Specific Features of the Oxidative Addition of Triarylantimony to Dihydroxybenzoic Acids
- Authors: Sharutin V.V.1, Sharutina O.K.1, Belov V.V.1
-
Affiliations:
- South Ural State University (National Research University), Chelyabinsk, Russia
- Issue: Vol 49, No 3 (2023)
- Pages: 183-192
- Section: Articles
- URL: https://journal-vniispk.ru/0132-344X/article/view/137278
- DOI: https://doi.org/10.31857/S0132344X22700116
- EDN: https://elibrary.ru/BNTAKB
- ID: 137278
Cite item
Full Text
Abstract
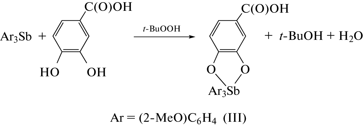
Tris(2-methoxyphenyl)antimony and tris(3-fluorophenyl)antimony react with 2,3-dihydroxybenzoic and 3,4-dihydroxybenzoic acids in the presence of tert-butyl hydroperoxide to form carboxycatecholato-О,О'-triarylantimony. Under similar conditions, tris(4-fluorophenyl)antimony reacts with 2,3-dihydroxybenzoic acid to form tris(4-fluorophenyl)antimony dicarboxylate. Structural features of the reaction products are determined by X-ray diffraction (XRD) (CIF files CCDC nos. 2126358 (I), 2124252 (II·H2O·Et2O), 2121839 (III·0.5С6Н6), and 2131083 (IV·2.5С6Н6).
About the authors
V. V. Sharutin
South Ural State University (National Research University), Chelyabinsk, Russia
Email: sharutin50@mail.ru
Россия, Челябинск
O. K. Sharutina
South Ural State University (National Research University), Chelyabinsk, Russia
Email: sharutin50@mail.ru
Россия, Челябинск
V. V. Belov
South Ural State University (National Research University), Chelyabinsk, Russia
Author for correspondence.
Email: sharutin50@mail.ru
Россия, Челябинск
References
- Ladilina E.Yu., Semenov V.V., Fukin G.K. et al. // J. Organometal. Chem. 2007. V. 692. P. 5701. https://doi.org/10.1016/j.jorganchem.2007.09.019
- Шарутин В.В., Шарутина О.К., Ефремов А.Н. // Журн. коорд. химии. 2017. Т. 43. № 9. С. 521 (Sharutin V.V., Sharutina O.K., Efremov A.N. // Russ. J. Coord. Chem. 2017. V. 43. № 9. P. 565). https://doi.org/10.7868/S0132344X17090092
- Шарутин В.В., Шарутина О.К., Ефремов А.Н. // Журн. неорган. химии. 2018. Т. 63. № 3. С. 327 (Sharutin V.V., Sharutina O.K., Efremov A.N. // Russ. J. Inorg. Chem. 2018. V. 63. № 3. P. 343). https://doi.org/10.1134/S0036023618030208
- Додонов В.А., Гущин А.В., Горькаев Д.А. и др. // Изв. АН. Сер. хим. 2002. № 6. С. 965 (Dodonov V.A., Gushchin A.V., Gorkaev D.A. et al. // Russ. Chem. Bull. 2002. № 6. P. 1051). https://doi.org/10.1023/A:1019634307064
- Шарутин В.В., Шарутина О.К., Ефремов А.Н. // Коорд. химия. 2017. Т. 43. № 8. С. 496 (Sharutin V.V., Sharutina O.K., Efremov A.N. // Russ. J. Coord. Chem. 2017. V. 43. № 8. P. 526). https://doi.org/10.1134/S1070328417080073
- Thepe T.C., Garascia R.I., Selvoski M.A. et al. // Ohio J. Sci. 1977. V. 77. № 3. P. 134.
