Synthesis and Structure of Manganese Complexes with N,N’-bis[(2,4,6-trimethylphenyl)imino]acenaphthene
- Authors: Laricheva Y.A.1, Guan C.2, Kuratieva N.V.1, Romashev N.F.1, Gushchin A.L.1
-
Affiliations:
- Nikolaev Institute of Inorganic Chemistry of the Siberian Branch of the Russian Academy of Sciences
- Novosibirsk National Research State University
- Issue: Vol 50, No 10 (2024)
- Pages: 648-660
- Section: Articles
- URL: https://journal-vniispk.ru/0132-344X/article/view/273473
- DOI: https://doi.org/10.31857/S0132344X24100029
- EDN: https://elibrary.ru/LQESRW
- ID: 273473
Cite item
Full Text
Abstract
Methods for the synthesis of new manganese(II) complexes with N,N’-bis[(2,4,6-trimethylphenyl) imino (acenaphthene (Tmp-bian), [Mn(Tmp-bian)Br2] (I), [Mn(Tmp-bian)(EtOH)Br2] (Ia), [Mn(Tmpbian) Cl2] (II), [Mn(Tmp-bian)2 (ClO4) 2] (III), and [Mn(Tmp-bian)2(OTs)2] (IV) were developed. The obtained compounds were characterized by elemental analysis and IR spectroscopy. The molecular structures of I, Iа, and III were determined by X-ray diffraction (CCDC no. 233510–233512). The electronic structures of I and III were established by quantum chemical calculations using density functional theory (DFT).
Full Text
Координационные соединения марганца, способные существовать в различных редокс состояниях, играют существенную роль в индустриально важных реакциях и биохимических превращениях. Процессы с участием марганца нашли применение во многих областях: от электрохимической генерации водорода, катализаторов окисления и технологий возобновляемой энергетики до окислительного расщепления ДНК и разработки новых лекарств [1–3]. Кроме того, комплексы марганца(II), как один из классов светоизлучающих материалов, проявляют удивительные люминесцентные свойства при воздействии света, электрического поля, механической силы, температуры и т.д. [4–9]. По сравнению с люминесцентными комплексами тяжелых 5d-металлов, таких как иридий(III), платина(II), золото(I) и т.д., комплексы марганца(II) зачастую не уступают по своим фотофизическим характеристикам, демонстрируя высокую квантовую эффективность излучения и долгоживущую фосфоресценцию, но при этом являются более доступными (дешевыми) и менее токсичными. Эти преимущества делают комплексы марганца(II) перспективными в различных областях исследований, таких как дизайн эмиссионных слоев OLED, разработка осветительных устройств и др. [10–13].
Бис(имино)аценафтены (BIAN) представляют собой семейство широко используемых редокс-активных лигандов, координационная химия которых привлекла всеобщее внимание с 1990-х годов [14, 15]. Они содержат центральный 1,4-диазабутадиеновый фрагмент, дополненный нафталиновым остовом. Это позволяет сочетать сильные σ-донорные и π-акцепторные свойства, обеспечивая стабильность при координации к ионам металлов как в высоких, так и в низких степенях окисления. Кроме того, наличие у BIAN низколежащих π*-орбиталей приводит к их способности обратимо принимать до четырех электронов и существовать в различных валентных состояниях [16]. В настоящее время металлокомплексы на основе BIAN нашли применение в таких областях исследования, как катализ [17–20], бионеорганическая химия [21, 22], а также в качестве сенсибилизирующих красителей [23–25].
Несмотря на хорошо разработанную координационную химию BIAN в отношении многих переходных и непереходных металлов, сведения о комплексах марганца с BIAN фрагментарны. Сообщается о получении серии квадратно-пирамидальных комплексов Mn(II) общего вида [Mn(R1,R2-bian)Cl2] (схема 1), содержащих несимметричные лиганды BIAN с дополнительным N-донорным центром, обеспечивающим тридентатно-циклический способ координации [26]. Несимметричные BIAN также использовались для синтеза моно-, би- и трехъядерных комплексов: [Mn(R1,R2-bian)(THF)Cl2], [Mn(R1,R2-bian)Cl2]2 и [Mn(R1, R2-bian)Cl2]2{Mn(THF)2} (схема 1), в которых один из атомов азота BIAN связан со стерически затрудненной 2,6-дибензгидрилфенильной группой [27].
Схема 1. Cинтез комплексов Mn/BIAN
Синтезирован карбонильный комплекс Mn(I) состава fac-[Mn(4-Cl-C6H4-bian)(CO)3Br] (схема 2), для которого обнаружена фотоактивируемая способность высвобождения CO [28]. При взаимодействии [Ga2(Dpp-bian)2] с Cp2Mn в толуоле и последующей его перекристаллизацией из диметоксиэтана получен комплекс состава [CpMn(Dpp-bian)(Dme)] (схема 2) с анион-радикалом Dpp-bian [29].
