Template Synthesis of the Iron(III) Complex with the Ligands Based on Acylpyrazolonepyridines
- Authors: Strunin D.D.1,2, Nikovskii I.A.1, Dan´shina A.A.1,3, Nelyubina Y.V.1
-
Affiliations:
- Nesmeyanov Institute of Organoelement Compounds, Russian Academy of Sciences
- Moscow State University
- Moscow Institute of Physics and Technology (National Research University)
- Issue: Vol 50, No 7 (2024)
- Pages: 429-437
- Section: Articles
- URL: https://journal-vniispk.ru/0132-344X/article/view/268506
- DOI: https://doi.org/10.31857/S0132344X24070028
- EDN: https://elibrary.ru/MUQKDT
- ID: 268506
Cite item
Full Text
Abstract
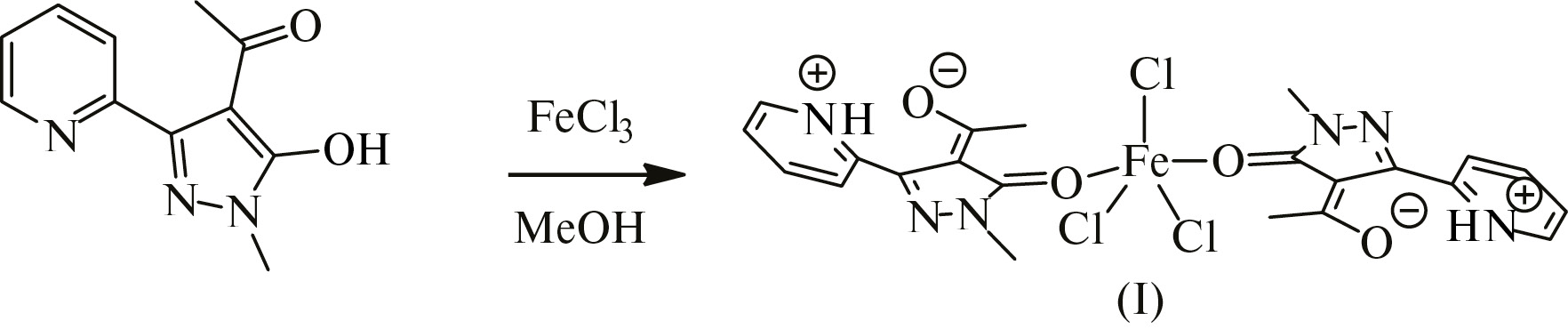
The reaction of new bidentate ligand, 1-(5-hydroxy-1-methyl-3-(pyridin-2-yl)-1Н-pyrazol-4-yl)ethan-1-one (L), with iron(III) chloride affords the mononuclear iron(III) complex FeL₂Cl₃, which is characterized by XRD (CIF file CCDC no. 2309481). The intramolecular hydrogen bond between the protonated pyridyl and acetyl groups in ligand L, which exists in the crystal as a zwitterion, provides the formation of rarely met iron complexes in which the β-diketonate fragment coordinates via the η1 mode. A similar coordination mode along with a possibility of a more favorable η2 coordination provides new possibilities for the design of heteropolynuclear compounds of various structures used in the fabrication of molecular devices of data storage and processing.
Full Text
Разработка новых технологических решений, направленных на повышение производительности вычислительной техники, является одной из важнейших задач современной микроэлектроники [1]. Хотя многие устройства для хранения и обработки информации построены из неорганических материалов [2, 3], в последнее время интерес исследователей все больше смещается к молекулярным соединениям, способным к внутримолекулярному переносу электрона, благодаря простоте их химической модификации и разнообразию свойств [4, 5]. Среди таких соединений — комплексы металлов с органическими полифункциональными лигандами, которые могут координировать второй ион металла, тем самым обеспечивая возможность внутримолекулярного переноса электрона в комплексе [4, 5]. Наличие или отсутствие такого переноса позволяет использовать данные комплексы в устройствах молекулярной спинтроники для хранения и обработки (в качестве спиновых кубитов) информации [6, 7].
