Synthesis and Study of Mono(arylhydrazino)acenaphthenones and Nickel Complex based on Pyridine-substituted Derivative
- Authors: Bakaev I.V.1, Komlyagina V.I.1,2, Romashev N.F.1, Gushchin A.L.1
-
Affiliations:
- Nikolaev Institute of Inorganic Chemistry, Siberian Branch, Russian Academy of Sciences
- Novosibirsk State National Research University
- Issue: Vol 50, No 5 (2024)
- Pages: 287-295
- Section: Articles
- URL: https://journal-vniispk.ru/0132-344X/article/view/265268
- DOI: https://doi.org/10.31857/S0132344X24050012
- EDN: https://elibrary.ru/NKOJGP
- ID: 265268
Cite item
Full Text
Abstract
Three mono(arylhydrazino)acenaphthenones, that is, mono(2-pyridylhydrazino)acenaphthenone (Py-mhan, L1), mono(4-cyanophenylhydrazino)acenaphthenone (4-CN-Ph-mhan, L2), and mono(3,4,6-trifluoro-2-pyridylhydrazino)acenaphthenone (FPy-mhan, L3), were synthesized by the reaction of acenaphthene quinone with the appropriate arylhydrazine salt; compounds L2 and L3 were obtained for the first time. The subsequent reaction of L1 with nickel chloride in 2 : 1 ratio led to the octahedral complex [Ni(Py-mhan)2] (I), in which Py-mhan acts as a tridentate ligand. All of the prepared compounds were characterized by elemental analysis, IR and 1H NMR spectroscopy, and cyclic voltammetry; the crystal structures of L3 and I were determined by X-ray diffraction.
Full Text
Моноарилгидразиноаценафтеноны (Ar-mhan) являются родственными соединениями по отношению к хорошо изученному классу аценафтениминов [1–5]. Ключевой особенностью аценафтениминов является способность обратимо принимать на себя до четырех электронов [6–8] и обратимо обмениваться ими с координирующим металлом, что позволяет запускать различные окислительно-восстановительные превращения. Благодаря этому металлокомплексы на основе иминоаценафтенов хорошо зарекомендовали себя в качестве катализаторов реакций активации малых молекул [9, 10], полимеризации олефинов [11–15], гидроаминирования и гидросилирования [16–20] и множества других превращений [9, 21–23].
Основным отличием Ar-mhan от аценафтениминов является наличие кислого NH-протона, при отщеплении которого образуется резонансно-стабилизированный анион, способный эффективно координировать ионы металлов бидентатным способом. Ar-mhan также являются редокс-активными соединениями: ранее была показана их способность к обратимому одноэлектронному восстановлению и необратимому окислению [24]. Однако металлокомплексы с Ar-mhan практически не изучены. На сегодняшний день известно лишь несколько примеров соединений с 3d-металлами (Zn, Co, Cu), полученных в группе профессора Дж. Яна [25–27]. В нашем коллективе синтезированы гетеролептические комплексы палладия общего вида [Pd(Ar-bian)(Ar-mhan)](CF3SO3)2, демонстрирующие внутримолекулярный перенос заряда с Ar-mhan на Ar-bian в ближней ИК-области [24]. Низкая величина энергетического зазора ВЗМО–НСМО, характерная как для аценафтенгидразонов, так и для их комплексов, позволяет предположить возможность их использования в качестве донора электронов для органических солнечных элементов [24, 28].
Цель настоящего исследования – разработка подходов к синтезу моноарилгидразиноаценафтенонов (Ar-mhan) с ароматическими акцепторными заместителями, изучение координации Py-mhan к иону Ni(II) и электрохимических свойств полученных соединений.
ЭКСПЕРИМЕНТАЛЬНАЯ ЧАСТЬ
В статье использовали следующие реактивы: аценафтенхинон (Sigma Aldrich, 99%), NiCl2 · 6H2O (Sigma Aldrich, 99%) 4-цианофенилгидразин (Sigma Aldrich, 98%), 2-пиридилгидразин (Sigma Aldrich, 98%), 3,4,6-трифтор-2-пиридилгидразин (Sigma Aldrich, 98%) использовали без предварительной очистки. Растворители очищали по стандартным методикам. ИК-спектры в области 4000–400 см–1 записывали на спектрометре Scimitar FTS 2000 с образцов, запрессованных в таблетки KBr. Элементный анализ на C, H, N, S выполнен на приборе Euro EA 3000. Спектры ЯМР регистрировали на спектрометре Bruker Avance 500 при комнатной температуре с использованием в качестве стандарта для 1Н ЯМР ТМС (внутренний) в CDCl3.