Схема 2. Cинтез металлоорганических комплексов Mn/BIAN
Цель настоящей работы — разработка методов синтеза комплексов марганца с N,N’-бис[(2,4,6-триметилфенил)имино]аценафтеном (Тmp-bian) (схема 3), а также установление их молекулярного и электронного строения и изучение фотолюминесцентных свойств.
Схема 3
ЭКСПЕРИМЕНТАЛЬНАЯ ЧАСТЬ
Органические растворители перед использованием очищали по стандартным методикам. Коммерчески доступные MnO2 и MnBr2 4H2O, аценафтенхинон использовали без предварительной очистки. Другие марганецсодержащие соединения (MnCl2 · 4H2O, Mn(ClO4)2 · · 6H2O, [Mn(H2O)4](OTs)2 · H2O) получали по известным методикам [30, 31]. N,N’-бис[(2,4,6-триметилфенил)имино]аценафтен (Tmp-bian) был получен по методике [32].
ИК-спектры образцов, спрессованных в таблетки KBr, в области 4000–400 см–1 записывали на спектрометре Scimitar FTS 2000. Элементный анализ на C, H, N выполняли на приборе Euro EA 3000. Спектры фотолюминесценции и возбуждения комплексов в твердом состоянии регистрировали с помощью спектрофлуориметра Horiba Fluorolog 3, оснащенного непрерывными 450 Вт и импульсными ксеноновыми лампами в качестве источников света, охлаждаемым детектором и двойными решетчатыми монохроматорами возбуждения и излучения.
Квантово-химические расчеты парамагнитных комплексов выполнены с использованием пакета программ ADF2022 [33]. Неограниченные расчеты проводили в рамках теории функционала плотности (DFT) с использованием полноэлектронного функционала PBE0 с использованием трижды расщепленного базисного набора орбиталей типа Слейтера, дополненного двойным набором поляризационных функций TZ2P [34]. Скалярные релятивистские эффекты учитывались в рамках приближения ZORA [35].
Синтез [Mn(Tmp-bian)Br2] (I). MnBr2 · 4H2O (66 мг, 230мкмоль) растворяли в смеси 0,5 мл EtOH и 15 мл CH2Cl2 с получением бесцветного раствора. Tmp-bian (96 мг, 230 мкмоль) растворяли в 10 мл CH2Cl2, получили оранжево-желтый раствор. Оба раствора смешивали. Реакционную смесь перемешивали при кипячении в течение 4 ч. Раствор темно-оранжевого цвета упаривали в вакууме досуха. Монокристаллы I · H2O, пригодные для РСА, получали двойной перекристаллизацией: диффузией паров диэтилового эфира в раствор комплекса в ацетонитриле и наслаиванием гексана на раствор комплекса в дихлорметане. Выход I 36 мг (25%).
Найдено, %: C 56,9 H 4,5 N 4,5 Для C30H28N2Br2Mn вычислено, %: C 57,1 H 4,5 N 4,4
ИК (KBr; ν, см–1): 3362 с, 2971 с, 2911с, 2735 сл, 1964 сл, 1779 сл, 1727 сл, 1699 сл, 1653 с, 1629 с, 1583 с, 1513 с, 1471 с, 1425 с, 1374 сл, 1355 сл, 1286 с, 1234 с, 1160 сл, 1104 с, 1021 с, 970 сл, 928 сл, 905 сл, 863 с, 839 с, 775 с, 733 сл, 686 сл, 650 сл, 602 сл, 556 сл, 511 сл.
Синтез [Mn(Tmp-bian)(EtOH)Br2] (Iа). MnBr2 · · 4H2O (66 мг, 230 мкмоль) и Tmp-bian (96 мг, 230 мкмоль) растворяли в 15 мл EtOH и 15 мл CH2Cl2, получали оранжево-желтый раствор. Кипячение смеси в течение 4 ч давало темно-оранжевый раствор, который выпаривали досуха. Монокристаллы Ia · CH2Cl2 · 2H2O, пригодные для рентгеноструктурного анализа, получали наслаиванием гексана на раствор комплекса в дихлорметане. Выход 25 мг (17%).
Найдено, %: C 56,5 H 5,0 N 4,0 Для C32H34N2O Br2Mn вычислено, %: C 56,7 H 5,1 N 4,1
ИК (KBr; ν, см–1): 3360 с.пл, 2982 с, 2914 с, 2735 сл, 1963 сл, 1779 сл, 1725 сл, 1696 сл, 1657 с, 1629 с, 1583 с, 1514 с, 1471 с, 1425 с, 1374 сл, 1355 сл, 1286 (с), 1234 (с), 1160 сл, 1104 с, 1021 с, 970 сл, 928 сл, 905 сл, 863 с, 840 с, 775с, 733 сл, 686 сл, 602 сл, 556 сл, 511 сл.
