Синтез, кристаллическая структура и магнитные свойства координационных полимеров кобальта(II) с 4,7-ди(1,2,4-триазол-1-ил)-2,1,3-бензотиадиазолом и ароматическими дикарбоновыми кислотами
- Авторы: Павлов Д.И.1,2, Лавров А.Н.2, Самсоненко Д.Г.2, Потапов А.С.1,2
-
Учреждения:
- Новосибирский национальный исследовательский государственный университет
- Институт неорганической химии им. А.В. Николаева СО РАН
- Выпуск: Том 50, № 9 (2024)
- Страницы: 577-591
- Раздел: Статьи
- URL: https://journal-vniispk.ru/0132-344X/article/view/272438
- DOI: https://doi.org/10.31857/S0132344X24090058
- EDN: https://elibrary.ru/LXMPNT
- ID: 272438
Цитировать
Полный текст
Аннотация
Взаимодействием нитрата кобальта(II) c 4,7-ди(1,2,4-триазол-1-ил)-2,1,3-бензотиадиазолом (Tr2btd) и ароматическими дикарбоновыми кислотами — терефталевой (H2bdc), 2,6-нафталиндикарбоновой (2,6-H2Ndc) и 2,5-фурандикарбоновой (2,5-H2Fdc) — синтезированы металл-органические координационные полимеры [Co(Tr2btd)(bdc)]n (I) и {[Co2(Tr2btd)(Dmf)(2,6-Ndc)2] · Dmf}n (II), имеющие слоистое строение, и цепочечный координационный полимер [Co(Tr2btd)2(H2O)(2,5-Fdc)]n (III). Соединения I и III являются парамагнитными в интервале температур 1.77–300 К без обменного взаимодействия между катионами Co2+, а в соединении II наблюдается антиферромагнитное взаимодействие между катионами Co2+ в биядерных строительных блоках с константой обменного взаимодействия J ≈ –100 К. При отборе проб для РСА были обнаружены единичные кристаллы фазы IIIa идентичного состава, но другого строения. Молекулярное строение координационных полимеров I, II, III, IIIa установлено с помощью РСА (CCDC № 2343141 (I), 2343297 (II); 2343296 (III); 2343140 (IIIa)).
Полный текст
В последние годы металл-органические координационные полимеры (МОКП) стали чрезвычайно распространенным объектом исследований благодаря широкому спектру тонко настраиваемых свойств [1], что делает их пригодными для применения во многих областях, таких как катализ [2, 3], химия материалов [4–6], сорбционное хранение и разделение газов [7–10] и другие. Одной из значимых областей исследования МОКП являются их магнитные свойства [11]. Из всех доступных металлов для синтеза магнитных МОКП наиболее широко используются катионы Co2+, что объясняется их высоким основным спиновым состоянием (S = 3/2) и высокой магнитной анизотропией [12–14].
Органические поликарбоксилаты являются наиболее распространенными мостиковыми лигандами, связывающими ионы металлов в структуре МОКП [15]. Вместе с тем одним из недостатков карбоксилатных координационных соединений переходных металлов является их низкая гидролитическая стабильность [16]. Этот недостаток может быть устранен в рамках подхода к синтезу МОКП с использованием двух типов лигандов — карбоксилатного и N,N-донорного [15]. Недавно нами была синтезирована серия МОКП на основе производных 2,1,3-бензотиадиазола с гетероциклическими N-донорными заместителями [17–19]. Производные 2,1,3-бензотиадиазола привлекают внимание исследователей благодаря своим ярко выраженным люминесцентным свойствам [20–23] и способности участвовать в сильных нековалентных взаимодействиях [24–27]. Для синтеза МОКП с такими лигандами чаще всего используются катионы металлов с закрытой электронной оболочкой (Zn2+, Cd2+), а основным исследуемым свойством является люминесценция [28–32], тогда как соединения других d-металлов с более широким набором исследованных функциональных свойств представлены в литературе лишь единичными примерами [33–35].
В настоящей работе представлен синтез МОКП на основе ионов Co2+, 4,7-ди(1,2,4-триазол-1-ил)-2,1,3-бензотиадиазола (Tr2Btd) и ряда дикарбоновых кислот H2Bdc — терефталевой, 2,6-H2Ndc — 2,6-нафталиндикарбоновой и 2,5-H2Fdc — 2,5-фурандикарбоновой: [Co(Tr2Btd)(Bdc)]n (I), {[Co2(Tr2Btd)(Dmf)(2,6-Ndc)2] · Dmf}n (II), [Co(Tr2Btd)2(H2O)(2,5-Fdc)]n (III) (схема 1), установлена их кристаллическая структура и изучены магнитные свойства.
Схема 1.
ЭКСПЕРИМЕНТАЛЬНАЯ ЧАСТЬ
Коммерчески доступные растворители и реагенты марки "х.ч." использовались без дополнительной очистки. 4,7-Ди(1,2,4-триазол-1-ил)-2,1,3-бензотиадиазол (Tr2btd) синтезировали по описанной ранее методике [17]. ИК-спектры поглощения в таблетках KBr в диапазоне 4000–400 см–1 записывали на Фурье-спектрометре VERTEX 80. Элементный анализ выполняли на CHNS-анализаторе Vario MICRO cube. Дифрактограммы порошкообразных образцов регистрировали на дифрактометре Bruker D8 ADVANCE (излучение CuKα). Термогравиметрический анализ (ТГА) выполняли на термоанализаторе NETZSCH TG 209 F1 при линейном нагревании образцов со скоростью 10°C/мин в атмосфере гелия.
