Imidazolium Salts with Heterometallic Complex Anions [Co₂Li₂(Piv)₈]²⁻: Synthesis, Structures, and Magnetic Properties
- Authors: Rubtsova I.K.1, Vasilyev P.N.1, Voronina J.K.1, Shmelev M.A.1, Efimov N.N.1, Nikolaevskii S.A.1, Eremenko I.L.1, Kiskin M.A.1
-
Affiliations:
- Kurnakov Institute of General and Inorganic Chemistry, Russian Academy of Sciences
- Issue: Vol 50, No 11 (2024)
- Pages: 787-798
- Section: Articles
- URL: https://journal-vniispk.ru/0132-344X/article/view/273437
- DOI: https://doi.org/10.31857/S0132344X24110047
- EDN: https://elibrary.ru/LMRNOZ
- ID: 273437
Cite item
Full Text
Abstract
Imidazolium salts with complex anions [Co₂Li₂(Piv)₈]²⁻ are formed as undesirable products of the reactions of heterometallic compound [Co₂Li₂(Piv)₆(Py)₂] with N-heterocyclic carbenes ItBu and IPr. The study of the magnetic properties of complex (HItBu)₂[Co₂Li₂(μ₂-Piv)₆(Ƙ¹-Piv)₂] shows that this compound is a single molecule magnet. Slow magnetic relaxation in the complex occurs due to a combination of the direct and Raman mechanisms.
Full Text
Использование анионов карбоновых кислот в качестве лигандов является важным инструментом, позволяющим решать широкий круг задач химии координационных соединений от разработки фундаментальных принципов инженерии кристаллических упаковок за счет нековалентных взаимодействий [1–8] до получения прототипов материалов, обладающих фотолюминесцентными [9–15], магнитными [16], каталитическими [17–21] и другими функциональными свойствами [[Co₂Li₂(Piv)₈]²⁻24].
Отдельной областью координационной химии, развитие которой во многом основано на применении карбоксилатных лиагандов, является химия гетерометаллических комплексов [25–27]. Среди различных классов карбоксилатных гетерометаллических комплексов отметим молекулярные комплексы на основе катионов Co(II) и лития(I) [28]. Такие соединения рассматриваются как предшественники материалов для литий-ионных батарей [29, 30], прототипы экстрагентов для селективного связывания катионов Cs137 [31], вторичные строительные блоки для формирования гетерометаллических металл-органических координационных полимеров, обладающих широким спектром практически полезных свойств [32–37].
Карбоксилатные комплексы кобальта(II) активно изучаются в качестве мономолекулярных (single molecule magnets, SMM) [38] и моноионных магнитов (single ion magnets, SIM) [39–41]. Общим недостатком SMM и SIM на основе карбоксилатных комплексов Co(II) является их склонность к проявлению магнитной анизотропии по типу “легкая плоскость” и медленной релаксации намагниченности по прямому механизму и механизму Рамана [39–42], тогда как для создания функциональных материалов предпочтительна анизотропия по типу “легкая ось” и релаксация по механизму Орбаха [43, 44]. В недавней работе [45] предложена стратегия, позволяющая осуществлять переключение между анизотропией по типу “легкая плоскость” и “легкая ось” путем разбавления парамагнитного производного пивалата кобальта(II) близким по строению диамагнитным аналогом на основе пивалата цинка(II). Альтернативной стратегией является создание диамагнитного разбавления на молекулярном уровне за счет введения в состав карбоксилатных комплексов кобальта(II) катионов щелочных и щелочно-земельных металлов, играющих важную структурообразующую роль [46–49].
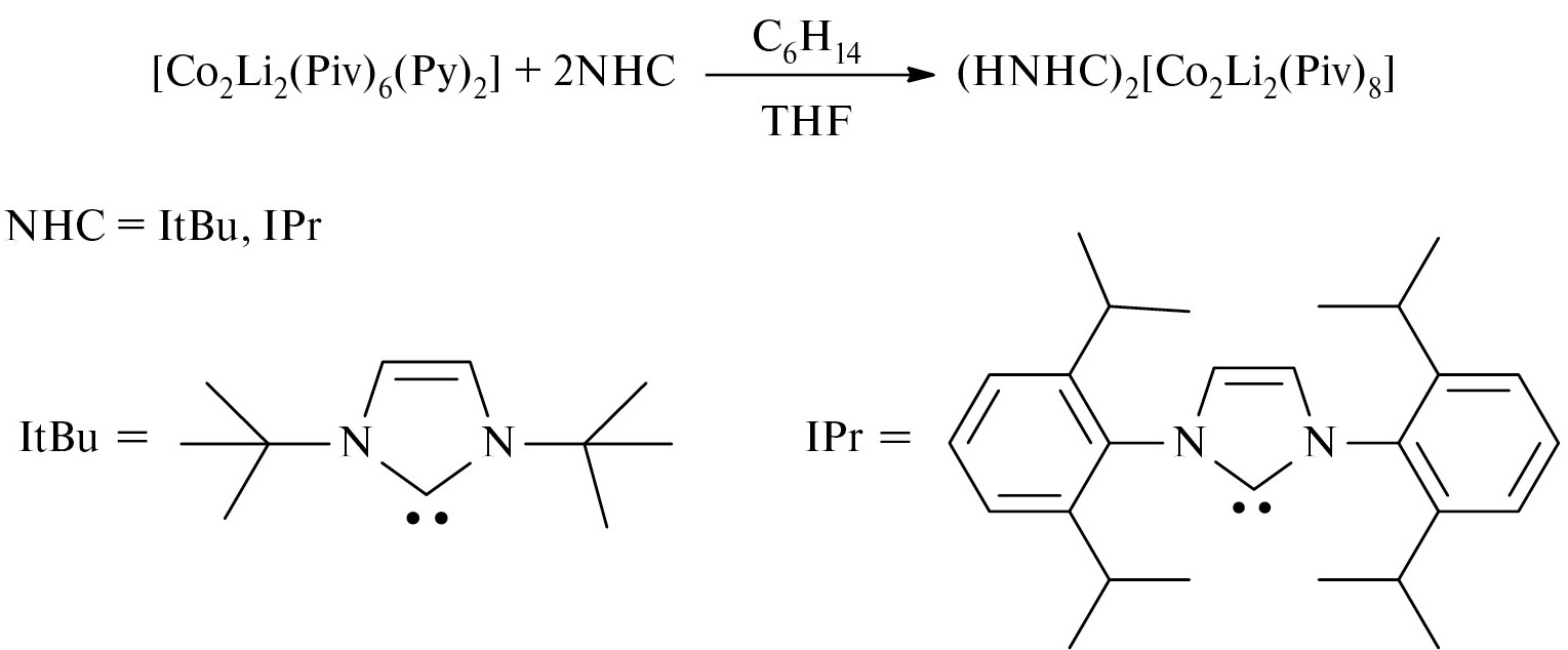
Нами проводится систематическое исследование по синтезу и исследованию свойств комплексов карбоксилатов переходных металлов с N-гетероциклическими карбенами (NHC) [50–55]. До наших работ такие объекты не были известны [56]. Недавно было показано, что комплекс [Co2Li2(Piv)6(IMes)2] (Piv = пивалат-анион, IMes = 1,3-бис(2,4,6-триметилфенил)имидазол-2-илиден) является мономолекулярным магнитом, медленная релаксация намагниченности в котором описывается суммой рамановского и прямого процессов [48]. Представляло интерес расширить серию таких соединений, получив аналогичные производные с карбенами ItBu (1,3-ди-трет-бутилимидазол-2-илиден) и IPr (1,3-бис(2,6-диизопропилфенил)имидазол-2-
илиден). Однако в результате попыток получения указанных соединений с лигандами семейства NHC, были выделены соединения протонированных форм этих лигандов с комплексными анионами [Co₂Li₂(Piv)₈]²⁻.
