The Search for Domestic Pharmaceutical Substances among Metal Complexes Based on (Hetero)arylamides of 4-Aryl-2-hydroxy-4-oxo-2-butenoic Acids
- Authors: Pulina N.A.1, Sobin F.V.1, Krasnova A.I.1
-
Affiliations:
- Perm State Pharmaceutical Academy, Perm, Russia
- Issue: Vol 49, No 10 (2023)
- Pages: 644-650
- Section: Articles
- URL: https://journal-vniispk.ru/0132-344X/article/view/162300
- DOI: https://doi.org/10.31857/S0132344X23600182
- EDN: https://elibrary.ru/TGGNTC
- ID: 162300
Cite item
Full Text
Abstract
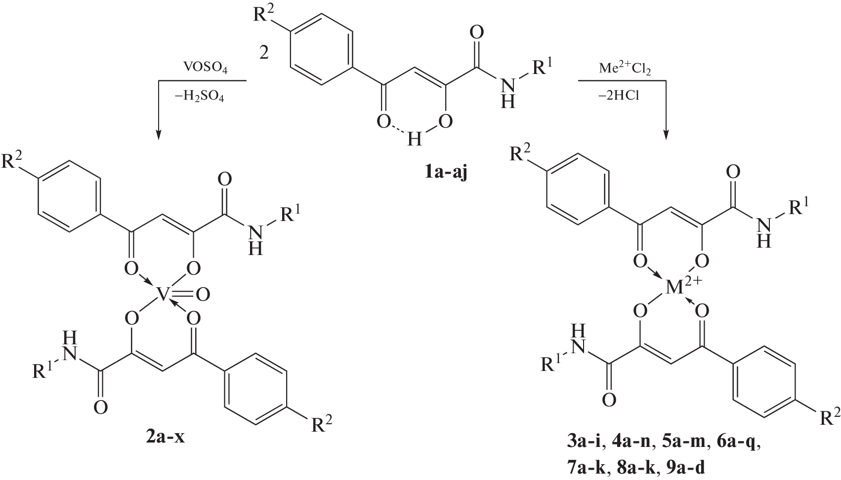
The data obtained on the synthesis and search for biological activity among metal complexes based on 4-aryl-2-hydroxy-4-oxo-2-butenoic acid (hetero)arylamides were integrated. The data on the antimicrobial, anti-inflammatory, analgesic, hypoglycemic, antihypoxic, and immunotropic activities of the synthesized compounds were analyzed. The relationship between the chemical structure and biological activity of chelate complexes was discussed and some regular features were identified. Promising compounds for further research and development of new domestic pharmaceutical substances were found.
About the authors
N. A. Pulina
Perm State Pharmaceutical Academy, Perm, Russia
Email: fff-2005@mail.ru
Россия, Пермь
F. V. Sobin
Perm State Pharmaceutical Academy, Perm, Russia
Email: fff-2005@mail.ru
Россия, Пермь
A. I. Krasnova
Perm State Pharmaceutical Academy, Perm, Russia
Author for correspondence.
Email: fff-2005@mail.ru
Россия, Пермь
References
- Beyer C., Cleisen L. // Ber. Deutsch. Chem. Ges. 1887. № 2. P. 2178.
- Brömme E., Claisen L. // Ber. Deutsch. Chem. Ges. 1888. № 1. P. 1131.
- Андрейчиков Ю.С., Гейн В.Л., Залесов В.В. и др. Химия пятичленных 2,3-диоксогетероциклов. Пермь: Изд-во Перм. гос. ун-та, 1994. 211 с.
- Перевалов С.Г., Бургарт Я.В., Салоутин В.И. и др. // Успехи химии. 2001. Т. 70. № 11. С. 1039 (Perevalov S.G., Burgart Ya.V., Saloutin V.I. et al. // Russ. Chical Rev. 2001. V. 70. № 11. P. 921).
- Козьминых В.О., Козьминых Е.Н. // Хим.-фарм. журн. 2004. Т. 38. № 2. С. 10 (Kozminykh V.O., Kozminykh E.N. // Pharm. Chem. J. 2004. V. 38. P. 67).
- Williams H.W.R., Eichler E., Randall W.C. et al. // J. Med. Chem. 1983. № 26. P. 1196.
- Drysdale M.J., Hind S.L., Jansen M. et al. // J. Med. Chem. 2000. № 43. P. 123.
- Pais G.C.G., Zhang X., Marchand C. et al. // J. Med. Chem. 2002. № 45. P. 3184.
- Maurin C., Bailly F., Cotelle P. // Tetrahedron. 2004. № 60. P. 6479.
- Maurin C., Bailly F., Mbemba G. et al. // Bioorg. Med. Chem. 2006. № 14. P. 2978.