- Гущин А.В., Шашкин Д.В., Пруткова Л.К. и др. // Журн. общ. химии. 2012. Т. 81. № 3. С. 397 (Gushchin A.V., Shashkin D.V., Prytkova L.K. et al. // Russ. J. Gen. Chem. 2011. V. 81. № 3. P. 493). https://doi.org/10.1134/S107036321103008X
- Малеева А.И., Гущин А.В., Калистратова О.С. и др. // Вестник ЮурГУ. Сер. Химия. 2019. Т. 11. № 3. С. 66. https://doi.org/10.14529/chem190308
- Duffin R.N., Blair V.L., Kedzierski L. et al. // Dalton Trans. 2018. V. 47. № 3. P. 971. https://doi.org/10.1039/C7DT04171C
- Шарутин В.В., Шарутина О.К., Сенчурин В.С. и др. // Журн. неорган. химии. 2018. Т. 63. № 7. С. 823 (Sharutin V.V., Sharutina O.K., Senchurin V.S. et al. // Russ. J. Inorg. Chem. 2018. V. 63. № 7. P. 867). https://doi.org/10.1134/S0036023618070185
- Шарутин В.В., Шарутина О.К., Сенчурин В.С. и др. // Вестник ЮУрГУ. Сер. Химия. 2017. Т. 9. № 3. С. 71). https://doi.org/10.14529/chem170309
- Додонов В.А., Забурдяева С.Н., Додонов В.А. и др. // Металлоорган. хим. 1989. Т. 2. № 6. С. 1296.
- Додонов В.А., Федоров А.Ю., Усятинский Р.И. и др. // Изв. АН. Сер. хим. 1995. № 4. С. 748 (Dodonov V.A., Fedorov A.Yu., Usyatinsky R.I. et al. // Russ. Chem. Bull. 1995. № 4. P. 730). https://doi.org/10.1007/BF00698512
- Шарутин В.В., Шарутина О.К., Сенчурин В.С. // Журн. неорган. химии. 2014. Т. 59. № 9. С. 1178 (Sharutin V.V., Sharutina O.K., Senchurin V.S. // Russ. J. Inorg. Chem. 2014. V. 59. № 9. P. 947). https://doi.org/10.1134/S0036023614090162
- Шарутин В.В., Молокова О.В., Шарутина О.К. и др. // Журн. общ. химии. 2009. Т. 79. № 8. С. 1297 (Sharutin V.V., Molokova O.V., Sharutina O.K. et al. // Russ. J. Gen. Chem. 2009. V. 79. № 8. P. 1656). https://doi.org/10.1134/S107036320908012X
- Astaf’eva T.V., Rumyantcev R.V., Arsenyev M.V. et al. // J. Organomet. Chem. 2022. V. 958. P. 122190. https://doi.org/10.1016/j.jorganchem.2021.122190
- Шарутин В.В., Шарутина О.К., Губанова Ю.О. и др. // Журн. общ. химии. 2020. Т. 90. № 1. С. 136 (Sharutin V.V., Sharutina O.K., Gubanova Y.O. et al. // Russ. J. Gen. Chem. 2020. V. 90. № 1. P. 105). https://doi.org/10.1134/S1070363220010168
- Sharutin V.V., Sharutina O.K., Gubanova Y.O. et al. // Mendeleev Commun. 2020. V. 30. № 6. P. 97. https://doi.org/10.1016/j.mencom.2020.01.032
- Kочешков K.A., Сколдинов A.P., Землянский Н.Н. Методы элементоорганической химии. Сурьма, висмут. М.: Наука, 1976.
- Sharutin V.V., Sharutina O.K., Efremov A.N., Adonin S.A. // Mendeleev. Commun. 2022. V. 32. № 1. P. 109. https://doi.10.1 016/j.mencom.2022.01.035
- SMART and SAINT-Plus. Versions 5.0. Data Collection and Processing Software for the SMART System. Madison (WI, USA): Bruker AXS Inc., 1998.
- SHELXTL/PC. Versions 5.10. An Integrated System for Solving, Refining and Displaying Crystal Structures from Diffraction Data. Madison (WI, USA): Bruker AXS Inc., 1998.