ЭКСПЕРИМЕНТАЛЬНАЯ ЧАСТЬ
Все операции, связанные с получением координационных соединений, были выполнены в инертной атмосфере с использованием вакуумированных стеклянных ампул. Для синтеза использовались абсолютированные растворители. ТГФ хранили над комплексом натрия с бензофеноном, гексан — над “натриевым зеркалом” и извлекали вакуумной конденсацией непосредственно перед синтезом. Комплекс [Co2Li2(Piv)6(Py)2] и N-гетероциклические карбены получали по известным методикам [34, 57].
ИК-спектры соединений регистрировали в диапазоне 400–4000 см–1 на спектрофотометре Perkin Elmer Spectrum 65, оснащенном приставкой Quest ATR Accessory (Specac), методом нарушенного полного внутреннего отражения (НПВО). Элементный анализ выполняли на автоматическом C,H,N,S-анализаторе Euro EA-3000(EuroVector).
Измерения магнитной восприимчивости проводили с помощью автоматизированного комплекса проведения физических измерений Quantum Design PPMS-9 с опцией измерения магнитных свойств. Это оборудование позволяет производить измерения магнитных свойств в диапазоне температур от 1.8 до 300 К во внешних магнитных полях до 9 Тл. При измерении динамической магнитной восприимчивости использовали переменное магнитное поле напряженностью 1, 3 и 5 Э в интервалах частот 10000–1000, 1000–100 и 100–10 Гц соответственно. Такие настройки позволяют как избежать нагрева образца при низких температурах (что может происходить при высоких амплитудах и частотах модуляции), так и получать наилучшее отношение сигнал/шум. Измерения и обработку результатов динамической магнитной восприимчивости проводили по стандартной методике [58]. Измерения проводили на поликристаллических образцах, предварительно смоченных минеральным маслом, запечатанных в полиэтиленовые пакетики с целью предотвращения ориентации кристаллитов под действием внешнего магнитного поля. Парамагнитную компоненту магнитной восприимчивости (χ) определяли с учетом диамагнитного вклада образца, оцененного по аддитивной формуле Паскаля, а также вкладов держателя образца и минерального масла.
Синтез (HItBu)2[Co2Li2(µ2-Piv)6(Ƙ1-Piv)2] ⋅ ⋅ 0.67THF (I). К навеске комплекса [Co2Li2(Piv)6(Py)2] (0.09 г, 0.1 ммоль), предварительно вакуумированной в стеклянной ампуле, вакуумной конденсацией добавляли ТГФ. Из ампулы с раствором комплекса конденсировали небольшое количество ТГФ в ампулу с навеской ItBu (0.036 г, 0.2 ммоль), предварительно взвешенной в главбоксе. После растворения карбена приливали полученный раствор к раствору комплекса и кипятили реакционную смесь. Затем вакуумной конденсацией полностью удаляли ТГФ, чтобы избавиться от пиридина. Вакуумной конденсацией добавляли гексан и минимальное количество ТГФ, необходимое для растворения осадка, кипятили реакционную смесь. Полученный раствор концентрировали при пониженном давлении, в результате образовались малиновые монокристаллы, пригодные для РСА. Выход 0.048 г (35% в расчете на исходный гетерометаллический комплекс).
Для C64.68H119.36N4O16.66Li2Co2
Найдено, %: C 57.15; H 8.78; N 4.10.
вычислено, %: C 57.38; H 8.82; N 4.12.
ИК-спектр (ν, см–1): 3127сл, 2958 с, 2925 с, 2867 ср, 1597 оч. с, 1564 оч. с, 1480 оч. с, 1413 оч. с, 1359 оч. с, 1292 сл, 1212 оч. с, 1124 с, 1071 сл, 1031 сл, 891 с, 793 с, 752 ср, 658 ср, 605 оч. с, 563 ср, 417 оч. с.