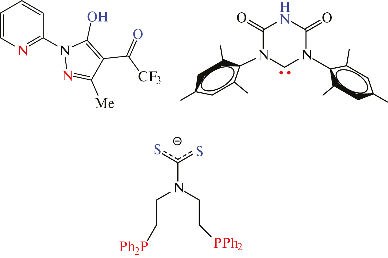
Соответствующие комплексы, как правило, синтезируют при помощи темплатного метода самосборки как наиболее эффективного способа получения полигетероядерных соединений [8], однако заранее предугадать их структурные особенности (геометрию, количество ядер и их тип) и тем более свойства не всегда возможно [9]. Для их селективного синтеза иногда используют лиганды типа "two-face" (схема 1) [10–13]. Наличие у них двух и более центров координации, способных селективно связывать разные типы ионов d- и f-металлов, позволяет создавать гетерополиядерные комплексы, которые имеют заранее заданное строение.
Схема 1.
В качестве таких лигандов могут выступать замещенные ацилпиразолонпиридины [14], карбеноимидаты [12] и дифосфин-дитиокарбаматы [15], содержащие разные по своей природе центры координации (например, нитрофильный и оксофильный). Структурная близость и различающаяся жесткость/мягкость двух хелатирующих фрагментов по отношению к различным ионам переходных металлов позволяет селективно получать моноядерные комплексы — прекурсоры для гетерополиядерных комплексов [13].
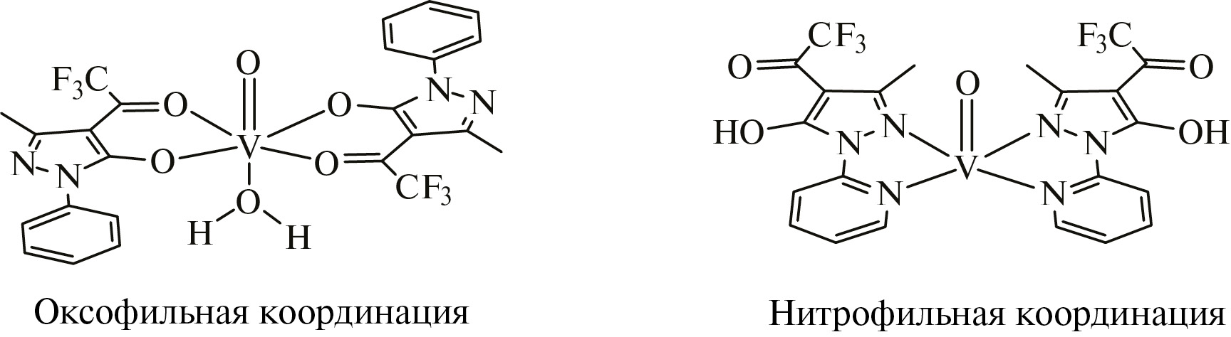
К настоящему моменту уже получено достаточно много комплексов с пиридилпиразолонами, в которых ион металла координирует либо оксофильный (β-дикетонатный), либо нитрофильный (пиридинпиразольный) фрагмент (схема 2).
Схема 2.
Однако в литературе до сих пор отсутствуют общие рекомендации по химической модификации таких лигандов и условиям синтеза соответствующих комплексов с ионами переходных металлов [16–18] для управления типом реализуемой в них координации. Например, введение пиридинового заместителя в первое положение пиразольного кольца меняет тип координации cульфата ванадила c оксофильного на нитрофильное (схема 2) [18].
Известно, что ацилпиразолоны реагируют с солями железа(II/III) с η2-координацией β-дикетонатного фрагмента [19]. Мы предположили, что введение пиридинового заместителя в ацилпиразолоновый лиганд при его комплексообразовании с хлоридом железа(III) в отсутствие основания сделает возможным координацию к атому азота даже такого иона переходного металла, как железо(III), который преимущественно связывается с кислород-содержащими лигандами.
Схема 3.
Предложенный дизайн ацилпиразолонового лиганда позволил нам получить первый пример комплекса железа(III) FeL₂Cl₃ (I), в котором такой лиганд — 1-(5-гидрокси-1-метил-3-(пиридин-2-ил)-1Н-пиразол-4-ил)этан-1-он (L) — координирован ионом металла к β-дикетонатному фрагменту по редко встречаемому η1-типу (cхема 3).
