, NH). 13C-ЯМР: 24.67, 25.75, 26.33, 27.65, 29.39, 29.62, 29.71, 29.77, 30.46, 31.24, 31.89, 45.32, 46.75, 47.19, 61.93, 66.91, 67.11, 67.99, 70.46, 71.50, 71.78, 72.32, 78.81, 100.77, 119.43, 122.56, 123.92, 128.50, 134.00, 135.98, 143.97, 148.84, 172.21, 173.78. Масс-спектр MALDI, m/z: 1185.499 [M + H– 3HCl]+, вычислено для C63H121N6O12S: 1185.876.
Водные дисперсии катионных амфифилов. Водные дисперсии углеводсодержащих катионных амфифилов D1–D3 были получены в деионизированной воде (MilliQ) с концентрацией 1 мМ путем озвучивания на ультразвуковой бане (Bandelin Sonorex Digitec DT 52H, Германия) в течение 5 мин при 24°С.
Катионные липосомы. Катионные липосомы D1-DOPE, D2-DOPE и D3-DOPE получали методом гидратации липидной пленки и последующей обработки ультразвуком [32]. Навески соединений D1–D3 и липида-хелпера DOPE (Avanti Polar Lipids, США) растворяли в CНCl3. Полученные растворы смешивали в соотношении 1 : 1 (мольн.). Растворитель удаляли в вакууме водоструйного насоса, образовавшуюся липидную пленку сушили 4 ч в вакууме масляного насоса (0.01 Торр). К сухой пленке добавляли необходимое количество деионизированной воды (MilliQ) (концентрация по амфифилам D1–D3 1 мM) и диспергировали при 60°С до полного отслоения пленки со стенок колбы. Образовавшуюся дисперсию обрабатывали на ультразвуковой бане (Bandelin Sonorex Digitec DT 52H, Германия) в течение 15 мин при 70°С для получения катионных липосом D1-DOPE, D2-DOPE и D3-DOPE, которые фильтровали через стерильный фильтр Chromafil CA-45/25 (S) (Macherey-Nagel, Германия) с размером пор 450 нм и хранили при 4°С.
Нуклеиновые кислоты. 25-Звенный олигодезоксирибонуклеотид 5'-TACAGTGGAATTGTATGCCTATTAT-3', содержащий на 5'-конце остаток FITC, синтезировали твердофазным фосфитамидным методом и выделяли с помощью ВЭЖХ (ИХБФМ СО РАН). Чистота олигонуклеотида, проанализированная электрофорезом в 20%-ном ПААГ в денатурирующих условиях, составляла 95–98%. Концентрацию олигонуклеотида определяли на спектрофотометре BioMate 3 (Termo Electron Corporation, США). В экспериментах использовали пДНК pEGFP-C2 (Clontech, Германия), кодирующую зеленый флуоресцентный белок, и siРНК, направленную на мРНК EGFP, с последовательностью: 5′-GAACGGCAUCAAGGUGAACTT-3′ (смысловая цепь) и 5′-GUUCACCUUGAUGCCGUUCTT-3′ (антисмысловая цепь), полученную в ИХБФМ СО РАН.
Комплексы нуклеиновых кислот с катионными амфифилами и катионными липосомами. Для трансфекции клеток НЕК 293 и BHK IR-780 растворы водных дисперсий D1–D3 или катионных липосом (25 мкл) и нуклеиновых кислот (25 мкл) в концентрациях, соответствующих необходимым соотношениям N/P, смешивали в среде Opti-MEM® (TermoFisher Scientific, США) и инкубировали в течение 20 мин при 24°С.
Клеточные культуры. Клетки почки эмбриона человека HEK 293, фибробласты почки хомячка BHK были получены из банка клеточных культур Института цитологии РАН (Санкт-Петербург, Россия). Генетически модифицированные клетки BHK IR-780, экспрессирующие EGFP, любезно предоставлены проф. В.С. Прасоловым (Институт молекулярной биологии им. В.А. Энгельгардта РАН, Москва).
Клетки HEK 293, BHK и BHK IR-780 культивировали в среде DMEM в присутствии 10% FBS, 1%-ного раствора антибиотиков (100 ед./мл пенициллина, 100 мкг/мл стрептомицина и 0.25 мкг/мл амфотерицина) в атмосфере 5% СО2 при 37°С и регулярно пассировали для поддержания экспоненциального роста.
