Coordination Compounds of Alkali and Rare Earth Metals Based on Centrosymmetric Chlorine-Substituted Bis-Mercaptooxazole. Synthesis, Structure, and Luminescence
- Authors: Rogozhin A.F.1, Il´ichev V.A.1, Silant´eva L.I.1, Kovylina T.A.1, Kozlova E.A.1, Fukin G.K.1, Bochkareva M.N.1
-
Affiliations:
- Razuvaev Institute of Organometallic Chemistry, Russian Academy of Sciences
- Issue: Vol 50, No 7 (2024)
- Pages: 447-459
- Section: Articles
- URL: https://journal-vniispk.ru/0132-344X/article/view/268508
- DOI: https://doi.org/10.31857/S0132344X24070048
- EDN: https://elibrary.ru/MUNBPF
- ID: 268508
Cite item
Full Text
Abstract
New coordination polymers were synthesized. A ditopic centrosymmetric organic ligand containing oxazole heterocycles, 4,8-dichlorobenzo[1,2d:4,5d´]bis(oxazole)-2,6(3H,7H)-dithione (H2L), was prepared and structurally characterized. It was shown that deprotonated H2L forms non-luminescent binuclear molecular complexes Li2L(THF)6 (I) and Na2L(DME)4 (II) with alkali metals, while complexes of H2L with lanthanides are ionic compounds [Ln(DMSO)8][L]1.5 (Ln = Nd (III), Yb (IV)) exhibiting moderate metalcentered emission in the near-infrared (IR) range, despite the absence of coordination of the ligand L to lanthanide ions. The molecular structures of H2L·2DMSO and I–III were established by X-ray diffraction (CCDC no. 2320461 (H2L·2DMSO), 2320462 (I), 2320463 (II), 2320464 (III)).
Full Text
Координационные полимеры (КП) на основе лантаноидов вызывают интерес за счет ряда уникальных особенностей. Прежде всего фотолюминесценция (ФЛ) самих ионов лантаноидов, обладающая узкими полосами эмиссии как в видимом, так и в ближнем ИК диапазонах спектра [1–3], может быть значительно увеличена за счет органического линкера, выступающего в качестве «антенны», эффективно поглощающей и передающей энергию возбуждения на металл. Такие соединения могут находить применение в качестве люминофоров с металлцентрированной эмиссией ионов лантаноидов [4–6], флуоресцентных сенсоров [7–9], магнетиков [10, 11], сцинтилляторов [12], гетерогенных катализаторов [13] и ряда других областей [14–16]. Среди многообразия политопных линкеров, способных образовывать КП, широко известно об использовании производных карбоновых кислот [17–19] и имидазола [20, 21], являющихся жесткими основаниями Льюиса. Ранее было продемонстрировано, что мягкоосновные бистиазолятные линкеры также могут быть использованы для синтеза люминесцентных КП на основе лантаноидов и щелочных металлов [22, 23]. На момент начала данной работы были известны лишь сведения об использовании бисмеркаптотиазольного дитопного линкера — бензо[1,2:4,5]бис(тиазол)-2,6-дитиола для образования люминесцентных КП на основе лантаноидов. Особенностью этого линкера является наличие центра инверсии в его молекулярной структуре. С целью расширения ряда центросимметричных мягкоосновных дитопных лигандов, способных образовывать люминесцентные лантаноидсодержащие КП, было решено сместить фокус внимания на дитопные производные 2-меркаптооксазола, а именно 4,8-дихлорбензо[1,2d:4,5d´]бис(оксазол)-2,6(3H,7H)-дитион (H₂L). Выбор оксазольного гетероцикла обоснован тем, что соединения на его основе являются эффективными сенсибилизаторами люминесценции Ln3+ [24–27]. Кроме того, недавние исследования хлорсодержаших «антенных» систем продемонстрировали увеличение эффективности ИК фотолюминесценции (ФЛ) для некоторых лантаноидов, в частности неодима [28, 29].
ЭКСПЕРИМЕНТАЛЬНАЯ ЧАСТЬ
Все реакции и манипуляции с веществами проводили с использованием техники Шленка или в атмосфере аргонового перчаточного бокса (O2 < 1 м.д.; H₂O < 0.1 м.д.). Все реагенты и растворители получали из коммерческих источников. 1,2-Диметоксиэтан (ДMЭ), 1,4-диоксан, тетрагидрофуран (TГФ) сушили бензофенонкетилом натрия по стандартной методике и отбирали в вакууме непосредственно перед использованием. Диметилсульфоксид (ДМСО) сушили над ситами 3Å. Синтез 2,5-диамино-3,6-дихлор-1,4-бензохинона проводили по известной методике из коммерчески доступного 2,3,5,6-тетрахлорциклогекса-2,5-диена-1,4-диона и водного аммиака [30].
Элементный анализ C, H, N и S проводили на элементном анализаторе Euro EA 3000. Содержание неодима и иттербия анализировали с помощью комплексонометрического титрования. ИК-спектры снимали на спектрометре FSM1201 FTIR в диапазоне 4000 до 450 см–1 в вазелиновом масле на подложках KBr. Спектры ЯМР регистрировали на Bruker Avance III спектрометре (400 МГц) в ДМСОd6, используя Me4Si в качестве внутреннего стандарта. Масс-спектры регистрировали на хромато-масс-спектрометре Polaris Q/Trace GC Ultra при энергии ионизирующих электронов 70 эВ в диапазоне массовых чисел 40–700. ФЛ твердых образцов возбуждали 405 нм диодным лазером мощностью 100 мВт и регистрировали в диапазоне от 400 до 1700 нм при помощи спектрофлуориметров OceanOptics USB2000 и OceanOptics NIR 512.