Магнитные свойства поликристаллических образцов изучали на SQUID-магнетометре MPMS-XL компании Quantum Design в интервале температур 1.77–300 K и магнитных полей H = 0–10 кЭ. Для определения парамагнитной составляющей молярной магнитной восприимчивости χp(T) из измеренных значений полной молярной восприимчивости χ = M/H (M — намагниченность) вычитались вклады ланжевеновского диамагнетизма χd и ферромагнетизма микропримесей, имеющих температуру Кюри Tc > 300 K, χF: χp(T,H) = χ(T,H) — χd – χF(T,H). Для исследованных образцов вклад χF не превышал 0.5% для соединения I, и 0.1% для соединений II и III. Температурно-независимый вклад χd вычислялся согласно аддитивной схеме Паскаля, а для определения ферромагнитного вклада χF проводились измерения полевых зависимостей M(H). Для определения эффективного магнитного момента µэфф и константы Вейсса θ, температурные зависимости χp(T) анализировались с использованием зависимости Кюри–Вейсса
где NA и kB — число Авогадро и постоянная Больцмана соответственно.
РСА монокристаллов соединения I выполнен на дифрактометре Bruker D8 Venture с CMOS-детектором PHOTON III и источником IμS 3.0 (MoKα-излучение, λ = 0.71073 Å). Измерения проведены при температуре 150 К, использованы методы φ- и ω-сканирования. Учет поглощения проводился с использованием программного пакета SADABS [36]. Дифракционные данные для соединения II были получены на экспериментальной станции "Белок/РСА" [37, 38] в Курчатовском комплексе синхротронных исследований Национального Исследовательского центра "Курчатовский институт" с использованием детектора Rayonix SX165 при 293 К (λ = 0.74500 Å). Индексирование, уточнение параметров и интегрирование данных проведены с использованием программного пакета XDS [39, 40]. Дифракционные данные для соединений III (при 291 К) и IIIа (при 140 К) получены на автоматическом дифрактометре Agilent Xcalibur, оснащенном двухкоординатным детектором AtlasS2 (графитовый монохроматор, MoKα-излучение, λ = 0.71073 Å, ω-сканирование с шагом 0.5°). Интегрирование, учет поглощения, определение параметров элементарной ячейки проведены с использованием пакета программ CrysAlisPro [41].
Кристаллические структуры расшифрованы с использованием пакета SHELXT [42] и уточнены полноматричным МНК в анизотропном (за исключением атомов водорода) приближении с использованием пакета SHELXL [43]. Кристаллографические данные и детали дифракционного эксперимента приведены в табл. 1.
Таблица 1. Кристаллографические данные и параметры уточнения структуры МОКП I−III
Параметр | I | II | III | IIIa |
Брутто-формула | C18H10N8O4SCo | C40H32N10O10SCo2 | C26H16N16O6S2Co | C26H16N16O6S2Co |
М | 491.35 | 962.67 | 771.60 | 771.60 |
T, K | 150(2) | 293(2) | 291(2) | 140(2) |
Сингония | Моноклинная | Триклинная | Триклинная | Моноклинная |
Пр, группа | С2/c | P¯1 | P¯1 | P2/n |
a, град | 14.114(2) | 12.376(4) | 9.9584(2) | 19.4530(7) |
b, град | 19.263(2) | 13.080(3) | 11.1386(3) | 5.8144(2) |
c, град | 7.2922(10) | 13.184(3) | 13.5917(4) | 27.1562(10) |
a, ° | 90 | 82.595(3) | 82.311(2) | 90 |
b, ° | 113.005(7) | 67.525(11) | 86.943(2) | 108.054(4) |
g, ° | 90 | 86.034(5) | 88.115(2) | 90 |
V, Å3 | 1824.9(5) | 1955.2(9) | 1491.44(7) | 2920.34(19) |
Z | 4 | 2 | 2 | 4 |
ρ(выч.), г/см3 | 1.788 | 1.635 | 1.718 | 1.755 |
m, мм–1 | 1.102 | 1.135 | 0.790 | 0.807 |
F(000) | 996 | 984 | 782 | 1564 |
Размер кристалла, мм | 0.10 × 0.04 × 0.02 | 0.07 × 0.03 × 0.01 | 0.30 × 0.25 × 0.22 | 0.20 × 0.10 × 0.05 |
Диапазон сканирования по q, град | 1.891–25.242 | 1.781–26.848 | 1.845–25.242 | 2.202–25.242 |
Диапазон индексов hkl | −16 < h < 17 −23 < k < 23 −8 < l < 8 | −17 < h < 13 −18 < k < 16 −18 < l < 18 | −12 < h < 13 −14 < k < 14 −18 < l < 18 | −26 < h < 26 −5 < k < 7 −29 < l < 36 |
Число измеренных/ независимых отражений | 7275/1752 | 28627/10738 | 23779/6971 | 23107/6831 |
Rint | 0.0513 | 0.0514 | 0.0330 | 0.0230 |
Число отражений I > 2s(I) | 1515 | 7704 | 5700 | 5914 |
Добротность по F2 | 1.179 | 1.066 | 1.066 | 1.079 |
R1/wR2 (I > 2s(I)) | 0.0657/0.1354 | 0.0600/0.1550 | 0.0417/0.0976 | 0.0361/0.0840 |
R1/wR2 (все отражения) | 0.0745/0.1380 | 0.0851/0.1681 | 0.0532/0.1059 | 0.0449/0.0884 |
Остаточная электронная плотность (max/min), e/Å3 | 0.70/−0.73 | 1.07/−1.35 | 0.38/−0.31 | 0.64/−0.47 |
Кристаллографические параметры депонированы в Кембриджском центре кристаллографических данных (CCDC № 2343141 (I), 2343297 (II); 2343296 (III); 2343140 (IIIa), deposit@ccdc.cam.ac.uk; http://www.ccdc.cam.ac.uk).
Синтез координационного полимера [Co(Tr2Btd)(Bdc)]n (I). В стеклянную виалу объемом 4 мл с винтовой крышкой помещали суспензию Tr2Btd (20 мг, 0.074 ммоль), терефталевой кислоты (12 мг, 0.074 ммоль) и Co(NO3)2 · 6H2O (22 мг, 0.074 ммоль) в 2 мл смеси растворителей ДМАА–H2O–EtOH (4 : 2 : 1, ДМАА — N,N-диметилацетамид) и выдерживали при 100°С в течение 24 ч. Выпавшие оранжево-красные игольчатые кристаллы отфильтровывали, промывали на фильтре указанной смесью растворителей до исчезновения видимой флуоресценции фильтрата под УФ лампой 365 нм и высушивали на воздухе. Выход 25 мг (69%).
