Biologically Active Palladium(II), Zinc(II), and Copper(II) Complexes with Terpene Ligands as Potential Pharmaceutical Drugs
- Authors: Gur’eva Y.A.1, Zalevskaya O.A.1, Kuchin A.V.1
-
Affiliations:
- Institute of Chemistry, Komi Science Center, Ural Branch, Russian Academy of Sciences, Syktyvkar, Russia
- Issue: Vol 49, No 10 (2023)
- Pages: 603-623
- Section: Articles
- URL: https://journal-vniispk.ru/0132-344X/article/view/162289
- DOI: https://doi.org/10.31857/S0132344X23700305
- EDN: https://elibrary.ru/MVMZUU
- ID: 162289
Cite item
Full Text
Abstract
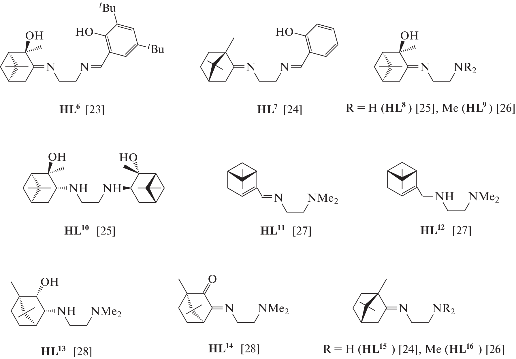
A final review of the results of studies of versatile biological activities (in vitro) of chiral metal complexes with benzylamine and ethylenediamine derivatives of terpenes is presented. The cytotoxic profiles of palladacycles containing a Pd–C bond and palladium and zinc chelate complexes were determined. For a number of compounds, the possible mechanisms of potential anticancer action were analyzed, such as modulation of mitochondrial functioning and effect on the parameters of glycolytic function of tumor cells. The antibacterial and antifungal activities of palladium complexes of different types and copper chelate complexes were investigated. A correlation between high antimicrobial activity and antioxidant properties was found for a number of copper complexes. The material is supplemented by an extended analysis of publications in relevant subjects.
About the authors
Ya. A. Gur’eva
Institute of Chemistry, Komi Science Center, Ural Branch, Russian Academy of Sciences, Syktyvkar, Russia
Email: jana.aleksandrovna@yandex.ru
Россия, Сыктывкар
O. A. Zalevskaya
Institute of Chemistry, Komi Science Center, Ural Branch, Russian Academy of Sciences, Syktyvkar, Russia
Email: jana.aleksandrovna@yandex.ru
Россия, Сыктывкар
A. V. Kuchin
Institute of Chemistry, Komi Science Center, Ural Branch, Russian Academy of Sciences, Syktyvkar, Russia
Author for correspondence.
Email: jana.aleksandrovna@yandex.ru
Россия, Сыктывкар
References
- Medina-Franco J.L., López-López E., Andrade E. et al. // Drug Discov. Today. 2022. V. 27. P. 1420. https://doi.org/10.1016/j.drudis.2022.02.021
- Miranda V.M. // Rev. Inorg. Chem. 2022. V. 42. P. 29. https://doi.org/10.1515/revic-2020-0030
- Mjos K.D., Orvig C. // Chem. Rev. 2014. V. 114. P. 4540. https://doi.org/10.1021/cr400460s
- Binding, Transport and Storage of Metal Ions in Biological Cells / Eds. Maret W., Wedd A. (Cambridge, UK): RSC, 2014. https://doi.org/10.1039/9781849739979
- Garoufis A., Hadjikakou S.K., Hadjiliadis N. // Coord. Chem. Rev. 2009. V. 253. P. 1384. https://doi.org/10.1016/j.ccr.2008.09.011
- Medici S., Peana M., Nurchi V.M. et al. // Coord. Chem. Rev. 2015. V. 284. P. 329. https://doi.org/10.1016/j.ccr.2014.08.002
- Alam M.N., Huq F. // Coord. Chem. Rev. 2016. V. 316. P. 36. https://doi.org/10.1016/j.ccr.2016.02.001
- Cirri D., Pratesi A., Marzo T., Messori L. // Expert Opinion Drug Disc. 2021. V. 16. P. 39. https://doi.org/10.1080/17460441.2020.1819236
- Frei A., Elliott A.G., Kan A. et al. // JACS Au. 2022. V. 2. № 10. P. 2277. https://doi.org/10.1021/jacsau.2c00308
- Carneiro T.J., Martins A.S., Marques M.P.M., Gil A.M. // Frontiers Oncology. 2020. V. 10. e590970. https://doi.org/10.3389/fonc.2020.590970