Синтез 4,8-дихлорбензо[1,2-d:4,5-d´]бис(оксазол)-2,6(3H,7H)-дитиона (H₂L). В колбу объемом 50 мл помещали 15 мл ДМСО, 2,5-диамино36-дихлор-1,4-бензхинон (1 г, 4.83 ммоль), сероуглерод (1.5 мл, 24.94 ммоль) и девятиводный сульфид натрия (1.159 г, 4.83 ммоль). Смесь нагревали в масляной бане с обратным холодильником при температуре 100oC при интенсивном перемешивании на магнитной мешалке в течение 12 ч в атмосфере аргона. Наблюдали потемнение бежевого раствора до краснокоричневого цвета. Смесь охлаждали до комнатной температуры, добавляли 15 мл водного раствора NaOH (1 г) и перемешивали в течение 30 мин до выпадения серы. Осадок серы отфильтровывали на фильтре Шотта и добавляли 1Н НCl до кислой среды (pH 3–4). Полученный творожистый осадок отфильтровывали и промывали водой, сушили в вакууме при 100оС в течение 2 ч. Выделяли H₂L в виде серобурого порошка с выходом 1.26 г (89%). Кристаллы H₂L · 2ДМСО получали при медленном охлаждении горячего насыщенного раствора H₂L в ДМСО.
Спектр ЯМР 13С (δ, м. д.): 95.80, 127.87, 142.90, 180.41. ИК-спектр (ν, см–1): 466 сл, 520 с, 559 сл, 572 сл, 661 ср, 903 ср, 922 с, 995 с, 1136 с, 1235 с, 1400 ср, 1533 ср, 1559 с, 1580 сл, 1752 сл, 3074 с; масс-спектр (M = 292.09).
Найдено, %: C 32.74; H 0.68; N 9.52; S 21.68. Для C8H2N2O2 Cl2S2 вычислено, %: C, 32.78; H, 0.69; N, 9.56; S, 21.87.
Синтез Li2L(THF)6 (I). К суспензии H₂L (0.341 ммоль, 100 мг) в ТГФ (5 мл), полученной после перемешивания в ультразвуковой бане, приливали раствор LiN(SiMe3)2 (0.682 ммоль, 109.8 мг) в ТГФ (5 мл) и запаивали реакционную смесь в ампуле. Наблюдали резкое изменение цвета смеси на коричневый. Смесь перемешивали в ультразвуковой бане в течение 10 мин. Через 24 ч образовавшиеся бесцветные кристаллы декантировали, промывали холодным гексаном и высушивали в вакууме при комнатной температуре. Кристаллический целевой продукт выделен с выходом 158 мг (63%). Кристаллы для РСА брали непосредственно из реакционной ампулы.
ИК-спектр (ν, см–1): 466 ср, 503 с, 585 сл, 622 сл, 646 сл, 683 ср, 754 ср, 823 ср, 873 с, 905 с, 995 с, 1048 с, 1258 с, 1339 с, 1496 ср, 1580 сл, 1620 сл, 1922 сл.
Найдено, %: C 52.02; H 6.54; N 3.79; S 8.51. Для C32H48N2O8S2Cl2Li2 вычислено, %: C 52.11; H 6.56; N 3.80; S 8.69.
Синтез Na2L(DME)4 (II) выполняли по методике, аналогичной для I, растворяли H₂L (0.341 ммоль, 100 мг) и NaN(SiMe3)2 (0.682 ммоль, 123.6 мг). Наблюдали изменение цвета раствора на зеленый. Целевой продукт выделяли в виде бесцветных кристаллов с выходом 171.3 мг (72%). Кристаллы для РСА брали непосредственно из реакционной ампулы.
ИК-спектр (ν, см–1): 500 ср, 572 ср, 683 сл, 805 сл, 820 сл, 863 с, 900 сл, 992 с, 1019 сл, 1032 сл, 1061 ср, 1090 с, 1125 сл, 1196 ср, 1260 ср, 1278 сл, 1326 ср, 1599 ср, 1911 сл, 1951 сл.
Найдено, %: C 41.27; H 5.76; N 4.01; S 9.04. Для C24H40N2O10S2Cl2Na2 вычислено, %: C 41.32; H 5.78; N 4.02; S 9.19.
Синтез [Nd(DMSO)8][L]1.5 (III). К суспензии H₂L (0.341 ммоль, 100 мг) в ТГФ (5 мл), полученной после перемешивания в ультразвуковой бане, приливали раствор Nd[N(SiMe3)2]3 (0.227 ммоль, 142.2 мг) в ТГФ (5 мл). Наблюдали изменение цвета реакционной смеси на темно-зеленый. Перемешивали реакционную смесь в ультразвуковой бане в течение 10 мин. Удаляли растворитель и летучие продукты в вакууме. К высушенному осадку приливали смесь ДМСО : диоксан в соотношении 1 : 3. Затем запаянную реакционную ампулу выдерживали в течение 48 ч при температуре 60oC. Образовавшиеся светло-голубые кристаллы отфильтровывали, промывали холодным гексаном и высушивали в вакууме при комнатной температуре. Комплекс III выделяли с выходом 115 мг (42%). Кристаллы для РСА брали непосредственно из реакционной ампулы.