Синтез (HIPr)2[Co2Li2(µ2-Piv)6(Ƙ1-Piv)2] ⋅ 3THF (II). К навеске комплекса [Co2Li2(Piv)6(Py)2] (0.09 г, 0.1 ммоль), предварительно вакуумированной в стеклянной ампуле, вакуумной конденсацией добавляли ТГФ. Из ампулы с раствором комплекса конденсировали небольшое количество ТГФ в ампулу с навеской IPr (0.077 г, 0.2 ммоль), предварительно взвешенной в главбоксе. После растворения карбена приливали полученный раствор к раствору комплекса и кипятили реакционную смесь. Затем вакуумной конденсацией полностью удаляли ТГФ, чтобы избавиться от пиридина. Вакуумной конденсацией добавляли гексан и минимальное количество ТГФ, необходимое для растворения осадка, кипятили реакционную смесь. Полученный раствор концентрировали при пониженном давлении, в результате были получены фиолетовые монокристаллы, пригодные для РСА. Выход 0.012 г (6% в расчeте на исходный гетерометаллический комплекс).
Для C106H170N4O19Li2Co2
Найдено, %: C 65.48; Н 8.81; N 2.87.
вычислено, %: C 65.75; Н 8.85; N 2.89.
ИК-спектр (ν, см–1): 3069 сл, 2963 оч. с, 2925 с, 2872 с, 1595 оч. с, 1562 оч. с, 1480 оч. с, 1408 оч. с, 1357 оч. с, 1222 оч. с, 1106 ср, 1062 с, 1033 сл, 935 ср, 894 с, 796 оч. с, 757 с, 684 с, 607 оч. с, 568 с, 435 оч. с.
РСА монокристаллов I и II выполнен на дифрактометре Bruker D8 Venture, оборудованном CCD-детектором и источником монохроматического излучения (MoKα, λ = 0.71073 Å, графитовый монохроматор) с использованием стандартных процедур [59]. Для обеих структур введена полуэмпирическая поправка на поглощение [60, 61]. Структуры расшифрованы прямым методом и уточнены в полноматричном анизотропном приближении для всех неводородных атомов. Уточнения структур выполнены с использованием стандартных ограничений DFIX, ISOR, RIGU, SADI с учетом частичной разупорядоченности групп CHMe2 и CMe и молекул ТГФ. Расчеты проведены с использованием программ SHELX-2018/3 [62, 63] и Olex2 [64]. Геометрия полиэдров атомов металлов определена с использованием программы SHAPE2.1 [65]. Кристаллографические параметры и детали уточнения структур приведены в табл. 1.
Таблица 1. Кристаллографические параметры и детали уточнения структур для соединений I и II
Параметр | Значение | |
I | II | |
Брутто-формула | C64.68H119.36N4O16.66Li2Co2 | C106H170N4O19Li2Co2 |
M, г/моль | 1351.53 | 1936.19 |
Т, К | 100(2) | 100(2) |
Пространственная группа; Z | Р21/n; 2 | Р21/c; 2 |
а, Å | 12.5864(7) | 22.118(3) |
b, Å | 17.2898(13) | 11.2825(15) |
c, Å | 17.6946(12) | 23.611(3) |
β, град | 95.292(2) | 112.141(3) |
V, Å3 | 3834.2(4) | 5457.5(13) |
ρ(выч.), г/см3 | 1.171 | 1.178 |
μ, мм–1 | 0.494 | 0.368 |
θ, град | 1.91–26.00 | 1.99–30.57 |
Диапазоны индексов h, k, l | –15 ≤ h ≤ 15 –21≤k ≤ 21 –21≤ l ≤ 21 | –27 ≤ h ≤ 31 –12 ≤ k≤ 16 –33 ≤ l ≤ 33 |
Число отражений: измеренных/ независимых |
30410, 7500 |
60970, 16715 |
Число отражений наблюдаемых c I ≥ 2σ(I) / уточняемые параметры | 3227/451 | 10362/717 |
Rint | 0.1914 | 0.0682 |
Tmin/Tmax | 0.3027/0.3812 | 0.3408/0.3812 |
S | 0.956 | 1.030 |
R1, wR2 (I ≥ 2σ(I) | 0.0806, 0.1316 | 0.0661, 0.1579 |
R1, wR2 (все значения) | 0.2109, 0.1316 | 0.1194, 0.1854 |
Δρmin/Δρmax, e/Å3 | –0.072/0.622 | –0.590/0.704 |
Координаты атомов, величины тепловых параметров и список всех отражений депонированы в Кембриджском банке структурных данных (CCDC № 2311574 (I), 2311575 (II); deposit@ccdc.cam.ac.uk или http://www.ccdc.cam.ac.uk/structures).
Съемка порошковой дифрактограммы комплекса I проведена на рентгеновском дифрактометре Bruker D8 Advance, оборудованном Ni-монохроматором (λ(CuKα1) = 1.54060 Å) и позиционно-чувствительным детектором LynxEye. Шаг съемки 0.02о 2θ, интервал съемки 5о–40о 2θ.
Рис. 1. Теоретическая (красная линия) и экспериментальная (синяя линия) дифрактограммы образца комплекса I и их разность (серая линия).
Моделирование дифрактограммы (рис. 1) проводили в программе TOPAS 4. При уточнении оптимизировались параметры ячейки, эффекты преимущественной ориентации кристаллитов были описаны с помощью сферических гармоник 4-го порядка, уширение линии было уточнено в рамках метода Вильямсона–Холла.
РЕЗУЛЬТАТЫ И ИХ ОБСУЖДЕНИЕ
Следует отметить, что анионные карбоксилатные комплексы встречаются в литературе относительно нечасто. Значительная часть таких соединений опубликована достаточно давно [66–71]. Комплексы (HItBu)2[Co2Li2(µ2-Piv)6(Ƙ1-Piv)2] (I) и (HIPr)2[Co2Li2(µ2-Piv)6(Ƙ1-Piv)2] (II) были получены в результате взаимодействия ранее синтезированного соединения [Co2Li2(Piv)6(Py)2] с двумя эквивалентами N-гетероциклических карбенов (NHC) (схема 1).
Схема 1.
