Copper(II) Furancarboxylate Complexes with 5-Nitro-1,10-Phenanthroline as Promising Biological Agents
- Authors: Koshenskova K.A.1, Baravikov D.E.1,2, Nelyubina Y.V.3, Primakov P.V.3, Shender V.O.4, Maljants I.K.4, Bekker O.B.5, Aliev T.M.3, Borodin E.A.6, Kotel’nikov D.D.6, Leusova N.Y.7, Mantrov S.N.2, Kiskin M.A.1, Eremenko I.L.1,3, Lutsenko I.A.1
-
Affiliations:
- Kurnakov Institute of General and Inorganic Chemistry, Russian Academy of Sciences, Moscow, Russia
- Mendeleev University of Chemical Technology of Russia, Moscow, Russia
- Nesmeyanov Institute of Organoelement Compounds, Russian Academy of Sciences, Moscow, Russia
- Lopukhin Federal Research and Clinical Center of Physical Chemical Medicine, Federal Medical Biological Agency, Moscow, Russia
- Vavilov Institute of General Genetics, Russian Academy of Sciences, Moscow, Russia
- Amur State Medical Academy, Blagoveshchensk, Russia
- Institute of Geology and Nature Management, Far East Branch, Russian Academy of Sciences, Blagoveshchensk, Russia
- Issue: Vol 49, No 10 (2023)
- Pages: 632-643
- Section: Articles
- URL: https://journal-vniispk.ru/0132-344X/article/view/162297
- DOI: https://doi.org/10.31857/S0132344X23600212
- EDN: https://elibrary.ru/MYGCWR
- ID: 162297
Cite item
Full Text
Abstract
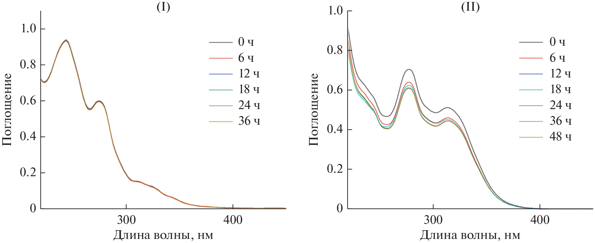
The reaction of copper(II) acetate with 2-furancarboxylic (HFur)/5-nitro-2-furancarboxylic (HNfur) acids and 5-nitro-1,10-phenanthroline (Nphen) in methanol resulted in the formation of the binuclear coordination compounds [Cu2(L)4(Nphen)2]·X (L = Fur (I), Nfur (II); X = H2O (I)), which were structurally studied by direct X-ray diffraction (CCDC no. 2244205 (I) and 2244206 (II)). According to X-ray diffraction data, the coordination environment of the central metal ion in I and II is composed of two nitrogen atoms of Nphen and three oxygen atoms of the acid anions, which thus form the {CuN2O3} tetragonal pyramid in which the copper coordination number is five. Intermolecular hydrogen bonds and stacking interactions between the Nphen aromatic rings provide supramolecular stabilization of I and II. A characteristic feature of supramolecular organization of II is the presence of a coordination bond between the Cu2+ cation and oxygen of the Nphen NO2- group of parallel chains. A biological activity assay for complexes I and II concerning the cytotoxic properties against a human ovarian adenocarcinoma cell line (SKOV3) and the mycobacterial strain Mycolicibacterium smegmatis showed an efficient suppression of cell viability. The results of mathematical modeling of the probability of Cu2+ binding to amino acid residues of M. smegmatis proteins suggested the affinity of the Cu(II) ion to a number of amino acids in polypeptide sites. It was shown that metal ion binding in mycobacterial proteins is more characteristic of histidine- and glutamic acid-containing moieties.
