Cobalt(II) and Copper(II) Complexes with New Ditopic Ligand 5-(2-(1H-Tetrazol-1-yl)phenyl)-1H-tetrazole: Synthesis and Properties
- Authors: Lavrenova L.G.1, Grigor’ev E.Y.2, Komarov V.Y.1, Glinskaya L.A.1, Lavrov A.N.1,3, Grigor’ev Y.V.2
-
Affiliations:
- Nikolaev Institute of Inorganic Chemistry, Siberian Branch, Russian Academy of Sciences, Novosibirsk, Russia
- Institute of Physicochemical Problems, Belarussian State University, Minsk, Belarus
- Novosibirsk National Research State University, Novosibirsk, Russia
- Issue: Vol 49, No 2 (2023)
- Pages: 111-121
- Section: Articles
- URL: https://journal-vniispk.ru/0132-344X/article/view/137262
- DOI: https://doi.org/10.31857/S0132344X2260028X
- EDN: https://elibrary.ru/BNQVZK
- ID: 137262
Cite item
Full Text
Abstract
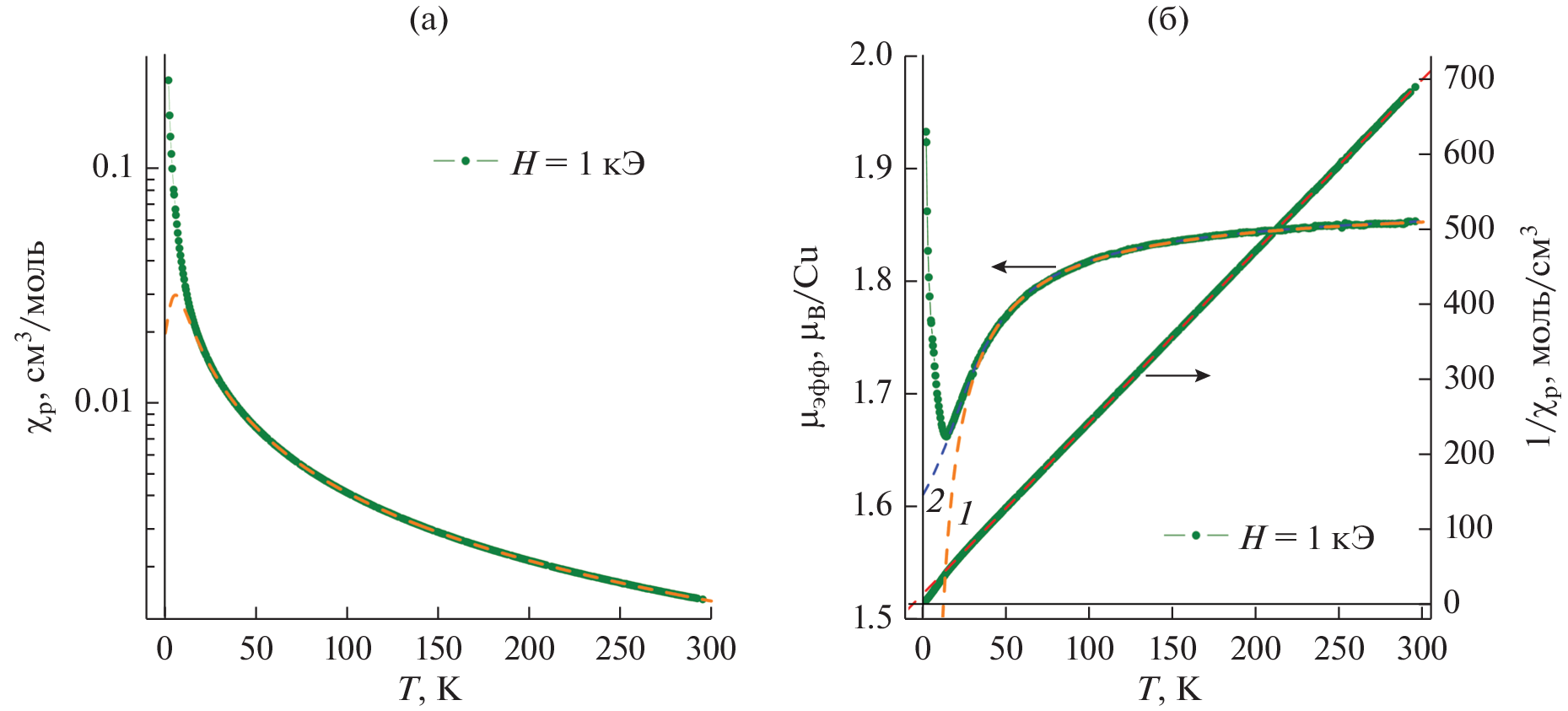
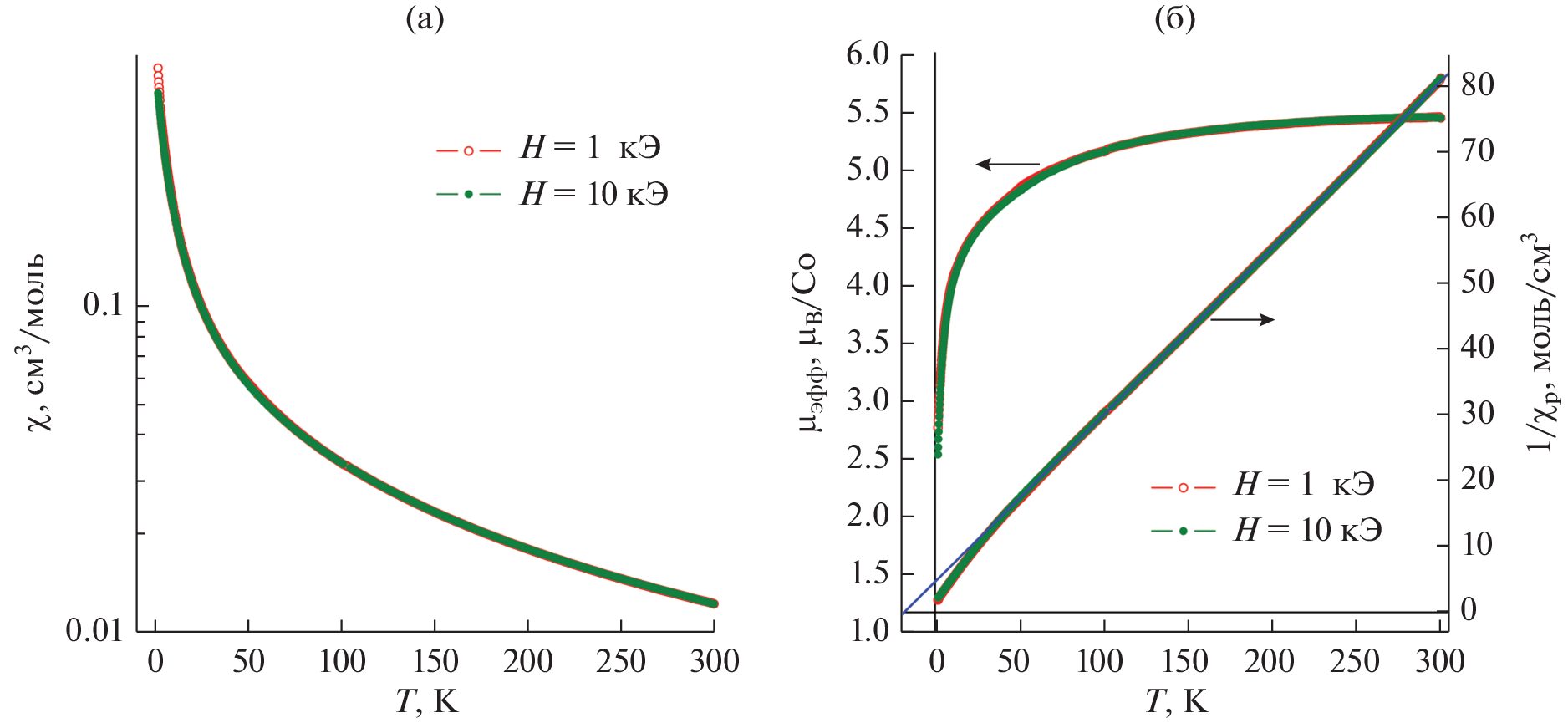
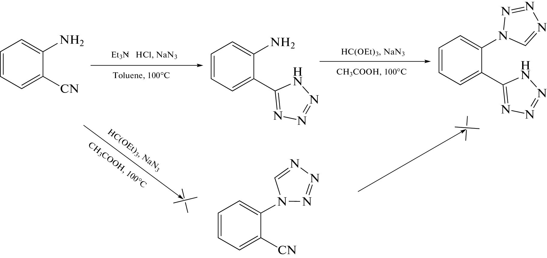
A procedure for the synthesis of the new ditopic ligand combining in the structure 1- and 5-substituted tetrazolyl cycles, 5-(2-(1H-tetrazol-1-yl)phenyl)-1H-tetrazole (HL), is developed. The coordination compounds of Co(II) and Cu(II) halides [Co(HL)2Cl2], [Cu(HL)2Cl2], [Cu(HL)2Br2], and [CuL2(H2O)]n based on ligand HL are synthesized. The complexes are studied by elemental analysis, diffuse reflectance spectroscopy, IR spectroscopy, X-ray diffraction (XRD), and static magnetic susceptibility. The crystal structure of the molecular coordination polymer [CuL2(H2O)]n is determined by XRD (CIF file CCDC no. 2127210). The temperature and field dependences of the magnetization show that the magnetic properties of the synthesized Cu(II) complexes are due to exchange interactions in one-dimensional chains of the copper ions (S = 1/2). For complex [Cu(HL)2Br2], the parameters are shifted toward the enhancement of the antiferromagnetic interaction compared to the analog containing the chloride ion.
About the authors
L. G. Lavrenova
Nikolaev Institute of Inorganic Chemistry, Siberian Branch, Russian Academy of Sciences, Novosibirsk, Russia
Email: ludm@niic.nsc.ru
Россия, Новосибирск
E. Yu. Grigor’ev
Institute of Physicochemical Problems, Belarussian State University, Minsk, Belarus
Email: ludm@niic.nsc.ru
Беларусь, Минск
V. Yu. Komarov
Nikolaev Institute of Inorganic Chemistry, Siberian Branch, Russian Academy of Sciences, Novosibirsk, Russia
Email: ludm@niic.nsc.ru