Соединения I и II кристаллизуются в моноклинных пространственных группах Р21/n и Р21/c соответственно и представляют собой ионные комплексы, состоящие из дианионного фрагмента [Li2Co2(Piv)8]2–, двух катионов [HNHC]+ и сольватных молекул ТГФ. Дианионный фрагмент [Li2Co2(Piv)8]2– в обоих комплексах центросимметричен, центр инверсии располагается между двумя центральными атомами Li(1). Атомы Co(1) и Li(1) связаны тремя мостиковыми карбоксилатными группами, одна из которых выполняет дополнительную мостиковую функцию, связывая два атома лития одним атомом кислорода (рис. 2, основные длины связей и углы указаны в табл. 2).
Рис. 2. Строение дианионов [Li2Co2(Piv)8]2– в I (а) и II (б) (термические эллипсоиды с вероятностью 30%, метильные группы не показаны).
Таблица 2. Основные длины связей, расстояния между центральными атомами (Å) и углы (град) в комплексах I и II
Связь | I | II |
d, Å | ||
Co–O | 1.966(3)–2.050(4) | 1.9401(19)–1.9651(17) |
Li–O | 1.902(9)–2.022(10) | 1.906(4)–1.979(4) |
C–O | 1.255(6)–1.281(5) | 1.238(3)–1.277(3) |
C–N(Pz) | 1.328(7)–1.381(7) | 1.326(3)–1.379(3) |
N–C(Ph; CMe3) | 1.479(7), 1.501(7) | 1.449(3), 1.455(3) |
Li…Li | 2.789(18) | 2.785(8) |
Co…Li | 3.043(9) | 3.241(4) |
Угол | ω, град | |
OCoO | 96.50(15)–145.23(15) | 96.08(8)–119.62(8) |
OLiO | 90.5(4)–127.5(5) | 90.22(17)–121.8(2) |
CoLiLi | 122.5(5) | 123.6(2) |
OCO | 121.3(5)–124.9(5) | 122.7(3)–125.1(2) |
Центральный фрагмент Li2O2 соответствует искаженному квадрату (Li(1)–O(7) 1.938(9), 2.022(10) Å, Li(1) O(7) Li(1) 89.5(4)o, O(7) Li(1) O(7) 90.5(4)o для I; Li(1)–O(4) 1.968(4), 1.979(4) Å, Li(1) O(4) Li(1) 89.77(17)o, O(4) Li(1) O(4) 90.22(17)o для II). Координационное окружение атомов кобальта, окруженных четырьмя атомами карбоксилат-анионов, соответствует искаженному тетраэдру в II (SQ = 0.883) и более искаженному тетраэдру в I (SQ = 2.918). Такое искажение обусловлено ориентацией четвертой монодентатно связанной карбоксилатной группой: в комплексе I ее координация близка к хелатной (рис. 2а; Co(1)…O(6) 2.560 Å, угол Co(1) O(5) O(6) 74.73o), в II она направлена вдоль вектора Li(1) Co(1) O(7) (рис. 2б; Co(1)…O(8) 4.113 Å, угол Co(1) O(5) O(6) 167.27o).
Рис. 3. Фрагмент упаковки I (межмолекулярные взаимодействия C–H..O показаны пунктиром, сольватные молекулы и атомы водорода при метильных группах не показаны).
Между атомами кислорода карбоксилатных групп в [Co₂Li₂(Piv)₈]²⁻ и протонами имидазольного фрагмента внешнесферного органического катиона образуются контакты C–H…O: в I два вицинальных протона участвуют во взаимодействиях с атомами O(4) и O(6) одного фрагмента [Co₂Li₂(Piv)₈]²⁻, протон при атоме С(21) взаимодействует с атомом O(5) другого фрагмента [Co₂Li₂(Piv)₈]²⁻ (рис. 3, табл. 3); в II два вицинальных протона образуют H-связи с атомами O(1) и O(8), протон при атоме С(21) формирует H-связь с атомом O(1S) сольватной молекулы ТГФ (рис. 4, табл. 3).
Рис. 4. Фрагмент упаковки II (межмолекулярные взаимодействия C–H..O и C–H⋅⋅⋅π показаны пунктиром; атомы водорода, не участвующие в межмолекулярных взаимодействиях, не показаны).
Таблица 3. Геометрические параметры водородной связи в I и II
C–H…O | Расстояние, Å | Угол C–H…O, град | ||
C–H | H…O | C…O | ||
I | ||||
C(19)–H(19A)…O(4) | 0.98 | 2.57 | 3.502(8) | 160 |
C(21)–H(21)…O(5) | 0.95 | 2.23 | 3.178(7) | 174 |
C(22)–H(22)…O(4) 1/2+x, 3/2–y, 1/2+z | 0.95 | 2.43 | 3.061(7) | 123 |
C(23)–H(23)…O(6) 1/2+x, 3/2–y, 1/2+z | 0.95 | 2.59 | 3.499(7) | 159 |
C(27)–H(27C)…O(1S) 3/2–x, 1/2+y, 3/2–z | 0.98 | 2.51 | 3.43(2) | 156 |
C(29)–H(29C)…O(1S) | 0.98 | 2.36 | 3.32(2) | 167 |
II | ||||
C(21)–H(21)…O(1S) x, 1/2–y, 1/2+z | 0.95 | 2.12 | 3.014(4) | 157 |
C(22)–H(22)…O(1) | 0.95 | 2.24 | 3.179(3) | 170 |
C(23)–H(23)…O(8) | 0.95 | 2.18 | 3.084(3) | 158 |
C(26)–H(26)…O(5) x, —1+y, z | 0.95 | 2.57 | 3.426(3) | 151 |
C(40)–H(40)…O(8) 1–x, —1/2+y, 3/2–z | 0.95 | 2.37 | 3.214(3) | 148 |
C(46A)–H(46B)…O(8) 1–x, —1/2+y, 3/2–z | 0.98 | 2.57 | 3.538(5) | 168 |
В I атомы водорода трет-бутильных групп катиона HItBu+ также участвуют в межмолекулярных контактах с атомами кислорода сольватных молекул ТГФ.
В кристалле II наблюдаются межмолекулярные C–H…O контакты между протонами фенильных фрагментов (С(26), С(40)) катионов HIPr+ с атомами кислорода карбоксилатных групп (табл. 3) и контакты C–H⋅⋅⋅π между протоном метильной группы в HIPr+ (С(46)/С(46A)) и фенильным циклом соседнего катиона HIPr+ (табл. 4). Таким образом, межмолекулярное нековалентное связывание анионов [Li2Co2(Piv)8]2– и катионов [HNHC]+ приводит к образованию слоистых супрамолекулярных структур.