Электрохимические исследования растворов проводили на приборе 797 VA Computrace (Metrohom, Switzerland) с использованием трехэлектродной ячейки объемом 10 мл. В качестве вспомогательного электрода использовали платиновый электрод, в качестве электрода сравнения – хлорсеребряный электрод, заполненный KCl (3M). В качестве рабочего электрода использовали стеклоуглеродный дисковый электрод (d = 3 мм). В качестве фонового электролита использовали 0.1 M раствор Bu4NPF6 в дихлорметане, скорость сканирования 100 мВ/с. В качестве внутреннего стандарта использовали ферроцен с потенциалом E1/2 = 0.49 В (отн. Ag/AgCl). Концентрации варьировались в пределах 8 × 10–4 – 2 × 10–3 M. Потенциал полуволны (E1/2) рассчитывали как полусумму потенциалов анодного и катодного пиков.
РСА соединений L3 и I выполнен на монокристальном дифрактометре Bruker D8 Venture (0.5° ω- и φ-сканирование, трехкружный гониометр с фиксированным χ, КМОП-детектор PHOTON III, фокусировка с помощью зеркал Монтеля) при температуре 150 К, используя MoKα-излучение (λ = 0.71073 Å). Структуры расшифрованы с использованием программы SHELXT [29] и уточнены с помощью программы SHELXL [30]referred to simply as ‘a CIFʹ с использованием графической оболочки ShelXle [31]. Атомы водорода локализованы геометрически и уточнены в модели “наездника”. Параметры рентгеноструктурных экспериментов приведены в табл. 1.
Таблица 1. Основные кристаллографические данные и параметры уточнения структур L3 и I
Параметр | Значение | |
L3 | I | |
Формула | C17H8N3O F3 | C34H20N6O2Ni |
М | 327.26 | 603.27 |
Температура, K | 150 | 150 |
Сингония | Моноклинная | Моноклинная |
Пространственная группа, Z | P21/n, 4 | P21/n, 4 |
a, Å | 6.7344(12) | 9.2104(7) |
b, Å | 13.667(2) | 18.0055(14) |
c, Å | 15.240(3) | 16.1540(14) |
β, град | 95.896(8) | 92.452(3) |
V, Å3 | 1395.3(4) | 2676.5(4) |
ρ (выч.), г/см3 | 1.558 | 1.497 |
µ, мм–1 | 0.128 | 0.771 |
Размеры кристалла, мм | 0.210 × 0.025 × 0.012 | 0.060 × 0.040 × 0.010 |
Диапазон сбора данных по θ, град | 2.006–25.451 | 1.694–25.400 |
Диапазоны h, k, l | –8 ≤ h ≤ 8, –15 ≤ k ≤ 16, –18 ≤ l ≤ 16 | –11 ≤ h ≤ 10, –21 ≤ k ≤ 21, –19 ≤ l ≤ 19 |
Число измеренных рефлексов | 11876 | 25267 |
Число независимых отражений (Rint) | 2568 (0.0509) | 4907 (0.0604) |
GOOF | 1.044 | 1.015 |
R1/wR2 (по рефлексам с I > 2σ(I)) | 0.0510/0.1302 | 0.0367/0.0791 |
R1/wR2 (по всем рефлексам) | 0.0900/0.1470 | 0.0593/0.0874 |
Δρmax, Δρmin, e/Å3 | 0.333, –0.209 | 0.388, –0.382 |
Полные таблицы межатомных расстояний и валентных углов, координаты атомов и параметры атомных смещений депонированы в Кембриджском банке структурных данных (CCDC № 2301857 (L3) и 2301856 (I). http://www.ccdc.cam.ac.uk/conts/retrieving).
