Second Example of a Cubane-Like Nickel(II) Complex in a Series of N-Derivatives of Taurine
- Authors: Zemlyakova E.O.1, Khamidullina LA.1,2, Puzyrev I.S.1, Tobysheva P.D.1, Petrova Y.S.2, Neudachina L.K.2, Slepukhin P.A.1, Pestov A.V.1,2
-
Affiliations:
- Postovskii Institute of Organic Synthesis, Ural Branch, Russian Academy of Sciences, Yekaterinburg, Russia
- Ural Federal University named after the first President of Russia B.N. Yeltsin, Yekaterinburg, Russia
- Issue: Vol 49, No 7 (2023)
- Pages: 441-448
- Section: Articles
- URL: https://journal-vniispk.ru/0132-344X/article/view/137298
- DOI: https://doi.org/10.31857/S0132344X2260045X
- EDN: https://elibrary.ru/TUZEZI
- ID: 137298
Cite item
Full Text
Abstract
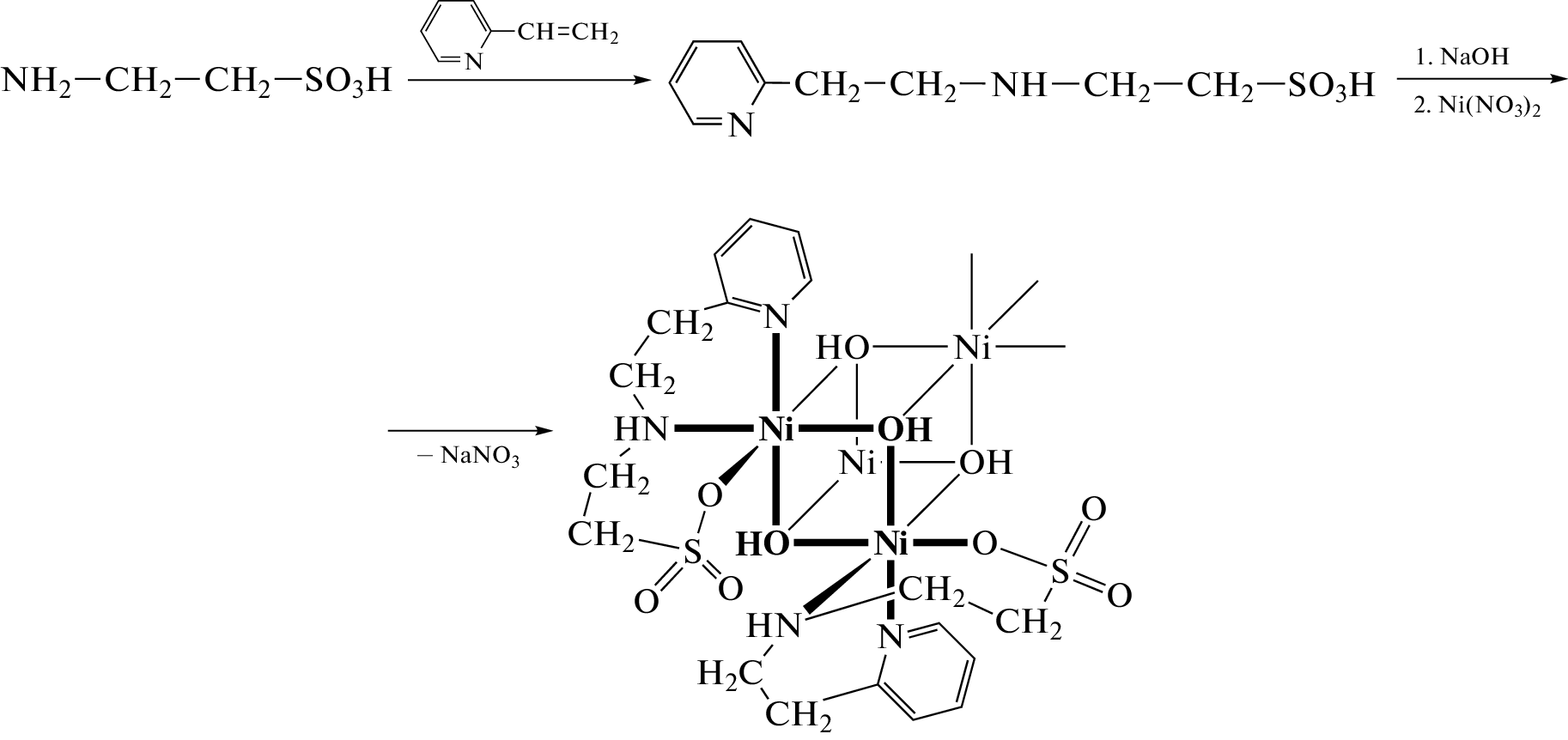
A new homometallic cubane-like nickel(II) complex based on N-2-(2-pyridyl)ethyl-2-aminoethanesulfonic acid [Ni4L4(OH)4]·2H2O (I) is synthesized, and its structure is studied by X-ray diffraction (XRD) (CIF file CCDC no. 2211359). In crystals of the complex, the metallocenters are joined into tetrahedra with the Ni…Ni distances (3.144–3.201 Å) supplemented to cubanes by the μ3-bridging oxygen atoms of the hydroxy groups. The coordination environment of each metallocenter is a distorted octahedron. The ligand is deprotonated, exists in the facial conformation, and performs the tridentate function to form two six-membered conjugated chelate cycles.