- Omae I. // Coord. Chem. Rev. 2014. V. 280. P. 84. https://doi.org/10.1016/j.ccr.2014.07.019
- Mahdy A.H.S., Salem E.Z., Ahmed M.A.B., Entesar A.H. // Tetrahedron. 2022. V. 121. Art. e132913. https://doi.org/10.1016/j.tet.2022.132913
- Zielińska-Błajet M., Feder-Kubis J. // Int. J. Mol. Sci. 2020. V. 21. P. 7078. https://doi.org/10.3390/ijms21197078
- Яровая О.И., Салахутдинов Н.Ф. // Успехи химии. 2021. Т. 90. С. 488 (Yarovaya O.I., Salakhutdinov N.F. // Russ. Chem. Rev. (Engl. Transl.) 2021. V. 90. P. 488). https://doi.org/10.1070/RCR4969
- Ateba S.B., Mvondo M.A., Ngeu S.T. et al. // Curr. Med. Chem. 2018. V. 25. P. 3162. https://doi.org/10.2174/0929867325666180214110932
- Kumar A., Jaitak V. // Eur. J. Med. Chem. 2019. V. 176. P. 268. https://doi.org/10.1016/j.ejmech.2019.05.027
- Mahizan N.A., Yang S.K., Moo C.L. et al. // Molecules. 2019. V. 24. P. 2631. https://doi.org/10.3390/molecules24142631
- Silva E.A.P., Carvalho J.S., Guimarães A.G. et al. // Expert Opin. Ther. Pat. 2019. V. 29. P. 43. https://doi.org/10.1080/13543776.2019.1558211
- Залевская О.А., Гурьева Я.А., Кучин А.В. // Успехи химии. 2019. Т. 88. С. 979 (Zalevskaya O.A., Gur’eva Y.A., Kutchin A.V. // Russ. Chem. Rev. (Engl. Transl.) 2019. V. 88. P. 979). https://doi.org/10.1070/RCR4880
- Гурьева Я.А., Залевская О.А., Фролова Л.Л. и др. // Хим. природ. соед. 2010. № 6. С. 783 (Gur’eva Y.A., Zalevskaya O.A., Frolova L.L. et al. // Chem. Nat. Comp. 2011. V. 46. № 6. P. 920). https://doi.org/10.1007/S10600-011-9783-X
- Кучин А.В., Гурьева Я.А., Фролова Л.Л. и др. // Изв. АН. Сер. хим. 2013. № 3. С. 745 (Kuchin A.V., Gur’eva Ya.A., Frolova L.L. et al. // Russ. Chem. Bull. (Int. Ed.). 2013. V. 62. № 3. P. 745). https://doi.org/10.1007/s11172-013-0101-6
- Гурьева Я.А., Залевская О.А., Алексеев И.Н. и др. // Изв. АН. Сер. хим. 2014. № 7. С. 1543 (Gur’eva Y.A., Zalevskaya O.A., Alekseev I.N. et al. // Russ. Chem. Bull. (Int. Ed.). 2014. V. 63. № 7. P. 1543). https://doi.org/10.1007/s11172-014-0633-4
- Дворникова И.А., Буравлев Е.В., Супонитский К.Ю. и др. // Журн. орган. химии. 2015. Т. 51. С. 498 (Dvornikova I.A., Buravlev E.V., Chukicheva I.Y. et al. // Russ. J. Org. Chem. 2015. V. 51. P. 480). https://doi.org/10.1134/S1070428015040041
- Гурьева Я.А., Залевская О.А., Алексеев И.Н. и др. // Журн. орган. химии. 2018. V. 54. P. 1274 (Gur’eva Y.A., Zalevskaya O.A., Alekseev I.N. et al. // Russ. J. Org. Chem. 2018. V. 54. P. 1285). https://doi.org/10.1134/S1070428018090026
- Gur’eva Y.A., Alekseev I.N., Dvornikova I.A. et al. // Inorg. Chim. Acta. 2018. V. 477. P. 300. https://doi.org/10.1016/j.ica.2018.03.015
- Гурьева Я.А., Алексеев И.Н., Залевская О.А. и др. // Журн. орган. химии. 2016. Т. 52. С. 796 (Gur’eva Y.A., Alekseev I.N., Zalevskaya O.A. et al. // Russ. J. Org. Chem. 2016. V. 52. P. 781). https://doi.org/10.1134/S107042801606004X
- Gur’eva Y.A., Slepukhin P.A., Kutchin A.V. // Inorg. Chim. Acta. 2019. V. 486. P. 602. https://doi.org/10.1016/j.ica.2018.11.016
- Zalevskaya O.A., Gur’eva Y.A., Kutchin A.V. et al. // Inorg. Chim. Acta. 2021. V. 527. e120593 https://doi.org/10.1016/j.ica.2021.120593