ИК-спектр (ν, см–1): 466 сл, 498 с, 569 сл, 614 сл, 683 ср, 823 с, 897 ср, 955 с, 1006 с, 1045 с, 1098 сл, 1212 сл, 1249 с, 1318 ср, 1534 сл 1665 ср, 1909 ср, 2054 ср, 3418 ср.
Найдено, %: C 27.85; H 3.98; N 3.47; S 29.01, Nd 12.03. Для C28H48N3O11S11Cl3Nd вычислено, %: C 27.89; H 4.01; N 3.48; S 29.24, Nd 11.96.
Синтез [Yb(DMSO)8][L]1.5 (IV). Комплекс IV выполняли аналогично III (0.341 ммоль, 100 мг) и Yb[N(SiMe3)2]3 (0.227 ммоль, 148.7 мг). После осушки цвет реакционной смеси изменился на темно-бурый. Комплекс IV выделяли в виде мелкокристаллического порошка желто-оранжевого цвета с выходом 109.3 мг (39%). ИК-спектр IV аналогичен для III.
Найдено, %: C 27.17; H 3.89; N 3.39; S 28.17; Yb 14.17. Для C28H48N3O11S11 Cl3Yb вычислено, %: C 27.24; H 3.92; N 3.40; S 28.56; Yb 14.02.
РСА соединений H₂L · 2ДМСО, I–III проведен на дифрактометре Oxford Xcalibur Eos (графитовый монохроматор, МоKα-излучение, ωсканирование, λ = 0.71073 Å). Экспериментальные наборы интенсивностей интегрированы с помощью программы CrysAlisPro [31]. Поправки на поглощение введены с использованием алгоритма масштабирования SCALE3 ABSPACK, реализованного в программе CrysAlisPro. Структуры решены с использованием программы SHELXT [32] и уточнены полноматричным МНК по F2hkl в анизотропном приближении для всех неводородных атомов с помощью программы SHELXL [33]. Все водороды, за исключением атомов H(1A) и H(2A), в соединении H₂L помещены в геометрически рассчитанные положения и уточнены в изотропном приближении с использованием модели «наездника»: Uiso(H) = 1.5 Ueq(C) для метильных групп, Uiso(H) = 1.2 Ueq(C) для всех остальных групп. В свою очередь, атомы H1A и H2A в соединении H₂L локализованы объективно из разностного Фурье-синтеза и уточнены в изотропном приближении. Фрагменты координированных молекул растворителя в комплексах I (ТГФ), II (ДМЭ) и III (ДМСО) разупорядочены по двум положениям. Для их уточнения применены инструкции ISOR, EADP, SADI и DFIX. Основные кристаллографические характеристики соединений H₂L · 2ДМСО, I–III приведены в табл. 1.
Таблица 1. Кристаллографические характеристики, данные эксперимента и результаты уточнения структур комплексов H₂L · 2ДМСО, I–III
Параметр | Значение | |||
H₂L · 2ДМСО | I | II | III | |
Брутто-формула | C12H14N2O4S4Cl2 | C32H48N2OS2Cl2Li28 | C24H40Cl2N2Na2O10S2 | C28H48Cl3N3NdO11S11 |
М, г/моль | 449.39 | 737.62 | 697.58 | 1205.94 |
Температура, К | 100(2) | 100(2) | 100(2) | 100(2) |
Сингония | Моноклинная | Моноклинная | Моноклинная | Моноклинная |
Пр. группа | C2/c | P21/n | P21/n | P21/n |
a, Å | 21.9776(9) | 8.8269(3) | 8.6939(4) | 12.7512(2) |
b, Å | 9.5988(4) | 13.4479(3) | 13.8784(7) | 24.4450(4) |
c, Å | 17.6818(9) | 15.8333(4) | 14.1773(7) | 15.7342(3) |
β, град | 90.072(4) | 104.022(3) | 99.696(5) | 95.4732(17) |
V, Å3 | 3730.1(3) | 1823.46(9) | 1686.16(14) | 4882.04(15) |
Z | 8 | 2 | 2 | 4 |
ρ(выч), г/см3 | 1.600 | 1.343 | 1.374 | 1.641 |
μ, мм–1 | 0.815 | 0.342 | 0.393 | 1.750 |
F(000) | 1840 | 780 | 732 | 2448 |
Размер кристалла | 0.60×0.29×0.18 | 0.42×0.17×0.06 | 0.43×0.33×0.19 | 0.35×0.25×0.09 |
θ, град | 2.304–30.033 | 2.013–29.130 | 2.068–28.000 | 1.966–27.103 |
Число отражений: измеренных/независимых | 42145/5454 | 30716/4893 | 38068/4076 | 86943/10772 |
Rint | 0.0548 | 0.0713 | 0.1147 | 0.0722 |
R1/wR2 (все отражения) | R1 = 0.0564, wR2 = 0.1025 | R1 = 0.0776, wR2 = 0.1202 | R1 = 0.0596, wR2 = 0.1265 | R1 = 0.0572, wR2 = 0.0705 |
R1/wR2 (I > 2σ(I)) | R1 = 0.0399, wR2 = 0.0938 | R1 = 0.0458, wR2 = 0.1038 | R1 = 0.0455, wR2 = 0.1166 | R1 = 0.0342, wR2= 0.0631 |
S(F2) | 1.081 | 1.044 | 1.049 | 1.024 |
Δρmin/Δρmax, e/Å3 | 0.789/–0.729 | 0.387/–0.306 | 0.412/–0.375 | 0.962/–0.795 |
Структуры задепонированы в Кембриджской базе структурных данных (CCDC № 2320461 (H₂L · 2ДМСО), 2320462 (I), 2320463 (II), 2320464 (III); deposit@ccdc.cam.ac.uk или http://www.ccdc.cam.ac.uk/).
