Triphenylphosphine Thiolate Gold(I) Complexes with Redox-Active Schiff Bases: Synthesis, Electrochemical Properties, and Biological Activity
- Authors: Smolyaninov I.V.1, Burmistrova D.A.1, Pomortseva N.P.1, Polovinkina M.A.2, Demidov O.P.3, Al’myasheva N.R.4, Poddel’skii A.I.5, Berberova N.T.1
-
Affiliations:
- Astrakhan State Technical University, Astrakhan, Russia
- Federal Research Center, Southern Scientific Center, Russian Academy of Sciences, Rostov-on-Don, Russia
- North Caucasus Federal University, Stavropol, Russia
- Gause Institute of New Antibiotics, Moscow, Russia
- Razuvaev Institute of Organometallic Chemistry, Russian Academy of Sciences, Nizhny Novgorod, Russia
- Issue: Vol 49, No 9 (2023)
- Pages: 565-581
- Section: Articles
- URL: https://journal-vniispk.ru/0132-344X/article/view/137313
- DOI: https://doi.org/10.31857/S0132344X23600121
- EDN: https://elibrary.ru/WBPETP
- ID: 137313
Cite item
Full Text
Abstract
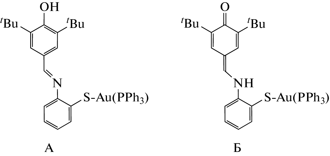
New gold(I) phosphine thiolate complexes [(Ph3P)Au(SLn)] I–V with Schiff bases LnSH containing
redox-active catechol, phenol, or quinone methide moieties were synthesized and characterized. The
molecular structure of compound I in the crystalline state was established by X-ray diffraction (CCDC
no. 2237815). The electrochemical behavior of compounds I–V was studieв by cyclic voltammetry. The proposed
electrooxidation mechanism of the complexes involves the Au–S bond cleavage, the disulfide formation,
as well as the oxidation of the redox active group of the ligand. In the cathode region, complexes I–III
tend to form relatively stable monoanionic species. The radical scavenging activity of complexes decreases in
comparison to free ligands in the reactions with synthetic radicals and the CUPRAC test. Compounds I, II,
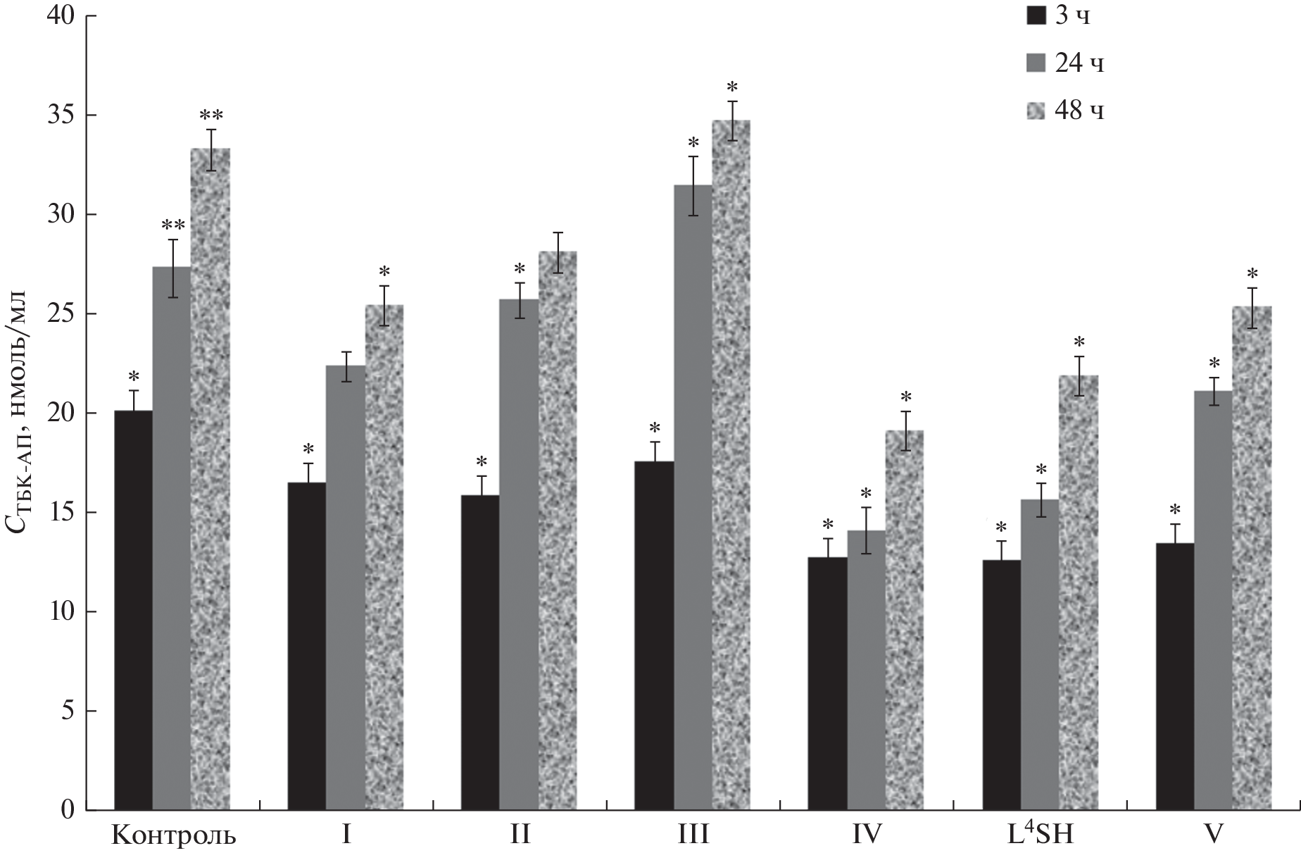
IV, and V have no clear-cut effect on the promoted DNA damage; however, they show antioxidant action