About the authors
E. O. Zemlyakova
Postovskii Institute of Organic Synthesis, Ural Branch, Russian Academy of Sciences, Yekaterinburg, Russia
Email: puzyrev@ios.uran.ru
Россия, Екатеринбург
L A. Khamidullina
Postovskii Institute of Organic Synthesis, Ural Branch, Russian Academy of Sciences, Yekaterinburg, Russia; Ural Federal University named after the first President of Russia B.N. Yeltsin, Yekaterinburg, Russia
Email: puzyrev@ios.uran.ru
Россия, Екатеринбург; Россия, Екатеринбург
I. S. Puzyrev
Postovskii Institute of Organic Synthesis, Ural Branch, Russian Academy of Sciences, Yekaterinburg, Russia
Email: puzyrev@ios.uran.ru
Россия, Екатеринбург
P. D. Tobysheva
Postovskii Institute of Organic Synthesis, Ural Branch, Russian Academy of Sciences, Yekaterinburg, Russia
Email: puzyrev@ios.uran.ru
Россия, Екатеринбург
Yu. S. Petrova
Ural Federal University named after the first President of Russia B.N. Yeltsin, Yekaterinburg, Russia
Email: puzyrev@ios.uran.ru
Россия, Екатеринбург
L. K. Neudachina
Ural Federal University named after the first President of Russia B.N. Yeltsin, Yekaterinburg, Russia
Email: puzyrev@ios.uran.ru
Россия, Екатеринбург
P. A. Slepukhin
Postovskii Institute of Organic Synthesis, Ural Branch, Russian Academy of Sciences, Yekaterinburg, Russia
Email: puzyrev@ios.uran.ru
Россия, Екатеринбург
A. V. Pestov
Postovskii Institute of Organic Synthesis, Ural Branch, Russian Academy of Sciences, Yekaterinburg, Russia; Ural Federal University named after the first President of Russia B.N. Yeltsin, Yekaterinburg, Russia
Author for correspondence.
Email: puzyrev@ios.uran.ru
Россия, Екатеринбург; Россия, Екатеринбург
References
- Пестов А.В., Слепухин П.А., Чарушин В.Н. // Успехи химии. 2015. Т. 84. № 3. С. 310 (Pestov A.V, Slepukhin P.A., Charushin V.N. // Russ. Chem. Rev. 2015. V. 84. № 3. P. 310). https://doi.org/10.1070/RCR4461
- Петрова Ю.С., Неудачина Л.К. // Журн. неорган. химии. 2013. Т. 58. № 5. С. 697 (Petrova Y.S., Neudachina L.K. // Russ. J. Inorg. Chem. 2013. V. 58. № 5. P. 617). https://doi.org/10.1134/S0036023613050173
- Землякова Е.О., Пестов А.В., Слепухин П.А. и др. // Коорд. химия. 2018. Т. 44. № 11. С. 667 (Zemlyakova E.O., Pestov A.V., Slepukhin P.A. et al. // Russ. J. Coord. Chem. 2018. V. 44. № 11. P. 667). https://doi.org/10.1134/S107032841811009X
- Ульянова М.И., Баскакова С.А., Аксенова Т.В. и др. // Коорд. химия. 2015. Т. 41. № 4. С. 213 (Ul’yanova, M.I., Baskakova, S.A., Aksenova, T.V. et al. // Russ. J. Coord. Chem. 2015. V. 41. P. 240). https://doi.org/10.1134/S1070328415040090
- Пестов А.В., Слепухин П.А., Корякова О.В. и др. // Коорд. химия. 2014. Т. 40. № 4. С. 216 (Pestov A.V., Slepukhin P.A., Koryakova O.V. et al. // Russ. J. Coord. Chem. 2014. V. 40. P. 216). https://doi.org/10.1134/S107032841404006X
- Yusuf M., Fariduddin Q., Hayat S. et al. // Bull. Environ. Contam. Toxicol. 2011. V. 86. № 1. P. 1.
- Fabiano C.C., Tezotto T., Favarin J. et al. // Front. Plant Sci. 2015. V. 6. № 654.
- Li J.X., Jiang Y.M., Chen M.J. // J. Coord. Chem. 2008. V. 61. № 11. P. 1765.
- Hosler E.R., Herbst R.W., Maroney M.J. et al. // Dalton Trans. 2012. V. 41. № 3. P. 804.
- Chohan B.S., Maroney M.J. // Inorg. Chem. 2006. V. 45. № 5. P. 1906.
- Henderson R.K., Bouwman E., Spek A.L. et al. // Inorg. Chem. 1997. V. 36. № 21. P. 4616.
- Пестов А.В., Слепухин П.А., Ятлук Ю.Г. // Коорд. химия. 2011. Т. 37. № 8. С. 619 (Pestov A. V., Slepukhin P.A., Yatluk Y.G. // Russ. J. Coord. Chem. 2011. V. 37. № 8. P. 619). https://doi.org/10.1134/S1070328411070116
- Dolomanov O.V., Bourhis L.J., Gildea R.J. et al. // J. A-ppl. Crystallogr. 2009. V. 42. № 2. P. 339.
- Sheldrick G.M. // Acta Crystallogr. C. 2015. V. 71. P. 3.
Supplementary files