- Frei A., Zuegg J., Elliott A.G. et al. // Chem. Sci. 2020. V. 11. P. 2627. https://doi.org/10.1039/C9SC06460E
- Zalevskaya O.A., Gur’eva Y.A., Frolova L.L. et al. // Natural Science. 2010. V. 2. № 11. P. 1189. https://doi.org/10.4236/ns.2010.211147
- Гурьева Я.А., Залевская О.А., Алексеев И.Н. и др. // Хим. природ. cоед. 2014. № 4. С. 562 (Gureva Y.A., Zalevskaya O.A., Alekseev I.N. et al. // Chem. Nat. Comp. 2014. V. 50. № 4. P. 648. https://doi.org/10.1007/s10600-014-1044-3
- Zalevskaya O., Gur’eva Y., Kutchin A., Hansford K. // Antibiotics. 2020. V. 9. № 5. Art. e277. https://doi.org/10.3390/antibiotics9050277
- Fanelli M., Mauro F., Vieri F. et al. // Coord. Chem. Rev. 2016. V. 310. P. 41. https://doi.org/10.1016/j.ccr.2015.11.004
- Vojtek M., Marques M.P.M., Ferreira I.M.P.L.V.O. et al. // Drug Discov. Today. 2019. V. 24. P. 1044. https://doi.org/10.1016/j.drudis.2019.02.012
- Kapdi A.R., Fairlamb I.J.S. // Chem. Soc. Rev. 2014. V. 43. P. 4751. https://doi.org/10.1039/C4CS00063C
- Michelakis E.D., Webster L., Mackey J.R. // Brit. J. Cancer. 2008. V. 99. P. 989. https://doi.org/10.1038/sj.bjc.6604554
- Štarha P., Trávníček Z. // Coord. Chem. Rev. 2019. V. 395. P. 130. https://doi.org/10.1016/j.ccr.2019.06.001
- Omondi R.O., Ojwach S.O., Jaganyi D. // Inorg. Chim. Acta. 2020. V. 512. Art. e119883. https://doi.org/10.1016/j.ica.2020.119883
- Albert J., García S., Granell J. et al. // J. Organomet. Chem. 2013. V. 724. P. 289. https://doi.org/10.1016/j.jorganchem.2012.11.034
- Albert J., Bosque R., Crespo M. et al. // Eur. J. Med. Chem. 2014. V. 84. P. 530. https://doi.org/10.1016/j.ejmech.2014.07.046
- Albert J., D’Andrea L., Granell J. et al. // J. Inorg. Biochem. 2014. V. 140. P. 80. https://doi.org/10.1016/j.jinorgbio.2014.07.001
- Albert J., Granell J., Qadir R. et al. // Organometallics. 2014. V. 33. P. 7284. https://doi.org/10.1021/om501060f
- Karami K., Hosseini-Kharat M., Sadeghi-Aliabadi H. et al. // Polyhedron. 2012. V. 50. P. 187. https://doi.org/10.1016/j.poly.2012.11.002
- Karami K., Hosseini-Kharat M., Sadeghi-Aliabadi H. et al. // Eur. J. Med. Chem. 2014. V. 73. P. 8. https://doi.org/10.1016/j.ejmech.2013.11.042
- Karami K., Ramezanpour A., Zakariazadeh M. et al. // ChemSelect. 2019. V. 4. P. 5126. https://doi.org/10.1002/slct.201900707
- Zmejkovski B.B., Savić A., Poljarević J. et al. // Polyhedron. 2014. V. 80. P. 106. https://doi.org/10.1016/j.poly.2014.02.026
- Stojković D.L., Jevtić V.V., Radić G.P. et al. // J. Inorg. Biochem. 2015. V. 143. P. 111. https://doi.org/10.1016/j.jinorgbio.2014.12.001
- Franich A.A., Živković M.D., Milovanović J. et al. // J. Inorg. Biochem. 2020. V. 210. e111158. https://doi.org/10.1016/j.jinorgbio.2020.111158
- Bošković M., Franich A.A, Rajković S. et al. // ChemSelect. 2020. V. 5. P. Art. e10549. https://doi.org/10.1002/slct.202002350
- Misirlic-Dencic S., Poljarevic J., Isakovic A.M. et al. // Curr. Med. Chem. 2020. V. 27. P. 380. https://doi.org/10.2174/0929867325666181031114306
- Srinivasan S., Guha M., Kashina A., Avadhani N.G. // Biochim. Biophys. Acta Bioenerg. 2017. V. 1858. P. 602. https://doi.org/10.1016/j.bbabio.2017.01.004
- Li W., Zhang C., Sun X. // J. Vis. Exp. 2018. V. 135. Art. e56236. https://doi.org/10.3791/56236
- Warburg O. // Science. 1956. V. 124. P. 269.