- Dolomanov O.V., Bourhis L.J., Gildea R.J. et al. // J. A-ppl. Cryst. 2009. V. 42. P. 339. https://doi.org/10.1107/S0021889808042726
- Cambridge Crystallographic Data Center. 2021. http://www.ccdc.cam.ac.uk
- Тарасевич Б.Н. ИК спектры основных классов органических соединений. М.: МГУ, 2012. 55 с.
- Васильев А.В., Гриненко Е.В., Щукин А.О., Федулина Т.Г. Инфракрасная спектроскопия органических и природных соединений. СПб.: СПбГЛТА, 2007. 54 с.
- Cherkasov V.K., Grunova E.V., Poddel’sky A.I. et al. // J. Organomet. Chem. 2005. V. 690. 5. P. 1273. https://doi.org/10.1016/j.jorganchem.2004.11.049
- Cherkasov V.K., Abakumov G.A., Grunova E.V. et al. // Chem. Eur. J. 2006. V. 12. P. 3916. https://doi.org/10.1002/chem.200501534
- Poddel’sky A.I., Somov N.V., Druzhkov N.O. et al. // J. Organomet. Chem. 2011. V. 696. № 2. P. 517. https://doi.org/10.1016/j.jorganchem.2010.09.008
- Poddel’sky A.I., Smolyaninov I.V., Fukin G.K. et al. // J. Organomet. Chem. 2016. V. 824. № 1. P. 1. https://doi.org/10.1016/j.jorganchem.2016.09.021
- Poddel’sky A.I., Smolyaninov I.V., Fukin G.K. et al. // J. Organomet. Chem. 2018. V. 867. № 15. P. 238. https://doi.org/10.1016/j.jorganchem.2017.12.006
- Hall M., Sowerby D.B. // J. Am. Chem. Soc. 1980. V. 102. № 2. P. 628. https://doi.org/10.1021/ja00522a031
- Poddel’sky A.I., Somov N.V., Kurskii Yu.A. et al. // J. Organomet. Chem. 2008. V. 693. № 21–22. P. 3451. https://doi.org/10.1016/j.jorganchem.2008.08.002
- Poddel’sky A.I., Arsenyev M.V., Astaf’eva T.V. // J. Organomet. Chem. 2017. V. 835. P. 17. https://doi.org/10.1016/j.jorganchem.2017.02.035
- Mantina M., Chamberlin A.C., Valero R. et al. // J. Phys. Chem. A. 2009. V. 113. № 19. P. 5806. https://doi.org/10.1021/jp8111556
- Ali M.I., Rauf M.K., Badshah A. et al. // Dalton Trans. 2013. V. 42. № 48. P. 16733. https://doi.org/10.1039/c3dt51382c
- Mushtaqa R., Raufa M.K., Bondb M. et al. // Appl. Organomet. Chem. 2016. V. 30. P. 465. https://doi.org/10.1002/aoc.3456
- Zhang X.J., Cui L.S., Zhang X. et al. // J. Mol. Struct. 2017. V. 1134. P. 742. https://doi.org/10.1016/j.molstruc.2017.01.039
- Qin W., Yasuike S., Kakusawa N. et al. // J. Organomet. Chem. 2008. V. 693. № 1. P. 109. https://doi.org/10.1016/j.jorganchem.2007.10.030
- Quan L., Yin H., Cui L. et al. // Acta Crystallogr. E. 2009. V. 65. № 6. P. m656. https://doi.org/10.1107/S1600536809017449
- Wen L., Yin H., Wang D. // Chin. J. Inorg. Chem. 2009. V. 25. P. 1470.
- Yu L., Ma Y.Q., Liu R.C. et al. // Polyhedron. 2004. V. 23. № 5. P. 823. https://doi.org/10.1016/j.poly.2003.12.002
Supplementary files