- Juranić I.O., Tošić A.V., Kolundžija B. et al. // Mol. Di-vers. 2014. V. 18. № 3. P. 577.
- Mihajlovic K., Joksimović N., Radisavljević S. et al. // J. Mol. Struct. 2022. № 1270. P. 133943.
- Drakulić B.J., Stavri M., Gibbons S. et al. // ChemMedChem. 2009. V. 4. № 12. P. 1971.
- Cvijetic I.N., Verbic T.Z., Resende P.E. et al. // Eur. J. Med. Chem. 2017. № 143. P. 1474.
- Пулина Н.А., Липатников К.В., Дубровина С.С. и др. Пат. РФ 2717243 C2 // Б.И. 2020. № 8. 8 с.
- Stevaert A., Dallocchio R., Dessì A. et al. // J. Virol. 2013. V. 87. № 19. P. 10524.
- Пулина Н.А., Юшкова Т.А., Кузнецов А.С. и др. Пат. РФ 2655609 C2 // Б.И. 2018. № 16. 8 с.
- Sanna V., Youssef M.F., Pala N. et al. // ASC Med. Chem. Lett. 2020. № 11. P. 857.
- Fernández-García Y., Ter Horst S., Bassetto M. et al. // Antiviral Res. 2020. № 183. P. 104947.
- Пулина Н.А., Сыропятов Б.Я., Собин Ф.В. и др. Пат. РФ 2461550 C2 // Б.И. 2012. № 26. 6 с.
- Пулина Н.А., Кузнецов А.С., Старкова А.В. и др. Пат. РФ 2663624 C1 // Б.И. 2018. № 22. 7 с.
- Пулина Н.А., Кожухарь В.Ю., Старкова А.В. и др. Пат. РФ 2679450 C2 // Б.И. 2019. № 5. 8 с.
- Пулина Н.А., Кожухарь В.Ю., Кузнецов А.С. и др. // Изв. АН. Сер. хим. 2017. № 8. С. 1497 (Pulina N.A., Kozhukhar V.Y., Kuznetsov A.S. et al. // Russ. Chem. Bull. 2017. № 8. P. 1497).
- Клименко Л.Л., Скальный А.В., Турна А.А. и др. // Микроэлементы в медицине. 2016. Т. 17. № 4. С. 3.
- Barnhamabc K.J., Bush A.I. // Chem. Soc. Rev. 2014. № 43. P. 6727.
- Sechi M., Bacchi A., Carcelli M. et al. // J. Med. Chem. 2006. № 49. P. 4248.
- Bacchi A., Biemmi M., Carcelli M. et al. // J. Med. Chem. 2008. № 51. P. 7253.
- Bacchi A., Carcelli M., Compari C. et al. // J. Med. Chem. 2011. № 54. P. 8407.
- Carcelli M., Rogolino D., Sechi M. et al. // Eur. J. Med. Chem. 2014. № 83. P. 594.
- Landry B.R., Turnbull M.M., Twamley B. // J. Chem. Crystallogr. 2007. № 37. P. 81.
- Drakulić B.J., Stavri M., Gibbons S. et al. // ChemMedChem. 2009. № 4. P. 1971.
- Joksimović N., Baskić D., Popović S. et al. // Dalton Trans. 2016. № 45. P. 15067.
- Joksimović N., Janković N., Petronijević E. et al. // J. Med. Chem. 2020. № 16. P. 78.
- Joksimović N., Petronijević E., Radisavljević S. et al. // RSC Adv. 2022. № 16. P. 30501.
- Saloutin V.I., Perevalov S.G. // J. Fluor. Chem. 1999. № 96. P. 87.
- Shchur I.V., Shchegolkov E.V., Burgart Ya.S. et al. // Polyhedron. 2020. № 177. P. 114279.
- Shchegolkov E.V., Shchur I.V., Burgart Ya.S. et al. // Polyhedron. 2021. № 194. P. 114900.
- Saloutin V.I., Burgart Ya.S., Edilova Yu.O. et al. // Russ. Chem. Bull. 2021. V. 70. № 5. P. 839.
- Козьминых В.О., Муковоз П.П., Кириллова Е.А. и др. // Вестн. Оренбург. гос. ун-та. 2009. № 1. С. 128.
- Козьминых В.О., Кириллова Е.А., Виноградов А.Н. и др. // Вестн. Оренбург. гос. ун-та. 2009. № 4. С. 135.
- Кунавина Е.А., Козьминых В.О, Сизенцов А.Н. и др. // Журн. общ. химии. 2019. Т. 89. № 1. С. 78.