Синтез Py-mhan (L1). Cмесь 300 мг 2-PyNHNH2 (2.75 ммоль) и 500 мг аценафтенхинона (2.75 ммоль) в 30 мл этанола перемешивали в течение 3 ч. В ходе реакции образовался ярко-оранжевый осадок, который отфильтровывали, промывали этанолом и высушивали в вакууме. Выход L1–639 мг (85%).
ЯМР 1H (CDCl3; δ, м.д.): 13.12 (с., H1), 8.35 (д., H9, J = 4.7 Гц), 8.17 (д., H2, J = 8.3 Гц), 8.09 (д., H7, J = 7.0 Гц), 7.91 (т., 2H (H3, H6)), 7.80– 7.70 (м., 4H (H4, H5, H11, H12)), 7.00 (м., H10).
ИК (KBr; ν, см–1): 3468 ш.ср, 3248 ш.ср, 3052 ш.ср, 1676 с, 1607 с, 1593 с, 1573 с, 1553 с, 1502 с, 1458 сл, 1437), 1354 сл, 130 (ср, 1252 р), 1190 с, 1148 ср, 1057 (с), 1026 (с), 1007 ср, 937 с, 867 ср, 831 с, 804 с, 775 с) 746 ср, 690 сл, 642 с), 582 (ср), 529 (с), 490 сл, 455 ср, 409 сл.
Найдено, %: C 74.4; H 4.24; N 15.5.
Для C17H11N3O
вычислено, %: C 74.71; H 4.06; N 15.38.
Синтез 4-CN-Ph-mhan (L2). Смесь 466 мг хлорида 4-цианофенилгидразина (2.75 ммоль) и 500 мг аценафтенхинона (2.75 ммоль) в 30 мл этанола перемешивали в течение 1.5 ч. В ходе реакции выпал объемный ярко-желтый осадок, который отфильтровывали, промывали этанолом и сушили в вакууме. Выход L2 –713 мг (87%).
ЯМР 1H (CDCl3; δ, м.д.): 13.23 (ш. с., H1), 8.21 (д, H2, J = 8.2 Гц), 8.09 (д., H7, J = 7.0 Гц), 7.95 (д., H4, J = 8.3 Гц), 7.91 (д., H5, J = 6.9 Гц), 7.80 т., H3), 7.75 (т., H6), 7.68 (д., H9,11, J = 8.8 Гц), 7.50 (д., H8,12, J = 8.7 Гц).
ИК (KBr; ν, см–1): 3460 ш.ср, 3215 ш.ср, 3055 ш.ср, 2220 с, 1676 с, 1608 с, 1557 с, 1516 с, 1454 сл, 1435 сл, 1417 сл, 1244 с, 1173 с, 1059 с, 1026 с, 1009 ср, 943 с, 873 ср, 845 ср, 825 с, 794 с, 775(с, 677 ср, 517 сл, 500 сл.
Найдено, %: C 76.9; H 3.55; N 14.0.
Для C19H11N3O
вычислено, %: C 76.76; H 3.73; N 14.13.
Синтез FPy-mhan (L3). Смесь 448 мг 3,4,6-трифтор-2-пиридилгидразина (2.75 ммоль) и 500 мг аценафтенхинона (2.75 ммоль) в 30 мл этанола перемешивали в течение 3 ч. В ходе реакции образовался ярко-оранжевый осадок, который отфильтровывали, промылива этанолом и сушили в вакууме. Выход L3– 791 мг (88%). Монокристаллы L3, пригодные для рентгеноструктурного анализа, были получены путем медленной диффузии паров диэтилового эфира в раствор L3 в дихлорметане.
ЯМР 1H (CDCl3; δ, м.д.): 13.54 (ш.с., H1), 8.22 (д., H2, J = 8.2 Гц), 8.10 (д., H7, J = 6.7 Гц), 8.09 (д., H5, J = 6.7 Гц), 7.98 (д., H4, J = 8.3 Гц), 7.81 (т., H3), 7.76 (т., H6), 7.51 (кв., H11).