ИК-спектр (ν, см–1): 3421 сл, 3161 ср, 3131 ср, 1614 ср, 1523 с, 1402 с, 1278 с, 1217 с, 1139 с, 981 с, 887 с, 839 с, 759 с, 671 с, 530 с ТГА: нет потери массы до 400°C.
Найдено, %: C 43.5; Н 2.4; N 22.5; S 6.2. Для С18H10N8O4SCo вычислено, %: C 43.65; Н 2.44; N 22.62; S 6.47.
Синтез координационного полимера {[Co2(Tr2Btd) (Dmf)(2,6-Ndc)2] · Dmf}n (II) выполняли аналогично соединению I, используя 2,6-нафталиндикарбоновую кислоту вместо терефталевой и другое мольное соотношение реагентов: Tr2Btd (5 мг, 0.0185 ммоль), 2,6-H2Ndc (8 мг, 0.037 ммоль) и Co(NO3)2 · 6H2O (11 мг, 0.037 ммоль) в 2 мл смеси растворителей ДМФА–EtOH (3 : 1). Выход фиолетовых игольчатых кристаллов 14 мг (85%).
ИК-спектр (ν, см–1): 3101 сл, 2956 сл, 1678 с, 1624 с, 1525 с, 1404 с, 1359 с, 985 ср, 781 с ТГА: Δm 7.0 % (260–330°С), вычислено 7.4% на одну молекулу ДМФА; Δm 10.8% (340–365°С), вычислено 8.2% на одну молекулу ДМФА.
Найдено, %: C 49.5; Н 3.5; N 14.3; S 2.8. Для С40H32N10O10S Co2 вычислено, %: C 49.70; Н 3.75; N 14.49; S 3.32.
Синтез координационного полимера [Co(Tr2Btd)2 (H2O)(2,5-Fdc)]n (III). Выполняли аналогично соединению I, используя 2,5-фурандикарбоновую кислоту вместо терефталевой: Tr2btd (20 мг, 0.074 ммоль), 2,5-H2Fdc (12 мг, 0.074 ммоль) и Co(NO3)2 · 6H2O (22 мг, 0.074 ммоль) в 2 мл смеси растворителей ДМАА–H2O–EtOH (4 : 2 : 1). Выход красных призматических кристаллов 18 мг (49%). При отборе проб для РСА были обнаружены единичные кристаллы фазы IIIa идентичного состава, но другого строения. ИК-спектр (ν, см–1): 3375 сл, 3118 сл, 1612 с, 1583 с, 1562 с, 1525 с, 1415 с, 1367 с, 1338 с, 1274 c, 1213 c, 1136 с, 1116 с, 983 с, 885 ср, 842 ср, 796 с, 669 ср. ТГА: Δm 2.4 % (200–265°С), вычислено 2.3% на одну молекулу H2O.
Найдено, %: C 40.7; Н 2.2; N 28.8; S 9.3. Для С26H16N16O6S2Co вычислено, %: C 40.47; Н 2.09; N 29.05; S 8.31.
РЕЗУЛЬТАТЫ И ИХ ОБСУЖДЕНИЕ
Соединения I–III синтезировали взаимодействием нитрата кобальта(II), Tr2btd и указанных на схеме 1 дикарбоновых кислот. Условия синтеза оптимизировали с целью получения пригодных для РСА монокристаллов, варьируя соотношение реагентов, состав смеси растворителей и температуру проведения реакции. Так, взаимодействие стехиометрических количеств Co(NO3)2, Tr2Btd и H2Bdc в смеси ДМАА–H2O–EtOH (4 : 2 : 1) приводит к образованию МОКП I состава [Co(Tr2Btd)(Bdc)]n. При введении в реакцию в аналогичных условиях дикарбоновой кислоты 2,5-H2Fdc был получен МОКП другого состава – [Co(Tr2Btd)2(H2O)(2,5-Fdc)]n (III). Монокристаллы МОКП {[Co2(Tr2Btd)(Dmf)(2,6-Ndc)2] · DMF}n (II) были получены при введении в реакцию двух эквивалентов 2,6-H2Ndc и одного эквивалента Tr2Btd на один эквивалент Co(NO3)2.
Химическая и фазовая чистота полученных продуктов была подтверждена данными элементного анализа, термогравиметрии и порошковой дифракции. Соединение I не содержит координированных или сольватных молекул растворителя. В соответствии с этим для него не наблюдается значимой потери массы до температуры около 400°С в инертной атмосфере, после чего происходит быстрая потеря массы, связанная с разложением лигандов в его составе МОКП I (рис. 1). Следует отметить, что соединение I демонстрирует достаточно высокую термическую стабильность для карбоксилатных МОКП на основе переходных металлов [44]. При нагревании соединения II происходит ступенчатая потеря сначала сольватных (в интервале 260–330°С), а затем координированных молекул ДМФА (340–365°С, рис. 1). Соединение III содержит только координированную молекулу воды, которая удаляется в интервале температур (200–265°С), а разложение МОКП происходит при 300°С (рис. 1). Положения рефлексов в дифрактограммах порошков МОКП I–III хорошо соответствуют расчетным значениям, полученным из данных монокристальной рентгеновской дифракции (рис. 2).
Рис. 1. Кривые термогравиметрического анализа соединений I–III.
Рис. 2. Расчетные (внизу) и экспериментальные (вверху) порошковые дифрактограммы соединений I (а), II (б) и III (в).