Синтез [Mn(Тmp-bian)Cl2] (II). MnCl2 · 4H2O (62 мг, 313 мкмоль) и Tmp-bian (130 мг, 313 мкмоль) растворяли в 15 мл EtOH и 15 мл CH2Cl2, получили оранжево-желтый раствор. После кипячения смеси в течение 4 ч раствор приобретал темно-оранжевый цвет, затем его выпаривали досуха. Мелкокристаллический продукт получали наслаиванием гексана на раствор комплекса в дихлорметане. Выход 29 мг (17%).
Найдено, %: C 66,2 H 5,1 N 5,1 Для C30H28N2Cl2Mn вычислено, %: C 66,4 H 5,2 N 5,2
ИК (KBr; ν, см–1): 3362 с, 2971 с, 2911 с, 2735 сл, 1962 сл, 1779 сл, 1727 сл, 1699 сл, 1655 с, 1632 с, 1583 с, 1513 с, 1472 с, 1425 с, 1374 сл, 1355 сл, 1286 с, 1234 с, 1160 сл, 1107 с, 1022 с, 971 сл, 928 сл, 905 сл, 863 с, 839 с, 775 с, 733 сл, 686 сл, 651 сл, 602 сл, 553 сл, 511 сл.
Синтез [Mn(Tmp-bian)2(ClO4)2] (III). Mn(ClO4)2 · · 6H2O (320 мг, 884 мкмоль) и Tmp-bian (736 мг, 1768 мкмоль) растворяли в 20 мл CH3CN с получением оранжево-желтого раствора. При перемешивании смеси при комнатной температуре в течение 4 ч раствор приобретал темно-коричневую окраску. Затем раствор упаривали в вакууме до минимального объема, что приводило к выпадению осадка. Осадок отфильтровывали на фильтре Шотта (пористость 16) и промывали последовательно этанолом, холодным диэтиловым эфиром и холодным этилацетатом. Монокристаллы III · 2C7H8, пригодные для рентгеноструктурного анализа, получали наслаиванием гексана на раствор комплекса в толуоле. Выход 471 мг (49%).
Найдено, %: C 66,5 H 5,3 N 5,2 Для C60H56N4O8Cl2Mn вычислено, %: C 66,3 H 5,2 N 5,2
ИК (KBr; ν, см–1): 3403 ш, 2911 сл, 2020 сл, 1732 сл, 1653 с, 1615 с, 1583 с, 1434 сл, 1374 сл, 1351 сл, 1286 сл, 1239 сл, 1202 сл, 1137 с, 1109 с, 1076 с, 938 ср, 900 сл, 849 сл, 775 ср, 733 сл, 691 сл, 626 ср, 556 сл, 505 сл.
Синтез [Mn(Тmp-bian)2(OTs)2] (IV). [Mn(H2O)4][OTs]2 · H2O (640 мг, 1313 мкмоль) и Tmp-bian (1094 мг, 2626 мкмоль) растворяли в 20 мл CH3CN с получением оранжево-желтого раствора. При кипячении смеси в течение 6 ч цвет раствора изменился на оранжево-коричневый. Затем раствор упаривали в вакууме до минимального объема, что приводило к выпадению осадка. Осадок отфильтровывали на фильтре Шотта (пористость 16) и промывали последовательно сухим этанолом, холодным диэтиловым эфиром и холодным этилацетатом. Мелкокристаллический продукт получали диффузией паров диэтилового эфира в раствор комплекса в ацетонитриле. Выход 403 мг (25%).
Найдено, %: C 74,0 H 5,7 N 4,7 Для C74H70N4O4S2Mn вычислено, %: C 74,2 H 5,9 N 4,7
ИК (KBr; ν, см–1): 3672 сл, 3378 сл, 3058 сл, 3018 сл, 2960 оч.с, 2930 с, пл, 2866 оч.с, 2825 сл, 2027 сл, 1615 сл, 1595 сл 1581 сл, 1530 сл, 1480 оч.с, 1434 сл, 1417 оч.с, 1385 сл, 1361 сл, 1326 сл, 1294 оч.с, 1249 сл, 1216 сл, 1190 ср, 1180 с.пл, 1160 сл, 1141 сл, 1109 сл, 1087 сл, 1073 сл, 1060 сл, 1042 сл, 1005 сл, 972 сл, 955 сл, 935 сл, 880 с, 846 сл, 831 сл, 803 сл, 779 оч.с, 760 сл, 735 сл, 716 сл, 694 сл, 664 с, 592 сл, 573 сл, 546 сл, 507 сл, 478 сл, 445 сл.