Цитотоксичность. Относительное количество живых клеток после инкубации с катионными амфифилами или липосомами определяли с помощью МТТ-теста [39]. Клетки НЕК 293 и ВНК высаживали в 96-луночные планшеты (при плотности посадки 7.5 × 103 кл./лунку для НЕК 293 и 3 × 103 кл./лунку для ВНК), инкубировали с катионными амфифилами или липосомами (конечная концентрация в лунке 1–80 мкМ) в течение 4 ч в бессывороточных условиях. Затем добавляли FBS (до 10%) и инкубировали еще 20 ч, добавляли раствор МТТ (бромид 3-(4,5диметилтиазол-2-ил)-2,5-дифенилтетразолия) до конечной концентрации 0.5 мг/мл и дополнительно инкубировали клетки 3 ч. Культуральную среду удаляли, кристаллы формазана растворяли в 100 мкл ДМСО на лунку и измеряли разницу оптической плотности раствора при 570 и 620 нм на планшетном спектрофотометре Multiscan RC (Labsystems, Финляндия).
Жизнеспособность клеток НЕК 293 (при плотности посадки 5 × 103 клеток на лунку) в присутствии 4, 8, 16, 32 и 64 мкМ липосом D2-DOPE контролировали в режиме реального времени на приборе xCELLigence (ACEA Biosciences, США) в течение 90 ч.
Трансфекция клеток. Клетки HEK 293 и BHK IR-780 высаживали в 24-луночные планшеты (при плотности посадки 2 × 105 кл./лунку HEK 293 для доставки FITC-ODN, 1.2 × 105 кл./лунку HEK 293 для доставки пДНК и 0.1 × 105 кл./лунку для BHK IR-780 для доставки siРНК) и инкубировали в течение 24 ч. В день трансфекции культуральную среду заменяли на среду DMEM (200 мкл) с 10% FBS (без антибиотиков). К клеткам добавляли комплексы FITC-ODN (1 мкМ в лунке), пДНК (2 мкг/мл в лунке) или siРНК (50 нМ в лунке) с амфифилами или катионными липосомами, сформированные при различных соотношениях N/P, и инкубировали в стандартных условиях 4 ч. В случае доставки FITC-ODN клетки анализировали сразу после инкубации. В случае пДНК и siРНК культуральную среду заменяли на свежую DMEM с 10% FBS (500 мкл) и дополнительно инкубировали клетки при 37°С в течение 44 или 68 ч соответственно.
Проточная цитометрия. Для оценки эффективности доставки FITC-ODN, пДНК и siРНК клетки HEK 293 и BHK IR-780 дважды промывали PBS, обрабатывали раствором трипсина в PBS (0.5 мг/мл) в течение 2 мин при 37°С для открепления клеток с поверхности лунки. Открепившиеся клетки суспендировали в среде DMEM с 10% FBS для ингибирования дальнейшего действия трипсина, переносили в пробирки и осаждали центрифугированием (Eppendorf MiniSpin, Eppendorf, Германия) при 200 g в течение 10 мин. Супернатант убирали, клетки дважды промывали PBS и фиксировали 2%-ным раствором формальдегида в PBS (600 мкл). Количество трансфицированных клеток и среднее значение интенсивности флуоресценции в клеточной популяции измеряли на цитофлуориметре NovoCyte 3000 (ACEA Biosciences, США) и Cytomics FC500 (Beckman Coulter, США). В каждом образце анализировали не менее 20 тыс. клеток. Все экспериментальные точки были получены в результате трех независимых экспериментов.
ЗАКЛЮЧЕНИЕ
Синтезированы новые катионные амфифилы, содержащие остатки лактозы или D-маннозы. На основе полученных соединений и липида-хелпера DOPE были сформированы катионные липосомы, изучена их цитотоксичность и проведена оценка способности доставлять различные нуклеиновые кислоты в эукариотические клетки.
Углеводсодержащие катионные амфифилы D1–D3 независимо от структуры углеводного фрагмента эффективно доставляли короткий флуоресцеин-меченный олигонуклеотид (FITC-ODN) в клетки HEK 293 в присутствии сыворотки крови (рис. 3), в то время как эффективная доставка плазмидной ДНК достигалась только в бессывороточных условиях (рис. 5а, 5б). Доставка короткой siРНК амфифилами D1–D3 также была малоэффективной, снижение уровня экспрессии белка на 40% наблюдалось только для лактозилсодержащего амфифила D2 в отсутствие сыворотки в клеточной среде (рис. 7а). Добавление 10% FBS приводило к резкому снижению эффективности доставки плазмидной ДНК и siРНК (рис. 5 и 7). Известно, что некоторые липосомальные системы доставки неэффективны при проведении трансфекции клеток в присутствии сыворотки крови, что связано с взаимодействием липоплексов с ее компонентами [33, 34], увеличением их размера [40], перезарядкой поверхностного потенциала и, как следствие, снижением взаимодействия с отрицательно заряженной клеточной мембраной. Белковая “корона” [41] может по-разному влиять на эффективность трансфекции. Так, было показано, что она не изменяет эффективность наночастиц на основе ионизируемых липидов, но увеличивает время трансфекции Lipofectamine 2000 и снижает его эффективность [42].
