Тонкие пленки клатрохелата кобальта(II) для устройств молекулярной спинтроники
- Авторы: Злобин И.С.1,2, Айсин Р.Р.1,2, Синельников А.Н.1,2, Новиков В.В.1,2, Нелюбина Ю.В.1,2
-
Учреждения:
- Институт элементоорганических соединений им. А.Н. Несмеянова РАН
- Московский физико-технический институт
- Выпуск: Том 49, № 2 (2023)
- Страницы: 67-72
- Раздел: Статьи
- URL: https://journal-vniispk.ru/0132-344X/article/view/137255
- DOI: https://doi.org/10.31857/S0132344X22700153
- EDN: https://elibrary.ru/BNZPDR
- ID: 137255
Цитировать
Полный текст
Аннотация
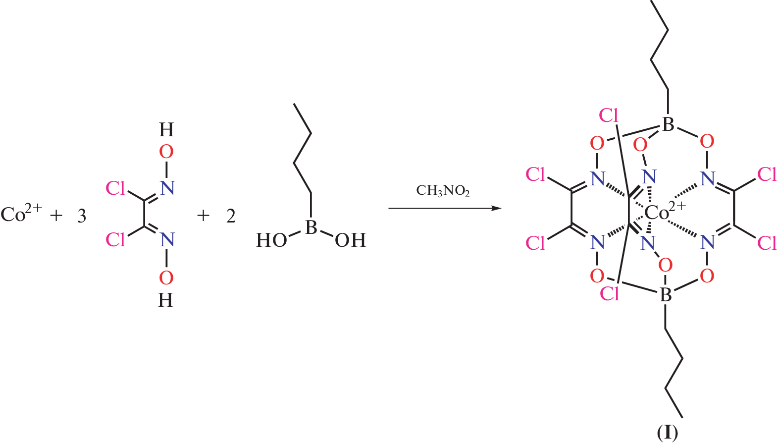
При помощи спектроскопии УФ-вид. продемонстрирована возможность получения тонких пленок клеточного комплекса (клатрохелата) кобальта(II), претерпевающего температурно-индуцированный спиновый переход, методом термической возгонки, которые отличаются более высокой однородностью и термической стабильностью по сравнению с пленками, сформированными при помощи центрифугирования соответствующего раствора на поверхности подложки. В сочетании с данными сканирующей электронной микроскопии это позволило обнаружить зависимость температуры спинового перехода от способа получения пленок, а супрамолекулярной организации в этих пленках – от материала используемой подложки, что указывает на проявление клатрохелатами переходных металлов “эффекта спинтерфейса” на границе с металлическим электродом. Вместе с возможностью управления магнитными свойствами данного уникального класса координационных соединений методами молекулярного дизайна наличие такого эффекта открывает широкие возможности для создания на их основе устройств молекулярной спинтроники с настраиваемыми под нужды исследователя характеристиками.
Об авторах
И. С. Злобин
Институт элементоорганических соединений им. А.Н. Несмеянова РАН; Московский физико-технический институт
Email: unelya@ineos.ac.ru
Россия, Москва; Россия, Московская область, Долгопрудный,
Р. Р. Айсин
Институт элементоорганических соединений им. А.Н. Несмеянова РАН; Московский физико-технический институт
Email: unelya@ineos.ac.ru
Россия, Москва; Россия, Московская область, Долгопрудный,
А. Н. Синельников
Институт элементоорганических соединений им. А.Н. Несмеянова РАН; Московский физико-технический институт
Email: unelya@ineos.ac.ru
Россия, Москва; Россия, Московская область, Долгопрудный,
В. В. Новиков
Институт элементоорганических соединений им. А.Н. Несмеянова РАН; Московский физико-технический институт
Email: unelya@ineos.ac.ru
Россия, Москва; Россия, Московская область, Долгопрудный,
Ю. В. Нелюбина
Институт элементоорганических соединений им. А.Н. Несмеянова РАН; Московский физико-технический институт
Автор, ответственный за переписку.