Соединение I кристаллизуется в моноклинной сингонии, пространственная группа С2/c. Катионы Co2+ находятся в искаженном октаэдрическом окружении и координируют два атома азота в положениях 4 1,2,4-триазольных циклов и четыре атома кислорода двух бидентатных карбоксилатных групп. Терефталат-анионы Bdc2− связывают катионы Co2+ в цепочки, которые, в свою очередь, вдоль кристаллографической оси c соединяются лигандами Tr2Btd в слои, располагающиеся в плоскости ac (рис. 3а). Четырехугольные окна, образованные четырьмя катионами Co2+, связанными лигандами Bdc2− и Tr2Btd, достаточно велики, чтобы обеспечить взаимопрорастание (конкатенацию) пар соседних слоев, упаковывающихся по типу ABAB, т.е. прорастающие слои смещены относительно друг друга так, что сторона одного слоя лежит над центром другого (рис. 3б). Ароматические циклы 2,1,3-бензотиадиазольных фрагментов соседних слоев участвуют в π–π-стэкинговых взаимодействиях с расстоянием между центрами циклов в 3.621Å (рис. 3в).
Рис. 3. Кристаллическая структура соединения I: фрагмент слоя координационного полимера (а); конкатенация соседних слоев (б); упаковка слоев с π–π-взаимодействиями между 2,1,3-бензотиадиазольными циклами (в).
Соединение II кристаллизуется в триклинной сингонии, пространственная группа P¯1. В структуре II можно выделить вторичные строительные блоки {Co2(COO)4} в форме "гребного колеса" (рис. 4а), связанные 2,6-нафталиндикарбоксилатными лигандами 2,6-Ndc2− в слои, располагающиеся параллельно кристаллографической плоскости bc (рис. 4б). Одну из аксиальных позиций в биядерном строительном блоке занимает координированная молекула ДМФА, а другую — лиганд Tr2Btd, координированный через атом азота одного из 1,2,4-триазольного циклов. Интересно, что другой 1,2,4-триазольный цикл в структуре Tr2Btd остается некоординированным. Слои МОКП II упаковываются способом ABAB, при этом между 2,1,3-бензотиадиазольными и нафталиновыми циклами реализуются π-π-стэкинговые взаимодействия с расстоянием между центрами циклов 3.412 Å (рис. 4в). Следует отметить, что такая упаковка слоев приводит к образованию изолированных пустот размерами около 3 × 6 × 5 Å, объем которых составляет 10% от элементарной ячейки. В данных пустотах локализуются сольватные молекулы ДМФА (по одной на формульную единицу).
Рис. 4. Кристаллическая структура соединения II: биядерный вторичный строительный блок (а); фрагмент слоя координационного полимера (б); упаковка слоев с π–π-взаимодействиями между 2,1,3-бензотиадиазольными и нафталиновыми циклами (в).
Соединение III кристаллизуется в триклинной сингонии, пространственная группа P¯1. Независимая часть структуры включает в себя один катион Co2+, две молекулы лиганда Tr2Btd, один дикарбоксилат-анион и одну координированную молекулу воды. Ион кобальта находится в искаженном октаэдрическом координационном окружении, в апикальных позициях находятся атомы азота 1,2,4-триазольных циклов лиганда Tr2Btd, три из четырех экваториальных позиций заняты атомами кислорода моно- и бидентатно координированной карбоксилатных групп аниона 2,5-Fdc2−, четвертая — молекулой воды (рис. 5а). Анионы 2,5-Fdc2− и один из лигандов Tr2Btd разупорядочены по двум близким позициям с равной заселенностью. Соединение III представляет собой цепочечный координационный полимер, в котором катионы Co2+ связаны дикарбоксилат-анионами 2,5-Fdc2− вдоль оси а, а лиганды Tr2btd координированы монодентатно (рис. 5б). Отдельные цепи укладываются в ячейке попарно, таким образом, что координированные молекулы воды участвуют в образовании водородных связей с атомами кислорода карбоксилатных групп в соседней цепи с расстоянием O–H···O 2.294 Å (рис. 5в). Кроме того, цепи удерживаются за счет коротких контактов S–N с межъядерным расстоянием 3.015Å, что на 0.335Å меньше суммы ван-дер-ваальсовых радиусов атомов серы и азота. Указанные взаимодействия приводят к образованию плотной упаковки, не имеющей какого-либо свободного объема.
При выполнении РСА соединения III была также идентифицирована дополнительная фаза IIIa (пространственная группа P2/n), образующаяся лишь в количестве нескольких кристаллов. Соединение IIIa имеет тот же состав, что и III, а структуры этих соединений отличаются только ориентацией фурановых циклов — в соединении III фурановые циклы направлены в одну сторону относительно цепи координационного полимера, тогда как в соединении IIIa наблюдается чередование их ориентации (рис. 5д). Следует отметить, что в порошковой дифрактограмме продуктов взаимодействия Co(NO3)2, Tr2Btd и 2,5-H2Fdc отсутствуют заметные рефлексы фазы IIIa (рис. 2в), что подтверждает образование этой фазы лишь в микроколичествах.
Рис. 5. Кристаллическая структура соединений III и IIIa: независимая часть структуры III (а); фрагмент цепи координационного полимера III (б); упаковка соседних цепей координационного полимера III (в); фрагмент цепи координационного полимера IIIa (г).