ЭКСПЕРИМЕНТАЛЬНАЯ ЧАСТЬ
Все операции, связанные с синтезом лиганда L и его комплекса, выполняли на воздухе с использованием коммерчески доступных органических растворителей. Тетрагидрофуран очищали перегонкой над натрием с бензофеноном или гидридом кальция. Анализ на углерод, азот и водород проводили на микроанализаторе Carlo Erba, модель 1106, а спектры ЯМР регистрировали на спектрометре Varian INOVA 400 (частота 400.1 MГц для 1H и 100.6 MГц для 13C) при температуре 25°С.
Синтез этилового эфира пиколиновой кислоты. Концентрированную серную кислоту (10 мл) добавляли в раствор пиколиновой кислоты (20 г, 16.2 ммоль) в этаноле (400 мл) при перемешивании. Реакционную смесь кипятили с обратным холодильником при 85°С (масляная баня) в течение 8 ч. Полученную смесь упаривали на роторном испарителе, добавляли 50 мл дистиллированной воды и нейтрализовывали при помощи Na2CO3 до нейтральной среды. Водный раствор трижды экстрагировали хлористым метиленом (20 мл). Экстракт упаривали на роторном испарителе, а полученный светло-желтый раствор очищали перегонкой. Полученный продукт представлял собой прозрачную жидкость. Выход 14.3 г (58%).
ЯМР 1H (CDCl3; 400 MГц; δ, м.д.): 8.69 (д.д., 3JН,Н = 4.7 Гц, 4JН,Н = 1.2 Гц, 1H, 6-Py), 8.07 (д., 3JН,Н = 7.8 Гц, 1H, 3-Py), 7.77 (т.д., 3JН,Н = 7.8, 4JН,Н = 1.2 Гц, 1H, 4-Py), 7.40 д.д., 3JН,Н = 7.8, 3JН,Н = 4.7, 1H, 5-Py), 4.41 (кв., 3JН,Н = 7.1 Гц, 2H, CH2), 1.37 (т. 3JН,Н = 7.1 Гц, 3H, CH3). ЯМР 13C (CDCl3; 101 MГц; δ, м.д.) 165.18, 149.79, 148.15, 136.97, 126.81, 125.05, 61.91, 14.28.
Синтез этил-3-оксо-3-(пиридин-2-ил)пропаноата. Трет-бутилат калия (7.4 г, 66 ммоль) добавляли в раствор этилового эфира пиколиновой кислоты (5.0 г, 33.1 ммоль) в тетрагидрофуране (ТГФ) (100 мл) при перемешивании, куда медленно по каплям добавляли этилацетат (6.5 мл, 66 ммоль). Реакционную смесь выдерживали при комнатной температуре в течение 3 ч. Полученную смесь упаривали на роторном испарителе, добавляли 30 мл дистиллированной воды и нейтрализовывали при помощи HCl до нейтральной среды. Водный раствор трижды экстрагировали хлористым метиленом (20 мл), добавляли MgSO4, чтобы удалить следы влаги, а затем осторожно декантировали и упаривали на роторном испарителе. Полученный в виде желтого масла продукт сушили в вакууме и использовали без дальнейшей очистки. Выход 4.1 г (64%).
ЯМР 1H (CDCl3; 400 MГц; δ, м.д.) 8.59 (д., 3JН,Н = 4.8 Гц, 1H, 6-Py), 7.99 (д., 3JН,Н = 7.8 Гц, 1H, 3-Py), 7.80 (т., 3JН,Н = 7.8 Гц, 1H, 4-Py), 7.42 (д.д., 3JН,Н = 7.8 Гц, 3JН,Н = 4.8 Гц, 1H, 5-Py), 4.13 (кв., 3JН,Н = 7.1 Гц, 2H, OCH2), 3.38 (с., 2H, CH2), 1.17 (т., 3JН,Н = 7.1 Гц, 3H, CH3). ЯМР 13C (CDCl3; 101 MГц; δ, м.д.) 194.57, 148.97, 136.98, 127.54, 121.98, 61.28, 50.03, 44.76, 30.07, 13.99.
