Heteroleptic Metal-Organic Frameworks of Lanthanides (Lа, Ce, and Ho) Based on Ligands of the Anilate Type and Dicarboxylic Acids
- Авторлар: Trofimova O.Y.1, Maleeva A.V.1, Arsen’eva K.V.1, Klimashevskaya A.V.1, Cherkasov A.V.1, Piskunov A.V.1
-
Мекемелер:
- Razuvaev Institute of Organometallic Chemistry, Russian Academy of Sciences, Nizhny Novgorod, Russia
- Шығарылым: Том 49, № 5 (2023)
- Беттер: 278-289
- Бөлім: Articles
- URL: https://journal-vniispk.ru/0132-344X/article/view/137291
- DOI: https://doi.org/10.31857/S0132344X22600473
- EDN: https://elibrary.ru/POTLZC
- ID: 137291
Дәйексөз келтіру
Толық мәтін
Аннотация
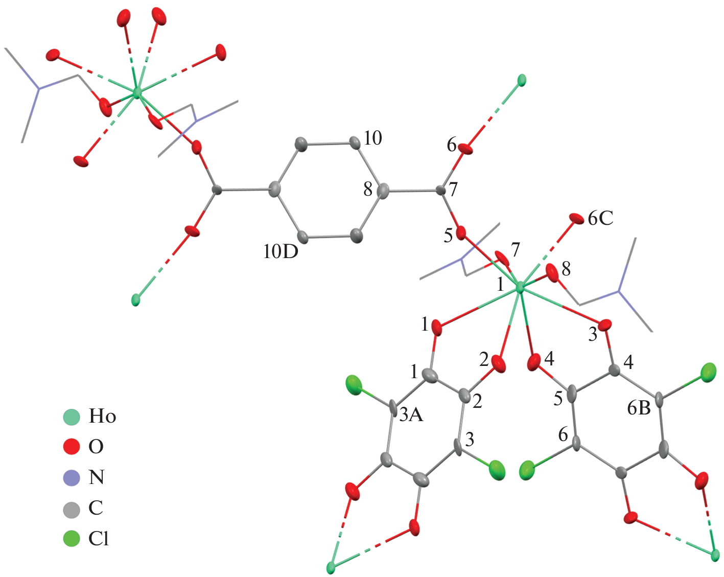
New heteroleptic metal-organic frameworks of lanthanides, units of which contain anionic organic ligands of two types, are prepared by the solvothermal synthesis in N,N-dimethylformamide (DMF). The cross-linked coordination polymer [Ho2(CA)2(Bdc)·4DMF] (I) and two scaffold derivatives [La2(pQ)2(Bpdc)·4DMF] (II) and [Ce2(CA)(Bdc)2·4DMF]·2DMF (III·2DMF), where CA is chloranilic acid dianion, pQ is 2,5-dihydroxy-3,6-di-tert-butyl-para-benzoquinone dianion, Bdc is terephthalic acid dianion, and Bpdc is 4,4'-biphenyldicarboxylic acid dianion, are synthesized. The structures of compounds I, II, and III·2DMF are studied by X-ray diffraction (XRD) (CIF file CCDC nos. 2212230, 2212231, and 2212232, respectively).
Негізгі сөздер
Авторлар туралы
O. Trofimova
Razuvaev Institute of Organometallic Chemistry, Russian Academy of Sciences, Nizhny Novgorod, Russia
Email: pial@iomc.ras.ru
Россия, Нижний Новгород
A. Maleeva
Razuvaev Institute of Organometallic Chemistry, Russian Academy of Sciences, Nizhny Novgorod, Russia
Email: pial@iomc.ras.ru
Россия, Нижний Новгород
K. Arsen’eva
Razuvaev Institute of Organometallic Chemistry, Russian Academy of Sciences, Nizhny Novgorod, Russia
Email: pial@iomc.ras.ru
Россия, Нижний Новгород
A. Klimashevskaya
Razuvaev Institute of Organometallic Chemistry, Russian Academy of Sciences, Nizhny Novgorod, Russia
Email: pial@iomc.ras.ru
Россия, Нижний Новгород
A. Cherkasov
Razuvaev Institute of Organometallic Chemistry, Russian Academy of Sciences, Nizhny Novgorod, Russia
Email: pial@iomc.ras.ru
Россия, Нижний Новгород
A. Piskunov
Razuvaev Institute of Organometallic Chemistry, Russian Academy of Sciences, Nizhny Novgorod, Russia
Хат алмасуға жауапты Автор.