РЕЗУЛЬТАТЫ И ИХ ОБСУЖДЕНИЕ
Схема 1. Синтез дитопного лиганда H₂L.
Синтез целевого бисмеркаптооксазола H₂L был осуществлен в две стадии (схема 1). На первой стадии из коммерчески доступного 2,3,5,6-тетрахлорциклогекса-2,5-диена-1,4-диона реакцией нуклеофильного замещения с водным раствором аммиака [30] был получен 2,5-диамино-3,6-дихлор-1,4-бензохинон. Затем была проведена конденсация полученного бензохинона с сероуглеродом в растворе ДМСО в присутствии девятиводного сульфида натрия, выступающего в роли восстановителя бензохинона. Целевое соединение было выделено в виде серого порошка с выходом 89% и охарактеризовано методами спектроскопии ИК и ЯМР 13С, масс-спектрометрии и элементного анализа. Синтезированный бисмеркаптооксазол устойчив на воздухе, растворим в сильнощелочных водных средах, нерастворим в воде, толуоле, гексане, ацетонитриле, эфире и ограниченно растворим в ДМЭ, ТГФ и ДМСО.
При медленном охлаждении горячего насыщенного раствора H₂L в ДМСО были получены пригодные для рентгеноструктурного анализа кристаллы аддукта H₂L с двумя молекулами ДМСО.
Рис 1. Молекулярное строение H₂L · 2ДМСО. Приведены эллипсоиды с 30%-ной вероятностью. Атомы водорода ДМСО не показаны для наглядности.
Молекулярное строение полученного бисмеркаптооксазола приведено на рис. 1. Атомы водорода N–H ориентированы на атомы кислорода двух молекул ДМСО: расстояния водородных H…O связей составляют 1.76(3) и 1.78(3) Å. Молекула бисмеркаптооксазола практически плоская. Максимальное отклонение неводородных атомов составляет 0.025 Å. Распределение длин связей в молекуле H₂L находится в хорошем согласии с соответствующими значениями для родственных соединений (табл. 2 и 3) [34, 35].
Рис. 2. Фрагмент кристаллической упаковки комплекса H₂L. Представлена кристаллографическая проекция вдоль оси b. Атомы водорода не показаны для наглядности.
Схема 2. Синтез биядерных комплексов щелочных металлов I и II.
В кристаллической упаковке молекулы бисмеркаптооксазола формируют одномерные стопки (рис. 2). Двугранные углы между плоскостями соседних H₂L составляют 0o и 8.8o, а расстояния между центрами ароматического кольца одной молекулы и центром связи C=S другой состаляют 3.73 и 3.55 Å соответственно. Такие геометрические характеристики свидетельствуют о реализации в кристалле межмолекулярного π…π-взаимодействия [36].
Рис. 3. Молекулярное строение комплекса I. Приведены эллипсоиды с 30%-ной вероятностью. Атомы водорода не показаны для наглядности. Oперация симметрии ½ – x, ½ + y, ½ – z, использованная для генерации эквивалентных атомов (А).
Схема 3. Синтез ионных соединений лантаноидов III и IV.
С целью синтеза координационных полимеров на основе ионов щелочных металлов были проведены реакции силиамидных комплексов натрия и лития с H₂L в соответствии со схемой 2. Однако на основании данных РСА было установлено, что образующиеся в таких реакциях бесцветные кристаллы соединений I и II представляют собой биядерные молекулярные комплексы M2L(solv)n, где M = Li, Na, solv = ТГФ (n = 6), ДМЭ (n = 4).
Соединение I представляет собой биядерный комплекс лития, в котором каждый атом металла связан с одним атомом азота бисмеркаптооксазола и тремя молекулами ТГФ (рис. 3). Длина связи Li(1)–N(1) составляет 2.077(4) Å. Координация лиганда приводит к некоторому увеличению связи C=S (1.673(2) Å) по сравнению со свободным лигандом (1.645(2) Å), однако расстояние Li…S (3.392(4) Å) значительно превышает сумму ионного радиуса атома лития (0.73 Å) [37] и ван-дер-ваальсового радиуса серы (1.8 Å) [38], что свидетельствует об отсутствии взаимодействия Li…S. Таким образом, координационное окружение атома лития представляет собой искаженный тетраэдр. Основные геометрические характеристики в координационной сфере атома лития (табл. 2 и 3) хорошо соответствуют значениям, наблюдаемым в ранее опубликованных родственных комплексах [39]. Бисмеркаптооксазол в комплексе I имеет плоское строение. Максимальное отклонение от плоскости составляет 0.033 Å.