Email: unelya@ineos.ac.ru
Россия, Москва; Россия, Московская область, Долгопрудный,
Список литературы
- Baibich M.N., Broto J.M., Fert A. et al. // Phys. Rev. Lett. 1988. V. 61. № 21. P. 2472.
- Binasch G., Grünberg P., Saurenbach F. et al. // Phys. Rev. B. 1989. V. 39. № 7. P. 4828.
- Žutić I., Fabian J., Das Sarma S. // Rev. Mod. Phys. 2004. V. 76. № 2. P. 323.
- Wolf S.A., Chtchelkanova A.Y., Treger D.M. // IBM J. Res. Dev. 2006. V. 50. № 1. P. 101.
- Wolf S.A., Awschalom D.D., Buhrman R.A. et al. // Science. 2001. V. 294. № 5546. P. 1488.
- Ney A., Pampuch C., Koch R. et al. // Nature. 2003. V. 425. № 6957. P. 485.
- Dery H., Dalal P., Cywiński Ł., Sham L.J. // Nature. 2007. V. 447. № 7144. P. 573.
- Burkard G., Engel H.A., Loss D. // Fortschr. Phys. 2000. V. 48. № 9–11. P. 965.
- Clemente-Juan J.M., Coronado E., Gaita-Ariñoa A. // Chem. Soc. Rev. 2012. V. 41. № 22. P. 7464.
- Kim Y., Yun J.G., Park S.H. et al. // IEEE Trans. Electron Devices. 2012. V. 59. № 1. P. 35.
- Khvalkovskiy A.V., Apalkov D., Watts S. et al. // J. Phys. D. 2013. V. 46. № 13. P. 074001.
- Rizzo N.D., Houssameddine D., Janesky J. et al. // IEEE Trans. Magn. 2013. V. 49. № 7. P. 4441.
- Bhatti S., Sbiaa R., Hirohata A. et al. // Mater. Today. 2017. V. 20. № 9. P. 530.
- Sanvito S. // Chem. Soc. Rev. 2011. V. 40. № 6. P. 3336.
- Naber W.J.M., Faez S., van der Wiel W.G. // J. Phys. D. 2007. V. 40. № 12. P. 205.
- Devkota J., Geng R., Subedi R.C., Nguyen T.D. // Adv. Funct. Mater. 2016. V. 26. № 22. P. 3881.
- Real J.A., Gaspar A.B., Carmen Muñoz M. // Dalton Trans. 2005. № 12. P. 2062.
- Prieto-Ruiz J.P., Miralles S.G., Prima-García H. et al. // Adv. Mater. 2019. V. 31. № 10. P. 1806817.
- Coronado E. // Nat. Rev. Maters. 2020. V. 5. № 2. P. 87.
- Dediu, V., Murgia, M., Matacotta F.C. et al. // Solid State Commun. 2002. V. 122. № 3–4. P. 181.
- Xiong Z.H., Wu D., Valy Vardeny Z., Shi J. // Nature. 2004. V. 427. № 6977. P. 821.
- Bogani L., Wernsdorfer W. // Nanosci. Technol. 2009. P. 194.
- Cinchetti M., Dediu V.A., Hueso L.E. // Nat. Mater. 2017. V. 16. № 5. P. 507.
- Forment-Aliaga A., Coronado E. // Chem. Rec. 2018. V. 18. № 7. P. 737.
- Delprat S., Galbiati M., Tatay S. et al. // J. Phys. D. 2018. V. 51. № 47.
- Bayliss S.L., Laorenza D.W., Mintun P.J. et al. // Science. 2020. V. 370. № 6522. P. 1309.
- Sanvito S. // Nature Phys. 2010. V. 6. № 8. P. 562.
- Galb M., Tatay S., Barraud C. et al. // MRS Bull. 2014. V. 39. № 7. P. 602.
- Bergenti I., Dediu V. // Nano Mater. Sci. 2019. V. 1. № 3. P. 149.