About the authors
K. A. Koshenskova
Kurnakov Institute of General and Inorganic Chemistry, Russian Academy of Sciences, Moscow, Russia
Email: irinalu05@rambler.ru
Россия, Москва
D. E. Baravikov
Kurnakov Institute of General and Inorganic Chemistry, Russian Academy of Sciences, Moscow, Russia; Mendeleev University of Chemical Technology of Russia, Moscow, Russia
Email: irinalu05@rambler.ru
Россия, Москва; Россия, Москва
Yu. V. Nelyubina
Nesmeyanov Institute of Organoelement Compounds, Russian Academy of Sciences, Moscow, Russia
Email: irinalu05@rambler.ru
Россия, Москва
P. V. Primakov
Nesmeyanov Institute of Organoelement Compounds, Russian Academy of Sciences, Moscow, Russia
Email: irinalu05@rambler.ru
Россия, Москва
V. O. Shender
Lopukhin Federal Research and Clinical Center of Physical Chemical Medicine, Federal Medical Biological Agency, Moscow, Russia
Email: irinalu05@rambler.ru
Россия, Москва
I. K. Maljants
Lopukhin Federal Research and Clinical Center of Physical Chemical Medicine, Federal Medical Biological Agency, Moscow, Russia
Email: irinalu05@rambler.ru
Россия, Москва
O. B. Bekker
Vavilov Institute of General Genetics, Russian Academy of Sciences, Moscow, Russia
Email: irinalu05@rambler.ru
Россия, Москва
T. M. Aliev
Nesmeyanov Institute of Organoelement Compounds, Russian Academy of Sciences, Moscow, Russia
Email: irinalu05@rambler.ru
Россия, Москва
E. A. Borodin
Amur State Medical Academy, Blagoveshchensk, Russia
Email: irinalu05@rambler.ru
Россия, Благовещенск
D. D. Kotel’nikov
Amur State Medical Academy, Blagoveshchensk, Russia
Email: irinalu05@rambler.ru
Россия, Благовещенск
N. Yu. Leusova
Institute of Geology and Nature Management, Far East Branch, Russian Academy of Sciences, Blagoveshchensk, Russia
Email: irinalu05@rambler.ru
Россия, Благовещенск
S. N. Mantrov
Mendeleev University of Chemical Technology of Russia, Moscow, Russia
Email: irinalu05@rambler.ru
Россия, Москва
M. A. Kiskin
Kurnakov Institute of General and Inorganic Chemistry, Russian Academy of Sciences, Moscow, Russia
Email: irinalu05@rambler.ru
Россия, Москва
I. L. Eremenko
Kurnakov Institute of General and Inorganic Chemistry, Russian Academy of Sciences, Moscow, Russia; Nesmeyanov Institute of Organoelement Compounds, Russian Academy of Sciences, Moscow, Russia
Email: irinalu05@rambler.ru
Россия, Москва; Россия, Москва
I. A. Lutsenko
Kurnakov Institute of General and Inorganic Chemistry, Russian Academy of Sciences, Moscow, Russia
Author for correspondence.
Email: irinalu05@rambler.ru
Россия, Москва
References
- Thompson K., Orvig C. // Dalton Trans. 2006. V. 6. P. 761.
- Allardyce C., Dyson P. // Dalton Trans. 2016. V. 45. P. 3201.
- Storr T., Thompson K.H., Orvig C. // Chem. Soc. Rev. 2006. V. 35. P. 534.
- Gregory P. Comprehensive Coordination Chemistry II: From Biology to Nanotechnology, Oxford: Elsevier, 2005. V. 9. 1062 p.
- Jalal M., Hammouti B., Touzani R. et al. // Mater. Today: Proceedings. 2020. V. 31. P. 122.
- Hamza A., Al-Sibaai A.A., Alwael H. et al. // Results Chem. 2022. V. 4. P. 100422.
- Li J., Ren G., Zhang Y. et al. // Polyhedron. 2019. V. 157. P. 163.
- Barry N., Sadler P. // Chem. Commun. 2013. V. 49. P. 5106.
- Chan W., Wong W. // Polyhedron. 2014. V. 83. P. 150.
- Medici S., Peana M., Nurchi V. et al. // Coord. Chem. Rev. 2015. V. 284. P. 329.
- Che C.-M., Siu F.-M. // Curr. Opin. Chem. Biol. 2010. V. 14. P. 255.
- Dilruba S., Kalayda G.V. // Cancer Chemother. Pharmacol. 2016. V. 77. P. 1103.
- Porchia M., Pellei M., Del Bello F. et al. // Molecules. 2020. V. 25. P. 5814.
- Ali I., Mahmood L.M.A., Mehdarassin T.H. et al. // Inorg. Chem. Commun. 2020. V. 118. P. 108004.
- Zhang Y., Zhou Y., Zhang H. et al. // J. Inorg. Biochem. 2021. V. 224. P. 111580.
- Pellei M., Del Bello F., Porchia M. et al. // Coord. Chem. Rev. 2021. V. 445. P. 214088.
- Paprocka R., Wiese-Szadkowska M., Janciauskiene S. et al. // Coord. Chem. Rev. 2022. V. 452. P. 214307.
- Viganor L., Howe O., McCarron P. et al. // Curr. Top. Med. Chem. 2017. V. 17. P. 1280.
- Al-Omair M. A. // Arab. J. Chem. 2019. V. 12. P. 1061.
- Ye J., Ma J., Liu C. // Biochem. Pharmacol. 2019. V. 166. P. 93.
- Simunkova M., Lauro P., Jomova K. et al. // J. Inorg. Biochem. 2019. V. 194. P. 97.
- Gordon A.T., Abosede O., Ntsimango S. et al. // Inorg. Chim. Acta. 2020. V. 510. P. 119744.
- Eremina J.A., Smirnova K.S., Klyushova L.S. et al. // J. Mol. Struct. 2021. V. 1245. P. 131024.
- Eremina J.A., Ermakova E.A., Smirnova K.S. et al. // Polyhedron. 2021. V. 206. P. 115352.
