Searching for laurent solutions of truncated systems of linear differential equations with the use of EG-eliminations
- Авторлар: Ryabenko А.А.1, Khmelnov D.E.1
- 
							Мекемелер: 
							- Federal Research Center «Computer Science and Control» of Russian Academy of Sciences
 
- Шығарылым: № 2 (2024)
- Беттер: 108-117
- Бөлім: COMPUTER ALGEBRA
- URL: https://journal-vniispk.ru/0132-3474/article/view/262656
- DOI: https://doi.org/10.31857/S0132347424020145
- EDN: https://elibrary.ru/RNLWQP
- ID: 262656
Дәйексөз келтіру
Толық мәтін
Аннотация
Laurent solutions of systems of linear ordinary differential equations with the truncated power series coefficients are considered. The Laurent series in the solutions are also truncated. We use induced recurrent systems for constructing the solutions and have previously proposed an algorithm for the case when the induced system has a non-singular leading matrix. The algorithm finds the maximum possible number of terms of the series in the solutions that are invariant with respect to any prolongation of the original system. Below we present advances in extending our algorithm to the case when the leading matrix is singular using algorithm EG as an auxiliary tool. The implementation of the algorithm as a Maple procedure and examples of its usage are presented.
Толық мәтін
1. Предварительные сведения
Рассматриваются системы вида
(1)
где — вектор неизвестных, — m × m-матрицы коэффициентов с элементами в виде степенных рядов по x над алгебраически замкнутым полем чисел,
Решение дифференциальной системы (1), компоненты которого являются формальными рядами Лорана, называется лорановым решением:
(2)
где v ∈ Z, — вектор-столбцы коэффициентов ряда Лорана для , — ненулевой вектор. Число v называется валюацией ряда.
Валюацией уравнения с коэффициентами-рядами называется наименьшая из валюаций коэффициентов уравнения. Системы вида (1) легко привести к такому виду, что каждое ее уравнение будет иметь валюацию ноль. В дальнейшем рассматриваем именно такие системы.
1.1. Случай полностью заданных систем
Для любой системы (1) полного ранга, коэффициенты которой являются алгоритмически заданными рядами (то есть задан алгоритм, который вычисляет коэффициент любого члена x s любого ряда в системе), в [1] предложен алгоритм нахождения всех ее лорановых решений в том смысле, что для решения может быть найдено любое наперед заданное число начальных членов ряда. Этот алгоритм основан на вычислении индуцированной рекуррентной системы R(u) = 0, которой удовлетворяет последовательность векторов u(n) из (2). Индуцированная рекуррентная система строится с помощью преобразования
(3)
примененного к исходной системе (1). E –1 обозначает оператор сдвига: Таким образом, и индуцированная система записывается как
(4)
Рис. 1
Рис. 2
где u(n) = (u1(n), ...,um(n))T — вектор-столбец неизвестной последовательности, такой что ui(n) = 0 для всех отрицательных n с достаточно большой величиной | n |, i = 1, ...,m; — матрицы полиномов от n; B0(n) — ведущая матрица (из того, что валюации уравнений системы (1) равны нулю, следует, что B0(n) — ненулевая матрица).
Если B0(n) невырождена, то мы можем рассматривать уравнение det B0(n) = 0 в качестве определяющего уравнения исходной дифференциальной системы: множество целых корней этого алгебраического уравнения содержит все возможные валюации лорановых решений системы (1). Это, в частности, дает возможность найти нижнюю границу vmin валюаций всех лорановых решений этой системы. Если det B0(n) = 0 не имеет целых корней, то эта система не имеет лорановых решений. Если B0(n) вырождена, то сначала применяется алгоритм EGs∞ (это версия исходного алгоритма EG из [2], представленная в [1], для бесконечных рекуррентных систем) для того, чтобы преобразовать индуцированную рекуррентную систему к охватывающей ее рекуррентной системе (u) = 0 того же вида с невырожденной ведущей матрицей 0(n), обеспечивая возможностью найти нижнюю границу vmin валюаций всех лорановых решений системы (1) и вычислить произвольное количество начальных элементов последовательности u(n), , являющейся решением системы (u) = 0. Рекуррентная система (u) = 0, дополненная множеством линейных ограничений, которые также вычисляются алгоритмом EGs∞, имеет то же самое множество решений, что и R(u) = 0.
