Binuclear Vanadium(V) Complex with the Ligand Based on Isonicotinic Acid Hydrazide and 1-Phenyl-1,3-Butanedione: Synthesis and Crystal Structure
- Авторлар: Bourosh P.1, Cocu M.2, Danilescu O.2, Bulhac I.2
-
Мекемелер:
- Institute of Applied Physics, MSU, Chisinau, Republic of Moldova
- Institute of Chemistry, MSU, Chisinau, Republic of Moldova
- Шығарылым: Том 49, № 4 (2023)
- Беттер: 195-204
- Бөлім: Articles
- URL: https://journal-vniispk.ru/0132-344X/article/view/137268
- DOI: https://doi.org/10.31857/S0132344X23700196
- EDN: https://elibrary.ru/CUMNFL
- ID: 137268
Дәйексөз келтіру
Толық мәтін
Аннотация
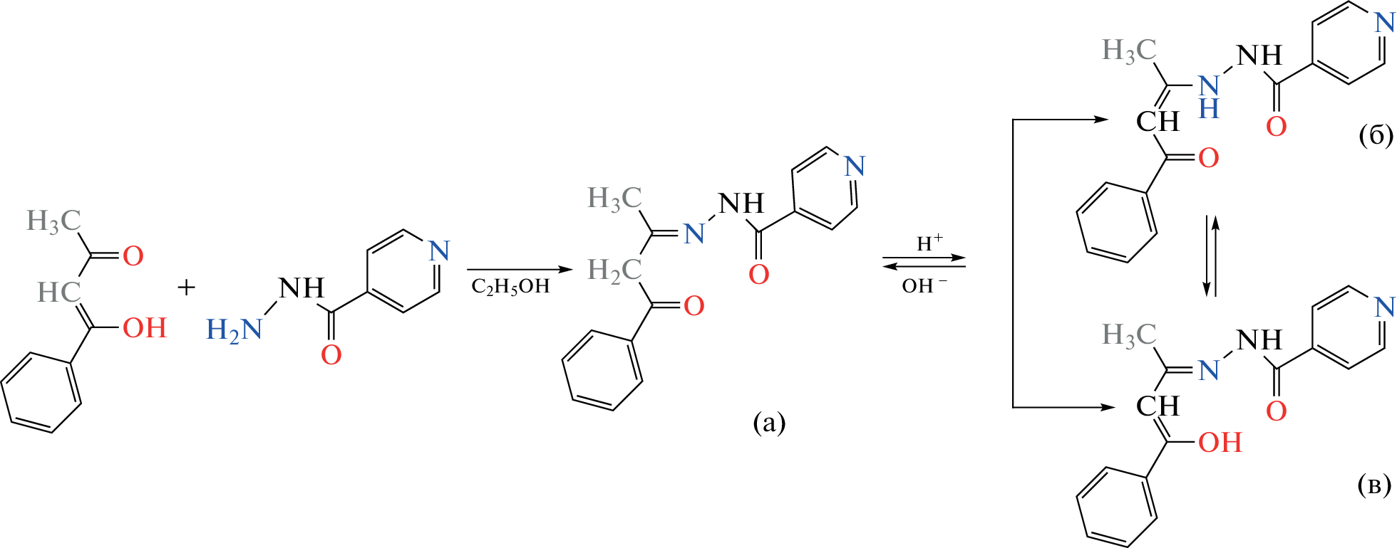
A new molecular binuclear vanadium(V) complex [VO(L)(OCH3)]2 (I) is synthesized in which ligand H2L is prepared by the reaction of isonicotinic acid hydrazide (INAH, isoniazide) with 1-phenyl-1,3-butanedione. Ligand H2L and complex I are studied by elemental analysis, IR spectroscopy, mass spectrometry, and X-ray diffraction (XRD) (CIF files CCDC nos. 2172124 and 2172125, respectively). The composition and structure of the ligand in the free state is additionally studied by NMR spectroscopy. The bideprotonated organic ligand L2– coordinates to the metal atom via the tridentate mode through a set of donor atoms ONO to form two conjugated metallocycles. Different tautomeric forms are stabilized in H2L and in the corresponding coordinated ligand.
