Lutetium Cyclopentadienyl Complex with the 2,6-Di-tert-Butylanthracene Dianion
- Authors: Roitershtein D.M.1,2, Lyssenko K.A.3, Nifant’ev I.E.1,2,3, Minyaev M.E.2
-
Affiliations:
- Topchiev Institute of Petrochemical Synthesis, Russian Academy of Sciences, Moscow, Russia
- Zelinsky Institute of Organic Chemistry, Russian Academy of Sciences, Moscow, Russia
- Moscow State University, Moscow, Russia
- Issue: Vol 49, No 6 (2023)
- Pages: 367-374
- Section: Articles
- URL: https://journal-vniispk.ru/0132-344X/article/view/137293
- DOI: https://doi.org/10.31857/S0132344X22600497
- EDN: https://elibrary.ru/UQIJUF
- ID: 137293
Cite item
Full Text
Abstract
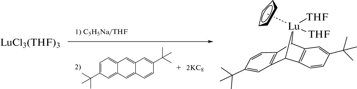
The reaction of 2,6-di(tert-butyl)anthracene with potassium graphite and monocyclopentadienyllutetium dichloride tetrahydrofuranate in THF gave the anthracenide complex [(η5-C5H5)Lu(η2-2,6-tBu2C14H8)(THF)2] (I), which was studied by X-ray diffraction (CCDC no. 2215512). Complex I crystallizes in the orthorhombic space group P212121. The structural rigidity of the Lu(O)2Cp(anthracene) crystallographic node was demonstrated. The retention of the structure of complex I in solution was confirmed by NMR techniques.
About the authors
D. M. Roitershtein
Topchiev Institute of Petrochemical Synthesis, Russian Academy of Sciences, Moscow, Russia; Zelinsky Institute of Organic Chemistry, Russian Academy of Sciences, Moscow, Russia
Email: mminyaev@ioc.ac.ru
Россия, Москва; Россия, Москва
K. A. Lyssenko
Moscow State University, Moscow, Russia
Email: mminyaev@ioc.ac.ru
Россия, Москва
I. E. Nifant’ev
Topchiev Institute of Petrochemical Synthesis, Russian Academy of Sciences, Moscow, Russia; Zelinsky Institute of Organic Chemistry, Russian Academy of Sciences, Moscow, Russia;Moscow State University, Moscow, Russia
Email: mminyaev@ioc.ac.ru
Россия, Москва; Россия, Москва; Россия, Москва
M. E. Minyaev
Zelinsky Institute of Organic Chemistry, Russian Academy of Sciences, Moscow, Russia
Author for correspondence.
Email: mminyaev@ioc.ac.ru
Россия, Москва
References
- Evans W.J. // Polyhedron 1987. V. 6. P. 803.
- Richardson G.M., Douair I., Cameron S.A. et al. // Chem. Eur. J. 2021. V. 27. P. 13144.
- Huang W., Khan S.I., Diaconescu P.L. // J. Am. Chem. Soc. 2011. V. 133. P. 10410.
- Huang W., Dulong F., Wu T. // Nature Commun. 2013. V. 4. Art. 1448.
- Huang W., Abukhalil P.M., Khan S.I., Diaconescu P.L. // Chem. Commun. 2014. V. 50. P. 5221.
- Fryzuk M.D., Jafarpour L., Kerton F.M. // Angew. Chem. Int. Ed. 2000. V. 39. P. 767.
- Huang W., Diaconescu P.L. // Chem. Commun. 2012. V. 48. P. 2216.
- Huang W., Diaconescu P.L. // Eur. J. Inorg. Chem. 2013. P. 4090.
- Roitershtein D.M., Ellern A.M., Antipin M.Y. et al. // Mendeleev Commun. 1992. V. 2. P. 118.
- Protchenko A.V., Zakharov L.N., Bochkarev M.N., Struchkov Y.T. // J. Organomet. Chem. 1993. V. 447. P. 209.
- Roitershtein D.M., Romanenkov A.V., Lyssenko K.A. et al. // Russ. Chem. Bull. 2007. V. 56. P. 1749.
- Ghana P., Hoffmann A., Spaniol T.P., Okuda J. // Chem. Eur. J. 2020. V. 26. P. 10290.
- Roitershtein D.M., Rybakova L.F., Petrov E.S. // J. Organomet. Chem. 1993. V. 460. P. 39.
- Cassani M.C., Gun’ko Yu.K., Hitchcock P.B. et al. // Organometallics. 1999. V. 18. P. 5539.
- Stephan D.W., Erker G. // Angew. Chem. Int. Ed. 2015. V. 54. P. 6400.
- Stephan D.W. // Science. 2016. V. 354. Art. aaf7229.
- Jupp A.R., Stephan D.W. // Trends Chem. 2019. V. 1. P. 35.
- Thiele K.-H., Bambirra S., Schumann H., Hemling H. // J. Organomet. Chem. 1996. V. 517. P. 161.
- Evans W.J., Gonzales S.L., Ziller J.W. // J. Am. Chem. Soc. 1994. V. 116. P. 2600.
- Edelmann F., Poremba P. // Synthetic Methods of Organometallic and Inorganic Chemistry / Eds. Edelmann F.T., Herrmann W.A. Stuttgart (Germany): Verlag, 1997. P. 34.
- Panda T.K., Gamer M.T., Roesky P.W. // Organometallics. 2003. V. 22. P. 877.
- Ottmers D.M., Rase H.F. // Carbon. 1966. V. 4. P. 125.
- Wang J., Wan W., Jiang H. et al. // Org. Lett. 2010. V. 12. P. 3874.
- APEX-III. Madison (WI, USA): Bruker AXS Inc., 2019.
- Sheldrick G.M. // Acta Crystallogr. A. 2015. V. 71. P. 3.
- Sheldrick G.M. // Acta Crystallogr. C. 2015. V. 71. P. 3.
- Macrae C.F., Sovago I., Cottrell S.J. et al. // J. Appl. Cryst. 2020. V. 53. P. 226.
- Fedushkin I.L., Bochkarev M.N., Dechert S., Schumann H. // Chem. Eur. J. 2001. V. 7. P. 3558.
- Ellis J.E., Minyaev M.E., Nifant’ev I.E., Churakov A.V. // Acta Crystallogr. C. 2018. V. 74. P. 769.
- Bogdanovic B., Janke N., Kruger C. // Angew. Chem. Int. Ed. 1985. V. 24. P. 960.
- Lehmkuhl H., Shakoor A., Mehler K., Kruger C. et al. // Chem. Ber. 1985. V. 118. P. 4239.
- Alonso T., Harvey S., Junk P.C. et al. // Organometallics. 1987. V. 6. P. 2110.
- Raymond K.N., Eigenbrot C. // Acc. Chem. Res. 1980. V. 13. P. 276.
Supplementary files







