Adaptive Methods or Variational Inequalities with Relatively Smooth and Reletively Strongly Monotone Operators
- 作者: Ablaev S.S.1,2, Stonyakin F.S.1,2, Alkousa M.S.1,3, Pasechnyk D.A.1,4
- 
							隶属关系: 
							- Moscow Institute of Physics and Technology
- Vernadsky Crimean Federal University
- National Research University “Higher School of Economics”
- Trusted Artificial Intelligence Research Center of ISP RAS
 
- 期: 编号 6 (2023)
- 页面: 5-13
- 栏目: DATA ANALYSIS
- URL: https://journal-vniispk.ru/0132-3474/article/view/148115
- DOI: https://doi.org/10.31857/S013234742306002X
- EDN: https://elibrary.ru/EIFITN
- ID: 148115
如何引用文章
全文:
详细
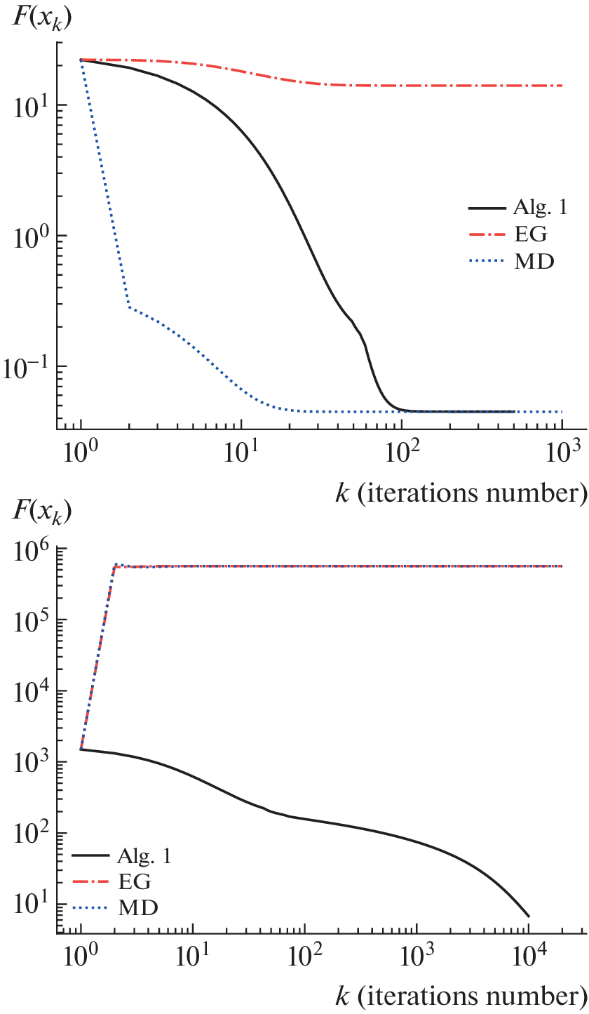
The article is devoted to some adaptive methods for variational inequalities with relatively smooth and relatively strongly monotone operators. Based on the recently proposed proximal version of the extragradient method for this class of problems, we study in detail the method with adaptively selected parameter values. An estimate for the rate of convergence of this method is proved. The result is generalized to a class of variational inequalities with relatively strongly monotone δ-generalized smooth variational inequality operators. For the problem of ridge regression and variational inequality associated with box-simplex games, numerical experiments were performed demonstrating the effectiveness of the proposed method of adaptive selection of parameters during the running of the algorithm.
作者简介
S. Ablaev
Moscow Institute of Physics and Technology; Vernadsky Crimean Federal University
							编辑信件的主要联系方式.
							Email: seydamet.ablaev@yandex.ru
				                					                																			                												                								Russia, 141701, Moscow region, Dolgoprudny, Institutskiy per., 9; Russia, 295007, Simferopol, Academician
Vernadsky Avenue, 4						
F. Stonyakin
Moscow Institute of Physics and Technology; Vernadsky Crimean Federal University
							编辑信件的主要联系方式.
							Email: fedyor@mail.ru
				                					                																			                												                								Russia, 141701, Moscow region, Dolgoprudny, Institutskiy per., 9; Russia, 295007, Simferopol, Academician
Vernadsky Avenue, 4						
M. Alkousa
Moscow Institute of Physics and Technology; National Research University “Higher School of Economics”
							编辑信件的主要联系方式.
							Email: mohammad.alkousa@phystech.edu
				                					                																			                												                								Russia, 141701, Moscow region, Dolgoprudny, Institutskiy per., 9; Russia, 101000, Moscow, Myasnitskaya st., 20						
D. Pasechnyk
Moscow Institute of Physics and Technology; Trusted Artificial Intelligence Research Center of ISP RAS
							编辑信件的主要联系方式.
							Email: dmivilensky1@gmail.com
				                					                																			                												                								Russia, 141701, Moscow region, Dolgoprudny, Institutskiy per., 9; Russia, 109004, Moscow, 
Alexander Solzhenitsyn st., 25						
参考
- Stonyakin F., Tyurin A., Gasnikov A., Dvurechensky P., Agafonov A., Dvinskikh D., Alkousa M., Pasechnyuk D., Artamonov S., Piskunova V. Inexact Relative Smoothness and Strong Convexity for Optimization and Variational Inequalities by Inexact Model // Optim. Methods and Software. 2021. V. 36. № 6. P. 1155–1201.
- Cohen M.B., Sidford A., Tian K. Relative Lipschitzness in Extragradient Methods and a Direct Recipe for Acceleration. arXiv preprint https://arxiv.org/pdf/2011.06572.pdf (2020).
- Titov A.A., Ablaev S.S., Stonyakin F.S., Alkousa M.S., Gasnikov A. Some Adaptive First-Order Methods for Variational Inequalities with Relatively Strongly Monotone Operators and Generalized Smoothness. In: Olenev N., Evtushenko Y., Jaćimović M., Khachay M., Malkova V., Pospelov I. (eds) Optimization and Applications. OPTIMA 2022. Lecture Notes in Computer Science, vol 13781. Springer, Cham, 2022.
- Bauschke H.H., Bolte J., Teboulle M. A descent lemma beyond Lipschitz gradient continuity: first-order methods revisited and applications // Mathematics of Operations Research. 2017. V. 42 (1.2). P. 330–348.
- Lu H., Freund R.M., Nesterov Y. Relatively smooth convex optimization by first-order methods, and applications // SIAM Journal on Optimization. 2018. V. 28 (1.1). P. 333–354.
- Hendrikx H., Xiao L., Bubeck S., Bach F., Massoulie L. Statistically preconditioned accelerated gradient method for distributed optimization. In International conference on machine learning, 4203–4227. PMLR, 2020.
- Tian Y., Scutari G., Cao T., Gasnikov A. Acceleration in Distributed Optimization under Similarity. Proceedings of The 25th International Conference on Artificial Intelligence and Statistics // PMLR. 2022. V. 151. P. 5721–5756.
- Jin Y., Sidford A., Tian K. Sharper Rates for Separable Minimax and Finite Sum Optimization via Primal-Dual Extragradient Methods. In Conference on Learning Theory, 4362–4415. PMLR, 2022.
 
				
			 
						 
						 
						 
						 
					 
				
 
  
  
  电邮这篇文章
			电邮这篇文章 