ИК (KBr; ν, см–1): 3457 ш.ср, 3234 ш.сл, 3179 ш.сл, 3064 ш.сл, 1677 с, 1637 ср, 1606 ср, 1556 ср, 1523 с, 1461 с, 1443 с, 1353 сл, 1279 ср, 1209 с, 1198 с, 1177 с, 1057 с, 1029 с, 924 ср, 921 ср, 830 ср, 802 ср, 776 с, 764 ср, 721 сл, 685 сл, 660 с, 615 сл 583 сл, 551 сл, 518 ср, 487 сл, 466 сл, 426 сл.
Найдено, %: C 62.2; H 2.65; N 12.6.
Для C17H8N3OF3
вычислено, %: C 62.39; H 2.46; N 12.84.
Синтез [Ni(Py-mhan)2] (I). К суспензии NiCl2 · 6H2O (100 мг, 0.42 ммоль) в 20 мл этанола добавляли Py-mhan (230 мг, 0.84 ммоль) и 200 мкл триэтиламина. В течение 2 ч выпал красный мелкокристаллический осадок, который отфильтровывали, промывали этанолом и сушили в вакууме. Выход I 203 мг (80%). Монокристаллы I, пригодные для рентгеноструктурного анализа, получали путем медленной диффузии паров диэтилового эфира в раствор I в дихлорметане.
ИК (KBr; ν, см–1): 3047 сл, 3020 сл, 1596 с, 1521 с, 1483 сл, 1457 ср, 1416 с, 1366 сл, 1330 ср, 1302 ср, 1278 ср, 1238 с, 1178 с, 1135 с, 1103 ср, 1088 ср,1067 ср,1025 ср, 1004 ср, 974 ср, 965 ср, 899 с, 874 ср, 827 ср, 773 с, 747 сл, 674 сл, 628 сл, 590 сл, 531 ср, 494 сл, 422 сл.
Найдено, %: C 67.4; H 3.13; N 13.6.
Для C34H20N2O2Ni
вычислено, %: C 67.69; H 3.34; N 13.93.
РЕЗУЛЬТАТЫ И ИХ ОБСУЖДЕНИЕ
Моноарилгидразиноаценафтеноны (Ar-mhan) могут быть получены по реакции конденсации аценафтенхинона с соответствующими арилгидразинами или их солями в стехиометрии 1 : 1 в этаноле или толуоле [24]. Важно отметить, что в ходе данной реакции образуется лишь продукт присоединения одного эквивалента арилгидразина к аценафтенхинону. Вероятнее всего, это можно объяснить наличием таутомерного равновесия между кетогидразоновой и азаеноловой формами [25].
В рамках данной работы были получены три соединения класса Ar-mhan: Py-mhan (L1), 4-CN-Ph-mhan (L2) и FPy-mhan (L3) (cхема 1). Дальнейшее взаимодействие L1 с NiCl2 · 6H2O в присутствии триэтиламина приводит к образованию комплекса [Ni(Py-mhan)2] (I). В ходе реакции происходит элиминирование гидразинового протона Py-mhan с дальнейшей координацией Py-mhan в качестве аниона.
Чистота соединений L1–L3, I была подтверждена с помощью элементного анализа.
Cхема 1. Cинтез соединений L1–L3, I и нумерация протонов в соединениях L1–L3
В ИК-спектрах соединений L1–L3 наблюдаются широкие полосы валентных колебаний ν(N–H) в области 3468–3457 см–1. Колебания связей ν(C=O) и ν(C=N) проявляются в областях 1677–1676 и 1608–1523 см–1 соответственно. Также наблюдаются сигналы колебаний δoop(C–H) аценафтенового фрагмента и замещенного бензольного кольца в области 831–775 см–1. В ИК-спектре комплекса I наблюдается смещение полос валентных колебаний связей ν(C=O) (1596 см–1) и ν(C=N) (1521 см–1) в низкоэнергетическую область по сравнению со свободным лигандом I, что указывает на координацию Py-mhan к иону никеля.