Россия, Новосибирск
L. A. Glinskaya
Nikolaev Institute of Inorganic Chemistry, Siberian Branch, Russian Academy of Sciences, Novosibirsk, Russia
Email: ludm@niic.nsc.ru
Россия, Новосибирск
A. N. Lavrov
Nikolaev Institute of Inorganic Chemistry, Siberian Branch, Russian Academy of Sciences, Novosibirsk, Russia; Novosibirsk National Research State University, Novosibirsk, Russia
Email: ludm@niic.nsc.ru
Россия, Новосибирск; Россия, Новосибирск
Yu. V. Grigor’ev
Institute of Physicochemical Problems, Belarussian State University, Minsk, Belarus
Author for correspondence.
Email: ludm@niic.nsc.ru
Беларусь, Минск
References
- Yang G.W., Zhang Y.T., Wu Q. et al. // Inorg. Chim. Acta. 2016. V. 450. P. 364.
- Wright P.J., Kolanowski J.L., Filipek W.K. et al. // Eur. J. Inorg. Chem. 2017. P. 5260.
- Kaleeswaran P., Azath I.A., Tharmaraj V. et al. // ChemPlusChem. 2014. V. 79. P. 1361.
- Xing G., Zhang Y., Cao X. // J. Mol. Struct. 2017. V. 1146. P. 793.
- Nasani R., Saha M., Mobin S.M. et al. // Dalton Trans. 2014. V. 43. P. 9944.
- Wang F., Zhang J., Yu R. et al. // CrystEngComm. 2010. V. 12. P. 671.
- Tao P., Zhang Y., Wang J. et al. // J. Mater. Chem. C. 2017. V. 5. P. 9306.