- Андрейчиков Ю.С., Милютин А.В., Крылова И.В. и др. // Хим.-фарм. журн. 1990. Т. 24. № 7. С. 33 (Andreychikov Yu.S., Milutin A.V., Krylova I.V. et al. // Pharm. Chem. J. 1990. V. 24. P. 473).
- Милютин А.В., Амирова Л.Р., Назаметдинов Ф.Я. и др. // Хим.-фарм. журн. 1996. Т. 30. № 6. С. 47 (Andreychikov Yu.S., Milutin A.V., Krylova I.V. et al. // Pharm. Chem. J. 1996. V. 30. P. 332).
- Козьминых В.О., Милютин А.В., Махмудов Р.Р. и др. // Хим.-фарм. журн. 2004. Т. 38. № 12. С. 21 (Kozminykh V.O., Milutin A.V., Makhmudov R.R. et al. // Pharm. Chem. J. 2004. V. 38. P. 665).
- Пулина Н.А., Залесов В.В., Юшков В.В. и др. // Вопр. биол. мед. фарм. химии. 2008. № 2. С. 37.
- Пулина Н.А., Юшкова Т.А., Краснова А.И. и др. // Фармация. 2009. № 7. С. 36.
- Пулина Н.А., Краснова А.И., Собин Ф.В. и др. // Бюл. сиб. мед. 2011. № 5. С. 86.
- Пулина Н.А., Собин Ф.В., Юшкова Т.А. и др. // Хим.-фарм. журн. 2014. Т. 48. № 8. С. 20 (Pulina N.A., Sobin F.V., Yushkova T.A. et al. // Pharm. Chem. J. 2014. № 8. Р. 505).
- Пулина Н.А., Залесов В.В., Мокин П.А. // Баш. хим. журн. 2007. № 3. С. 52.
- Пулина Н.А., Мокин П.А., Юшков В.В. и др. // Хим.-фарм. журн. 2008. Т. 42. № 7. С. 14 (Pulina N.A., Mokin P.A., Yushkov V.V. et al. // Pharm. Chem. J. 2008. № 7. P. 389).
- Пулина Н.А., Собин Ф.В., Одегова Т.Ф. и др. // Вопр. биол. мед. фарм. химии. 2010. № 10. С. 40.
- Пулина Н.А., Собин Ф.В., Краснова А.И. и др. // Хим.-фарм. журн. 2011. Т. 45. № 5. С. 18 (Pulina N.A., Sobin F.V., Krasnova A.I. et al. // Pharm. Chem. J. 2011. № 5. P. 275).
- Пулина Н.А., Краснова А.И., Юшкова Т.А. и др. // Вопр. биол. мед. фарм. химии. 2013. № 4. С. 26.
- Пулина Н.А., Собин Ф.В., Коньшина Т.М. // Медицина и образование в Сибири. 2011. № 5. С. 19.
- Руководство по экспериментальному (доклиническому) изучению новых фармакологических веществ / Под ред. Хабриева Р.У. М.: Медицина, 2005. 828 с.
- Гацура В.В. Методы первичных фармакологических исследований биологически активных веществ. М.: Медицина, 1974. 39 с.
- Руководство по проведению доклинических исследований лекарственных средств / Под ред. Миронова А.Н. М.: Гриф и К, 2012. 944 с.
- Юрасова А.А., Макарова А.С., Скобелев Д.О. // Токсикол. вест. 2011. № 1. С. 2.
- Пулина Н.А., Юшков В.В., Собин Ф.В. и др. Пат. РФ 2396263 C2 // Б.И. 2010. № 22. 7 с.
- Пулина Н.А., Юшкова Т.А., Краснова А.И. и др. Пат. РФ 2432355 C2 // Б.И. 2011. № 30. 7 с.
- Пулина Н.А., Юшков В.В., Мокин П.А. и др. Пат. РФ 2342364 C1 // Б.И. 2008. № 36. 5 с.
- Пулина Н.А., Юшков В.В., Юшкова Т.А. и др. Пат. РФ 2364591 C1 // Б.И. 2009. № 23. 6 с.
- Краснова А.И. Дисс. канд. фарм. наук. Пермь: Перм. гос. фарм. акад., 2011.
- Пулина Н.А., Юшкова Т.А., Краснова А.И. и др. // Вест. РУДН. Сер. Медицина. 2010. № 4. С. 423.
- Пулина Н.А., Юшкова Т.А., Краснова А.И. // Хим.-фарм. журн. 2015. Т. 49. № 7. С. 29 (Pulina N.A., Yushkova T.A., Krasnova A.I. // Pharm. Chem. J. 2015. № 7. Р. 459).
- Юшкова Т.А., Краснова А.И., Пулина Н.А. // Росс. иммунол. журн. 2014. № 3. С. 58.
Supplementary files