Таблица 4. C–H⋅⋅⋅π в кристаллической упаковке II (Cgi-центроид фенильного цикла; H/C⋅⋅⋅Cg — расстояние от центроида до атома, H–Perp — кратчайшее расстояния от атома H до плоскости цикла, γ — угол между вектором Cgi–H и нормалью к i-плоскости, угол C–H⋅⋅⋅Cg)
Взаимодействие | H⋅⋅⋅Cg, Å | H–Perp, Å | γ, град | C–H⋅⋅⋅Cg, град | C⋅⋅⋅Cg, Å |
C(42)–H(42A)…Cg(N(1) C(21) N(2) C(23) C(22) | 2.99 | 2.32 | 39.02 | 119 | 3.578(3) |
C(45)–H(45)…Cg(N(1) C(21) N(2) C(23) C(22) | 2.89 | 2.48 | 31.17 | 125 | 3.564(3) |
C(46A)–H(46A)…Cg(C(36)–C(41)) 1–x, —1/2+y, 3/2–z | 2.9 | 2.84 | 11.94 | 137 | 3.686(6) |
C(42)–H(42)…Cg(N(1) C(21) N(2) C(23) C(22)) | 2.92(7) | 2.32 | 37.35 | 132(6) | 3.578(3) |
C(46)–H(46E)…Cg(C(36)–C(41)) 1–x, —1/2+y, 3/2–z | 2.9 | 2.85 | 9.94 | 135 | 3.658(16) |
Измерения магнитной восприимчивости комплекса I в постоянном поле проводились при напряженности магнитного поля 5000 Э в температурном диапазоне 2–300 К для определения магнетохимической чистоты (рис. 5). Значение χТ при 300 К составляет 5.77 см3 К/моль, что существенно больше чисто спиновых значений для двух невзаимодействующих ионов кобальта(II) (3.79 см3 К/моль, 4F9/2, S = 3/2, L = 3) [72, 73], что можно объяснить значительным орбитальным вкладом. С понижением температуры, значения χТ плавно уменьшаются, а при достижении 40 К наклон зависимости χТ(Т) заметно увеличивается. Минимальное значение χТ, равное 2.51 см3 К/моль, достигается при 2 К. Такое магнитное поведение, наиболее вероятно, связано со значительной магнитной анизотропией, либо эффектом Зеемана (насыщения) в магнитном поле [43].
Рис. 5. Температурная зависимость χT образца I (Н = 5 кЭ). Сплошная линия — расчетная кривая, полученная с помощью программы PHI.
На рис. 5 и 6 приведены данные измерений температурных зависимостей статической магнитной восприимчивости и полевых зависимостей намагниченности соединения I, соответственно.
Экспериментальные зависимости χT(Т) и M(H) были аппроксимированы с использованием программы PHI согласно спин-гамильтониану (СГ) [74]:
где μB — магнетон Бора, H — напряженность магнитного поля, S — полный спин, D и E — параметры расщепления в нулевом поле, Ŝ — спиновый оператор, J12 — параметр обменного взаимодействия.
Наилучшая аппроксимация экспериментальных данных была достигнута при следующих параметрах СГ: g = 2.3, D = 5.05 см–1, E/D = 1.5, J12 = –0.054, χTIP = 2.2 × 10–3 (R2 = 1.2 × 10–2).
Рис. 6. Зависимости М(H/T) (слева) и M(Н) (справа) при различных температурах для комплекса I. Сплошные линии — теоретические кривые, рассчитанные с помощью программы PHI.
С целью определения наличия у комплекса I медленной магнитной релаксации проводили исследования динамической магнитной восприимчивости. На частотных зависимостях мнимой компоненты динамической магнитной восприимчивости χʹʹ(ν) комплекса I в нулевом магнитном поле обнаружены сигналы пренебрежимо малые по сравнению с действительной компонентной. Наложение постоянного магнитного поля HDC приводит к появлению значимых сигналов на зависимостях χʹʹ(ν), что указывает на наличие вклада в релаксацию эффекта квантового туннелирования намагниченности (КТН). Варьирование величины HDC позволило определить оптимальное значение (500 Э), при наложении которого максимумы на соответствующих зависимостях χʹʹ(ν) расположены при наименьших значениях частоты, что соответствует наибольшим временам релаксации.
Рис. 7. Частотные зависимости действительной (слева) и мнимой (справа) части динамической магнитной восприимчивости образца I при различных температурах; напряженность внешнего магнитного поля Н = 500 Э. Сплошные линии — аппроксимация обобщенной моделью Дебая.