- Eremina J.A., Lider E.V., Kuratieva N.V. et al. // Inorg. Chim. Acta. 2021. V. 516. P. 120169.
- Eremina J.A., Lider E.V., Sukhikh T.S. et al. // Inorg. Chim. Acta. 2020. V. 510. P. 119778.
- Bravo-Gómez M., Campero-Peredo C., García-Conde D. et al. // Polyhedron. 2015. V. 102. P. 530.
- Davila-Manzanilla S., Figueroa-de-Paz Y., Mejia C. et al. // Eur. J. Med. Chem. 2017. V. 129. P. 266.
- Correia I., Borovic S., Cavaco I. et al. // J. Inorg. Biochem. 2017. V. 175. P. 284.
- Linder M.C., Hazegh-Azam M. // Am. J. Clin. Nutr. 1996. V. 63. P. 797.
- Kaim W., Rall J. // Angew. Chem. Int. Ed. 1996. V. 35. P. 43.
- Crichton R.R., Pierre J.-L. // Biometals. 2001. V. 14. P. 99.
- Луценко И.А., Баравиков Д.Е., Кискин М.А. и др. // Коорд. химия. 2020. Т. 46. № 6. С. 366 (Lutsenko I.A., Baravikov D.E., Kiskin M.A. et al. // Russ. J. Coord. Chem. 2020. V. 46. № 6. P. 411). https://doi.org/10.1134/S1070328420060056
- Луценко И.А., Ямбулатов Д.С., Кискин М.А. и др. // Коорд. химия. 2020. Т. 46. № 12. С. 715 (Lutsenko I.A., Yambulatov D.S., Kiskin M.A. et al. // Russ. J. Coord. Chem. 2020. V. 46. № 12. P. 787). https://doi.org/10.1134/S1070328420120040
- Lutsenko I.A., Yambulatov D.S., Kiskin M.A. et al. // Chem. Select. 2020. V. 5. P. 11837.
- Uvarova M.A., Lutsenko I.A., Kiskin M.A. et al. // Polyhedron. 2021. V. 203. P. 115241.
- Луценко И.А., Кискин М.А., Кошенскова К.А. и др. // Изв. АН. Сер. хим. 2021. Т. 3. С. 463 (Lutsenko I.A., Kiskin M.A., Koshenskova K.A. et al. // Russ. Chem. Bull. 2021. V. 70. № 3. P. 463). https://doi.org/10.1007/s11172-021-3109-3
- Луценко И.А., Никифорова М.Е., Кошенскова К.А. и др. // Коорд. химия. 2022. Т. 48. С. 83 (Lutsenko I.A., Nikiforova M.E., Koshenskova K.A. et al. // Russ. J. Coord. Chem. 2021. V. 47. № 12. P. 879). https://doi.org/10.31857/S0132344X22020049
- Lutsenko I.A., Baravikov D.E., Koshenskova K.A. et al. // RSC Advances. 2022. V. 12. P. 5173.
- Кошенскова К.А., Луценко И.А., Нелюбина Ю.В. и др. // Журн. неорган. химии. 2022. Т. 67. С. 1398 (Koshenskova K.A., Lutsenko I.A., Nelyubina Yu.V. et al. // Russ. J. Inorg. Chem. 2022. V. 67. P. 1545). https://doi.org/10.31857/S0044457X22700106
- Луценко И.А., Лосева О.В., Иванов А.В. и др. // Коорд. химия. 2022. Т. 48. С. 739 (Lutsenko I.A., Loseva O.V., Ivanov A.V. et al. Russ. J. Coord. Chem. 2022. V. 48. P. 808). https://doi.org/10.1134/S1070328422700178
- Naletova I., Satriano K., Cursi A. et al. // Oncotarget. 2018. V. 9. P. 36289.
- Pivetta T., Trudu F., Valletta E. et al. // J. Inorg. Biochem. 2014. V. 141. P. 103.
- Sheldrick G.M. // Acta Crystallogr. A. 2015. V. 71. P. 3.
- Dolomanov O.V., Bourhis L.J., Gildea R.J. et al. // J. A-ppl. Cryst. 2009. V. 42. P. 339.
- Lu C.H., Chen C.C., Yu C.S. // Bioinformatics. 2022. V. 38. № 18. P. 4428. https://doi.org/10.1093/bioinformatics/btac534
- Toigo J., Farias G., Salla C.A.M. et al. // Eur. J. Med. Chem. 2021. V. 31. P. 3177.
- Liu Y.-T., Yin X., Lai X.-Y. et al. // Dyes Pigm. 2020. V. 176. P. 108244.
- Ramon-García S., Ng C., Anderson H. et al. // Antimikrob. Agen. Chemother. 2011. V. 8. P. 3861.
- Bekker O.B., Sokolov D.N., Luzina O.A. et al. // Med. Chem. Res. 2015. V. 24. P. 2926.
Supplementary files