РСА комплексов проведен по стандартной методике на автоматическом четырехкружном дифрактометре Bruker-Nonius X8Apex (III), оснащенном двухкоординатным CCD детектором, при температуре 150 К с использованием молибденового излучения (λ = 0.71073 Å) и графитового монохроматора или Bruker D8 Venture (I и Ia), оснащенном детектором CMOS PHOTONIII и микрофокусным источником IµS 3.0 (фокусирующие зеркала Монтеля, MoKα-излучение). Интенсивности отражений измерены методом φ- и ω-сканирования узких (0.5°) фреймов. Обработка данных проведена с помощью пакетов программ APEX2 [36] или APEX3 [37] соответственно. Поглощение учтено полуэмпирически по программе SADABS [38]. Структуры расшифрованы прямым методом и уточнены полноматричным МНК в анизотропном для неводородных атомов приближении по комплексу программ SHELXTL [39], детали экспериментов и уточнения приведены в табл. 1. Атомы водорода органических лигандов и растворителей уточнены в приближении жесткого тела. Атомы водорода сокристаллизованных молекул воды не локализованы. Молекулы сокристаллизованных растворителей разупорядочены по нескольким позициям, введены некоторые ограничения на длины связей C–Cl и параметры анизотропных тепловых смещений. Основные межатомные расстояния и валентные углы представлены в табл. 2.
Таблица 1. Кристаллографические характеристики, детали эксперимента и уточнения структур I, Ia и III
Параметр | Значение | ||
I | Ia | III | |
Брутто-формула | C30H30N2OBr2Mn | C33H40N2O3Cl2Br2Mn | C74H72N4O8Cl2Mn |
М | 649.32 | 798.33 | 1271.19 |
Сингония | Pомбическая | Моноклинная | Триклинная |
Пр. группа | Pbcn | C2/c | P |
а, Å b, Å c, Å α, град β, град γ, град | 22.9987(11) 17.8818(7) 16.6963(8) | 7.2348(10) Å 12.1596(4) Å 22.8405(8) Å 96.247(2) | 10.9938(6) 11.8780(7) 13.0971(8) 99.545(2) 108.612(2) 99.219(2) |
Объем Å3 | 6866.5(5) | 7519.0(5)3 | 1556.27(16) |
Z | 8 | 8 | 1 |
ρ (выч.), г/cм3 | 1.256 | 1.410 | 1.356 |
µ, мм–1 | 2.733 | 2.651 | 0.360 |
F(000) | 2616 | 3240 | 667 |
Размер кристалла, мм | 0.14 x 0.08 x 0.08 | 0.14 x 0.08 x 0.07 | 0.22 x 0.14 x 0.12 |
Диапазон сбора данных по θ | 1.889–26.379 | 1.794–28.315 | 2.725–26.437 |
Диапазон h,k,l | -28 <= h <= 28 -15 <= k <= 22 -20 <= l<= 19 | -36 <= h <= 36 -16 <= k <= 16 -29 <= l <= 30 | -13 <= h <= 11 -14 <= k <= 14 -16 <= l <= 16 |
Число измеренных рефлексов | 45005 | 38176 | 12753 |
Число независимых рефлексов (Rint) | 7015 (0.1012) | 9329 (0.0508) | 6339 (0.0475) |
Полнота сбора данных по θ = 25.250°, % | 99.7 | 99.9 | 99.4 |
Число рефлексов/ ограничений/параметров | 7015/42/385 | 9329/57/468 | 6339/0/410 |
S-фактор по F2 | 1.006 | 1.071 | 1.014 |
R1, wR2 (I > 2s(I)) | 0.0551, 0.1367 | 0.0626, 0.1907 | 0.0516, 0.1136 |
R1, wR2 (все данные) | 0.1055, 0.1542 | 0.0955, 0.2075 | 0.0794, 0.1247 |
Остаточная электронная плотность (max/min), e/Å3 | 0.883 и -0.672 | 1.831 и -0.680 | 0.452 и -0.441 |
Таблица 2. Основные геометрические параметры в структурах комплексов I, Iа и III по данным РСА
Связь | Расстояние, Å | Связь | Расстояние, Å | Связь | Расстояние, Å |
I | Iа | III | |||
Mn–Br | 2.4247(9) 2.4288(9) | Mn–Br | 2.4879(8) 2.5210(8) | Mn–N | 2.256(2) 2.2955(18) |
Mn–N | 2.197(3) 2.192(4) | Mn–N | 2.238(3) 2.321(3) | Mn–O | 2.2673(16) |
C–C | 1.517(6) | 2.164(3) | C–C | 1.527(4) | |
C=N | 1.284(5) 1.279(6) | C–C | 1.511(5) | C=N | 1.276(3) 1.282(3) |
C=N | 1.276(5) 1.281(5) | ||||
Кристаллографические параметры комплексов депонированы в Кембриджском банке структурных данных (CCDC № 233510 (I), 233511 (Ia), 233512 (III); https://ωωω.ccdc.cam.ac.uk/data_reguest/cif).