Email: pial@iomc.ras.ru
Россия, Нижний Новгород
Әдебиет тізімі
- Коваленко К.А., Потапов А.С., Федин В.П. // Успехи химии. 2022. Т. 91. № 4. RCR5026 (Kovalenko K.A., Potapov A.S., Fedin V.P. // Russ. Chem. Rev. 2022. V. 91. RCR5026). https://doi.org/10.1070/RCR5026
- Агафонов М.А., Александров Е.В., Артюхова Н.А. и др. // Журн. структур. химии. 2022. Т. 63. № 5. С. 535. https://doi.org/10.26902/JSC_id93211
- Monni N., Oggianu M., Sahadevan S.A. et al. // Magnetochemistry. 2021. V. 7. P. 109.
- Benmansour S., Gómez-García C.J. // Magnetochemistry. 2020. V. 6. P. 71.
- Liu K.-G., Sharifzadeh Z., Rouhani F. et al. // Coord. Chem. Rev. 2021. V. 436. P. 213827.
- Wang C., Liao K. // ACS Appl. Mater. Interfaces. 2021. V. 13. P. 56752.
- Fasna F., Sasi S. // ChemSelect. 2021. V. 6. P. 6365.
- Антипин И.С., Алфимов М.В., Арсланов В.В. и др. // Успехи химии. 2021. Т. 90. № 8. С. 895 (Antipin I.S., Burilov V.A., Gorbatchuk V.V. et al. // Russ. Chem. Rev. 2021. V. 90. P. 895). https://doi.org/10.1070/RCR5011
- Kitagawa S., Matsuda R. // Coord. Chem. Rev. 2007. V. 251. P. 2490.
- Kingsbury C.J., Abrahams B.F., Auckett J.E. et al. // Chem. Eur. J. 2019. V. 25. P. 5222.
- Abrahams B.F., Dharma A.D., Dyett B. et al. // Dalton Trans. 2016. V. 45. P. 1339.
- Adil K., Belmabkhout Y., Pillai R. S. et al. // Chem. Soc. Rev. 2017. V. 46. P. 3402.
- Ezugwu C.I., Liu S., Li C. et al. // Coord. Chem. Rev. 2021. V. 450. P. 214245.
- Hu Z., Zhao D. // CrystEngComm. 2017. V. 19. P. 4066.
- Huangfu M., Wang M., Lin C. et al. // Dalton Trans. 2021. V. 50. P. 3429.
- Li P., Zhou Z., Zhao Y.S. et al. // Chem. Commun. 2021. V. 57. P. 13678.
- Wang Y., Liu X., Li X. et al. // J. Am. Chem. Soc. 2019. V. 141. P. 8030.
- Chang C.-H., Li A.-C., Popovs I. et al. // J. Mater. Chem. A. 2019. V. 7. P. 23770.
- Calbo J., Golomb M.J., Walsh A. // J. Mater. Chem. A. 2019. V. 7. P. 16571.
- Wang M., Dong R., Feng X. // Chem. Soc. Rev. 2021. V. 50. P. 2764.
- Dong R., Feng X. // Nature Materials. 2021. V. 20. P. 122.
- Benmansour S., Gómez-García C.J. // Gen. Chem. 2020. V. 6. P. 190033.
- Espallargas G.M., Coronado E. // Chem. Soc. Rev. 2018. V. 47. P. 533.
- Sahadevan S.A., Manna F., Abhervé A. et al. // Inorg. Chem. 2021. V. 60. P. 17765.
- Trofimova O., Maleeva A.V., Ershova I.V. et al. // Molecules. 2021. V. 26. P. 2486.