Синтез 1-метил-5-(пиридин-2-ил)-1Н-пиразол-3-ола. Карбонат калия (1.66 г, 12.0 ммоль) добавляли в раствор этил-3-оксо-3-(пиридин-2-ил)пропаноата (2.1 г, 10.9 ммоль) в этаноле (100 мл) при перемешивании, куда затем добавляли сульфат метилгидразиния (0.986 г, 12.0 ммоль). Реакционную смесь выдерживали при комнатной температуре в течение 12 ч. Раствор отделяли от осадка, промывали небольшим количеством этанола и упаривали на роторном испарителе. Полученный сухой остаток промывали небольшим количеством ацетона и высушивали в вакууме. Выход 1.56 г (82%).
Найдено, %: C 61.59; H 5.10; N 24.10 Для C9H9N3O вычислено, %: С 61.70; H 5.19; N 23.99.
ЯМР 1H (CDCl3; 400 MГц; δ, м.д.) 14.35 (с., 1H, OH), 8.64 (д., 3J Н,Н = 5.1 Гц, 1H, 6-Py), 8.07 (д., 3J Н,Н = 7.8 Гц, 1H, 3-Py), 7.91 (т., 3J Н,Н = 7.8 Гц, 1H, 4-Py), 7.55 (д.д., 3J Н,Н = 7.8 Гц, 3JН,Н = 5.1 Гц, 1H, 5-Py), 3.67 (c., 1H), 3.61 (с., 3H, CH3). ЯМР 13С (CDCl3; 101 MГц; δ, м.д.) 153.22, 146.34, 144.20, 138.65, 123.26, 122.48, 97.66, 33.72, 16.78.
Синтез 1-метил-5-(пиридин-2-ил)-1Н-пиразол-3-ил ацетата. В раствор 1-метил-5-(пиридин-2-ил)-1Н-пиразол-3-ола в ТГФ (100 мл) добавляли триэтиламин (1.923 мл, 13.8 ммоль) и перемешивали в течение 5 мин. Затем к полученному раствору добавляли ацетилхлорид (0.6 мл, 5.06 ммоль), после чего реакционную смесь выдерживали при комнатной температуре еще в течение 30 минут. В процессе реакции выпадал белый осадок, который отделяли от раствора с использованием фильтра Шотта, упаривали и сушили в вакууме. Выход. 1.15 г (90%).
ЯМР 1H (CDCl3; 300 MГц; δ, м.д.) 8.55 (д.д., 3JН,Н = 4.7 Гц, 4JН,Н = 1.5 Гц, 1H, 6-Py), 7.84 (д., 3JН,Н = 7.8 Гц, 1H, 3-Py), 7.65 (т.д. 3JН,Н = 7.8 Гц, 4JН,Н = 1.5 Гц, 1H, 4-Py), 7.15 (д.д., 3JН,Н = 7.8, 4.7, 1H, 5-Py), 4.52 (с., 1H), 3.63 (c., 3H, NCH3), 1.94 (с., 3H, C(O)CH3).
Синтез 1-(5-гидрокси-1-метил-3-(пиридин-2-ил)-1Н-пиразол-4-ил)этан-1-она (L). В раствор 1-метил-5-(пиридин-2-ил)-1Н-пиразол-3-ил ацетата (1.15 г, 4.11 ммоль) в хлористом метилене (100 мл) добавляли хлорид титана(IV) (2 мл, 18.6 ммоль) при перемешивании. Реакционную смесь выдерживали при комнатной температуре в течение 12 ч. По окончании реакции к раствору добавляли дистиллированную воду при перемешивании и его выдерживали до изменения красной окраски раствора на желтую. Полученную эмульсию трижды экстрагировали хлористым метиленом (20 мл), который затем упаривали на роторном испарителе. Полученный желтый порошок высушивали в вакууме. Выход 0.69 г (60%).
Найдено, %: C 60.91; H 5.25; N 19.48 Для C11H11N3O2 вычислено, %: С 60.82; H 5.11; N 19.35.
ЯМР 1H (CDCl3; 300 MГц; δ, м.д.) 8.40–8.29 (м., 2H, 6-Py, 3-Py), 7.99 (т., 3JН,Н = 7.8 Гц, 1H, 4-Py), 7.42 (д., 3JН,Н = 7.8 Гц, 1H, 5-Py), 3.52 (c., 3H, NCH3), 2.69 (с., 3H, C(O)CH3). ЯМР 13С (CDCl3; 101 MГц; δ, м.д.) 187.34, 166.77 149.60, 141.64, 140.59, 123.43, 121.52, 102.17, 31.93, 22.50.