В спектрах ЯМР 1H соединений L1–L3 обнаружены сигналы всех ароматических и алифатических протонов. Сигнал гидразинового протона проявляется в виде уширенного синглета при 13.12, 13.23 и 13.54 м.д. для L1, L2, L3 соответственно. Сигналы аценафтенового фрагмента проявляются в виде четырех дублетов с характерной константой КССВ 3JHH = 6.7–8.2 Гц и двух триплетов. Для соединения I близость химических сдвигов сигналов протонов приводит к образованию мультиплета в ароматической области. Расщепление сигналов протонов замещенного фенильного кольца в соединениях L2 и L3 проявляются в соответствии с типом замещения. Для комплекса I не удалось записать спектр ЯМР 1H ввиду наличия парамагнитного центра Ni(II).
Молекулярное строение соединений L3 и I было установлено с помощью РСА. Монокристаллы L3 были получены путем медленной диффузии паров диэтилового эфира в раствор L3 в дихлорметане. Строение L3 показано на рис. 1. Расстояния C–O и C–N составляют 1.238(3) и 1.302(3) Å соответственно, что несколько больше, чем стандартные длины двойных связей C=O и C=N. При этом расстояния C–C и N–N несколько укорочены и составляют 1.498(4) и 1.341(3) Å соответственно, что несколько меньше, чем стандартные длины одинарной связи С–С и N–N. Это может быть связано с наличием кетогидразоновой и азаеноловой таутомерных форм, которые отличаются между собой длинами связей и положением атома водорода, что приводит к усреднению длин связей в структуре [25]. Водородная связь O···H замыкает образование шестичленного цикла, расстояние O–N составляет 2.718(3) Å.
Рис. 1. Молекулярное строение L3 по данным РСА
Монокристаллы I были получены путем медленной диффузии паров диэтилового эфира в раствор I в дихлорметане. Молекулярное строение I представлено на рис. 2, характеристичные длины связей приведены в табл. 2. Атом никеля находится в искаженном октаэдрическом окружении, состоящeм из четырех атомов азота и двух атомов кислорода. Каждый лиганд выступает в качестве аниона и координируется тридентатно: атомами азота и кислорода кетогидразонового фрагмента и атомом азота пиридинового кольца. Расстояния Ni–N(Py) одинаковы в пределах погрешности и составляют 2.061(2) и 2.058(2) Å, что попадает в диапазон значений связей Ni–N с пиридиновыми лигандами [32–35]. Расстояния связей Ni–N (гидразон) также одинаковы и составляют 1.997(2) и 1.996(2) Å, тогда как расстояния Ni–O равны 2.1767(18) и 2.2461(17) Å. Расстояния С–N, C–O и N–N кетогидразонового фрагмента Py-mhan соответствуют полуторной кратности связи, что объясняется наличием резонансной делокализации отрицательного заряда по кетогидразоновому фрагменту, стабилизирующей данный анион.
Рис. 2. Молекулярное строение I по данным РСА
Таблица 2. Основные геометрические параметры молекулярной структуры I
Связь | Длина связи, Å |
Ni–N (Py) | 2.061(2)/2.058(2) |
Ni–N (гидразон) | 1.997(2)/1.996(2) |
Ni–O | 2.1767(18)/2.2461(17) |
C–O | 1.253(3)/1.248(3) |
C–C | 1.452(3)/1.452(3) |
C–N | 1.319(3)/1.317(3) |
N–N | 1.317(3)/1.315(3) |
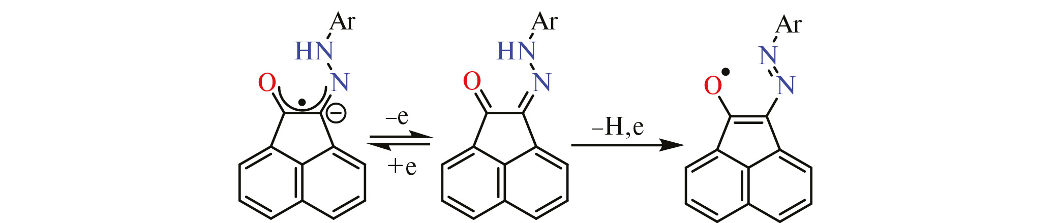
Моноарилгидразиноаценафтеноны, как и родственные им иминоаценафтены, являются редокс-активными соединениями и могут принимать электроны за счет кетоиминового фрагмента. С другой стороны, их главным отличием от иминоаценафтенов является способность окисляться с образованием феноксильного радикала [36].