- Sahadevan S.A., Monni N., Oggianu M. et al. // ACS Appl. Nano Mater. 2020. V. 3. P. 94.
- Lysova A.A., Kovalenko K.A., Dybtsev D.N. et al. // Microporous Mesoporous Mater. 2021. V. 328. Art. 111477.
- Lysova A.A., Samsonenko D.G., Kovalenko K.A. et al. // Angew. Chem. Int. Ed. 2020. V. 59. P. 20561.
- Lysova A.A., Samsonenko D.G., Dorovatovskii P.V. et al. // J. Am. Chem. Soc. 2019. V. 141. P. 17260.
- Trofimova O.Y., Maleeva A.V., Arsenyeva K.V. et al. // Crystals. 2022. V. 12. P. 370.
- Трофимова О.Ю., Ершова И.В., Малеева А.В. и др. // Коорд. химия. 2021. Т. 47. № 9. С. 552 (Tro-fimova O.Y., Ershova I.V., Maleeva A.V. et al. // Russ. J. Coord. Chem. 2021. V. 47. P. 610). https://doi.org/10.1134/S1070328421090086
- Kharitonov A.D., Trofimova O.Y., Meshcheryakova I.N. et al. // CrystEngComm. 2020. V. 22. P. 4675.
- Хамалетдинова Н.М., Мещерякова И.Н., Пискунов А.В. и др. // Журн. cтруктур. химии. 2015. Т. 56. № 2. С. 249 (Khamaletdinova N.M., Meshcheryakova I.N., Piskunov A.V. et al. // J. Struct. Сhem. 2015. V. 56. P. 233). https://doi.org/10.1134/S0022476615020055
- APEX3. Madison (WI, USA): Bruker AXS Inc., 2018.
- Rigaku Oxford Diffraction. CrysAlisPro Software System. Version 1.171.38.46. Wroclaw (Poland): Rigaku Corporation, 2015.
- Krause L., Herbst-Irmer R., Sheldrick G.M. et al. // J. Appl. Cryst. 2015. V. 48. P. 3.
- Sheldrick G.M. // Acta Crystallogr. C. 2015. V. 71. P. 3.
- Sheldrick G.M. // Acta Crystallogr. A. 2015. V. 71. P. 3.
- Benmansour S., Gómez-García C.J., Hernández-Paredes A. // Crystals. 2022. V. 12. P. 261.
- Benmansour S., López-Martínez G., Canet-Ferrer J. et al. // Magnetochemistry. 2016. V. 2. P. 32.
- Dubraja L.A., Molcanov K., Zilic D. et al. // New J. Chem. 2017. V. 41. P. 6785.
- Vuković V., Molčanov K.I., Jelsch C. et al. // Cryst. Growth Des. 2019. V. 19. P. 2802.
- Cao H.-Y., Liu Q.-Y., Gao M.-J. et al. // Inorg. Chim. Acta. 2014. V. 414. P. 226.
- Blatov V.A., Shevchenko A.P., Proserpio D.M. // Cryst. Growth Des. 2014. V. 14. P. 3576.
- Alexandrov E.V., Blatov V.A., Kochetkov A.V. et al. // CrystEngComm. 2011. V. 13. P. 3947.
- Александров Е.В., Шевченко А.П., Некрасова Н.А. et al. // Успехи химии. 2022. Т. 91. RCR5032 (Aleksandrov E.V., Shevchenko A.P., Nekrasova N.A. et al. // Russ. Chem. Rev. 2022. V. 91. RCR5032). https://doi.org/10.1070/RCR5032
- Alvarez S., Alemany P., Casanova D. et al. // Coord. Chem. Rev. 2005. V. 249. P. 1693.
- Llunell M., Casanova D., Cirera J. et al. // Universitat de Barcelona. 2013.
- Ruiz-Martinez A., Casanova D., Alvarez S. // Chem. Eur. J. 2008. V. 14. P. 1291.
Қосымша файлдар