Синтез FeL₂Cl₃ (I). В круглодонной колбе объемом 25 мл готовили раствор 1-метил-5-(пиридин-2-ил)-1Н-пиразол-3-ил ацетата (100 мг, 0.46 ммоль) в 10 мл метанола, в который добавляли хлорид железа(III) (37 мг, 0.00023 моль) и перемешивали при комнатной температуре 4 ч. К полученному раствору медленно добавляли диэтиловый эфир для образования границы раздела фаз метанол-диэтиловый эфир. Затем его выдерживали в течение 3 дней при комнатной температуре до появления темно-красных кристаллов целевого комплекса железа(III). Выход 92 мг (67%).
Найдено, %: С 44.47; H 3.77; N 14.22. Для C22H22N6O4Cl3Fe вычислено, %: С 44.29; H 3.72; N 14.09
PCA монокристаллов комплекса I проведен на дифрактометре Bruker Quest D8 (MoKα-излучение, графитовый монохроматор, w-сканирование) при 100 K. Структура расшифрована с использованием программы ShelXT [20] и уточнена в полноматричном МНК с помощью программы Olex2 [21] в анизотропном приближении по F2hkl. Атомы водорода NH-группы локализованы в разностном Фурье-синтезе, положения остальных атомов водорода рассчитаны геометрически, и все они уточнены в изотропном приближении по модели наездника. Основные кристаллографические данные и параметры уточнения представлены в табл. 1.
Таблица 1. Кристаллографические данные и параметры уточнения для FeL₂Cl₃
Параметр | Значение |
Брутто формула | C22H22N6O4Cl3Fe |
М | 597.72 |
T, K | 100 |
Кристаллическая система | Моноклинная |
Пр. группа | P2/c |
Z | 2 |
a, Å | 11.4449(6) |
b, Å | 8.2541(4) |
c, Å | 13.3040(7) |
α, град | 90 |
b, град | 105.245(3) |
g, град | 90 |
V, Å3 | 1212.57(11) |
ρ(выч.), г см–3 | 1.637 |
m, см–1 | 9.99 |
F(000) | 611 |
2qmax, град | 56 |
Число измеренных отражений | 13826 |
Число независимых отражений | 2878 |
Число отражений с I > 2s(I) | 2245 |
Количество уточняемых параметров | 207 |
R1 | 0.0503 |
wR2 | 0.1266 |
GOОF | 1.081 |
Остаточная электронная плотность (min/max), e Å–3 | –0.624/0.908 |
Структурные параметры для комплекса I депонированы в Кембриджском банке структурных данных (CCDC № 2309481; http://www.ccdc.cam.ac.uk/).
РЕЗУЛЬТАТЫ И ИХ ОБСУЖДЕНИЕ
Предшественник лиганда L 1-метил-3-(пиридин-2-ил)-1Н-пиразол-5-ол получали в ходе пятистадийного синтеза из пиколиновой кислоты. Первые три стадии включали этерификацию пиколиновой кислоты этанолом в кислой среде, конденсацию Кляйзена между получившимся этилпиколинатом и этилацетатом под действием трет-бутилата калия в ТГФ и конденсацию образующегося дикетона и сульфата метилгидразиния с последующей циклизацией в одну стадию в этаноле в присутствии карбоната калия (схема 4) с образованием пиразолилпиридина.
Схема 4.
В присутствии гидроксида кальция или триэтиламина последующее С-ацилирование пиразолилпиридина неожиданно [22] привело к образованию смеси продуктов С- и О-ацилирования или селективного О-ацилирования соответственно. Это может быть связано с хелатирующей способностью пиридинового кольца, из-за которой координация иона кальция(II) происходит по нитрофильному, а не оксофильному, положению, тем самым промотируя О-ацилирование.
Схема 5.