- Wallace D.C. // Nat. Rev. Cancer. 2012. V. 12. P. 685. https://doi.org/10.1038/nrc3365
- Zheng Y., Liu P., Wang N. et al. // Oxid. Med. Cell Longev. 2019. V. 2019. Art. e8781690. https://doi.org/10.1155/2019/8781690
- Korga A., Ostrowska M., Iwan M. et al. // FEBS Open Bio. 2019. V. 9. P. 959. https://doi.org/10.1002/2211-5463.12628
- Zhang J., Zhang Q. Methods in Molecular Biology. N.Y.: Humana Press, 2019. V. 1928. P. 353. https://doi.org/10.1007/978-1-4939-9027-618
- Hashemi S., Karami K., Dehkordi Z.S. et al. // J. Biomolec. Struct. Dynam. 2022. V. 40. P. 5000. https://doi.org/10.1080/07391102.2020.1865202
- Abedanzadeh S., Karami K., Rahimi M. et al. // Dalton Trans. 2020. V. 49. Art. e14891. https://doi.org/10.1039/D0DT02304C
- Гурьева Я.А., Залевская О.А., Николаева Н.С. и др. // Изв. АН. Сер. хим. 2023. № 3. С. 793.
- Pellei M., Del Bello F., Porchia M., Santini C. // Coord. Chem. Rev. 2021. V. 445. Art. e214088. https://doi.org/10.1016/j.ccr.2021.214088
- Abendrot M., Chęcińska L., Kusz J. et al. // Molecules. 2020. V. 25. P. 951. https://doi.org/10.3390/molecules25040951
- Кипрова Н.С., Кондратенко Ю.А., Уголков В.Л. и др. // Изв. АН. Сер. хим. 2020. Т. 69. С. 1789 (Kiprova N.S., Kondratenko Y.A., Ugolkov V.L. et al. // Russ. Chem. Bull. (Int. Ed.). 2020. V. 69. P. 1789). https://doi.org/10.1007/s11172-020-2963-8
- Basu Baul T.S., Nongsiej K., Lamin Ka-Ot A. et al. // Appl. Organomet. Chem. 2019. V. 33. Art. e4905. https://doi.org/10.1002/aoc.4905
- Mastrolorenzo A., Scozzafava A., Supuran C.T. // Eur. J. Pharm. Sci. 2000. V. 11. P. 99. https://doi.org/10.1016/s0928-0987(00)00093-2
- Azevedo-França J.A., Borba-Santos L.P., Almeida Pimentel G. et al. // J. Inorg. Biochem. 2021. V. 219. Art. e111401. https://doi.org/10.1016/j.jinorgbio.2021.111401
- Matiadis D., Tsironis D., Stefanou V. et al. // J. Inorg. Biochem. 2019. V. 194. P. 65. https://doi.org/10.1016/j.jinorgbio.2019.02.008
- Zaltariov V.-F., Cazacu M., Avadanei M. et al. // Polyhedron. 2015. V. 100. P. 121. https://doi.org/10.1016/j.poly.2015.07.030
- Porchia M., Pellei M., Del Bello F., Santini C. // Molecules. 2020. V. 9. Art. e5814. https://doi.org/10.3390/molecules25245814
- Рукк Н.С., Кузьмина Л.Г., Давыдова Г.А. и др. // Изв. АН. Сер. хим. 2020. Т. 69. С. 1394 (Rukk N.S., Kuzmina L.G., Davydova G.A. et al. // Russ. Chem. Bull. (Int. Ed.). 2020. V. 69. P. 1394). https://doi.org/10.1007/s11172-020-2914-4
- Yu P., Deng J., Cai J. et al. // Metallomics. 2019. V. 11. P. 1372. https://doi.org/10.1039/c9mt00124g
- Garufi A., Giorno E., Gilardini Montani M.S. et al. // Biomolecules. 2021. V. 11. P. 348. https://doi.org/10.3390/biom11030348
- Shahraki S., Majd M.H., Heydari A. // J. Mol. Struct. 2019. V. 1177. 536. https://doi.org/10.1016/j.molstruc.2018.10.005
- Chukwuma C.I., Mashele S.S., Eze K.C. et al. // Pharmacol. Res. 2020. V. 155. Art. e104744. https://doi.org/10.1016/j.phrs.2020.104744
- Motloung D.M., Mashele S.S., Matowane G.R. et al. // J. Pharm. Pharmacol. 2020. V. 72. P. 1412. https://doi.org/10.1111/jphp.13322
- Rice D.R., Mendiola M.D.L.B., Murillo-Solano C. et al. // Bioorg. Med. Chem. 2017. V. 25. P. 2754. https://doi.org/10.1016/j.bmc.2017.03.050
- Гурьева Я.А., Залевская О.А., Николаева Н.С. и др. // Изв. АН. Сер. хим. 2022. № 12. С. 2612.