Таблица 2. Избранные длины связей (Å) комплексов H₂L · 2ДМСО, I–III
Связь | Длина, Å | Связь | Длина, Å |
H₂L · 2ДМСО | I | ||
Cl(1)C(3) | 1.716(2) | Li(1)O(2) | 1.944(4) |
Cl(2)C(7) | 1.709(2) | Li(1)O(3) | 1.974(4) |
S(1)C(1) | 1.645(2) | Li(1)O(4) | 1.962(4) |
S(2)C(5) | 1.644(2) | Li(1)N(1) | 2.077(4) |
O(1)C(1) | 1.382(2) | ||
O(1)C(8) | 1.374(2) | ||
O(2)C(4) | 1.373(2) | ||
O(2)C(5) | 1.382(2) | ||
N(1)C(1) | 1.347(3) | ||
N(1)C(2) | 1.385(2) | ||
N(1)H(1A) | 0.87(3) | ||
N(2)C(5) | 1.346(3) | ||
N(2)C(6) | 1.389(2) | ||
N(2)H(2A) | 0.91(3) | ||
II | III | ||
Na(1)O(2) | 2.3700(16) | Nd(1)O(1) | 2.486(2) |
Na(1)O(3) | 2.382(2) | Nd(1)O(2) | 2.399(2) |
Na(1)O(3A) | 2.38(2) | Nd(1)O(3) | 2.389(2) |
Na(1)O(4) | 2.3532(16) | Nd(1)O(3) | 2.389(2) |
Na(1)O(5) | 2.4131(15) | Nd(1)O(6) | 2.486(2) |
Na(1)N(1) | 2.3639(17) | Nd(1)O(7) | 2.434(2) |
Na(1)S(1) | 3.0648(10) | Nd(1)O(8) | 2.465(2) |
Таблица 3. Избранные углы (град) комплексов H₂L · 2ДМСО, I–III
Угол | ω, град | Угол | ω, град |
H₂L · 2ДМСО | I | ||
C(8)O(1)C(1) | 107.51(15) | O(2)Li(1)O(4) | 113.02(18) |
C(4)O(2)C(5) | 107.30(15) | O(2)Li(1)O(3) | 99.69(17) |
C(1)N(1)C(2) | 109.72(17) | O(4)Li(1)O(3) | 96.40(16) |
C(1)N(1)H(1A) | 122.8(19) | O(2)Li(1)N(1) | 100.03(17) |
C(2)N(1)H(1A) | 127.2(19) | O(4)Li(1)N(1) | 114.07(18) |
C(5)N(2)C(6) | 109.51(17) | O(3)Li(1)N(1) | 132.93(19) |
C(5)N(2)H(2A) | 124.2(18) | ||
C(6)N(2)H(2A) | 125.1(18) | ||
N(1)C(1)O(1) | 108.17(16) | ||
N(1)C(1)S(1) | 130.15(16) | ||
O(1)C(1)S(1) | 121.67(15) | ||
N(1)C(2)C(8) | 105.96(17) | ||
N(1)C(2)C(3) | 132.80(18) | ||
II | III | ||
O(4)Na(1)N(1) | 116.07(6) | O(3)Nd(1)O(2) | 92.82(9) |
O(4)Na(1)O(2) | 91.91(6) | O(3)Nd(1)O(4) | 86.63(9) |
N(1)Na(1)O(2) | 95.92(6) | O(2)Nd(1)O(4) | 139.88(8) |
O(4)Na(1)O(3A) | 105.4(5) | O(3)Nd(1)O(5) | 149.66(8) |
N(1)Na(1)O(3A) | 136.3(5) | O(2)Nd(1)O(5) | 86.21(8) |
O(2)Na(1)O(3A) | 68.7(2) | O(4)Nd(1)O(5) | 75.16(8) |
O(4)Na(1)O(3) | 91.21(8) | O(3)Nd(1)O(7) | 92.70(9) |
N(1)Na(1)O(3) | 150.27(8) | O(2)Nd(1)O(7) | 150.80(8) |
O(2)Na(1)O(3) | 70.17(6) | O(4)Nd(1)O(7) | 69.09(8) |
O(4)Na(1)O(5) | 71.15(5) | O(5)Nd(1)O(7) | 102.84(9) |
N(1)Na(1)O(5) | 93.78(6) | O(3)Nd(1)O(8) | 137.53(8) |
O(2)Na(1)O(5) | 162.90(7) | O(2)Nd(1)O(8) | 75.42(8) |
O(3A)Na(1)O(5) | 112.7(3) | O(4)Nd(1)O(8) | 128.31(8) |
O(3)Na(1)O(5) | 106.83(6) | O(5)Nd(1)O(8) | 71.40(8) |
O(4)Na(1)C(1) | 141.23(6) | O(7)Nd(1)O(8) | 81.24(8) |
N(1)Na(1)C(1) | 25.81(5) | O(3)Nd(1)O(6) | 70.05(8) |
O(2)Na(1)C(1) | 97.86(6) | O(2)Nd(1)O(6) | 82.13(9) |
O(3A)Na(1)C(1) | 113.1(5) | O(4)Nd(1)O(6) | 133.99(9) |
O(3)Na(1)C(1) | 127.41(8) | O(5)Nd(1)O(6) | 139.35(8) |
O(5)Na(1)C(1) | 97.01(5) | O(7)Nd(1)O(6) | 72.92(9) |
O(4)Na(1)S(1) | 166.82(5) | O(8)Nd(1)O(6) | 67.99(7) |
N(1)Na(1)S(1) | 58.22(4) | O(3)Nd(1)O(1) | 74.30(8) |
O(2)Na(1)S(1) | 100.36(5) | O(2)Nd(1)O(1) | 71.58(7) |
O(3A)Na(1)S(1) | 83.7(5) | O(4)Nd(1)O(1) | 69.71(8) |
O(3)Na(1)S(1) | 97.43(7) | O(5)Nd(1)O(1) | 76.66(8) |
O(5)Na(1)S(1) | 96.72(4) | O(7)Nd(1)O(1) | 137.34(8) |
C(1)Na(1)S(1) | 32.46(4) | O(8)Nd(1)O(1) | 135.00(8) |
O(6)Nd(1)O(1) | 134.08(8) | ||