РЕЗУЛЬТАТЫ И ИХ ОБСУЖДЕНИЕ
Комплексы марганца(II), содержащие BIAN, описаны в литературе как достаточно просто синтезируемые соединения, за исключением комплексов, получаемых в инертной атмосфере, и основные сложности у авторов вызывало лишь получение кристаллических продуктов. Однако в ходе данной работы мы столкнулись с определенными трудностями в получении комплексов марганца в качестве индивидуальных соединений. Первоначально мы использовали более широкий спектр BIAN, имеющих различные заместители в арильных кольцах (Тmp-bian, Dpp-bian, 4-XPh-bian (X = Cl, Br, I)), но удовлетворительные результаты были достигнуты только в экспериментах с Tmp-bian.
При проведении реакций Tmp-bian с галогенидами марганца, а в дальнейшем и с другими марганецсодержащими соединениями (Mn(ClO4)2, Mn(OTs)2), мы варьировали следующие условия: температуру (от комнатной до температуры кипения растворителей); растворитель (дихлорметан, этиловый спирт, ацетонитрил, тетрагидрофуран); продолжительность эксперимента (от одного часа до 4 cут); стехиометрическое соотношение металла и лиганда (от недостатка лиганда до его четырехкратного избытка). В результате было получено пять новых комплексов Mn(II) c одной (I, Ia, II) или двумя (III, IV) координированными молекулами Tmp-bian (схема 4).
Схема 4. Синтез комплексов марганца I–IV
Выходы конечного кристаллического продукта варьировались от 10 до 25%; в случае комплекса III выход достигал 49%. Низкие выходы, по-видимому, обусловлены образованием побочных продуктов в этих реакциях. Чистота полученных комплексов подтверждена с помощью элементного анализа на С, Н, N и ИК-спектроскопии. В ИК-спектрах всех комплексов наблюдаются характеристичные полосы в диапазонах 1575–1775 и 1420–1500 см–1, относящиеся к валентным колебаниям ν(C=N) и ν(C–C), что указывает на нейтральное состояние лиганда Tmp-bian. Полосы сдвинуты в более длинноволновую область в среднем на 15 см–1относительно некоординированного Tmp-bian. В ИК-спектре комплекса III наблюдаются интенсивные полосы поглощения в области 1137–1076 см–1 от перхлоратного фрагмента. В спектре комплекса IV зарегистрированы характеристичные полосы при 1180 и 663 см1, относящиеся к валентным колебаниям ν(SO2) и ν(SO), соответственно, аниона OTs– п-толуолсульфоновой кислоты. Следует отметить смещение этих полос в длинноволновую область на 20 и 27 см–1, соответственно, относительно [Mn(H2O)4](OTs)2 [31], что указывает на координацию OTs– к иону Mn(II).
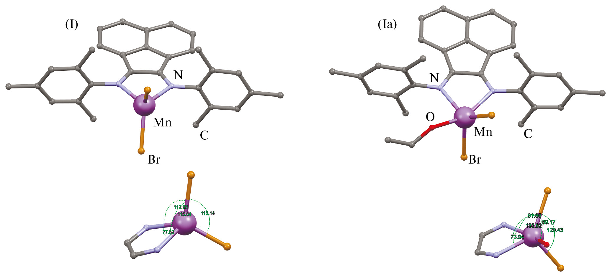
Для соединений I, Iа и III получены кристаллы надлежащего качества и проведен рентгеноструктурный анализ (табл. 1 и 2). В структуре комплекса I ион Mn(II) находится в слабоискаженном тетраэдрическом окружении, состоящем из двух анионов брома и двух атомов азота Tmp-bian (рис. 1). Угол ω между плоскостями N–Mn–N и Br–Mn–Br составляет 87,68°, что близко к значению ω = 90°, характерному для идеального тетраэдрического окружения. В случае комплекса Iа ион марганца находится в сильно искаженном квадратно-пирамидальном окружении, состоящем из двух анионов брома, двух атомов азота и атома кислорода координированной молекулы этанола (схема 4). Параметр τ5, характеризующий отклонение от идеальной геометрии квадратной пирамиды (КП) (τ5 = 0) или тригональной бипирамиды (ТБП) (τ5 = 1) и равный (α-β)/60 (α и β — наибольшие углы LML), составляет 0,44. Комплекс III содержит две координированных молекулы Tmp-bian; координационный полиэдр — слабоискаженный октаэдр, состоящий из четырех атомов азота двух Tmp-bian, находящихся в экваториальной плоскости, и двух атомов кислорода перхлоратных анионов, занимающих аксиальные положения (pис. 2).