Среди катионных липосом, полученных на основе углеводсодержащих катионных амфифилов, наиболее перспективной следует считать композицию D2-DOPE, содержащую амфифил D2 с остатком лактозы, которая оказалась нетоксичной для клеток НЕК 293 и BHK. При этом данные липосомы не подходят для трансфекции клеток плазмидной ДНК (рис. 6), однако эффективно доставляют короткие НК (FITCODN и siРНК) как в отсутствие, так и в присутствии сыворотки в культуральной среде (рис. 4, 7в, 7г).
Таким образом, полученные углевод-содержащие катионные амфифилы, как в индивидуальном состоянии, так и в составе катионных липосом, являются перспективными средствами доставки коротких нуклеиновых кислот для дальнейшей разработки генно-терапевтических препаратов.
ФОНДОВАЯ ПОДДЕРЖКА
Исследование выполнено при финансовой поддержке Российского научного фонда в рамках научного проекта № 23-73-10168 с использованием оборудования ЦКП РТУ МИРЭА при поддержке Минобрнауки России (cоглашение № 075-15-2021-689 от 01.09.2021), работа О.В. Маркова и М.А. Зенковой поддержана за счет бюджета Российской Федерации (проект № 121031300044-5).
СОБЛЮДЕНИЕ ЭТИЧЕСКИХ СТАНДАРТОВ
Настоящая статья не содержит описания каких-либо исследований с участием людей и животных в качестве объектов исследований.
КОНФЛИКТ ИНТЕРЕСОВ
Авторы заявляют об отсутствии конфликта интересов.
ВКЛАД АВТОРОВ
Авторы ЕВШ и АОБ – подготовка и характеристика соединений. Авторы ЕВШ и ОВМ провели биологические исследования. Авторы ЕВШ, ОВМ, НГМ, МАЗ и МАМ – подготовка текста статьи. Авторы ЕВШ, МАЗ и МАМ – подготовка финального варианта текста статьи.
ДОСТУПНОСТЬ ДАННЫХ
Данные, подтверждающие выводы настоящего ис-следования, можно получить у корреспондирующего автора по обоснованному запросу.
About the authors
E. V. Shmendel
MIREA – Russian Technological University
Author for correspondence.
Email: elena_shmendel@mail.ru
Lomonosov Institute of Fine Chemical Technologies
Russian Federation, prosp. Vernadskogo 86, Moscow, 119571A. O. Buyanova
MIREA – Russian Technological University
Email: elena_shmendel@mail.ru
Lomonosov Institute of Fine Chemical Technologies
Russian Federation, prosp. Vernadskogo 86, Moscow, 119571O. V. Markov
Institute of Chemical Biology and Fundamental Medicine, Siberian Branch, Russian Academy of Sciences
Email: elena_shmendel@mail.ru
Russian Federation, prosp. ak. Lavrent’eva 8, Novosibirsk, 630090
N. G. Morozova
MIREA – Russian Technological University
Email: elena_shmendel@mail.ru
Lomonosov Institute of Fine Chemical Technologies
Russian Federation, prosp. Vernadskogo 86, Moscow, 119571M. A. Zenkova
Institute of Chemical Biology and Fundamental Medicine, Siberian Branch, Russian Academy of Sciences
Email: elena_shmendel@mail.ru
Russian Federation, prosp. ak. Lavrent’eva 8, Novosibirsk, 630090
M. A. Maslov
MIREA – Russian Technological University
Email: elena_shmendel@mail.ru
Lomonosov Institute of Fine Chemical Technologies
Russian Federation, prosp. Vernadskogo 86, Moscow, 119571References
- Bulaklak K., Gersbach C.A. // Nat. Commun. 2020. V. 11. P. 11–14. https://doi.org/10.1038/s41467-020-19505-2