Соединение II аналогично I представляет собой биядерный комплекс (рис. 4). Каждый из атомов натрия связан с двумя молекулами ДМЭ, а также атомами азота и серы бисмеркаптооксазольного лиганда. Расстояние Na(1)–S(1) составляет 3.0648(10) Å, что лишь незначительно превышает сумму ионного радиуса атома натрия (1.16 Å) [37] и ван-дер-ваальсового радиуса серы (1.8 Å) [34]. В целом основные геометрические характеристики в координационной сфере атома натрия в комплексе II (табл. 2 и 3) находятся в хорошем согласии с ранее опубликованными шестикоординационными соединениями натрия с родственными лигандами [23]. Отметим, что расстояние C=S в комплексе II (1.685(2)) увеличивается по сравнению с комплексом I (1.673(2) Å), что свидетельствует о наличии взаимодействия Na…S (3.0648(10)) [40]. Координационная сфера атома натрия представляет собой искаженный октаэдр.
Рис. 4. Молекулярное строение комплекса II. Приведены эллипсоиды с 30%-ной вероятностью. Атомы водорода не показаны для наглядности. Oперация симметрии ½ – x, ½ + y, ½ – z, использованная для генерации эквивалентных атомов (А).
Бисмеркаптооксазол, как и в комплексе I, имеет плоское строение. Максимальное отклонение от плоскости составляет 0.012 Å.
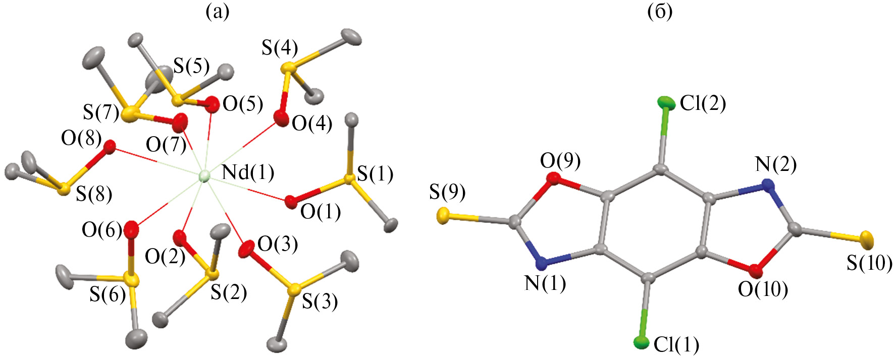
Для синтеза лантаноидсодержащих КП на основе дитопного бисмеркаптооксазола H₂L были проведены реакции силиламидных комплексов неодима и иттербия Ln[N(Si(Me)3)2]3 со свободным бистиазолом в три стадии в соответствии со схемой 3. После нагревания в течение 2 сут при температуре 60oC в реакции с неодимом были обнаружены светло-голубые кристаллы соединения III, которые, по данным РСА, представляют собой ионный комплекс [Nd(DMSO)8][L]1.5.
Согласно данным РСА, строение комплекса III аналогично ранее опубликованному комплексу неодима с родственным бистиазольным лигандом [22]. Соединение III представляет собой комплекс, содержащий катионную Nd3+(ДМСО)8 и анионные L2– части: три дианиона бисмеркаптооксазола на две катионные части в кристалле. Молекулярная структура комплекса III показана на рис. 5.
Рис. 5. Катионная (а) и анионная (б) части комплекса III. Приведены эллипсоиды с 30%-ной вероятностью. Атомы водорода не показаны для наглядности.
Расстояния Nd–O варьируются в широком диапазоне: от 2.389(2) до 2.486(2) Å (табл. 2). Координационная сфера атома неодима в III представляет собой искаженную квадратную антипризму. Бисмеркаптооксазол-дианионы имеют плоское строение. Максимальное отклонение от плоскости составляет 0.047 и 0.127 Å. Основные геометрические характеристики хорошо согласуются с ранее опубликованным комплексом Nd(III) [22]. Основное отличие комплекса III от родственного бистиазольного комплекса [22] заключается во взаимном расположении анионных фрагментов комплекса относительно друг друга. Если в ранее опубликованном комплексе плоскости соседних лигандов образуют двугранный угол 58.8°, то в комплексе III они практически перпендикулярны друг другу (81.3°). Кроме того, расстояние между атомом хлора одной молекулы лиганда до центра ароматического кольца другой составляет 3.375 Å (рис. 6), что свидетельствует о наличии C–Cl…π-взаимодействий в кристалле III [41].