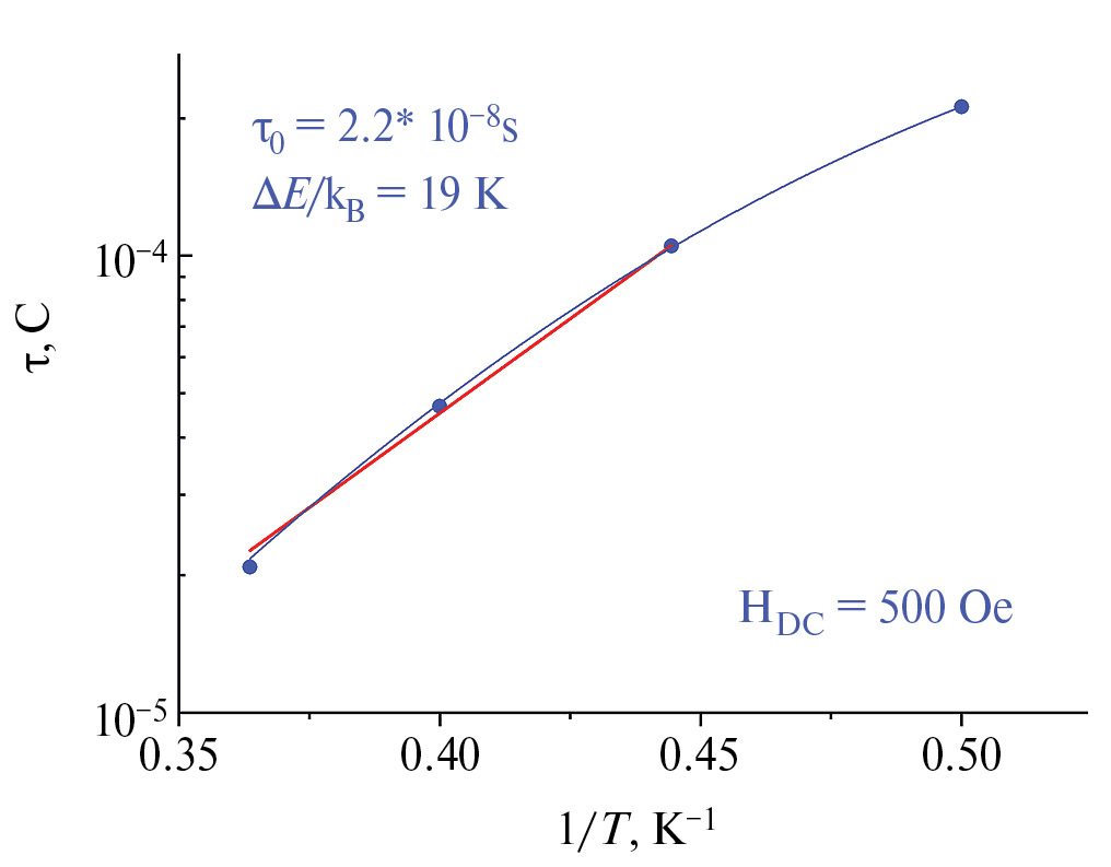
Для определения температурной зависимости времени релаксации в оптимальном магнитном поле проведены измерения изотерм частотных зависимостей динамической магнитной восприимчивости в интервале температур 2–2.75 K (рис. 7). Времена релаксации намагниченности определяли аппроксимацией зависимостей мнимой компоненты динамической магнитной восприимчивости от частоты с использованием обобщенной модели Дебая. На основании этих данных построены зависимости времени релаксации от обратной температуры τ(1/Т) для комплекса I (рис. 8).
Рис. 8. Зависимости времени релаксации от обратной температуры τ(1/Т) образца I. Красная линия — аппроксимация высокотемпературной части (2.25–2.75 К) уравнением Аррениуса. Синяя линия — аппроксимация суммой Рамановского и прямого механизмов.
Зависимость τ(1/Т) комплекса I заметно отклоняется от линейной в полулогарифмической системе координат (рис. 8). Исключительно с целью иметь возможность сравнения с похожими соединениями, высокотемпературная часть зависимости времени релаксации была аппроксимирована уравнением Аррениуса (τ = τ0exp{ΔE/kBT}), что позволило оценить значение эффективного энергетического барьера, равное 19 К, и время наискорейшей релаксации в системе, равное 2.2 × 10–9 с. Аппроксимация зависимости τ(1/Т) комплекса I суммой прямого (τ–1 = AdirectHn_directT) и Рамановского (τ–1 = CRamanTn_Raman) механизмов релаксации привела к удовлетворительному соответствию экспериментальной и теоретической кривой при следующих параметрах: Adirect = 1.82 × 10–8 ± 4.32 × 10–10 с–1 Э– n_direct, ndirect = 4, CRaman = 4.76 ± 0.09 с–1 K–nRaman, nRaman = 9 (R2 = 0.9999).
Таким образом, в качестве нежелательных продуктов взаимодействия гетерометаллического соединения [Co2Li2(Piv)6(Py)2] с N-гетероциклическими карбенами ItBu и IPr были получены соли имидазолия с комплексными анионами [Co2Li2(Piv)8]2–. Удовлетворительный выход соединения (HItBu)2[Co2Li2(µ2-Piv)6(Ƙ1-Piv)2] (I) позволил подтвердить его фазовую чистоту методом РФА и провести исследование его магнитных свойств. Комплекс I является молекулярным магнитом. Магнитная релаксация данного соединения происходит посредством совокупного вклада прямого и рамановского механизмов релаксации. При этом в ранее исследованных комплексах [Co2Li2(Piv)6(IMes)2], [Co2Li2(Piv)6(Ph3P)2], [Co2Li2(Fur)6(Py)2] (Fur = анион 2-фуранкарбоновой кислоты) и [Co2Li2(Piv)6(4-MeOC6H4-MIAN)2] (4-MeOC6H4-MIAN = N-(4-метоксифенил)-моно-иминоаценафтенон) медленная релаксация намагниченности также была обусловлена сочетанием прямого и рамановского процессов [48, 49]. Следует отметить, что при переходе от нейтрального комплекса [Co2Li2(Piv)6(IMes)2] [48] к соли комплексного аниона [Co2Li2(Piv)8]2– (комплекс I) время релаксации намагниченности увеличивается более чем в два раза при температуре 2 К, что может быть обусловлено наличием заряда у терминального лиганда.
ФИНАНСИРОВАНИЕ
Работа выполнена при финансовой поддержке Российского научного фонда (грант № 19-13-00436-П).
Авторы заявляют, что у них нет конфликта интересов.
About the authors
I. K. Rubtsova
Kurnakov Institute of General and Inorganic Chemistry, Russian Academy of Sciences
Email: sanikol@igic.ras.ru
Russian Federation, Moscow
P. N. Vasilyev
Kurnakov Institute of General and Inorganic Chemistry, Russian Academy of Sciences
Email: sanikol@igic.ras.ru
Russian Federation, Moscow
J. K. Voronina
Kurnakov Institute of General and Inorganic Chemistry, Russian Academy of Sciences
Email: sanikol@igic.ras.ru
Russian Federation, Moscow
M. A. Shmelev
Kurnakov Institute of General and Inorganic Chemistry, Russian Academy of Sciences
Email: sanikol@igic.ras.ru
Russian Federation, Moscow
N. N. Efimov
Kurnakov Institute of General and Inorganic Chemistry, Russian Academy of Sciences
Email: sanikol@igic.ras.ru
Russian Federation, Moscow
S. A. Nikolaevskii
Kurnakov Institute of General and Inorganic Chemistry, Russian Academy of Sciences
Author for correspondence.