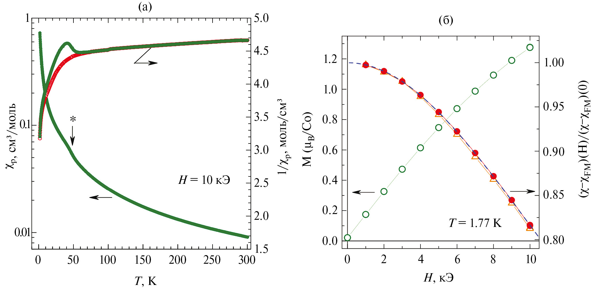
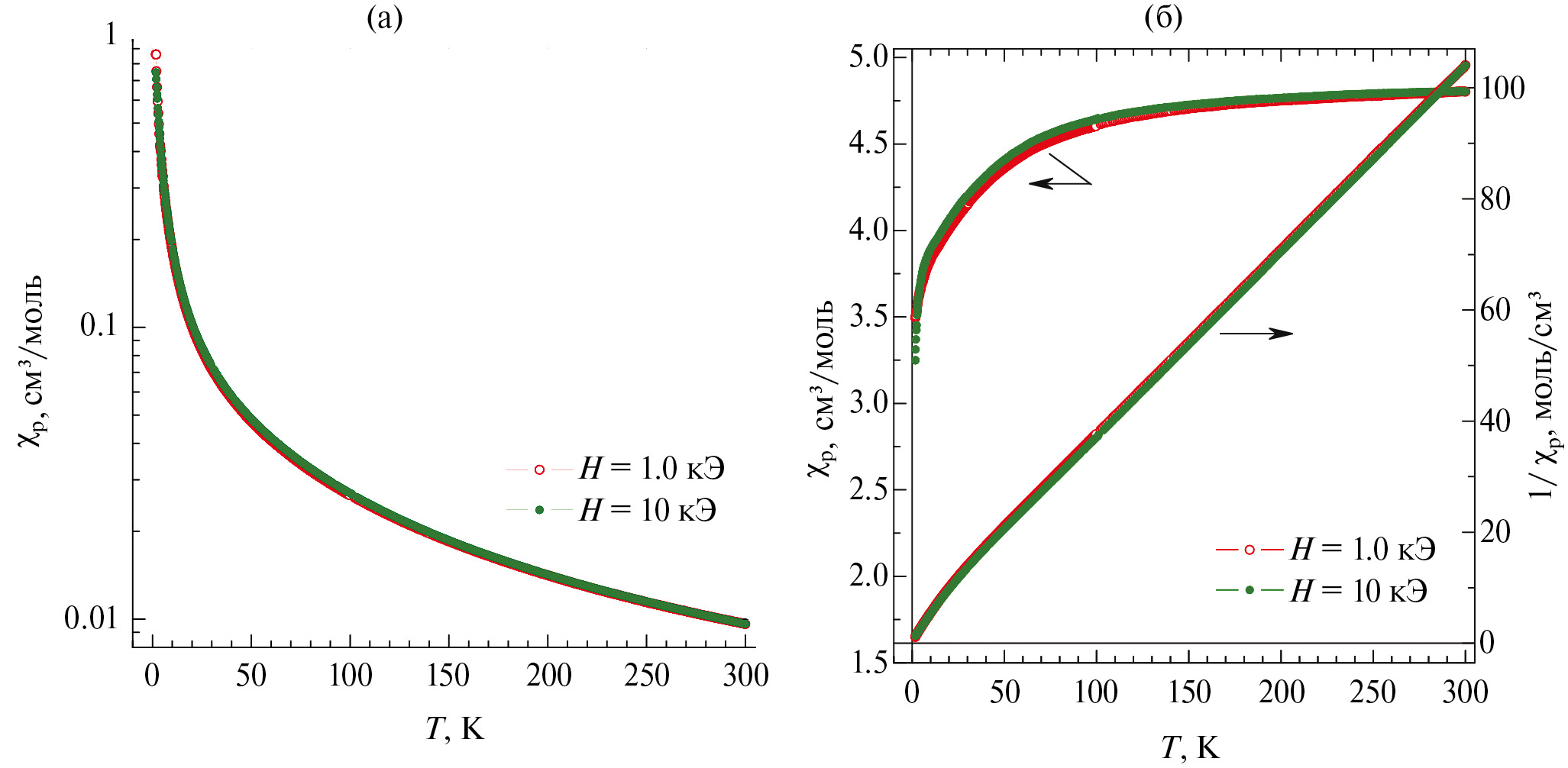
Температурные и полевые зависимости магнитной восприимчивости были измерены для поликристаллических образцов МОКП с моноядерными (I и III) и биядерными (II) строительными блоками. В случае МОКП III с моноядерными блоками магнитная восприимчивость χp, скорректированная с учетом температурно-независимого диамагнетизма Ланжевена, демонстрировала парамагнитный характер во всем исследованном интервале температур, монотонно увеличиваясь при понижении температуры (рис. 6a). Кривая (1/χp)(T) в области низких температур с экспериментальной точностью стремилась в начало координат (рис. 6б), свидетельствуя об отсутствии значимых обменных взаимодействий между ионами Co2+, что согласуется с большими расстояниями между ними в кристаллической структуре. Отсутствие межионных взаимодействий позволяет рассчитать температурную зависимость эффективного момента ионов кобальта meff, используя закон Кюри–Вейсса и приняв константу Вейсса θ, равной нулю. Полученная величина mэфф составляла ≈ 4.80 mВ на ион Co2+ при Т = 300 К и уменьшалась до ≈ 3.54 mВ при Т = 1.77 К (рис. 6б). Высокотемпературное значение mэфф является типичным для ионов Co2+ в высокоспиновом состоянии S = 3/2, превышая чисто спиновый момент mэфф = 3.87 mВ благодаря значительному орбитальному вкладу. Столь же типичной для ионов Co2+ является и температурная зависимость mэфф(T) [13], вызванная в основном расщеплением уровней иона в нулевом поле [45]. Используя подход, развитый в [45], коэффициент аксиального расщепления в нулевом поле можно оценить на уровне D/kB ≈ 55 К.
Рис. 6. Магнитные свойства соединения III: температурные зависимости парамагнитной компоненты магнитной восприимчивости χp, измеренные в магнитных полях H = 1, 10 кЭ (а); температурные зависимости обратной восприимчивости 1/χp и эффективного магнитного момента mэфф, приходящегося на один ион кобальта и рассчитанного в приближении невзаимодействующих ионов (θ = 0) (б).
