Cytotoxic Copper(II) Complexes Based on 2,2'-Bipyridine/1,10- Phenanthroline and 5-(4-Chlorophenyl)-1H-tetrazole: Synthesis and Structures
- Авторлар: Golubeva Y.A.1, Smirnova K.S.1, Klyushova L.S.2, Berezin A.S.1, Lider E.V.1
-
Мекемелер:
- Nikolaev Institute of Inorganic Chemistry, Siberian Branch, Russian Academy of Sciences, Novosibirsk, Russia
- Research Institute of Molecular Biology and Biophysics, Federal Research Center of Fundamental and Translational Medicine, Novosibirsk, Russia
- Шығарылым: Том 49, № 9 (2023)
- Беттер: 516-529
- Бөлім: Articles
- URL: https://journal-vniispk.ru/0132-344X/article/view/137305
- DOI: https://doi.org/10.31857/S0132344X2260062X
- EDN: https://elibrary.ru/WACYDM
- ID: 137305
Дәйексөз келтіру
Толық мәтін
Аннотация
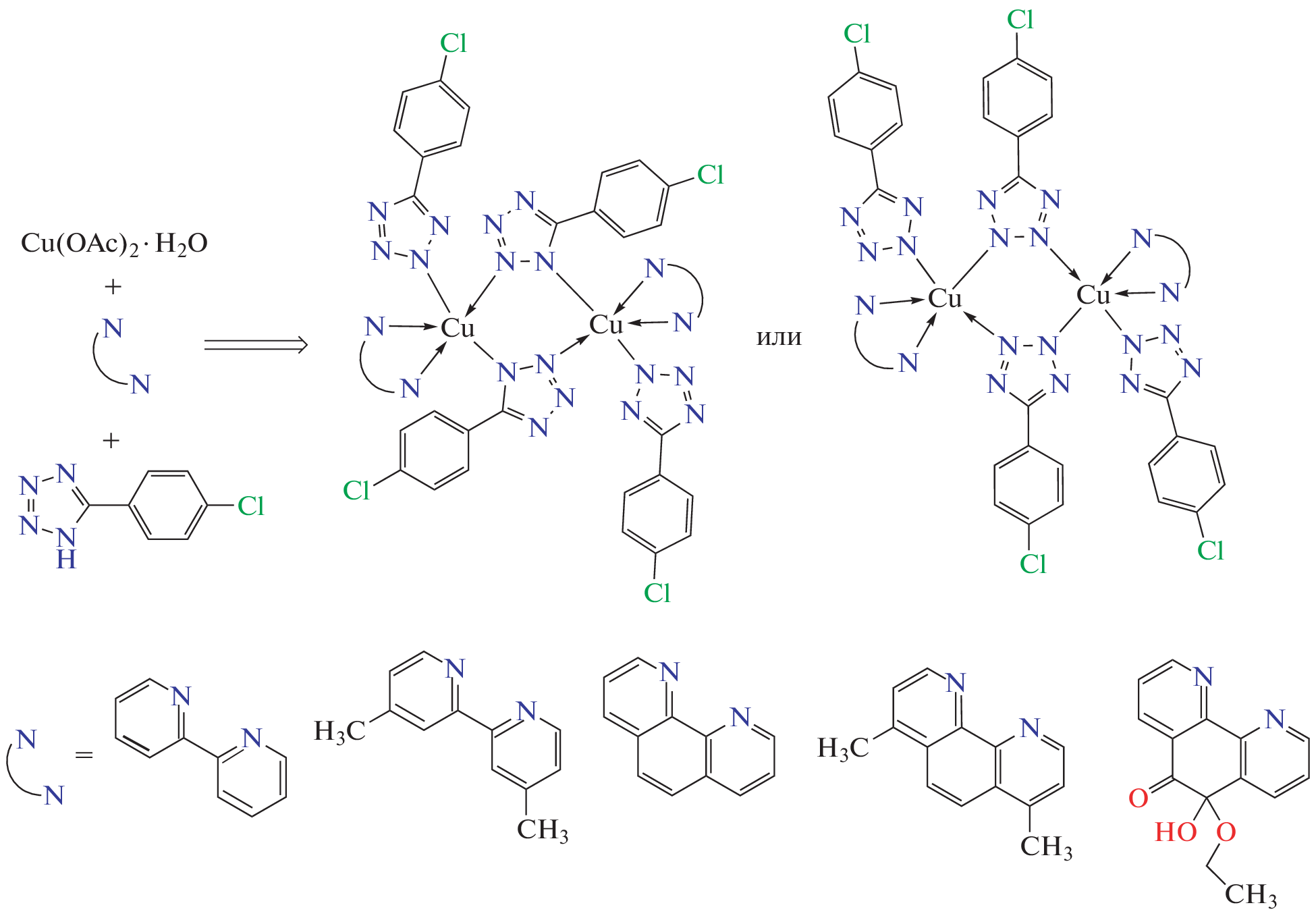
Five coordination compounds [Cu2(Bipy)2L4]·C2H5OH (Iа, Ib), [Cu2(Dmbipy)2L4] (II),
[Cu2(Phen)2L4]·H2O (IIIa), [Cu2(Dmphen)2L4] (IVa), and [Cu2(Phendione’)2L4]·2C2H5OH·2H2O (V) are
synthesized from 5-(4-chlorophenyl)-1H-tetrazole (HL), where Bipy is 2,2'-bipyridine, Dmbipy is 4,4'-
dimethyl-2,2'-bipyridine, Phen is 1,10-phenanthroline, Dmphen is 4,7-dimethyl-1,10-phenanthroline, and
Phendione’ is 6-ethoxy-6-hydroxy-1,10-phenanthrolin-5-one. The crystal structures of the complexes are
determined by X-ray diffraction (XRD) of single crystals (CIF files CCDC nos. 2225368 (Ia), 2225369 (Ib),
2225370 (II), 2225372 (IIIa), 2225373 (IVa), and 2225371 (V)). The compounds are binuclear due to the
bridging function of the tetrazolate anion, and the coordination number of copper is five in all synthesized
complexes. The cytotoxic activity of the complexes against the Hep2 and HepG2 cancer cell lines and noncancerous