in the non-enzymatic lipid peroxidation of rat liver homogenate. Compounds I–V demonstrate a weak antibacterial
activity against Staphylococcus aureus strains. The gold(I) complexes cytotoxicity was studied against
A-549, MCF-7, and HTC-116 cancer cell lines using MTT assay. The test compounds are characterized by
higher selectivity to certain types of cells than the sulfur-containing Schiff bases. The presence of quinone
methide moiety in the ligand in case of V significantly increases the cytotoxicity against all of the cell lines.
About the authors
I. V. Smolyaninov
Astrakhan State Technical University, Astrakhan, Russia
Email: ivsmolyaninov@gmail.com
Россия, Астрахань
D. A. Burmistrova
Astrakhan State Technical University, Astrakhan, Russia
Email: ivsmolyaninov@gmail.com
Россия, Астрахань
N. P. Pomortseva
Astrakhan State Technical University, Astrakhan, Russia
Email: ivsmolyaninov@gmail.com
Россия, Астрахань
M. A. Polovinkina
Federal Research Center, Southern Scientific Center, Russian Academy of Sciences, Rostov-on-Don, Russia
Email: ivsmolyaninov@gmail.com
Россия, Ростов-на-Дону
O. P. Demidov
North Caucasus Federal University, Stavropol, Russia
Email: ivsmolyaninov@gmail.com
Россия, Ставрополь
N. R. Al’myasheva
Gause Institute of New Antibiotics, Moscow, Russia
Email: ivsmolyaninov@gmail.com
Россия, Москва
A. I. Poddel’skii
Razuvaev Institute of Organometallic Chemistry, Russian Academy of Sciences, Nizhny Novgorod, Russia
Email: ivsmolyaninov@gmail.com
Россия, Н. Новгород
N. T. Berberova
Astrakhan State Technical University, Astrakhan, Russia
Author for correspondence.
Email: ivsmolyaninov@gmail.com
Россия, Астрахань
References
- Herrera R.P., Gimeno M.C. // Chem. Rev. 2021. V. 121. № 14. P. 8311.
- Galassi R., Luciani L., Wang J. // Biomolecules. 2022. V. 12. P. 80.
- van der Westhuizen D., Bezuidenhout D.I., Munro O.Q. // Dalton. Trans. 2021. V. 50. P. 17413.