Образец моноядерного соединения I демонстрирует похожие магнитные свойства (рис. 7а) с эффективным моментом meff, изменяющимся от ≈ 4.67 до ~3.5 mВ при охлаждении от 300 до 1.77 К. Анализ зависимостей χp(T) и mэфф(T) несколько осложнен наличием примесной ферромагнитной (ФМ) фазы с температурой Кюри Tc ~ 50 K в количестве ~0.7 мол. % (отмечена звездочкой на рис. 7а). Исключить вклад ФМ фазы относительно просто: при нескольких температурах проводятся измерения полевых зависимостей намагниченности M(H), которые раскладываются на ФМ, MFM, и парамагнитную компоненты, затем температурная зависимость MFM(T) аппроксимируется и вычитается из значений полной намагниченности. На рис. 7б показано, что даже при минимальной температуре Т = 1.77 К кривая M(H) легко раскладывается на остаточную намагниченность M0 ≈ 0.021 mВ/Co, связанную с ФМ фазой, и парамагнитную компоненту с магнитной восприимчивостью χ(H), хорошо описывающейся зависимостью на основе функции Бриллюэна Bs(x):
со спином S = 3/2 и g-фактором, равным 2.44. Для сравнения на рис. 7б приведены данные χ(H)/χ(0) для образца III, не имеющего ФМ примесей. Единственное видимое отличие состоит в несколько большем g-факторе (g ≈ 2.47) у соединения III. После вычитания ФМ вклада, кривая mэфф(T) соединения I становится монотонной (рис. 7а) и может быть хорошо описана теоретическим выражением, учитывающим расщепление в нулевом поле [45], с коэффициентом D/kB ≈ 27 К, вдвое меньшим, чем у соединения III.
Рис. 7. Магнитные свойства соединения I: температурные зависимости парамагнитной компоненты магнитной восприимчивости χp, измеренной в магнитном поле H = 10 кЭ, и эффективного магнитного момента meff, приходящегося на один ион кобальта и рассчитанного в приближении невзаимодействующих ионов (θ = 0), открытыми кружками показаны значения mэфф после вычитания вклада ФМ фазы с температурой Кюри Tc ~ 50 K (а); полевые зависимости намагниченности M, измеренной при T = 1.77 K, и нормированной магнитной восприимчивости χ, скорректированной с учетом ферромагнитного вклада (заполненные кружки) (б); штриховой линией на рисунке (б) показана аппроксимация данных функцией Бриллюэна для S = 3/2, g = 2.44; для сравнения приведены данные χ(H)/χ(0) для соединения III (открытые треугольники).
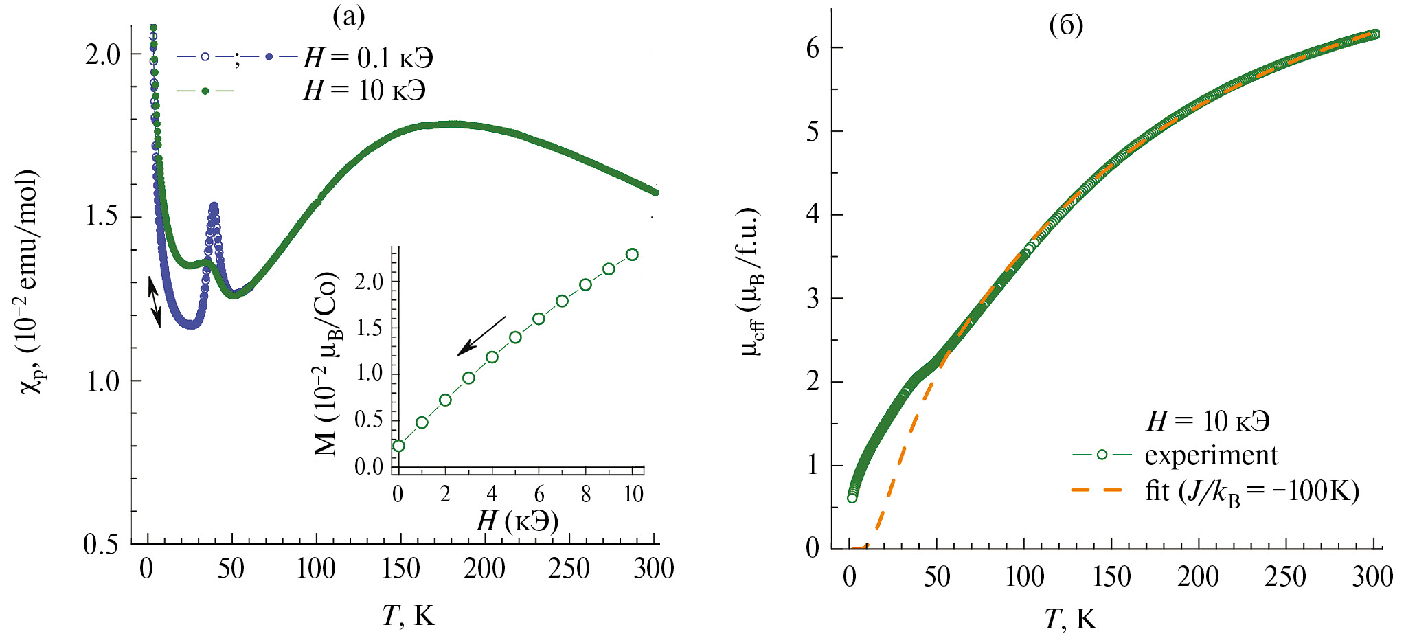
Магнитные свойства МОКП II с биядерными блоками качественно отличаются от МОКП I и III: магнитная восприимчивость χp(T) является немонотонной и проходит через пологий максимум при Tm ≈ 180 К (рис. 8а), что является характерным поведением антиферромагнитных (АФМ) димеров [46, 47]. Поскольку основное состояние АФМ димеров является синглетным, с магнитной восприимчивостью, стремящейся к нулю, низкотемпературное поведение χp исследуемых образцов становится очень чувствительным к наличию примеси мономеров или иных магнитных фаз. Действительно, как видно на рис. 8а, при низкой температуре магнитная восприимчивость МОКП II почти на два порядка меньше, чем у МОКП III, и на кривых χp(T) проявляются как вклад ФМ-примеси с температурой Кюри ~42–44 К, так и кюри-вейссовский парамагнитный вклад, проявляющийся ниже ~20К. Поскольку ненулевой магнитный момент и сложное поведение при низкой температуре могут быть связаны как с примесными фазами, так и с неколлинеарностью спинов в составе АФМ-димера, полезно проанализировать полевую зависимость намагниченности M(H) (вставка на рис. 8а). Полученные данные демонстрируют наличие остаточной намагниченности, соответствующей ФМ-примеси на уровне ~0.1 мол. %, а форма полевой зависимости M(H) хорошо описывается функцией Бриллюэна для спинов S = 3/2. Последнее подтверждает связь низкотемпературного парамагнитного вклада именно с моноядерными фрагментами, включающими ~1.5% ионов Co2+. Температурная зависимость эффективного момента mэфф, рассчитанного на формульную единицу (рис. 8б) демонстрирует переход димеров из синглетного основного (T = 0) состояния в парамагнитное высокотемпературное состояние. При этом видно, что даже при комнатной температуре в димерах сохраняется значительное АФМ-взаимодействие и величина mэфф еще далека от максимального значения. Зависимость mэфф(T) может быть качественно описана (рис. 8б) в рамках модели АФМ-димеров, описываемых гамильтонианом , с учетом расщепления уровней ионов Co2+ в нулевом поле [45, 47] (параметр D/kB принят равным 55 К по аналогии с МОКП III). Аппроксимация данных в пределе сильной связи |J| >> |D| [45] дает величину обменного взаимодействия в димерах J/kB ≈ −100 К. Очевидно, что качество описания зависимости mэфф(T) можно улучшить, варьируя величину D, значения компонентов g-фактора и аккуратно учтя вклады примесных фаз, но даже на имеющемся качественном уровне видно, что модель АФМ-димеров дает адекватное описание магнитных свойств биядерных блоков МОКП II.