Для получения продуктов С-ацилирования соответствующую реакцию проводили в две последовательные стадии: взаимодействием с ацетилхлоридом в присутствии триэтиламина и последующей перегруппировкой продукта под действием хлорида титана(IV) (перегруппировка Фриса [23], схема 5). Целевой лиганд L находится в β-дикетонатной форме, так как в спектре ЯМР 1Н отсутствует сигнал ОН-группы, и содержит два различных положения связывания (нитрофильный и оксофильный), что может быть использовано для селективного получения гетеро- и биметаллических комплексов при координации таких ионов переходных металлов, как железо(II/III), кобальт(II) или марганец(II) к оксофильному, а никеля(II) и меди(II) – к нитрофильному положению.
Рис. 1. Общий вид комплекса FeL₂Cl₃ в представлении атомов эллипсоидами тепловых колебаний (p = 50%). Комплекс в кристалле занимает частное положение — ось второго порядка, проходящую через ион железа(III) и координированный к нему хлорид-анион Cl(1). Минорная компонента разупорядоченности с заселенностью <3% не показана, а нумерация приведена только для симметрически-независимых атомов.
Для предположительной координации оксофильного иона металла по нитрофильному положению лиганда L нами выбран ион железа(III), занимающий промежуточное положение по своей оксофильности [24]. Для этого лиганд вводили в реакцию с хлоридом железа(III) в соотношении 2 : 1 в метаноле (схема 2). Согласно данным рентгеноструктурного анализа (рис. 1, табл. 2), продуктом такой реакции оказался комплекс железа(III) состава FeL₂Cl₃, в котором ион железа(III) в высокоспиновом состоянии [25] координировал три хлорид-аниона (Fe–Cl 2.2277(15)–2.3041(9) Å) и два симметрически-эквивалентных лиганда L, причем в координации участвовала лишь одна карбонильная группа β-дикетонатного фрагмента (Fe(1)–O(1) 1.979(3) Å). Длины связей С–O (1.274(4) и 1.258(5) Å) заметно превышали значения, характерные для двойной связи C=O (1.24 Å [26]). Кроме того, связь С–С между пиразольным кольцом и ацетильной группой (1.431(4) Å) принимала промежуточное значение между одинарной и двойной связью (1.54 и 1.34 Å [27]), что связано с таутомерным распределением отрицательного заряда по β-дикетонатному фрагменту. Положительный заряд в лиганде, который представлял собой цвиттер-ион, локализован на протонированном пиридильном фрагменте, который образовывал прочную внутримолекулярную водородную связь (N…O 2.573(4) Å, NHO 162.56(18)°) с карбонильной группой ацетильного заместителя лиганда L. Последняя, по-видимому, дополнительно стабилизировала его плоскую (в пределах 0.05 Å для неводородных атомов) конформацию. Так, угол между плоскостями пиразольного и пиридинового колец составлял всего 0.51(13)°.
Таблица 2. Основные геометрические параметры для комплекса FeL₂Cl₃ по данным РСА при Т = 100 К *
Параметр | FeL₂Cl₃ |
Fe–O(1), Å | 1.979(3) |
Fe–Cl(1), Å | 2.2277(15) |
Fe–Cl(2), Å | 2.3041(9) |
S(PP-5) | 24.548 |
S(vOC-5) | 2.496 |
S(TBPY-5) | 8.895 |
S(SPY-5) | 4.168 |
S(JTBPY-5) | 8.330 |
* Значения приведены только для мажорной компоненты разупорядоченности с заселенностью >97%. Параметры S(PP-5), S(vOC-5), S(TBPY-5), S(SPY-5) и S(JTBPY-5) описывают отклонение формы полиэдра иона металла от идеальных многогранников с пятью вершинами: пятиугольника (PP-5), октаэдра с одной вакантной вершиной (vOC-5), тригональной бипирамиды (TBPY-5), сферической квадратной пирамиды (SPY-5) и тригональной бипирамиды Джонсона (JTBPY-5) соответственно.
Координационное окружение иона железа(III) в комплексе I имело форму искаженного октаэдра с одной вакантной вершиной, о чем свидетельствовали так называемые «меры симметрии» [28]. Чем значения этих «мер» меньше, тем лучше форма полиэдра описывается соответствующим многогранником, таким как идеальный октаэдр с одной вакантной вершиной (vOC-5) (табл. 2). Для иона железа(III) величина «меры симметрии» S(vOC-5), оцененная на основе рентгенодифракционных данных при помощи программы Shape 2.1 [28], составила всего 2.496. Для сравнения: «мера симметрии», характеризующая отклонение формы его полиэдра от еще одного идеального многогранника с пятью вершинами — сферической квадратной пирамиды (SPY-5) — принимала более высокое значение, равное 4.168.