- Chupakhin E., Krasavin M. // Expert Opin. Ther. Pat. 2021. V. 31. № 8. P. 745.
- Shpakovsky D.B., Shtil A.A., Kharitonashvili E.V. et al. // Metallomics. 2018. V. 10. P. 406.
- Milaeva E.R., Shpakovsky D.B., Gracheva Y.A. et al. // Pure Appl. Chem. 2020. V. 92. № 8. P. 1201.
- Antonenko T.A., Gracheva Yu.A., Shpakovsky D.B. et al. // J. Organomet. Chem. 2022. V. 960. P. 122191.
- Bian M., Wang X., Sun Y. et al. // Eur. J. Med. Chem. 2020. V. 193. P. 112234.
- Sun Y., Lu Y., Bian M. et al. // Eur. J. Med. Chem. 2021. V. 211. P. 113098.
- Babgi B.A., Alsayari J., Alenezi H.M. et al. // Pharmaceutics. 2021. V. 13. P. 461.
- Yoshida T., Onaka S., Shiotsuka M. // Inorg. Chimica Acta. 2003. V. 342. P. 319.
- Smolyaninov I.V., Burmistrova D.A., Arsenyev M.V. et al. // ChemistrySelect. 2021. V. 6. № 39. P. 10609.
- Гордон А., Форд Р. Спутник химика. М.: Мир, 1976. 437 с.
- CrysAlisPro, version 1.171.38.41; Rigaku Oxford Diffraction, 2015.
- Sheldrick G.M. // Acta Crystallogr. Sect. A: Found. Adv. 2015. V. 71. P. 3.
- Sheldrick G.M. // Acta Crystallogr. Sect. C: Struct. Chem. 2015. V. 71. P. 3.
- Bondet V., Brand-Williams W., Berset C. // Food. Sci. Technol. 1997. V. 30. № 6. P. 609.
- Re R., Pellergrini N., Proteggente A. et al. // Free Rad. Biol. Med. 1999. V. 26. № 9/10. P. 1231.
- Özyürek M., Güçlü K., Tütem E. et al. // Anal. Methods. 2011. V. 3. P. 2439.
- Smolyaninov I.V., Pitikova O.V., Korchagina E.O. et al. // Bioorg. Chem. 2019. V. 89. P. 103003.
- Строев Е.Н., Макарова В.Г. Практикум по биологической химии: М.: Высшая школа. 1986. 232 с.
- Smolyaninov I.V., Burmistrova D.A., Arsenyev M.V. et al. // Molecules. 2022. V. 27. № 10. P. 3169.
- CLSI, Methods for Dilution Antimicrobial Susceptibility Tests for Bacteria That Grow Aerobically. Approved Standards, 10th edn. CLSI document M07-A10. Wayne, PA: Clinical and Laboratory Standards Institute, 2015.
- Astaf’eva T.V., Arsenyev M.V., Rumyantcev R.V. et al. // ACS Omega. 2020. V. 5. № 35. P. 22179.
- Арсеньев М.В., Баранов Е.В., Чесноков С.А. и др. // Изв. АН. Сер. хим. 2013. № 11. С. 2394 (Arsenyev M.V., Baranov E.V., Chesnokov S.A. et al. Russ. Chem. Bull. 2013. V. 62. № 11. P. 2394).
- Baryshnikova S.V., Bellan E.V., Poddel’sky A.I. et al. // Eur. J. Inorg. Chem. 2016. V. 2016. № 33. P. 5230.
- Poddel’sky A.I., Arsenyev M.V., Astaf’eva T.V. et al. // J. Organomet. Chem. 2017. V. 835. P. 17.
- Arsenyev M.V., Astafeva T.V., Baranov E.V. et al. // Mendeleev Commun. 2018. V. 28. P. 76.
- Helmstedt U., Lebedkin S., Hocher T. et al. // Inorg. Chem. 2008. V. 47. P. 5815.
- Watase S., Kitamura T., Kanehisa N. et al. // Acta Crystallogr., Sect. C: Cryst. Struct. Commun. 2004. V. 60. P. m104.
- Watase S., Kitamura T., Kanehisa N. et al. // Chem. Lett. 2003. V. 32. P. 1070.