- Fang D., Maldonado E.N. // Adv. Cancer Res. 2018. V. 138. P. 41. https://doi.org/10.1016/bs.acr.2018.02.002
- Zhao Y., Liu J., Liu L. // Mol. Med. Rep. 2020. V. 22. P. 3017. https://doi.org/10.3892/mmr.2020.11341
- Quinlan C.L., Orr A.L., Perevoshchikova I.V. et al. // J. Biol. Chem. 2012. V. 287. Art. e27255. https://doi.org/10.1074/jbc.M112.374629
- Sciacovelli M., Guzzo G., Morello V. et al. // Cell Metab. 2013. V. 17. P. 988. https://doi.org/10.1016/j.cmet.2013.04.019
- Guzzo G., Sciacovelli M., Bernardi P., Rasola A. // Oncotarget. 2014. V. 5. Art. e11897. https://doi.org/10.18632/oncotarget.2472
- Moog S., Lussey-Lepoutre C., Favier J. // Endocr. Relat. Cancer. 2020. V. 27. P. 451. https://doi.org/10.1530/ERC-20-0346
- Withey S.J., Perrio S., Christodoulou D. et al. // Radiographics. 2019. V. 39. P. 1393. https://doi.org/10.1148/rg.2019180151
- Ibrahim A., Chopra S. // Arch. Pathol. Lab. Med. 2020. V. 144. P. 655. https://doi.org/10.5858/arpa.2018-0370-RS
- Gill A.J. // Histopathology. 2018. V. 72. P. 106. https://doi.org/10.1111/his.13277
- Stocks P.A., Barton V., Antoine T. et al. // Parasitology. 2014. V. 141. P. 50. https://doi.org/10.1017/S0031182013001571
- Onwudiwe D.C., Ekennia A.C. // Res. Chem. Intermed. 2017. V. 43. P. 1465. https://doi.org/10.1007/s11164-016-2709-2
- Ganji N., Aveli R., Narendrula V., Sreenu D.S. // J. Mol. Struct. 2018. V. 1173. P. 173. https://doi.org/10.1016/j.molstruc.2018.06.100
- Oladipo S.D., Omondi B., Mocktar C. // Polyhedron. 2019. V. 170. P. 712. https://doi.org/10.1016/j.poly.2019.06.038
- El-Medani S.M., Abdelmoneim A.M., Hussein M. et al. // J. Mol. Struct. 2020. V. 1208. Art. e127860. https://doi.org/10.1016/j.molstruc.2020.127860
- Ramesh G., Daravath S., Ganji N. et al. // J. Mol. Struct. 2020. V. 1202. 127338. https://doi.org/10.1016/j.molstruc.2019.127338
- Psomas G. // Coord. Chem. Rev. 2020. V. 412. 213259. https://doi.org/10.1016/j.ccr.2020.213259
- Boussadia A., Beghidja A., Gali L. et al. // Inorg. Chim. Acta. 2020. V. 508. Art. e119656. https://doi.org/10.1016/j.ica.2020.119656
- Guerreiro J.F., Gomes M.A.G.B., Pagliari F. et al. // RSC Adv. 2020. V. 10. Art. e12699. https://doi.org/10.1039/d0ra00166j
- Said M. A., Al-unizi A., Al-Mamary M. et al. // Inorg. Chim. Acta. 2020. V. 505. Art. e119434. https://doi.org/10.1016/j.ica.2020.119434
- Boulguemha I.-E., Beghidjaa A., Khattabib L. et al. // Inorg. Chim. Acta. 2020. V. 507. e119519. https://doi.org/10.1016/j.ica.2020.119519
- Patel A.K., Jadeja R.N., Roy H. et al. // Polyhedron. 2020. V. 186. Art. e114624. https://doi.org/10.1007/s11164-016-2709-2
- Sakthivel A., Thangagiri B., Raman N. et al. // J. Biomol. Struct. Dyn. 2020. V. 39. P. 6500. https://doi.org/10.1080/07391102.2020.1801508