Рис. 8. Магнитные свойства соединения II: температурные зависимости парамагнитной компоненты магнитной восприимчивости χp, измеренные при термоциклировании в магнитном поле H = 0.1 кЭ и при охлаждении в поле H = 10 кЭ (а); температурная зависимость эффективного магнитного момента mэфф, приходящегося на формульную единицу и рассчитанного в приближении невзаимодействующих молекул (θ = 0), штриховой линией показана аппроксимация экспериментальных данных моделью АФМ-димеров Co2+–Co2+ (J/kB ≈ −100 К) с учетом расщепления уровней ионов в нулевом поле (D/kB = 55 К) (б).
Таким образом, были исследованы продукты взаимодействия нитрата кобальта с 4,7-ди(1,2,4-триазол-1-ил)-2,1,3-бензотиадиазолом и рядом ароматических дикарбоновых кислот и установлено, что строение образующихся металл-органических координационных полимеров зависит от природы дикарбоновой кислоты. Так, в случае терефталевой кислоты образуется слоистый координационный полимер с попарной конкатенацией соседних слоев и моноядерными строительными блоками, а в случае 2,6-нафталиндикарбоновой кислоты — слоистый координационный полимер без конкатенации с биядерными строительными блоками. В аналогичных условиях с 2,5-фурандикарбоновой кислотой образуется цепочечный координационный полимер. Магнитные свойства координационного полимера с биядерными строительными блоками {Co2(COO)4} характеризуются антиферромагнитным взаимодействием ионов Co2+ с константой обменного взаимодействия J/kB ≈ −100 К, тогда как для координационных полимеров с моноядерными строительными блоками температурная зависимость магнитной восприимчивости является монотонной и свидетельствует о парамагнитных свойствах МОКП без обменных взаимодействий между катионами Co2+. Синтезированные соединения являются первыми примерами координационных соединений с 4,7-ди(1,2,4-триазол-1-ил)-2,1,3-бензотиадиазолом в качестве лиганда.
Авторы заявляют, что у них нет конфликта интересов.
БЛАГОДАРНОСТИ
Авторы благодарят Центр коллективного пользования ИНХ СО РАН, функционирующий при поддержке Министерства науки и высшего образования Российской Федерации (121031700321-3 и 121031700314-5) за проведенные физико-химические исследования. Авторы благодарны П.В. Дороватовскому и В.А. Лазаренко за помощь в проведении дифракционных экспериментов на Курчатовском источнике синхротронного излучения.
ФИНАНСИРОВАНИЕ
Работа выполнена при финансовой поддержке Российского научного фонда (проект № 23-43-00017).
Об авторах
Д. И. Павлов
Новосибирский национальный исследовательский государственный университет; Институт неорганической химии им. А.В. Николаева СО РАН
Email: potapov@niic.nsc.ru
Россия, Новосибирск; Новосибирск
А. Н. Лавров
Институт неорганической химии им. А.В. Николаева СО РАН
Email: potapov@niic.nsc.ru
Россия, Новосибирск
Д. Г. Самсоненко
Институт неорганической химии им. А.В. Николаева СО РАН
Email: potapov@niic.nsc.ru
Россия, Новосибирск
А. С. Потапов
Новосибирский национальный исследовательский государственный университет; Институт неорганической химии им. А.В. Николаева СО РАН
Автор, ответственный за переписку.
Email: potapov@niic.nsc.ru
Россия, Новосибирск; Новосибирск
Список литературы
- Агафонов М.А., Александров Е.В., Артюхова Н.А. и др. // Журн. структур. химии. 2022. Т. 63. № 5. С. 535 (Agafonov M.A., Alexandrov E.V., Artyukhova N.A. et al. // J. Struct. Chem. 2022, V. 63, P. 671). https://doi.org/10.1134/S0022476622050018
- Dybtsev D.N., Bryliakov K.P. // Coord. Chem. Rev. 2021. V. 437. P. 213845.
- You L.-X., Ren B.-Y., He Y.-K. et al. // J. Mol. Struct. 2024. V. 1304. P. 137687.
- Zhou H.C.J., Kitagawa S. // Chem. Soc. Rev. 2014. V. 43. P. 5415.
- Zhou W., Tang Y., Zhang X. et al. // Coord. Chem. Rev. 2023. V. 477. P. 214949.
- Efimova A.S., Alekseevskiy P.V., Timofeeva M.V. et al. // Small Methods. 2023. V. 7. P. 2300752.
- Wang W., Chen D., Li F., Xiao X., Xu Q. // Chem. 2024. V. 10. P. 86.