Email: sanikol@igic.ras.ru
Russian Federation, Moscow
I. L. Eremenko
Kurnakov Institute of General and Inorganic Chemistry, Russian Academy of Sciences
Email: sanikol@igic.ras.ru
Russian Federation, Moscow
M. A. Kiskin
Kurnakov Institute of General and Inorganic Chemistry, Russian Academy of Sciences
Email: sanikol@igic.ras.ru
Russian Federation, Moscow
References
- Bondarenko M.A., Rakhmanova M.I., Plyusnin P.E. et al. // Polyhedron. 2021. V. 194. P. 114895.
- Vershinin M.A., Rakhmanova M.I., Novikov A.S. et al. // Molecules. 2021. V. 26. № 11. P. 3393.
- Shmelev M.A., Kuznetsova G.N., Dolgushin F.M. et al. // Russ. J. Coord. Chem. 2021. V. 47. № 2. P. 127. https://doi.org/10.1134/S1070328421020068
- Bondarenko M.A., Adonin S.A. // J. Struct. Chem. 2021. V. 62. № 8. P. 1251.
- Bondarenko M.A., Novikov A.S., Adonin S.A. // Russ. J. Inorg. Chem. 2021. V. 66. № 6. P. 814.
- Bondarenko M.A., Abramov P.A., Novikov A.S. et al. // Polyhedron. 2022. V. 214. P. 115644.
- Zaguzin A.S., Sukhikh T.S., Sakhapov I.F. et al. // Molecules. 2022. V. 27. № 4. P. 1305.
- Zaguzin A.S., Sukhikh T.S., Kolesov B.A. et al. // Polyhedron. 2022. V. 212. P. 115587.
- Shmelev M.A., Gogoleva N.V., Ivanov V.K. et al. // Russ. J. Coord. Chem. 2022. V. 48. № 9. P. 539. https://doi.org/10.1134/S1070328422090056
- Goldberg A., Kiskin M, Shalygina O. et al. // Chem. Asian J. 2016. V. 11. № 4. P. 604.
- Kiraev S.R., Nikolaevskii S.A., Kiskin M.A. et al. // Inorg. Chim. Acta. 2018. V. 477. P. 15.
- Melnikov S.N., Evstifeev I.S., Nikolaveskii S.A. et al. // New J. Chem. 2021. V. 45. № 30. P. 13349.
- Utochnikova V.V., Kalyakina A.S., Lepnev L.S. et al. // J. Lumin. 2016. V. 170. P. 633.
- Koshelev D.S., Chikineva T.Yu., Kozhevnikova (Khudoleeva) V.Yu. et al. // Dyes and Pigments. 2019. V. 170. P. 107604.
- Utochnikova V.V., Abramovich M.S., Latipov E.V. et al. // J. Lumin. 2019. V. 205. P. 429.
- KottsovS.Yu., Shmelev M.A., Baranchikov A.E. et al. // Molecules. 2023. V. 28. № 1. P. 418.
- Akintayo D.C., Munzeiwa W.A., Jonnalagadda S.B., Omondi B. // Polyhedron. 2022. V. 213. P. 115589.
- Akintayo D.C., Munzeiwa W.A., Jonnalagadda S.B., Omondi B. // Inorg. Chim. Acta. 2022. V. 532. P. 120715.
- Takeuchi K., Chen M.-Y., Yuan H.-Y. et al. // Chem. Eur. J. 2021. V. 27. № 72. P. 18066.
- Cheng X., Liu X., Wang S. et al. // Nat. Commun. 2021. V. 12. № 1. P. 4366.
- Hayashi Y., Santoro S., Azuma Y. et al. // J. Am. Chem. Soc. 2013. V. 135. № 16. P. 6192.
- Smith R.M.S., Amiri M., Martin N.P. et al. // Inorg. Chem. 2022. V. 61. № 3. P. 1275.
- Gusev A., Baluda Yu., Braga E. et al. // Inorg. Chim. Acta. 2021. V. 528. P. 120606.
- Lutsenko I.A., Baravikov D.E., Kiskin M.A. et al. // Russ. J. Coord. Chem. 2020. V. 46. № 6. P. 411. https://doi.org/10.1134/S1070328420060056
- Bazhina E.S., Gogoleva N.V., Zorina-Tikhonova E.N. et al. // J. Struct. Chem. 2019. V. 60. № 6. P. 855.
- Sidorov A.A., Kiskin M.A., Aleksandrov G.G. et al. // Russ. J. Coord. Chem. 2016. V. 42. № 10. P. 621. https://doi.org/10.1134/S1070328416100031
- Sidorov A.A., Gogoleva N.V., Bazhina E.S. et al. // Pure Appl. Chem. 2020. V. 92. № 7. P. 1093.
- Rubtsova I.K., Nikolaevskii S.A., Eremenko I.L., Kiskin M. A. // Russ. J. Coord. Chem. 2023. Vol. 49. № 11. P. 695. https://doi.org/10.1134/S1070328423600766
- Huang P.-B., Tian L.-Y., Zhang Y.-H., Shi F.-N. // Inorg. Chim. Acta. 2021. V. 525. P. 120473.
- Du Z.-Q., Li Y.-P., Wang X.-X. et al. // Dalton Trans. 2019. V. 48. № 6. P. 2013.
- Tian D., Wu T.-T., Liu Y.-Q., Li N. // Inorg. Chem. 2021. V. 60. № 16. P. 12067.
- Sapianik A.A., Lutsenko I.A., Kiskin M.A. et al. // Russ. Chem. Bull. 2016. V. 65. № 11. P. 2601.
- Sapianik A.A., Fedin V.P. // Russ. J. Coord. Chem. 2020. V. 46. № 7. P. 443. https://doi.org/10.1134/S1070328420060093
- Sapianik A.A., Kiskin M.A., Kovalenko K.A. et al. // Dalton Trans. 2019. V. 48. № 11. P. 3676.