Рис. 1. Молекулярная структура комплексов I и Iа по данным РСА. На врезках показаны выбранные углы координационного узла Mn–Br(2) –N(2) (слева) и Mn–Br(2)–N(2)–O (справа). Атомы водорода для ясности опущены
Рис. 2. Молекулярная структура комплекса III по данным РСА (а); выбранные ракурсы координационного узла Mn–N(2)–O(2) (б). Атомы водорода не показаны
Как уже отмечалось во введении, на данный момент имеются ограниченные сведения о комплексах марганца с лигандами BIAN, тогда как структурно охарактеризованных комплексов насчитываются мало. В описанных структурах расстояния Mn–N варьируются от 2,06 Å в [MnBr(CO)3(BIAN)] [28] до 2,41 Å в [(BIAN)MnCl(μ-Cl)]2 [27] и зависят от типа координационного полиэдра и стерического объема координированных лигандов. Значения расстояний Mn–Br находятся в диапазоне от 2,32 до 2,52 Å. Как видно из табл. 2, расстояния Mn–N и Mn–Br для I и Iа варьируются в этих же пределах. При этом расстояния Mn–N и Mn–Br в I примерно на 0,05 – 0,1 Å меньше, чем в Iа, что можно объяснить большей стерической загруженностью координационной сферы комплекса Ia. Расстояния Mn–N и Mn–O в III также согласуются с литературными данными [28, 40]. Длины связей С–С и С=N дииминового фрагмента во всех структурах однозначно свидетельствуют о нейтральном состоянии Tmp-bian.
Одной из задач данной работы было изучение фотолюминесцентных свойств комплексов Mn(II) с Tmp-bian. Для этого для порошков полученных комплексов записывались эмиссионные спектры при различных длинах волн возбуждающего света. К сожалению, ни для одного из полученных соединений не было выявлено заметной фотолюминесценции.
Для установления электронной структуры комплексов I и III выполнялись квантово-химические расчеты в рамках DFT. Полученные рентгеноструктурные данные использовались в качестве исходных моделей для дальнейшей оптимизации. C использованием неограниченного (unrestricted) метода расчетов были рассчитаны уровни энергии и формы граничных молекулярных орбиталей основного состояния молекул с пятью неспаренными электронами (pис. 3 и 4, табл. 3). Отсутствие мнимых частот указывало на нахождение системы в локальном минимуме на поверхности потенциальной энергии.
Рис. 3. Общий вид и энергетические уровни граничных орбиталей для основного состояния комплекса I. Показаны ВЗМО, ВЗМО–1, ВЗМО–2, ВЗМО–3, НСМО, НСМО+1
Рис. 4. Общий вид и энергетические уровни граничных орбиталей для основного состояния комплекса III. Показаны ВЗМО, ВЗМО–1, ВЗМО–2, ВЗМО–3, НСМО, НСМО+1
Таблица 3. Вклады фрагментов в граничные молекулярные орбитали в комплексах I и III*
Вклад АО, % | ВЗМО–N | НСМО | ||||||||
–4 | –3 | –2 | –1 | 0 | 0 | +1 | +2 | +3 | +4 | |
Комплекс I | ||||||||||
Mn | 28.2 | 31.0 | 45.5 | 45.4 | 4.0 | 10.8 | 83.8 | 78.2 | 11.7 | |
Tmp-bian | 56.3 | 7.2 | 4.7 | 9.2 | 81.8 | 85.1 | 4.1 | 6.8 | 82.4 | |
Br | 40.8 | 47.1 | 51.4 | 43.1 | 40.3 | 2.1 | 3.7 | 10.1 | ||
Комплекс III | ||||||||||
Mn | 2.2 | 1.3 | 1.8 | 55.5 | 50.4 | 6.8 | 3.2 | 96.8 | ||
Tmp-bian | 87.7 | 85.8 | 87.2 | 5.7 | 29.8 | 87.1 | 85.9 | 86.8 | 92.7 | |
ClO4 | 33.1 | 3.3 | 2.4 | 1.8 | ||||||
* Вклады менее 1% опущены.
В результате оптимизации геометрия комплекса I претерпевает незначительные изменения. Наблюдается небольшое укорочение (~0,03 Å) связей Mn–N до 2,170 Å, при котором обе связи становятся равными по длине, и более сильное укорочение (~0,1 Å) связей Mn–Br до 2,298 Å, что также приводит к их выравниванию. Углы в тетраэдре MnBr2N2 практически не изменяются, значительное искажение координационного полиэдра сохраняется. В случае комплекса III оптимизация геометрии также приводит к небольшим изменениям. Наблюдается укорочение (~0,1 и ~0,05 Å) связей Mn–N до 2,353 и 2,343 Å и укорочение (~0,1 Å) связей Mn–O до 2,166 и 2,177 Å. Различия в углах незначительны. Важно отметить, что при оптимизации геометрии не происходит разрыва связей Mn–O и отщепления ClO4–, учитывая слабые координационные свойства перхлорат-аниона, что указывает на большую устойчивость комплекса III по сравнению с гипотетическим [Mn(Tmp-bian)2](ClO4)2.