- Mendes B.B., Conniot J., Avital A., Yao D., Jiang X., Zhou X., Sharf-Pauker N., Xiao Y., Adir O., Liang H., Shi J., Schroeder A., Conde J. // Nat. Rev. Methods Prim. 2022. V. 2. P. 24. https://doi.org/10.1038/s43586-022-00104-y
- Lundstrom K. // Viruses. 2023. V. 15. P. 698. https://doi.org/10.3390/v15030698
- Wang C., Pan C., Yong H., Wang F., Bo T., Zhao Y., Ma B., He W., Li M. // J. Nanobiotechnology. 2023. V. 21. P. 1–18. https://doi.org/10.1186/s12951-023-02044-5
- Tseu G.Y.W., Kamaruzaman K.A. // Molecules. 2023. V. 28. P. 1498. https://doi.org/10.3390/molecules28031498
- Nsairat H., Alshaer W., Odeh F., Esawi E., Khater D., Bawab A.A., El-Tanani M., Awidi A., Mubarak M.S. // OpenNano. 2023. V. 11. P. 100132. https://doi.org/10.1016/j.onano.2023.100132
- Gao Y., Liu X., Chen N., Yang X., Tang F. // Pharmaceutics. 2023. V. 15. P. 178. https://doi.org/10.3390/pharmaceutics15010178
- Iqbal S., Blenner M., Alexander-Bryant A., Larsen J. // Biomacromolecules. 2020. V. 21. P. 1327–1350. https://doi.org/10.1021/acs.biomac.9b01754
- Rai D.B., Pooja D., Kulhari H. // In: Pharmaceutical Applications of Dendrimers, Elsevier Inc., 2019. https://doi.org/10.1016/B978-0-12-814527-2.00009-3
- Jiang Y., Fan M., Yang Z., Liu X., Xu Z., Liu S., Feng G., Tang S., Li Z., Zhang Y., Chen S., Yang C., Law W.C., Dong B., Xu G., Yong K.T. // Biomater. Sci. 2022. V. 10. P. 6862–6892. https://doi.org/10.1039/D2BM01001A
- Mirza Z., Karim S. // In: Recent Advancements and Future Challenges. Elsevier Ltd., 2021. https://doi.org/10.1016/j.semcancer.2019.10.020
- Duan L., Xu L, Xu X, Qin Z., Zhou X., Xiao Y., Liang Y., Xia J. // Nanoscale. 2021. V. 13. P. 1387–1397. https://doi.org/10.1039/d0nr07622h
- Ponti F., Campolungo M., Melchiori C., Bono N., Candiani G. // Chem. Phys. Lipids. 2021. V. 235. P. 105032. https://doi.org/10.1016/j.chemphyslip.2020.105032
- Belhadj Z., Qie Y., Carney R.P., Li Y., Nie G. // BMEMat. 2023. V. 1. P. e12018. https://doi.org/10.1002/bmm2.12018
- Liu C., Zhang L., Zhu W., Guo R., Sun H., Chen X., Deng N. // Mol. Ther. Methods Clin. Dev. 2020. V. 18. P. 751–764. https://doi.org/10.1016/j.omtm.2020.07.015
- Gangopadhyay S., Nikam R.R., Gore K.R. // Nucleic Acid Ther. 2021. V. 31. P. 245–270. https://doi.org/10.1089/nat.2020.0882
- Shmendel E.V., Puchkov P.A., Maslov M.A. // Pharmaceutics. 2023. V. 15. P. 1400. https://doi.org/10.3390/pharmaceutics15051400
- Jain A., Jain S.K. // Curr. Mol. Med. 2018. V. 18. P. 44–57. https://doi.org/10.2174/1566524018666180416101522
- Fu S., Xu X., Ma Y., Zhang S., Zhang S. // J. Drug Target. 2019. V. 27. P. 1–11. https://doi.org/10.1080/1061186X.2018.1455841
- Battisegola C., Billi C., Molaro M.C., Schiano M.E., Nieddu M., Failla M., Marini E., Albrizio S., Sodano F., Rimoli M.G. // Pharmaceuticals. 2024. V. 17. P. 308. https://doi.org/10.3390/ph17030308
- Fatima M., Karwasra R., Almalki W.H., Sahebkar A., Kesharwani P. // Eur. Polym. J. 2023. V. 183. P. 111759. https://doi.org/10.1016/j.eurpolymj.2022.111759
- Jain A., Jain A., Parajuli P., Mishra V., Ghoshal G., Singh B., Shivhare U.S., Katare O.P., Kesharwani P. // Drug Discov. Today. 2018. V. 23. P. 960–973. https://doi.org/10.1016/j.drudis.2017.11.003