- Dybtsev D.N., Sapianik A.A., Fedin V.P. // Mendeleev Commun. 2017. V. 27. № 4. P. 321.
- Sapianik A.A., Zorina-Tikhonova E.N., Kiskin M.A. et al. // Inorg. Chem. 2017. V. 56. № 3. P. 1599.
- Li Y.-P., Wang X.-X., Li S.-N. et al. // Cryst. Growth Des. 2017. V. 17. № 11. P. 5634.
- Murrie M. // Chem. Soc. Rev. 2010. V. 39. № 6. P. 1986.
- Zorina-Tikhonova E., Matyukhina A., Skabitskiy I. et al. // Crystals. 2020. V. 10. № 12. P. 1130.
- Yambulatov D.S., Nikolaevskii S.A., Kiskin M.A. et al. // Molecules. 2020. V. 25. № 9. P. 2054.
- Yambulatov D.S., Voronina J.K., Goloveshkin A.S. et al. // Int. J. Mol. Sci. 2023. V. 24. № 1. P. 215.
- Nikolaevskii S.A., Yambulatov D.S., Voronina J.K. et al. // ChemistrySelect. 2020. V. 5. № 41. P. 12829.
- Novikov V.V., Nelyubina Y.V. // Russ. Chem. Rev. 2021. V. 90. № 10. P. 1330.
- Feltham H.L.C., Brooker S. // Coord. Chem. Rev. 2014. V. 276. P. 1.
- Nehrkorn J., Valuev I.A., Kiskin M.A. et al. // J. Mater. Chem. C. 2021. V. 9. № 30. P. 9446.
- Matyukhina A.K., Zorina-Tikhonova E.N., Goloveshkin A.S. et al. // Molecules. 2022. V. 27. № 19. P. 6537.
- Zorina-Tikhonova E.N., Matyukhina A.K., Chistyakov A.S. et al. // New J. Chem. 2022. V. 46. № 44. P. 21245.
- Yambulatov D.S., Nikolaevskii S.A., Shmelev M.A. et al. // Mendeleev Commun. 2021. V. 31. № 5. P. 624.
- Yambulatov D.S., Nikolaevskii S.A., Lukoyanov A.N. et al. // New J. Chem. 2023. V. 47. № 42. P. 19362.
- Nikolaevskii S.A., Petrov P.A., Sukhikh T.S. et al. // Inorg. Chim. Acta. 2020. V. 508. P. 119643.
- Yambulatov D.S., Petrov P.A., Nelyubina Yu.V. et al. // Mendeleev Commun. 2020. V. 30. № 3. P. 293.
- Petrov P.A., Nikolaevskii S.A., Yambulatov D.S. et al. // Russ. J. Coord. Chem. 2023. V. 49. № 7. P. 407. https://doi.org/10.1134/S1070328423600274
- Petrov P.A., Nikolaevskii S.A., Yambulatov D.S. et al. // Russ. J. Inorg. Chem. 2023.
- Petrov P.A., Nikolaevskii S.A., Filippova E.A. et al. // J. Struct. Chem. 2024. V. 65. № 1. P. 117. https://doi.org/10.1134/S0022476624010116
- Nikolaevskii S.A., Starikova A.A. // J. Struct. Chem. 2024. V. 65. № 3. P. 363. https://doi.org/10.1134/S0022476624030053
- Roy M.M.D., Baird S.R., Ferguson M.J., Rivard E. // Mendeleev Commun. 2021. V. 31. № 2. P. 173.
- Bantreil X., Nolan S.P. // Nat. Protoc. 2011. V. 6. № 1. P. 69.
- Efimov N.N., Babeshkin K.A., Rotov A.V. // Russ. J. Coord. Chem. 2024. V. 50. № 6. P. 363. https://doi.org/10.1134/S1070328424600141
- APEX3. Bruker Molecular Analysis Research Tool. Version 2018.7–2. Madison Wisconsin (USA): Bruker AXS, 2018.
- Sheldrick G.M. SADABS. Bruker/Siemens Area Detector Absorption Correction Program. Version. Madison, Wisconsin (USA): Bruker AXS, 2016.
- Krause L., Herbst-Irmer R., Sheldrick G.M., Stalk D. // J. Appl. Crystallogr. 2015. V. 48. № 1. P. 3.
- Sheldrick G.M. SHELXTL. Structure Determination Software Suite. Version. 6.14. Madison (WI, USA): Bruker AXS, 2003.
- Sheldrick G.M. // Acta Crystallogr. C. 2015. V. 71. № 1. P. 3.
- Dolomanov O.V., Bourhis L.J., Gildea R.J. et al. // J. Appl. Crystallogr. 2009. V. 42. № 2. P. 339.
- Cirera J., Alemany P., Alvarez S. // Chem. Eur. J. 2004. V. 10. № 1. P. 190.
- Shang M., Huang J., Lu J. // Acta Crystallogr. C. 1984. V. 40. № 5. P. 761.
- Burns J.H., Musikas C. // Inorg. Chem. 1977. V. 16. № 7. P. 1619.
- Hughes D.L., Wingfield J.N. // Dalton Trans. 1982. № 7. P. 1239.
- Bandoli G., Clemente D.A. // J. Inorg. Nucl. Chem. 1981. V. 43. № 11. P. 2843.
- Zalkin A., Ruben H., Templeton D.H. // Acta Crystallogr. B. 1982. V. 38. № 2. P. 610.
- Soler M., Mahalay P., Wernsdorfer W. et al. // Polyhedron. 2021. V. 195. P. 114968.
- Kahn O. Molecular Magnetism. Wiley-VCH, New York. 1993.
- Rakitin Yu.V., Kalinnikov V.T. Sovremennaya Magnetokhimiya, 1994.
- Chilton N.F., Anderson R.P., Turner L.D. et al. // J. Comput. Chem. 2013. V. 34. № 13. P. 1164.
Supplementary files