Отметим, что изменение стехиометрии реакции комплексообразования не приводило к другим продуктам, отличным от комплекса I. Таким образом, с помощью предложенного нами дизайна ацилпиразолонового лиганда L, содержащего пиридильную группу в третьем положении пиразольного кольца, нами получен первый комплекс железа(III), в котором такой лиганд координирует ион металла только одной карбонильной группой β-дикетонатного фрагмента. Комплексообразование протекало с образованием прочной внутримолекулярной водородной связи между второй такой карбонильной группой и протонированным пиридильным фрагментом в лиганде. Наличие этой связи, по-видимому, и определяет природу продукта реакции, так как оставляет доступным для координации только один атом кислорода β-дикетонатного фрагмента, в результате чего получается комплекс с координацией иона железа(III) только по редко встречающемуся [29] η1-типу вместо традиционной η2-координации. Образованию комплекса I с таким типом координации также способствует выбор в качестве противоиона координирующего хлорид-аниона, который достраивает координационную сферу иона металла до искаженного октаэдра с одной вакантной вершиной.
Несмотря на ранее описанные комплексы ванадила с пиридилпиразолонами [18], пиридильный заместитель в ацилпиразолоновом лиганде не смог промотировать нитрофильную координацию ионов железа(III). Однако его введение в положение 3 пиразольного кольца позволяет реализовывать линейную геометрию связывания полидентатных лигандов, что может быть использовано для получения (путем координации свободного нитрофильного положения) гетерополиядерных комплексов различного строения для создания молекулярных устройств хранения и обработки информации. Это, однако, предварительно потребует разрушения внутримолекулярной водородной связи в комплексе FeL₂Cl₃, что можно предположительно реализовать под действием некоординирующих оснований, например 1,8-диазобицикло(5,4,0)ундецен-7-ена.
Авторы сообщают, что у них нет конфликта интересов.
БЛАГОДАРНОСТИ
Рентгенодифракционные исследования проведены с использованием научного оборудования Центра исследования строения молекул ИНЭОС РАН при поддержке Министерства науки и высшего образования Российской Федерации (Госзадание № 075-03-2023-642).
ФИНАНСИРОВАНИЕ
Работа выполнена при финансовой поддержке Российского научного фонда (грант № 22-43-04437).
About the authors
D. D. Strunin
Nesmeyanov Institute of Organoelement Compounds, Russian Academy of Sciences; Moscow State University
Email: igornikovskiy@mail.ru
Russian Federation, Moscow; Moscow
I. A. Nikovskii
Nesmeyanov Institute of Organoelement Compounds, Russian Academy of Sciences
Author for correspondence.
Email: igornikovskiy@mail.ru
Russian Federation, Moscow
A. A. Dan´shina
Nesmeyanov Institute of Organoelement Compounds, Russian Academy of Sciences; Moscow Institute of Physics and Technology (National Research University)
Email: igornikovskiy@mail.ru
Russian Federation, Moscow; Dolgoprudnyi, Moscow oblast
Yu. V. Nelyubina
Nesmeyanov Institute of Organoelement Compounds, Russian Academy of Sciences
Email: igornikovskiy@mail.ru
Russian Federation, Moscow
References
- Sato O. // Nat. Chem. 2016. V. 8. P. 644. https://doi.org/10.1038/nchem.2547