human fibroblasts MRC-5 is studied. The complexes exhibit pronounced cytotoxic properties, and
compound V has the maximum selectivity index with respect to the cancer cells.
Негізгі сөздер
Авторлар туралы
Yu. Golubeva
Nikolaev Institute of Inorganic Chemistry, Siberian Branch, Russian Academy of Sciences, Novosibirsk, Russia
Email: lisalider@ngs.ru
Россия, Новосибирск
K. Smirnova
Nikolaev Institute of Inorganic Chemistry, Siberian Branch, Russian Academy of Sciences, Novosibirsk, Russia
Email: lisalider@ngs.ru
Россия, Новосибирск
L. Klyushova
Research Institute of Molecular Biology and Biophysics, Federal Research Center of Fundamental and Translational Medicine,Novosibirsk, Russia
Email: lisalider@ngs.ru
Россия, Новосибирск
A. Berezin
Nikolaev Institute of Inorganic Chemistry, Siberian Branch, Russian Academy of Sciences, Novosibirsk, Russia
Email: lisalider@ngs.ru
Россия, Новосибирск
E. Lider
Nikolaev Institute of Inorganic Chemistry, Siberian Branch, Russian Academy of Sciences, Novosibirsk, Russia
Хат алмасуға жауапты Автор.
Email: lisalider@ngs.ru
Россия, Новосибирск
Әдебиет тізімі
- Rosenberg B., VanCamp L., Trosko J.E. et al. // Nature. 1969. V. 222. № 5191. P. 385.
- Ferraro M.G., Piccolo M., Misso G. et al. // Pharmaceutics. 2022. V. 14. № 5. P. 954.
- González-Ballesteros M.M., Mejía C., Ruiz-Azuara L. // FEBS Open Bio. 2022. V. 12. № 5. P. 880.
- McGivern T.J.P., Afsharpour S., Marmion C.J. // Inorg. Chim. Acta. 2018. V. 472. P. 12.
- Erxleben A. // Coord. Chem. Rev. 2018. V. 360. P. 92.
- Molinaro C., Martoriati A., Pelinski L. et al. // Cancers. 2020. V. 12. № 10. P. 2863.