Рис. 6. Расположение бисмеркаптооксазол-дианионов в комплексе III. Приведены эллипсоиды с 30%-ной вероятностью. Атомы водорода не показаны для наглядности.
Для иттербийсодержащего продукта IV не удалось получить кристаллы, пригодные для РСА, однако сходство элементного состава и ИК-спектров IV и III позволяют сделать вывод об идентичности его строения с неодимовым аналогом III.
Было обнаружено, что молекулярные биядерные комплексы лития и натрия на основе хлорсодержащего дитопного бисмеркаптооксазола H₂L I и II оказались нелюминесцентными как при комнатной, так и при температуре жидкого азота, в то время как для родственного 2-меркаптобензоксазола [42] была обнаружена люминесцентная активность.
Несмотря на отсутствие ФЛ у солей щелочных металлов, соединения III и IV демонстрируют умеренную по интенсивности металл-центрированную ФЛ соответствующих ионов лантаноидов в ближнем ИК-диапазоне, даже несмотря на отсутствие координации бисмеркаптоксазола на атомы металлов. На спектрах ФЛ (рис. 7) соединений III и IV, зарегистрированных при возбуждении диодным лазером 405 нм, наблюдаются полосы эмиссии c характерными для соответствующих ионов лантаноидов внутриконфигурационными f–f переходами — Nd: 4F3/2 → 4I9/2 (855 нм), 4F3/2 → 4I11/2 (1055 нм) и 4F3/2 → 4I13/2 (1345 нм), Yb: 4F3/2 → 4I9/2 (990 нм). Следовательно, депротонированный H₂L выступает в качестве лиганда-сенсибилизатора лантаноидной люминесценции.
Попытки синтеза лантаноидсодержащих координационных полимеров, в соответствии с методами успешно примененными для родственных бисмеркаптотиазольных дитопных линкеров [22], не привели к успеху в случае H₂L. Вероятно, данный факт связан с наличием в его структуре достаточно объемных заместителей — атомов хлора, препятствующих формированию 2D-слоев, а также дополнительной стабилизацией ионных солей за счет C–Cl…π-взаимодействий в кристаллах.
Рис. 7. Спектры ФЛ твердых образцов III и IV в ИК-диапазоне при комнатной температуре, λвозб = 405 нм.
Таким образом, в данной работе был синтезирован и структурно охарактеризован новый дитопный центросимметричный гетероциклический лиганд, содержащий два аннелированных оксазольных гетероцикла — 4,8-дихлорбензо[1,2-d:4,5-d´]бис (оксазол)-2,6(3H,7H)-дитионa (H₂L). Было продемонстрировано, что дилитиевые и динатриевые соли этого соединения — Li2L(THF)6 и Na2L(DME)4 – являются нелюминесцентными молекулярными комплексами, в которых ионы натрия хелатно связаны S^N фрагментом, а ион лития координируется только к атому N. С ионами неодима и иттербия депротонированный H₂L образует ионные соединения состава [Ln(DMSO)8][L]1.5, проявляющие умеренную, характеристичную для данных ионов ФЛ в ближнем ИК-диапазоне.
БЛАГОДАРНОСТИ
Работа выполнена с использованием оборудования центра коллективного пользования «Аналитический центр ИМХ РАН» при поддержке гранта «Обеспечение развития материально-технической инфраструктуры центров коллективного пользования научным оборудованием» (уникальный идентификатор RF-2296.61321X0017, номер соглашения 075-15-2021-670.
Авторы заявляют, что у них нет конфликта интересов.
ФИНАНСИРОВАНИЕ
Работа выполнена при финансовой поддержке Российского научного фонда (грант № 20-73-10115).
About the authors
A. F. Rogozhin
Razuvaev Institute of Organometallic Chemistry, Russian Academy of Sciences
Author for correspondence.
Email: atonrog@gmail.com
Russian Federation, Nizhny Novgorod
V. A. Il´ichev
Razuvaev Institute of Organometallic Chemistry, Russian Academy of Sciences
Email: atonrog@gmail.com
Russian Federation, Nizhny Novgorod
L. I. Silant´eva
Razuvaev Institute of Organometallic Chemistry, Russian Academy of Sciences
Email: atonrog@gmail.com
Russian Federation, Nizhny Novgorod
T. A. Kovylina
Razuvaev Institute of Organometallic Chemistry, Russian Academy of Sciences
Email: atonrog@gmail.com
Russian Federation, Nizhny Novgorod
E. A. Kozlova
Razuvaev Institute of Organometallic Chemistry, Russian Academy of Sciences
Email: atonrog@gmail.com
Russian Federation, Nizhny Novgorod
G. K. Fukin
Razuvaev Institute of Organometallic Chemistry, Russian Academy of Sciences
Email: atonrog@gmail.com
Russian Federation, Nizhny Novgorod
M. N. Bochkareva
Razuvaev Institute of Organometallic Chemistry, Russian Academy of Sciences
Email: atonrog@gmail.com
Russian Federation, Nizhny Novgorod
References
- Bünzli J.C.G. // Handb. Phys. Chem. Rare Earths. 2016. V. 50. P. 141.