- Umamahesh B., Karthikeyan N.S., Sathiyanarayanan K.I. et al. // J. Mater. Chem. C. 2016. V. 4. P. 10053.
- Colombo A., Dragonetti C., Magni M. et al. // Dalton Trans. 2015. V. 44. P. 11788.
- Xu R.-J., Fu D.-W., Dai J. et al. // Inorg. Chem. Commun. 2011. V. 14. P. 1093.
- Гапоник П.Н., Войтехович С.В., Ивашкевич О.А. // Успехи химии. 2006. Т. 75. № 6. С. 569 (Gaponik P.N., Voitekhovich S.V., Ivashkevich O.A. // Russ. Chem. Rev. 2006. V. 75. № 6. P. 507). https://doi.org/10.1070/RC2006v075n06ABEH003601
- Zhao H., Qu Z.-R., Ye H.-Y. et al. // Chem Soc. Rev. 2008. V. 37. P. 84.
- Ouellette W., Jones S., Zubieta J. // CrystEngComm. 2011. V. 13. P. 4457.
- Kang X.-M., Tang M.-H., Yang G.-L. et al. // Coord. Chem. Rev. 2020. V. 422. P. 213424.
- Chi Y., Tong B., Chou P.-T. // Coord. Chem. Rev. 2014. V. 281. P. 1.
- Massi M., Stagni S., Ogden M.I. // Coord. Chem. Rev. 2017. V. 375. P. 164.
- Шакирова О.Г., Лавренова Л.Г., Куратьева Н.В. и др. // Журн. структур. химии. 2017. Т. 58. № 5. С. 958 (Shakirova O.G., Lavrenova L.G., Kuratieva N.V. et al. // J. Struct. Chem. 2017. V. 58. № 5. P. 919). https://doi.org/10.1134/S0022476617050092
- Grigorieva I.M., Serebryanskaya T.V., Grigoriev Y.V. et al. // Polyhedron. 2018. V. 151. P. 74.
- Voitekhovich S.V., Grigoriev Yu.V., Lyakhov A.S. et al. // Polyhedron. 2020. V. 176. P. 114299.
- Ivanova A.D., Grigoriev Yu.V., Komarov V.Yu. et al. // Polyhedron. 2020. V. 189. P. 114750.
- Ivanova A.D., Grigoriev Yu.V., Komarov V.Yu. et al. // Inorg. Chim. Acta. 2021. V. 524. P. 120452.
- Voitekhovich S.V., Grigoriev Yu.V., Lyakhov A.S. et al. // Polyhedron. 2021. V. 194. P. 114907.
- Bruker APEX3 Software Suite (APEX3 v.2019.1-0, SADABS v.2016/2, SAINT v.8.40a), Madison (WI, USA): Bruker Nonius (2003–2004), Bruker AXS (2005–2018), Bruker Nano (2019).
- Sheldrick G.M. // Acta Crystallogr. A. 2015. V. 71. P. 3.
- Sheldrick G.M. // Acta Crystallogr. C. 2015. V. 71. P. 3.
- Dolomanov O.V., Bourhis L.J., Gildea R.J. et al. // J. Ap-pl. Crystallogr. 2009. V. 42. P. 339.
- Butler R.N. // Comprehensive Heterocyclic Chemistry / Eds. Katritzky A.R., Rees C.W. Oxford.: Pergamon Press, 1984. V. 5. P. 791.
- Gaponik P.N., Karavai V.P., Grigoriev Yu.V. // Chem. Heterocycl. Compd. 1985. V. 21. № 11. P. 1255.
- Григорьев Ю.В., Войтехович С.В., Каравай В.П. и др. // Химия гетероцикл. соед. 2017. Т. 53. № 6–7. С. 670 (Grigoriev Yu.V., Voitekhovich S.V., Karavai V.P. et al. // Chem. Heterocycl. Compd. 2017. V. 53. № 6–7. P. 670). https://doi.org/10.1007/s10593-017-2108-7
- Boča R. // Coord. Chem. Rev. 2004. V. 248. P. 757.
- Bonner J.C., Fisher M.E. // Phys. Rev. 1964. V. 135. P. A640.
Supplementary files