Для полученных соединений были исследованы редокс-свойства с помощью циклической вольтамперометрии (ЦВА). Основные электрохимические характеристики суммированы в табл. 3.
Таблица 3. Значения редокс-потенциалов для соединений L1–L3 и I*
Соединение | E1/2, В | Iа/Iк | Ea, В |
L1 | –1.19 | 0.92 | 1.27 |
L2 | –1.17 | 0.50 | 1.54 |
L3 | –1.11 | 0.63 | 1.70 |
I | –1.09, –1.37 | 0.66, 0.56 | 1.08, 1.21 |
*Метод ЦВА (СH2Cl2, СУ-электрод, с( L1–L3 и I) = 8 × 10–4 – 2 × 10–3 моль/л, v = 100 мВ/с, 0.1 моль/л nBu4NPF6, отн. Ag/AgCl).
На ЦВА L1–L3 (рис. 3) обнаружены два основных пика: анодный пик в области от 1.27 до 1.70 В (отн. Ag/AgCl), соответствующий процессу окисления, и катодный пик в сопровождении анодного контрпика с E1/2 от –1.11 до –1.19 В, отвечающий за процесс восстановления. Для соединений L2 и L3 отношение токов (|Iа/Iк|) заметно отклоняется от единицы; следовательно, процессы восстановления следует описывать как квазиобратимые. Фиксируемые на кривых ЦВА пики можно интерпретировать следующим образом. Катодный пик отвечает за квазиобратимое одноэлектронное восстановление кетогидразонового фрагмента Ar-mhan, что ведет к генерированию относительно устойчивого во времени ЦВА-эксперимента анион-радикала. Дальнейшего восстановления Ar-mhan не наблюдалось вплоть до –2.00 В (отн. Ag/AgCl). Анодный пик соответствует необратимому окислению с образованием неустойчивого катион-радикала, депротонирование которого приводит к феноксильному радикалу (cхема 2) [36]. Помимо этого, в области от –0.50 до 0.12 В наблюдаются дополнительные катодные и анодные пики, которые исчезают, если проводить только катодную или анодную развертку потенциалов. Следовательно, за происхождение этих пиков могут отвечать побочные продукты, которые образуются в результате протекающих за электронным переносом химических превращений.
Рис. 3. Кривые ЦВА соединений L1–L3 в диапазоне потенциалов от –1.6 до 1.7 В (для L1); –1.75 до 1.8 В (для L2); –1.5 до 2.0 В (для L3) (CH2Cl2, СУ-электрод, c(L1–L3) = 8 × 10–4–2 × 10–3 M, v = 100 мВ/с, 0.1 М nBu4NPF6, отн. Ag/AgCl))
Следует отметить влияние заместителей в ароматическом кольце Ar-mhan на значения потенциалов редокс-процессов: при увеличении акцепторных свойств заместителей (от L1 к L3) наблюдается заметное смещение потенциала окисления в более анодную область. При этом потенциал восстановления меняется незначительно.
Схема 2. Редокс-процессы Ar-mhan
На кривых ЦВА комплекса I наблюдается большее количество пиков (рис. 4). Так, в катодной области наблюдается две волны квазиобратимого восстановления при Е1/2 = –1.09 и –1.37 В (отн. Ag/AgCl). В анодной области наблюдаются два пика необратимого окисления при 1.08 и 1.21 В. Катодные процессы можно отнести к одноэлектронному восстановлению каждого кетогидразонового фрагмента Ar-mhan, учитывая близость потенциалов восстановления для L1 и I. Ранее сообщалось о лиганд-центрированном двухэлектронном восстановлении родственного комплекса [Ni(PAPL)2] (PAPL = 1-(2-пиридилазо)-2-фенантрол) при –1.0 и –1.3 В (отн. Ag/AgCl) [36]. Хотя нельзя исключать участие никеля в этих процессах. Так, для комплекса [Ni(Phen-bian)2] схожего строения, для которого обнаружены две волны обратимого восстановления при –1.21 и –1.61 В (отн. Fc+/Fc), авторы предполагают металл-центрированные редокс-переходы NiII/NiI и NiI/Ni0 [37]. Анодные пики, по-видимому, связаны c окислением каждого Ar-mhan до феноксильного радикала.