- Paurević M., Šrajer Gajdošik M., Ribić R. // Int. J. Mol. Sci. 2024. V. 25. P. 1370. https://doi.org/10.3390/ijms25031370
- Goswami R., O’hagan D.T., Adamo R., Baudner B.C. // Pharmaceutics. 2021. V. 13. P. 1–14. https://doi.org/10.3390/pharmaceutics13020240
- Goswami R., Chatzikleanthous D., Lou G., Giusti F., Bonci A., Taccone M., Brazzoli M., Gallorini S., Ferlenghi I., Berti F., O’Hagan D.T., Pergola C., Baudner B.C., Adamo R. // ACS Infect. Dis. 2019. V. 5. P. 1546–1558. https://doi.org/10.1021/acsinfecdis.9b00084
- Maslov M.A., Medvedeva D.A., Rapoport D.A., Serikov R.N., Morozova N.G., Serebrennikova G.A., Vlassov V.V., Zenkova M.A. // Bioorg. Med. Chem. Lett. 2011. V. 21. P. 2937–2940. https://doi.org/10.1016/j.bmcl.2011.03.056
- Liu K., Jiang X., Hunziker P. // Nanoscale. 2016. V. 8. P. 16091–16156. https://doi.org/10.1039/C6NR04489A
- Hayashi Y., Higashi T., Motoyama K., Jono H., Ando Y., Onodera R., Arima H. // Biol. Pharm. Bull. 2019. V. 42. P. 1679–1688. https://doi.org/10.1248/bpb.b19-00278
- Gadekar A., Bhowmick S., Pandit A. // Adv. Funct. Mater. 2020. V. 30. P. 1910031. https://doi.org/10.1002/adfm.201910031
- Miller K.A., Kumar E.V.K.S., Wood S.J., Cromer J.R., Datta A., David S.A. // J. Med. Chem. 2005. V. 48. P. 2589–2599. https://doi.org/10.1021/jm049449j
- Kim B.K., Hwang G.B., Seu Y.B., Choi J.S., Jin K.S., Doh K.O. // Biochim. Biophys. Acta Biomembr. 2015. V. 1848. P. 1996–2001. https://doi.org/10.1016/j.bbamem.2015.06.02027
- Luneva A.S., Puchkov P.A., Shmendel E.V., Zenkova M.A., Kuzevanova A.Yu., Alimov A.A., Karpukhin A.V., Maslov M.A. // Russ. J. Bioorg. Chem. 2018. V. 44. P. 724–731. https://doi.org/10.1134/S1068162019010084
- Yang J.P., Huang L. // Gene Ther. 1997. V. 4. P. 950– 960. https://doi.org/10.1038/sj.gt.3300485
- Allen M.C., Gale P.A., Hunter A.C., Lloyd A., Hardy S.P. // Biochim. Biophys. Acta. 2000. V. 1509. P. 229–236. https://doi.org/10.1016/s0005-2736(00)00297-2
- Li S., Tseng W.C., Stolz D.B., Wu S.P., Watkins S.C., Huang L. // Gene Ther. 1999. V. 6. P. 585–594. https://doi.org/10.1038/sj.gt.3300865
- Landry B., Valencia-Serna J., Gul-Uludag H., Jiang X., Janowska-Wieczorek A., Brandwein J., Uludag H. // Mol. Ther. Nucl. Acids. 2015. V. 4. P. e240. https://doi.org/10.1038/mtna.2015.13
- Baghban R., Ghasemian A., Mahmoodi S. // Arch. Microbiol. 2023. V. 205. P. 1–15. https://doi.org/10.1007/s00203-023-03480-5
- Lin Y.X., Wang Y., Blake S., Yu M., Mei L., Wang H., Shi J. // Theranostics. 2020. V. 10. P. 281–299. https://doi.org/10.7150/thno.35568
- Carmichael J., Degraff W.G., Gazdar A.F., Minna J.D., Mitchell J.B. // AACR. 1987. V. 47. P. 936–942.
- Audouy S., Molema G., de Leij L., Hoekstra D. // J. Gene Med. 2000. V. 2. P. 465–476. https://doi.org/10.1002/1521-2254(200011/12) 2:6<465::AID-JGM141>3.0.CO;2-Z
- Wang F., Yu L., Monopoli M.P., Sandin P., Mahon E., Salvati A., Dawson K.A. // Nanomedicine. 2013. V. 9. P. 1159–1168. https://doi.org/ 10.1016/j.nano.2013.04.010
- Reiser A., Woschée D., Mehrotra N., Krzysztoń R., Strey H.H., Rädler J.O. // Integr. Biol. (Camb). 2019. V. 11. P. 362–371. https://doi.org/10.1093/intbio/zyz030
Supplementary files