Негізгі сөздер
Авторлар туралы
P. Bourosh
Institute of Applied Physics, MSU, Chisinau, Republic of Moldova
Email: pavlina.bourosh@ifa.md
Республикa Молдова, Кишинев
M. Cocu
Institute of Chemistry, MSU, Chisinau, Republic of Moldova
Email: pavlina.bourosh@ifa.md
Республика Молдова, Кишинев
O. Danilescu
Institute of Chemistry, MSU, Chisinau, Republic of Moldova
Email: pavlina.bourosh@ifa.md
Республика Молдова, Кишинев
I. Bulhac
Institute of Chemistry, MSU, Chisinau, Republic of Moldova
Хат алмасуға жауапты Автор.
Email: pavlina.bourosh@ifa.md
Республика Молдова, Кишинев
Әдебиет тізімі
- Gad S.C., Pham T. // Encyclopedia of Toxicology. Acad. Press, 2014. P. 909.
- Krakowiak J., Lundberg D., Persson I. // Inorg. Chem. 2012. V. 51. № 18. P. 9598.
- Rehder D. // Angew. Chem. Int. Ed. 1991. V. 30. P. 148.
- Allen F.H. // Acta Crystallogr. B. 2002. V. 58. P. 380.
- Nandy M., Shit S., Rizzoli C. et al. // Polyhedron. 2015. V. 88. P. 63.
- Monfared H.H., Kheirabadi S., Lalami N.A., Mayer P. // Polyhedron. 2011. V. 30. P. 1375.
- Monfared H.H., Farrokhi A., Alavi S., Mayer P. // Transition Met. Chem. 2013. V. 38. P. 267.
- Yadav S., Yousuf I., Usman M. et al. // RSC Advances. 2015. V. 5. P. 50673.
- Hosseini-Monfared H., Bikas R., Sanchiz J. et al. // Polyhedron. 2013. V. 61. P. 45.
- Боурош П., Булхак И., Мырзак А. и др. // Коорд. химия. 2016. Т. 42. № 3. С. 137 (Bourosh P., Bulhac I., Mirzac A. et al. // Russ. J. Coord. Chem. 2016. V. 42. № 3. P. 157). https://doi.org/10.1134/S1070328416030015
- Croitor L., Cocu M., Bulhac I. et al. // Polyhedron. 2021. V. 206. P. 115329.
- Данилеску О., Булхак И., Шова С. и др. // Коорд. химия. 2020. Т. 46. № 12. С. 758 (Danilescu O., Bulhac I., Shova S. et al. // Russ. J. Coord. Chem. 2020. V. 46. № 12. P. 838). http://doi.org./10.1134/S1070328420090018
- Cocu M., Bulhac I., Coropceanu E. и дp. // J. Molec. Struct. 2014. V. 1063. P. 274.
- Rotaru M., Cocu M. // Acta et Comment. seria Științe Exacte și ale Naturii. 2017. № 1(3). P. 136.
- Sheldrick G.M. // Acta Crystallogr. A. 2008. 64. № 1. P. 112.
- Тарасевич Б.Н. ИК спектры основных классов органических соединений. Справочные материалы. М., 2012. 54 с.
- Hernández-Molina R., Mederos A. // Comprehensive Coordination Chemistry, II. 2003. P. 411. https://doi.org/10.1016/B0-08-043748-6/01070-7
- Беллами Л. Инфракрасные спектры сложных молекул. М.: ИЛ, 1963. 590 с.
- Казицына Л.А., Куплетская Н.Б. Применение УФ-, ИК- и ЯМР-спектроскопии в органической химии. М.: Высш. школа, 1971. 264 с.
- Наканиси К. Инфракрасные спектры и строение органических соединений. Практическое руководство. М.: Мир, 1965. 216 с.
- Adams D.M. Metal-Ligand and Related Vibrations: A Critical Survey of the Infrared and Raman Spectra of Metallic and Organometallic Compounds. Ltd. London, 1967. 379 p.
- Bikas R., Anarjan P.M., Aslekhademi S. et al. // Acta Crystallogr. E. 2012. V. 68. P. o412.
- Kolawole G.A., Osowole A.A. // J. Coord. Chem. 2009. V. 62. № 9. P. 1437.
- Monfared H.H., Kheirabadi S., Lalami N.A., Mayer P. // Polyhedron. 2011. V. 30. P. 1375.
- Накамото K. ИК спектры и спектры неорганических и координационных соединений. М.: Мир, 1991. 536 с.
- Кокшарова Т.В. // Вісник ОНУ. Хімія. 2014. Т. 19. В. 2. № 50. С. 27.
- Bovey F.A. Nuclear Magnetic Resonance Spectroscopy, Acad. Press Inc., 1988. P. 461.
Қосымша файлдар