- Sun Y., Rogers J. A. // Adv. Mat. 2007. V. 19. № 15. P. 1987. https://doi.org/10.1002/adma.200602223
- Mitzi D.B., Chondroudis K., Kagan C.R. // IBM J. Res. Dev. 2001. V. 45. № 1. P. 29. https://doi.org/10.1147/rd.451.0029
- Evangelio E., Ruiz-Molina D. // J. Eur. Inorg. Chem. 2005. V. 2005. № 15. P. 2957. https://doi.org/10.1002/ejic.200500323
- Tezgerevska T. Rousset E., Gable R.W. et al. // Dalton Trans. 2019. V. 48. № 31. P. 11674. https://doi.org/10.1039/C9DT02372K
- Calzolari A., Chen Y., Lewis G.F. et al. // J. Phys. Chem. B. 2012. V. 116. P. 13141. https://doi.org/10.1021/jp3099895
- Senthil Kumar K., Ruben M. // Coord. Chem. Rev. 2017. V. 346. № 1. P.176. https://doi.org/10.1016/j.ccr.2017.03.024
- Hogue R.W., Singh S., Brooker S. // Chem. Soc. Rev. 2018. V. 47. № 19. P. 7303. https://doi.org/10.1039/C7CS00835J
- Vieru V., Pasatoiu T.D., Ungur L. et al. // Inorg. Chem. 2016. V. 55. № 19. P. 12158. https://doi.org/10.1021/acs.inorgchem.6b01669
- Yamaguchi T., Sunatsuki Y., Ishida H., et al. // Inorg. Chem. 2008. V. 47. № 13. P. 5736. https://doi.org/10.1021/ic8000575
- Bala S., Bishwas M.S., Pramanik B. et al. // Inorg. Chem. 2015. V. 54. № 17. P. 8197. https://doi.org/10.1021/acs.inorgchem.5b00334
- Vujkovic N., César V., Lugan N., et al. // Chem. — Eur. J. 2011. V. 17. № 47. P. 13151. https://doi.org/10.1002/chem.201102767
- Cingolani A., Marchetti,F.. Pettinari C. et al. // Polyhedron 2006. V. 25. № 1. P. 124. https://doi.org/10.1016/j.poly.2005.07.020
- Bochkarev L.N., Bariniva Y.P., Ilicheva A.I. et al. // Inorganica Chim. Acta 2015. V. 425. № 30. P. 189. https://doi.org/10.1016/j.ica.2014.10.014
- Sherwood R., Gonzalez de Rivera F., Wan, J. H. et al. Inorg. Chem. 2015. V. 54. № 9. P. 4222. https://doi.org/10.1021/ic5028527
- Pettinari C., Caruso F., Zaffaroni N. // J. Inorg. Biochem. 2006. V. 100. № 1. P. 58. https://doi.org/10.1016/j.jinorgbio.2005.10.002
- Marchetti F., Pettinari R,; Pettinari C. // Coord. Chem. Rev. 2015. V. 303. № 1. P. 1. https://doi.org/10.1016/j.ccr.2015.05.003
- Marchetti F., Pettinari C., Di Nicola C. // Appl. Catal. Gen. 2010. V. 378. № 2. P. 211. https://doi.org/10.1016/j.apcata.2010.02.022
- Hasanzadeh Esfahani M., Behzad M., Dusek M. et al. // Inorganica Chim. Acta 2020. V. 508. № 1. P. 119637. https://doi.org/10.1016/j.ica.2020.119637
- Li Y., Guo J., Liu A. // RSC Adv. 2017. V. 7. № 16. P. 9847. https://doi.org/10.1039/C6RA27937F
- O´Brien, D.F., Gates J.W.Jr. // J. Org. Chem. 1966. V. 31. № 5. P. 1538. https://doi.org/10.1021/jo01343a054
- Kayode, G.O.; Montemore, M.M. // J. Mater. Chem. A. 2021. V. 9. № 39. P. 22325. https://doi.org/10.1039/D1TA06453C
- Halcrow M.A. Spin-Crossover Materials: Properties and Applications. Oxford (UK): Wiley, 2013.
- Demaison J., Császár A.G. // J. Mol. Struct. 2012. V. 1023. № 12. P. 7. https://doi.org/10.1016/j.molstruc.2012.01.030
- Lide D.R. // Tetrahedron 1962. V. 17. № 3–4. P. 125. https://doi.org/10.1016/S0040-4020(01)99012-X
- Alvarez, S. // Chem. Rev. 2015. V. 115. № 24. P. 13447. https://doi.org/10.1021/acs.chemrev.5b00537
- Omotowa B.A., Mesubi M.A. // Appl. Organomet. Chem. 1997. V. 11. № 1. P. 1. https://doi.org/10.1002/(SICI)1099-0739(199701)11:1<1::AID-AOC518>3.0.CO;2-3
Supplementary files