- Kalinowski D.S., Stefani C., Toyokuni S. et al. // Biochim. Biophys. Acta, Mol. Cell Res. 2016. V. 1863. № 4. P. 727.
- Jiang Y., Huo Z., Qi X. et al. // Nanomedicine. 2022. V. 17. № 5. P. 303.
- Pinheiro A.C., Busatto F.F., Schaefer B.T. et al. // J. Inorg. Biochem. 2022. V. 237. P. 112013.
- Dinev D., Popova K.B., Zhivkova T. et al. // Appl. Organomet. Chem. 2022. V. 36. № 10. P. e6862.
- Cao H.Z., Yang W.T., Zheng P.S. // BMC Cancer. 2022. V. 22. № 1. P. 1.
- Babahan-Bircan I., Emirdağ S., Özmen A. et al. // Appl. Organomet. Chem. 2022. V. 36. № 9. P. e6784.
- Afroz L., Khan M.H.M., Vagdevi H.M. et al. // Emergent Mater. 2021. V. 5. № 4. P. 1133.
- Khursheed S., Siddique H.R., Tabassum S. et al. // Dalton Trans. 2022. V. 51. № 31. P. 11713.
- Santini C., Pellei M., Gandin V. et al. // Chem. Rev. 2013. V. 114. № 1. P. 815.
- Krasnovskaya O., Naumov A., Guk D. et al. // Int. J. Mol. Sci. 2020. V. 21. P. 3965.
- Vitomirov T., Dimiza F., Matić I.Z. et al. // J. Inorg. Biochem. 2022. V. 235. P. 111942.
- Figueroa-Depaz Y., Pérez-Villanueva J., Soria-Arteche O. et al. // Molecules. 2022. V. 27. № 11. P. 3504.
- Karpagam S., Mamindla A., Kumar Sali V. et al. // Inorg. Chim. Acta. 2022. V. 531. P. 120729.
- Zehra S., Cirilli I., Silvestri S. et al. // Metallomics. 2021. V. 13. № 11. P. mfab064.
- Zehra S., Gómez-Ruiz S., Siddique H.R. et al. // Dalton Trans. 2020. V. 49. № 46. P. 16830.
- Paixão D.A., de Oliveira B.C.A., Almeida J.C. et al. // Inorg. Chim. Acta. 2020. V. 499. P. 119164.
- Karpagam S., Kartikeyan R., Paravai N.P. et al. // J. Coord. Chem. 2019. V. 72. № 18. P. 3102.
- Alvarez N., Mendes L.F.S., Kramer M.G. et al. // Inorg. Chim Acta. 2018. V. 483. P. 61.
- Figueroa-DePaz Y., Resendiz-Acevedo K., Dávila-Manzanilla S.G. et al. // J. Inorg. Biochem. 2022. V. 231. P. 111772.
- Kumari J., Mobin S.M., Mukhopadhyay S. et al. // Inorg. Chem. Commun. 2019. V. 105. P. 217.
- Stoll S., Schweiger A. // J. Magn. Reson. 2006. V. 178. № 1. P. 42.
- Bruker Apex3 Software Suite: Apex3, SADABS-2016/2 and SAINT. Version 2018.7-2. Madison (WI, USA): Bruker AXS Inc., 2017.
- CrysAlisPro 1.171.38.46. The Woodlands (TX, USA), Rigaku Oxford Diffraction, 2015.
- Sheldrick G.M. // Acta Crystallogr. A. 2015. V. 71. № 1. P. 3.
- Sheldrick G.M. // Acta Crystallogr. C. 2015. V. 71. № 1. P. 3.
- Dolomanov O.V., Bourhis L.J., Gildea R.J. et al. // J. Appl. Crystallogr. 2009. V. 42. № 2. P. 339.
- Eremina J.A., Lider E.V., Samsonenko D.G. et al. // Inorg. Chim. Acta. 2019. V. 487. P. 138.
- Smirnova K.S., Golubeva Y.A., Lider E.V. // Crystallogr. Rep. 2022. V. 67. № 4. P. 575.
- Eremina J.A., Ermakova E.A., Smirnova K.S. et al. // Polyhedron. 2021. V. 206. P. 115352
Қосымша файлдар