- Yamada R., Noguchi M., Tada H. // Appl. Phys. Lett. 2011. V. 98. № 5. P. 053110.
- Lefter C., Davesne V., Salmon L. et al. // Magnetochemistry. 2016. V. 2. № 1. P. 18.
- Senthil Kumar K., Ruben M. // Coord. Chem. Rev. 2017. V. 346. P. 176.
- Christou G., Gatteschi D., Hendrickson D.N. et al. // MRS Bull. 2000. V. 25. № 11. P. 66.
- Candini A., Klyatskaya S., Ruben M. et al. // Nano Lett. 2011. V. 11. № 7. P. 2634.
- Urdampilleta M., Nguyen N.V., Cleuziou J.P. et al. // Int. J. Mol. Sci. 2011. V. 12. № 10. P. 6656.
- Aravena D., Ruiz E. // J. Am. Chem. Soc. 2012. V. 134. № 2. P. 777.
- Baadji N., Sanvito S. // Phys. Rev. Lett. 2012. V. 108. № 21. P. 217201.
- Ding S., Tian Y., Hu W. // Nano Res. 2021. V. 14. № 11. P. 3653.
- Kipgen L., Bernien M., Tuczek F., Kuch W. // Adv. Mater. 2021. V. 33. № 24. P. 2008141.
- Wang K., Yang Q., Duan J. et al. // Adv. Mater. Interfaces. 2019. V. 6. № 19. P. 1.
- Bedoya-Pinto A., Miralles S.G., Vélez S. et al. // Adv. Funct. Mater. 2018. V. 28. № 16. P. 1.
- Long G.J., Grandjean F., Reger D.L. // Spin Crossover in Pyrazolylborate and Pyrazolylmethane Complexes. Berlin, Heidelberg: Springer, 2004. P. 91.
- Naggert H., Bannwarth A., Chemnitz S. et al. // Dalton Trans. 2011. V. 40. № 24. P. 6364.
- Mahfoud T., Molnár G., Cobo S. et al. // Appl. Phys. Lett. 2011. V. 99. № 5. P. 053307.
- Voloshin Y.Z., Kostromina N.A., Krämer R.K. Clathrochelates: Synthesis, Structure and Properties. Elsevier Lt., 2002.
- Novikov V.V., Ananyev I.V., Pavlov A.A. et al. // J. Phys. Chem. Lett. 2014. V. 5. № 3. P. 496.
- Novikov V.V., Pavlov A.A., Nelyubina Y.V. et al. // J. Am. Chem. Soc. 2015. V. 137. № 31. P. 9792.
- Nehrkorn J., Veber S.L., Zhukas L.A. et al. // Inorg. Chem. 2018. V. 57. № 24. P. 15330.
- Aleshin D.Y., Pavlov A.A., Belova S.A. et al. // Russ. J. Inorg. Chem. 2019. V. 64. № 12. P. 1532.
- Pavlov A.A., Nelyubina Y.V., Kats S.V. et al. // J. Phys. Chem. Lett. 2016. V. 7. № 20. P. 4111.
- Voloshin Y.Z., Belov A.S., Vologzhanina A.V. et al. // Dalton Trans. 2012. V. 41. № 20. P. 6078.
- Voloshin Y.Z., Varzatskii O.A., Novikov V.V. et al. // Eur. J. Inorg. Chem. 2010. V. 2010. № 34. P. 5401.
- Aisin R.R., Belov A.S., Belova S.A. et al. // Russ. J. Coord. Chem. 2021. V. 47. № 1. P. 52.
- Molnár G., Rat S., Salmon L. et al. // Adv. Mater. 2018. V. 30. № 5. P. 1703862.
- Halcrow M.A. // Chem. Lett. 2014. V. 43. № 8. P. 1178.
- Bousseksou A., Molnár G. // Compt. Rend. Chim. 2003. V. 6. № 8. P. 1175.
Дополнительные файлы