Рис. 4. Кривые ЦВА соединения I в диапазоне потенциалов от 0 до –1.7 В и от 0 до 2.0 В (CH2Cl2, СУ-электрод, c(L1–L3) = 1 × 10–3 моль/л, v = 100 мВ/с, 0.1 моль/л nBu4NPF6, отн. Ag/AgCl))
Таким образом, была получена и охарактеризована набором физико-химических методов, включая рентгеноструктурный анализ, серия новых моноарилгидразиноаценафтенонов L1–L3, содержащих акцепторные арильные заместители различной природы, а также первый пример комплекса никеля I на основе моноарилгидразиноаценафтенона I. Соединения L1–L3 и I способны как к восстановлению, так и окислению в широком интервале потенциалов от –1.4 до 1.7 В; причем процессы восстановления являются квазиобратимыми, а процессы окисления носят необратимый характер и сопровождаются структурной перестройкой.
Авторы сообщают, что у них нет конфликта интересов.
БЛАГОДАРНОСТИ
Авторы также выражают благодарность Министерству науки и высшего образования Российской Федерации и ЦКП ИНХ СО РАН.
ФИНАНСИРОВАНИЕ
Работа выполнена при финансовой поддержке Российского научного фонда (грант № 23-23-10062) и Правительства Новосибирской области.
About the authors
I. V. Bakaev
Nikolaev Institute of Inorganic Chemistry, Siberian Branch, Russian Academy of Sciences
Email: nikolaj.romashev75@gmail.com
Russian Federation, Novosibirsk
V. I. Komlyagina
Nikolaev Institute of Inorganic Chemistry, Siberian Branch, Russian Academy of Sciences; Novosibirsk State National Research University
Email: nikolaj.romashev75@gmail.com
Russian Federation, Novosibirsk; Novosibirsk
N. F. Romashev
Nikolaev Institute of Inorganic Chemistry, Siberian Branch, Russian Academy of Sciences
Author for correspondence.
Email: nikolaj.romashev75@gmail.com
Russian Federation, Novosibirsk
A. L. Gushchin
Nikolaev Institute of Inorganic Chemistry, Siberian Branch, Russian Academy of Sciences
Email: nikolaj.romashev75@gmail.com
Russian Federation, Novosibirsk
References
- Wang, J., Soo, H.Sen., and Garcia, F., Commun. Chem., 2020, vol. 3, no. 1, p. 133.
- Fomenko, I.S. and Gushchin, A.L., Russ. Chem. Rev., 2020, vol. 89, no. 9, p. 966.
- Komlyagina, V.I., Romashev, N.F., Besprozvannykh, V.K., et al., Inorg. Chem., 2023, vol. 62, no. 29, p. 11541.
- Romashev, N.F., Mirzaeva, I.V., Bakaev, I.V., et al., J. Struct. Chem., 2022, vol. 63, no. 2, p. 242.
- Romashev, NF., Bakaev, I.V., Komlyagina, V.I., et al., J. Struct. Chem., 2022, vol. 63, no. 8, p. 1304.
- Fedushkin, I.L., Skatova, A.A., Chudakova, V.A., and Fukin, G.K., Angew. Chem., Int. Ed. Engl., 2003, vol. 42, no. 28, p. 3294.
- Fedushkin, I.L., Maslova, O.V., Baranov, E.V., and Shavyrin, A.S., Inorg. Chem., 2009, vol. 48, no. 6, p. 2355.
- Bendix, J. and Clark, K.M., Angew. Chem., Int. Ed. Engl., 2016, vol. 55, no. 8, p. 2748.
- Bernauer, J., Pölker, J., and Jacobi von Wangelin, A., ChemCatChem, 2022, vol. 14, no. 1, p. e202101182.
- Chacon-Teran, M.A. and Findlater, M., Eur. J. Inorg. Chem., 2022, vol. 2022, no. 30, p. e202200363.
- Johnson, L.K., Killian, C.M., and Brookhart, M., J. Am. Chem. Soc., 1995, vol. 117, no. 23, p. 641415.