- Bünzli J.C.G. // Coord. Chem. Rev. 2015. V. 293–294. P. 19.
- Bryleva Y.A., Artem´ev A.V., Glinskaya L.A. et al. // New J. Chem., 2021. V. 45. P. 13869.
- Ivanova A.A., Gontcharenko V.E., Lunev A.M. et al. // Inorganics. 2022. V. 10. P. 104.
- Alzard R.H., Siddig L.A., Saleh, N. et al. // Sci. Rep. 2022. V. 12. P. 1.
- Nosov V.G., Kupryakov A.S., Kolesnikov I.E. et al. // Molecules. 2022. V. 27. P. 5763.
- Liu W., Li D., Wang F. et al. // Opt. Mater. 2022. V. 123. P. 111895.
- Yu X., Ryadun A.A., Pavlov D.I. et al. // Angew. Chemie. 2023. 135. P. e202306680
- Wang S., Sun B., Su Z. et al. // Inorg. Chem. Front. 2022. V. 9. P. 3259
- Mínguez Espallargas G., Coronado E. // Chem. Soc. Rev. 2018. V. 47. P. 533
- Bazhina E.S., Shmelev M.A., Voronina J.K. et al. // New J. Chem. 2023. V. 47. P. 19251.
- Wang X., Wang Y, Wang Y. et al. // Chem. Commun. 2020. V. 56. P. 233.
- Yoon M., Srirambalaji R., Kim K. // Chem. Rev. 2012. V. 112. P. 1196.
- Getman R.B., Bae Y.S., Wilmer C.E. et al. // Chem. Rev. 2012. V. 112. P. 703.
- Li J.R., Sculley J., Zhou H.C. // Chem. Rev. 2012. V. 112. P. 869.
- Furukawa H., Cordova K. E., O´Keeffe M. et al. // Science. 2013. V. 341. P. 1230444.
- Xia T., Cao W., Guan L. et al. // Dalton. Trans. 2022. V. 51. P. 5426.
- Zhou Z., Shang M., Yao Z. et al. // Dye. Pigment. 2022. V. 198. P. 110016.
- Demakov P.A., Sapchenko S.A., Samsonenko D.G. et al. // J. Struct. Chem. 2019. V. 60. P. 815.
- Songlin Y., Dongxue S., Kaisu L. et al. // Dye. Pigment. 2023. V. 220. P. 111673.
- Belousov Y.A., Metlin M.T., Metlina D.A. et al. // Polymers. 2023. V. 15. P. 867.
- Ilichev V.A., Rogozhin A.F., Rumyantcev R.V. et al. // Inorg. Chem. 2023. V. 62. P. 12625.
- Rogozhin A.F., Ilichev V.A., Fagin A.A. et al. // New J. Chem. 2022. V. 46. P. 13987.
- Balashova T.V., Kukinov A.A., Pushkarev A.P. et al. // J. Lumin. 2018. V. 203. P. 286.
- Ilichev V.A., Rozhkov A.V., Rumyantcev R.V. et al. // Dalton Trans. 2017. V. 46. P. 3041.
- Shavaleev N.M., Scopelliti R., Gumy F. et al. // Inorg. Chem. 2009. V. 48. P. 6178.
- Katkova M.A., Balashova T.V., Ilichev V.A. et al. // Inorg. Chem. 2010. V. 49. P. 5094.
- Ilichev V.A., Rogozhin A.F., Belyakova A.V. et al. // Organometallics. 2023, V. 42. P. 2792.
- Hu J.X., Karamshuk S., Gorbaciova J. et al. // J. Mat. Chem. C. 2018. V. 6. P. 7012.
- Inbasekaran M., Strom R. // The New Journal for Organic Synthesis. 1991. V. 449. P. 48674.
- Rigaku Oxford Diffraction. CrysAlis Pro software system, version 1.171.41.122a, Rigaku Corporation, Wroclaw, Poland, 2021.
- Sheldrick G.M. // Acta Cryst. A. 2015. V. 71. P. 3.
- Sheldrick G.M. // (2015). Acta Cryst. C. 2015. V. 71. P. 3.
- Watts S., Peloquin A.J., Bandara M. et al. // Acta Cryst. C. 2022. V. 78. P. 702.
- Jebbari S., Abdellatif E.K., Ahbada M. et al. // IUCrDATA. 2019. V. 4. Px191119.
- Janiak C. // J. Chem. Soc. Dalton Trans. 2000. P. 3885.
- Shannon R.D. // Acta Cryst. A. 1976. V. 32. P. 751.
- Batsanov S.S. // Inorg. Mater. 2001. V. 37. P. 871.
- Armstrong D.R., Banbury F.A., Davidson M.G. et al. // J. Chem. Soc. Chem. Comm. 1992. P. 1492.
- KreiderMueller A., Rong Y., Owena, J.S. et al. // Dalton Trans. 2014. V. 43. P. 10852.
- Prasanna M.D., Guru Row T.N. // Crystal Engineering. 2000. V. 3. P. 135.
- Katkova M.A., Borisov A.V., Fukin G.K. et al. // Inorg. Chim. Acta, 2006, V. 359 P. 4289.
Supplementary files