- Sun N., Yu H., Potapov A.S., Sun Y. // Comments Inorg. Chem. 2024. V. 44. P. 203.
- Коваленко К.А., Потапов А.С., Федин В.П. // Успехи химии. 2022. Т. 91. № 4. RCR5026. (Kovalenko K.A., Potapov A.S., Fedin V.P. // Russ. Chem. Rev. 2022. V. 91. RCR5026). https://doi.org/10.1070/RCR5026
- Yuvaraj A.R., Jayarama A., Sharma D. et al. // Int. J. Hydrogen Energy. 2024. V. 59. P. 1434.
- Thorarinsdottir A.E., Harris T.D. // Chem. Rev. 2020. V. 120. P. 8716.
- Shuku Y., Suizu R., Tsuchiizu M., Awaga K. // Chem. Commun. 2023. V. 59. P. 10105.
- Demakov P.A., Kovalenko K.A., Lavrov A.N., Fedin V.P. // Inorganics. 2023. V. 11. P. 259.
- Dubskikh V.A., Lysova A.A., Samsonenko D.G. et al. // Molecules. 2021. V. 26. P. 1269.
- Du M., Li C.-P., Liu C.-S., Fang S.-M. // Coord. Chem. Rev. 2013. V. 257. P. 1282.
- Pramanik B., Sahoo R., Das M.C. // Coord. Chem. Rev. 2023. V. 493. P. 215301.
- Pavlov D.I., Ryadun A.A., Potapov A.S. // Molecules. 2021. V. 26. P. 7392.
- Pavlov D.I., Yu X., Ryadun A.A. et al. // Food Chem. 2024. V. 445. P. 138747.
- Pavlov D.I., Yu X., Ryadun A.A., Fedin V.P., Potapov A.S. // Chemosensors. 2023. V. 11. P. 52.
- Хисамов Р.М., Конченко С.Н., Сухих Т.С. // Журн. структур. химии. 2022. Т. 63. № 12. P. 104047. (Khisamov R.M., Konchenko S.N., Sukhikh T.S. // J. Struct. Chem. 2022. V. 63. P. 2113). https://doi.org/10.1134/S0022476622120228
- Khisamov R.M., Ryadun A.A., Konchenko S.N., Sukhikh T.S. // Molecules. 2022. V. 27. P. 8162.
- Khisamov R.M., Sukhikh T.S., Konchenko S.N., Pushkarevsky N.A. // Inorganics. 2022. V. 10. P. 263.
- Сухих Т.С., Огиенко Д.С., Баширов Д.А., Конченко С.Н. // Изв. АН. Сер. хим. 2019. Т. 68. № 4. С. 651 (Sukhikh T.S., Ogienko D.S., Bashirov D.A., Konchenko S.N. // Russ. Chem. Bull. 2019. V. 68. P. 651). https://doi.org/10.1007/s11172-019-2472-9
- Katlenok E.A., Kuznetsov M.L., Semenov N.A. et al. // Inorg. Chem. Front. 2023. V. 10. P. 3065.
- Radiush E.A., Wang H., Chulanova E.A. et al. // ChemPlusChem. 2023. V. 88. Art. e202300523.
- Федоров М.С., Филиппов И.А., Гиричева Н.И. и др. // Журн. структур. химии. 2022. Т. 63. № 11. 102145 (Fedorov M.S., Filippov I.A., Giricheva N.I. et al. // J. Struct. Chem. 2022. V. 63, P. 1872). https://doi.org/10.1134/S0022476622110178
- Chernick E.T., Abdollahi M.F., Tabasi Z.A. et al. // New J. Chem. 2022. V. 46. P. 572.
- Yao S.L., Wu R.H., Wen P. et al. // J. Mol. Struct. 2024. V. 1297. 136925.
- Cao X.Q., Wu W.P., Li Q. et al. // Dalton Trans. 2022. V. 52. P. 652.
- Li L.-Q., Yao S.-L., Tian X.-M. et al. // CrystEngComm. 2021. V. 23. P. 2532.
- Yao S.L., Xiong Y.C., Tian X.M. et al. // CrystEngComm. 2021. V. 23. P. 1898.
- Jin J.K., Wu K., Liu X.Y. et al. // J. Am. Chem. Soc. 2021. V. 143. P. 21340.
- Song C., Ling Y., Jin L. et al. // Dalton Trans. 2015. V. 45. P. 190.
- Wu K., Liu X.-Y., Cheng P.-W. et al. // J. Am. Chem. Soc. 2023. V. 145. P. 18931.
- Wu K., Jin J.K., Liu X.Y. et al. // J. Mater. Chem. C 2022. V. 10. P. 11967.
- Sheldrick G.M. SADABS. Program for Empirical X-ray Absorption Correction. 2005.
- Svetogorov R.D., Dorovatovskii P.V., Lazarenko V.A. // Cryst. Res. Technol. 2020. V. 55. P. 1900184.
- Lazarenko V.A., Dorovatovskii P.V., Zubavichus Y.V. et al. // Crystals. 2017. V. 7. P. 325.
- Kabsch W. // Acta Crystallogr. D. 2010. V. 66. P. 125.
- Kabsch W. // Acta Crystallogr. D. 2010. V. 66. P. 133.
- CrysAlisPro. Agilent Technologies, Version 1.171.34.49 (release 20-01-2011 CrysAlis171 .NET).
- Sheldrick G.M. // Acta Crystallogr. A. 2015. V. 71. P. 3.
- Sheldrick G.M. // Acta Crystallogr. C. 2015. V. 71. P. 3.
- Healy C., Patil K.M., Wilson B.H. et al. // Coord. Chem. Rev. 2020. V. 419. P. 213388.
- Boča R. // Coord. Chem. Rev. 2004. V. 248. P. 757.
- Yue Q., Gao E.-Q. // Coord. Chem. Rev. 2019. V. 382. P. 1.
- Abasheeva K. D., Demakov P. A., Polyakova E. V. et al. // Nanomaterials. 2023. V. 13. P. 2773.
Дополнительные файлы