Из состава граничных орбиталей (табл. 3) следует, что в образовании ВЗМО участвуют в основном орбитали Mn и Br (для I), Mn и Tmp-bian (для III) с сопоставимыми вкладами, тогда как НСМО преимущественно локализована на Tmp-bian (более 80%), что согласуется с π-акцепторными свойствами Tmp-bian (pис. 3, 4). Кроме того, была проведена оценка энергетического зазора между ВЗМО и НСМО, которая составила 0,6 эВ для I и 0,88 эВ для III.
Таким образом, получена и охарактеризована серия новых комплексов марганца(II), содержащих одну или две координированные молекулы Tmp-bian: [Mn(Tmp-bian)Br2] ∙ ∙ H2O (I ∙ H2O), [Mn(Tmp-bian)(EtOH)Br2] ∙ ∙ CH2Cl2 ∙ 2H2O (Iа ∙ CH2Cl2 ∙ 2H2O), [Mn(Tmp-bian)Cl2] (II), [Mn(Tmp-bian)2(ClO4)2] ∙ C7H8 (III ∙ ∙ C7H8), [Mn(Tmp-bian)2(OTs)2] (IV). Методом рентгеноструктурного анализа показано, что комплексы I, Iа и III различаются строением координационного узла: тетраэдр MnN2Br2 для I, искаженная квадратная пирамида MnN2Br2O для Iа и октаэдр MnN4O2 для III. В рамках теории (PBE0/TZ2P) рассчитаны энергетические уровни и формы граничных молекулярных орбиталей для основного состояния комплексов I и III. Показано, что орбитали Tmp-bian вносят основной вклад в НСМО. Установлено, что полученные комплексы I–IV не люминесцируют в твердом состоянии.
Авторы заявляют, что у них нет конфликта интересов.
БЛАГОДАРНОСТИ
Авторы выражают благодарность ЦКП ИНХ СО РАН и Я.М. Гайфулину за предоставление мощностей на вычислительном кластере.
ФИНАНСИРОВАНИЕ
Работа выполнена при поддержке Министерства науки и высшего образования Российской Федерации (гранты № 121031700315-2 и № 121031700313-8).
About the authors
Yu. A. Laricheva
Nikolaev Institute of Inorganic Chemistry of the Siberian Branch of the Russian Academy of Sciences
Email: nikolaj.romashev75@gmail.com
Russian Federation, Novosibirsk
Ch. Guan
Novosibirsk National Research State University
Email: nikolaj.romashev75@gmail.com
Russian Federation, Novosibirsk
N. V. Kuratieva
Nikolaev Institute of Inorganic Chemistry of the Siberian Branch of the Russian Academy of Sciences
Email: nikolaj.romashev75@gmail.com
Russian Federation, Novosibirsk
N. F. Romashev
Nikolaev Institute of Inorganic Chemistry of the Siberian Branch of the Russian Academy of Sciences
Author for correspondence.
Email: nikolaj.romashev75@gmail.com
Russian Federation, Novosibirsk
A. L. Gushchin
Nikolaev Institute of Inorganic Chemistry of the Siberian Branch of the Russian Academy of Sciences
Email: nikolaj.romashev75@gmail.com
Russian Federation, Novosibirsk
References
- Kallmeier F., Kempe R. // Angew. Chem. Int. Ed. 2018. V. 57. № 1. P. 46.
- Najafpour M. M., Allakhverdiev S. I. // Int. J. Hydrogen Energy. 2012. V. 37. № 10. P. 8753.
- Mallick Ganguly O., Moulik S. // Dalton Trans. 2023. V. 52. № 31. P. 10639.
- Vinogradova K. A., Shekhovtsov N. A., Berezin A. S. et al. // Inorg. Chem. Commun. 2019. V. 100. P. 11.
- Berezin A.S., Vinogradova K.A., Nadolinny V.A. et al. // Dalton Trans. 2018. V. 47. № 5. P. 1657.
- Artem’Ev A.V., Davydova M.P., Berezin A.S. et al. // ACS Appl. Mater. Interfaces. 2022. V. 14. № 27. P. 31000.
- Davydova M. ., Bauer I.A., Brel V.K. et al. // Eur. J. Inorg. Chem. 2020. V. 2020. № 8. P. 695–703.