- Mo D., Shi J., Zhao D. et al. // J. Mol. Struct. 2021. V. 1223. Art. e129229. https://doi.org/10.1016/j.molstruc.2020.129229
- Simunkova M., Lauro P., Jomova K. et al. // J. Inorg. Biochem. 2019. V. 194. P. 97. https://doi.org/10.1016/j.jinorgbio.2019.02.010
- Singh Y.P., Patel S.K. // J. Mol. Struct. 2021. V. 1228. Art. e129457. https://doi.org/10.1016/j.molstruc.2020.129457
- Siqueira J.D., de Pellegrin S.F., dos Santos S.S. // J. Inorg. Biochem. 2020. V. 204. Art. e110950. https://doi.org/10.1016/j.jinorgbio.2019.110950
- Riley D.P. // Chem. Rev. 1999. V. 99. P. 2573. https://doi.org/10.1021/cr980432g
- Hordyjewska A., Popiołek L., Kocot J. // Biometals. 2014. V. 27. P. 611. https://doi.org/10.1007/s10534-014-9736-5
- Balsano C., Sideri S. // Metallomics. 2018. V. 10. P. 1712. https://doi.org/10.1039/c8mt00219c
- Santini C., Pellei M., Gandin V. et al. // Chem. Rev. 2014. V. 114. P. 815. https://doi.org/10.1021/cr400135x
- Zalevskaya O.A, Gur’eva Y.A. // Russ. J. Coord. Chem. 2021. V. 47. P. 861. https://doi.org/10.1134/S1070328421120046
- Gur’eva Y.A., Zalevskaya O.A., Shevchenko O.G. et al. // RSC Advances. 2022. V. 12. P. 8841. https://doi.org/10.1039/d2ra00223j
- Davis W.W., Stout T.R. // Appl. Microbiology. 1971. V. 22. P. 659. https://doi.org/10.1128/am.22.4.659-665.1971
- Davis W.W., Stout T.R. // Appl. Microbiology. 1971. V. 22. P. 666. https://doi.org/10.1128/am.22.4.666-670.1971
- Santiago P.H.O., Tiago F.S., Castro M.S. et al. // J. Inorg. Biochem. 2020. V. 204. Art. e110949. https://doi.org/10.1016/j.jinorgbio.2019.110949
- Gordon A.T., Abosede O.O., Ntsimango S., et al. // Inorg. Chim. Acta. 2020. V. 510. e119744. https://doi.org/10.1016/j.ica.2020.119744
- Takebayashi J., Chen A., Tai A.A. // Advanced Protocols in Oxidative Stress II. Totowa (NJ, USA): Humana Press, 2010. P. 287. https://doi.org/10.1007/978-1-60761-411-1_20
- Niki E. // Free Radical Biology Medicine. 2010. V. 49. P. 503. https://doi.org/10.1016/j.freeradbiomed.2010.04.016
- Zou C.G., Agar N.S., Jones G.L. // Life Sciences. 2001. V. 69. P. 75. https://doi.org/10.1016/S0024-3205(01)01112-2
- Shiva Shankar Reddy C.S., Subramanyam M.V.V., Vani R., Asha Devi S. // Toxicol. Vitr. 2007. V. 21. P. 1355. https://doi.org/10.1016/j.tiv.2007.06.010
- Ajila C.M., Rao P.U.J.S. // Food Chem. Tox. 2008. V. 46. P. 303. https://doi.org/10.1016/j.fct.2007.08.024
- Rocha S., Costa E., Coimbra S. et al. // Blood Cells Molecules Diseases. 2009. V. 43. P. 68. https://doi.org/10.1021/cr980432g
- Ko F.N., Hsiao G., Kuo Y.H. // Free Radical Biol. Med. 1997. V. 22. P. 215. https://doi.org/10.1016/S0891-5849(96)00295-X
Supplementary files


