- Kang J.-G., Cho H.-K., Park C. et al. // Inorg. Chem. 2007. V. 46. P. 8228.
- Ahmed L.S., Clegg W., Davies D.A. et al. // Polyhedron. 1999. V. 18. P. 593.
- Milaeva E.R., Shpakovsky D.B., Dyadchenko V.P. et al. // Polyhedron. 2017. V. 127. P. 512.
- Yoshida T., Onaka S., Shiotsuka M. // Inorg. Chim. Acta. 2003. V. 342. P. 319.
- Jones A.M., Rahman M.H., Bal M.K. // ChemElectroChem. 2020. V.6. № 16. P. 4093.
- Silva T.L., Maria de Lourdes S.G. de Azevedo, Ferreira F. R. et al. // Curr. Opin. Electrochem. 2020. V. 24. P. 79.
- Mohamed A.A., Bruce A.E., Bruce M.R.M. // Metal-based Drugs. 1999. V. 6. № 4–5. P. 233.
- Chen J., Jiang T., Wei G. et al. // J. Am. Chem. Soc. 1999. V. 121. P. 9225.
- Mohamed A., Chen J., Bruce A.E. et al. // Inorg. Chem. 2003. V. 42. P. 2203.
- Abdou H.E., Mohamed A.A., Fackler Jr. J.P. et al. // Coord. Chem. Rev. 2009. V. 253. P. 1661.
- Kupiec M., Ziółkowski R., Massai L. et al. // J. Inorg. Biochem. 2019. V. 198. P. 110714.
- Smolyaninov I.V., Poddel’sky A.I., Baryshnikova S.V. et al. // Applied Organometal. Chem. 2018. V. 32. P. e4121.
- Baryshnikova S.V., Poddel’sky A.I., Bellan E.V. et al. // Inorg. Chem. 2020. V. 59. P. 6774.
- Vessières A., Wang Y., McGlinchey M. J. et al. // Coord. Chem. Rev. 2021. V. 430. P. 213658.
- Nobili S., Mini E., Landini I. et al. // Med. Chem. Res. 2010. V. 30. P. 550.
- Abás E., Pena-Martínez R., Aguirre-Ramírez D. et al. // Dalton Trans. 2020. V. 49. P. 1915.
- Luo J.M., Ma X., Jiang W. et al. // Eur. J. Med. Chem. 2022. V. 232. P. 114168.
- Смолянинов И.В., Кузьмин В.В., Арсеньев М.В. и др. // Изв. АН. Сер. хим. 2017. № 7. С. 1217 (Smolyaninov I.V., Kuzmin V.V., Arsenyev M.V. et al. // Russ. Chem. Bull. 2017. V. 7. P. 1217).
- Thangamani S., Mohammad H., Abushahba M.F.N. et al. // Sci. Rep. 2016. V. 6. P. 22571.
- de Almeida A. M., de Oliveira B.A., de Castro P.P. et al. // Biometals. 2017. V. 30. P. 841.
- Liu Y., Lu Y., Xu Z. et al. // Drug Discov. Today. 2022. V. 27. № 7. P. 1961.
- Stenger-Smith J.R., Mascharak P.K. // ChemMedChem. 2020. V. 15. № 18. P. 2136.
- Bolton J.L., Dunlap T. // Chem. Res. Toxicol. 2017. V. 30. P. 13.
- Madajewski B., Boatman M.A., Chakrabarti G. et al. // Mol. Cancer Res. 2016. V. 14. P. 14.
- Parkinson E.I., Hergenrother P.J. // Acc. Chem. Res. 2015. V. 48. №. 10. P. 2715.
- Zhang K., Chen D., Ma K. et al. // J. Med. Chem. 2018. V. 61. P. 6983.
- Antonenko T.A., Shpakovsky D.B., Berseneva D.A. et al. // J. Organomet. Chem. 2020. V. 909. P. 121089.
- Fereidoonnezhad M., Mirsadeghi H.A., Abedanzadeh S. et al. // New J. Chem. 2019. V. 43. P. 13173.
Supplementary files