- Leatherman, M.D., Svejda, S.A., Johnson, L.K., and Brookhart, M., J. Am. Chem. Soc., 2003, vol. 125, no. 10, p. 3068.
- Bridges, C.R., McCormick, T.M., Gibson, G.L., et al., J. Am. Chem. Soc., 2013, vol. 135, no. 35, p. 13212.
- Zhai, F. and Jordan, R.F., Organometallics, 2017, vol. 36, no. 15, p. 2784.
- Wu, R., Klingler, W., Stieglitz, L., et al., Coord. Chem. Rev., 2023, vol. 474, no. 1, p. 214844.
- Fedushkin, I.L., Nikipelov, A.S., Morozov, A.G., et al., Chem.-Eur. J., 2012, vol. 18, no. 1, p. 255.
- Yakub, A.M., Moskalev, M.V., Bazyakina, N.L., and Fedushkin, I.L., Russ. Chem. Bull., 2018, vol. 67, no. 3, p. 473.
- Arrowsmith, M., Hill, M.S., and Kociok-Kohn, G., Organometallics, 2011, vol. 30, no. 6, p. 1291.
- Saini, A., Smith, C.R., Wekesa, F.S., et al., Org. Biomol. Chem., 2018, vol. 16, no. 48, p. 9368.
- Tamang, S.R., Cozzolino, A.F., and Findlater, M., Org. Biomol. Chem., 2019, vol. 17, no. 7, p. 1834.
- Gushchi, A.L., Romashev, N.F., Shmakova, A.A., et al., Mendeleev Commun., 2020, vol. 30, no. 1, p. 81.
- Fomenko, I.S., Gongola, M.I., Shulʹpina, L.S., et al., Catalysts, 2022, vol. 12, no. 10, p. 1168.
- Romashev, N.F., Bakae, I.V., Komlyagina, V.I., et al., Int. J. Mol. Sci., 2023, vol. 24, no. 13, p. 10457.
- Bakaev, I.V., Romashev, N.F., Komlyagina, V.I., et al., New J. Chem., 2023, vol. 47, no. 40, p. 18825.
- Zhou, J.L., Xu, Y.H., Jin, X.X., et al., Inorg. Chem. Commun., 2016, vol. 64, p. 67.
- Zhou, J.L., Sun, H.W., Yin, D.H., et al., J. Mol. Struct., 2017, vol. 1134, p. 63.
- Gao, Q., Song, Y., Zheng, C., et al., J. Mol. Struct., 2020, vol. 1214, p. 128228.
- Su, Y.X., Zhang, C.Z., and Song, M.X., Acta Crystallogr., Sect. C: Struct. Chem., 2017, vol. 73, no. 6, p. 458.
- Sheldrick, G.M., Acta Crystallogr., Sect. A: Cryst. Adv., 2015, vol. 71, no. 1, p. 3.
- Sheldrick, G.M., Acta Crystallogr., Sect. C: Struct. Chem., 2015, vol. 71, p. 3.
- Hubschle, C.B., Sheldrick, G.M., and Dittrich, B., J. Appl. Crystallogr., 2011, vol. 44, no. 6, p. 1281.
- Soldatov, D.V., Mendeleev Commun., 1997, vol. 7, no. 3, p. 100.
- Bose, N. and Lynton, H., Can. J. Chem., 1973, vol. 51, no. 12, p. 1952.
- Zhang, H. and Fang, L., Acta Crystallogr., Sect. E: Struct. Rep. Online, 2005, vol. 61, no. 1, p. m1.
- Wriedt, M., Jess, I., and Nather, C., Acta Crystallogr., Sect. E: Struct. Rep. Online, 2010, vol. 66, no. 7, p. m780.
- Van Damme, N., Lough, A.J., Gorelsky, S.I., and Lemaire, M.T., Inorg. Chem., 2013, vol. 52, no. 22, p. 13021.
- Niklas, J.E., Farnum, B.H., Gorden, J.D., and Gorden, A.E.V., Organometallics, 2017, vol. 36, no. 23, p. 4626.
Supplementary files