- Artem’ev A.V., Davydova M.P., Rakhmanova M.I. et al. // Inorg. Chem. Front. 2021. V. 8. № 15. P. 3767.
- Artem’ev A.V., Kashevskii A.V., Bogomyakov A.S. et al. // Dalton Trans. 2017. V. 46. № 18. P. 5965.
- Hu J. Q., Song E. H., Ye S. et al // J. Mater. Chem. C. 2017. V. 5. № 13. P. 3343.
- Zou S., Liu Y., Li J. et al. // J. Am. Chem. Soc. 2017. V. 139. № 33. P. 11443.
- Davydova M., Meng L., Rakhmanova M.I. et al. // Adv. Mater. 2023. V. 35. № 35. P. 2303611.
- Qin Y., She P., Huang X., Huang W. et al. // Coord. Chem. Rev. 2020. V. 416. P. 213331
- van Asselt R., Gielens E.E.C.G., Rülke R.E. et al. // J. Am. Chem. Soc. 1994. V. 116. № 3. P. 977.
- Fomenko I.S., Romashev N.F., Gushchin. A.L. // Coord. Chem. Rev. 2024. V. 514. P. 215845.
- Fedushkin I.L., Skatova A.A., Chudakova V.A. et al. // Angew. Chem. Int. Ed. 2003. V. 42. № 28. P. 3294.
- Bernauer J., Pölker J., Jacobi von Wangelin A. // ChemCatChem. 2022. V. 14. № 1. Art. e202101182.
- Fomenko I.S., Koshcheeva O.S., Kuznetsova N.I. et al. // Catalysts. 2023. V. 13. № 5. P. 849.
- Fomenko I. S., Gongola M. I., Shul’pina L. S. et al. // Catalysts. 2022. V. 12. № 10. P. 1168.
- Komlyagina V.I., Romashev N.F., Kokovkin V. et al. // Molecules. 2022. V. 27. № 20. P. 6961.
- Komlyagina V.I., Romashev N.F., Besprozvannykh V.K. et al. // Inorg. Chem. 2023. V. 62. № 29. P. 11541.
- Romashev N.F., Abramov P.A., Bakaev I. et al. // Inorg. Chem. 2022. V. 61. № 4. P. 2105.
- Hasan K., Zysman-Colman E. // Inorg. Chem. 2012. V. 51. № 22. P. 12560.
- Geary E.A.M., Yellowlees L.J., Jack L.A. et al. // Inorg. Chem. 2005. V. 44. № 2. P. 242.
- Bakaev I.V., Romashev N.F., Komlyagina V.I. et al. // New J. Chem. 2023. V. 47. № 40. P. 18825.
- Schmiege B.M., Carney M.J., Small B.L. et al. // Dalton Trans. 2007. № 24. P. 2547.
- Zhou M., Li X., Bu D.et al. // Polyhedron. 2018. V. 148. P. 88.
- Carrington S.J., Chakraborty I., Mascharak P.K. // Dalton Trans. 2015. V. 44. № 31. P. 13828.
- Fedushkin I.L., Sokolov V.G., Makarov V.M. et al. // Russ. Chem. Bull. 2016. V. 65. № 6. P. 1495.
- Bermejo M.R., Perez M.C., Fondo M. et al. // Synth. React. Inorg. Met. Chem. 1997. V. 27. № 7. P. 1009.
- Girolami G.S. // Inorg. Synth. 2002. V. 33. P. 91.
- El-Ayaan U., Murata F., El-Derby S. et al. // J. Mol. Struct. 2004. V. 692. № 1–3. P. 209.
- te Velde G., Bickelhaup, F.M., Baerends E.J. et al. // J. Comput. Chem. 2001. V. 22. № 9. P. 931.
- Van Lenthe E., Baerends E.J. // J. Comput. Chem. 2003. V. 24. № 9. P. 1142.
- Van Lenthe E., Snijders J.G., Baerends E.J. // J. Chem. Phys. 1996. V. 105. № 15. P. 6505.
- APEX2 (version 2.0), SAINT (version 8.18c), and SADABS (version 2.11), Bruker Advanced X-ray Solutions. Madison (WI, USA): Bruker AXS Inc., 2000–2012.
- Bruker Apex3 software suite: Apex3, SADABS-2016/2 and SAINT, version 2019.1-0; Bruker AXS Inc.: Madison, WI, 2017.
- Sheldrick G.M. SADABS. Program for Scaling and Correction of Area Detector Data. Göttingen (Germany): Unive. of Göttingen, 1996.
- Sheldrick G.M. // Acta Crystallogr. C. 2015. V. 71. № 1. P. 3.
- Singh G., Kapoor I.P.S., Kumar D. et al. // Inorg. Chim. Acta. 2009. V. 362. № 11. P. 4091.
Supplementary files