1.2. Случай усеченных систем
В нашем текущем исследовании мы занимаемся случаем, когда ряды в коэффициентах системы представлены в усеченном виде, возможно, с разной степенью усечения для разных рядов. Мы называем такие системы усеченными системами. Каждый усеченный ряд представляется как
(5)
где a(x) — полином, целое — степень усечения. Мы говорим, что в (5) члены ряда до степени t известны (или заданы), а при s > t — неизвестны (или не заданы).
Продолжение усеченного ряда — это ряд (возможно, также усеченный), начальные члены которого совпадают со всеми известными членами исходного усеченного ряда. В свою очередь, продолжение усеченного уравнения — это уравнение, коэффициенты которого являются продолжениями коэффициентов исходного уравнения, а продолжение системы уравнений — это система, уравнения которой являются продолжениями исходной системы.
Пример усеченной системы приведен на рис. 1, и пример одного из ее продолжений — на рис. 2. На рис. 2 выделены новые, по сравнению с системой на рис. 1, заданные члены.
Рассматриваемая нами задача состоит в том, чтобы для заданной системы (1), коэффициенты которой являются усеченными рядами вида (5), найти в компонентах yi(x) лорановых решений максимально возможное число начальных членов, инвариантных относительно любых продолжений этой системы. При этом будем интересоваться такими решениями, в которых хотя бы в одной компоненте есть хотя бы один ненулевой член.
Инвариантность членов усеченного решения y(x) означает, что множество лорановых решений (возможно, также усеченных) любого продолжения заданной системы будет содержать решение, начальные члены в компонентах которого совпадают со всеми членами в компонентах y(x). Максимальность же числа членов в решении y(x) означает, что продолжение хотя бы на одно слагаемое хотя бы одной компоненты решения приведет к нарушению инвариантности, т.е. будет существовать такое продолжение заданной системы, у которого нет решения, начальные члены в компонентах которого совпадают с таким продолжением решения.
Для системы на рис. 1 примером такого решения является вектор Множество всех решений этой системы можно записать с использованием произвольной постоянной:
(6)
где c может принимать любое числовое значение, кроме 0, поскольку при c = 0 мы получим вектор который формально можно назвать усечением нулевого ряда, но он не является его усечением с максимальным числом известных членов. В дальнейшем в этой работе под произвольными постоянными мы будем понимать, что они могут принимать любые такие численные значения, которые не меняют валюацию ни одной компоненты усеченного вектора, в который входят.
Так же, как в работе [3], для системы (1) множество W всех усеченных лорановых решений с максимальной степенью усечения будем представлять набором вектор-столбцов, компоненты которых являются усеченными лорановыми рядами с произвольными постоянными в коэффициентах. Каждый из столбцов имеет вид
где для , , коэффициент Cijn является линейной комбинацией произвольных постоянных, которые могут принимать все такие числовые значения, что Таким образом vij — валюация соответствующего ряда, qij — его степень усечения. Валюации компонент разных векторов в наборе различаются хотя бы для одной компоненты: для любых i1, i2 (i1 ≠ i2) выполняется . Т.е. множество W усеченных решений разбито на подмножества с различными комбинациями валюаций компонент. Для одних и тех же компонент разных векторов набора степень усечения может быть различной. Любому усеченному решению системы (1) соответствуют некоторые определенные значения произвольных постоянных в одном из векторов набора .
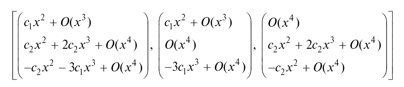
Для системы на рис. 2 множество всех усеченных лорановых решений выписано на рис. 3. При сравнении (6) и рис. 3 видим, что некоторые продолжения заданной системы могут иметь множества усеченных лорановых решений, для представления которых требуется использовать большее количество произвольных постоянных, чем требуется для представления множества усеченных решений исходной системы. В этом случае возможна ситуация, что некоторый инвариантный коэффициент найденного усеченного лоранового решения заданной системы совпадает с начальными членами усеченного решения некоторого продолжения заданной системы в том случае, когда дополнительная произвольная постоянная берется равной нулю, а при других значениях этой дополнительной произвольной постоянной этот коэффициент может иметь иное значение. Это также означает, что не любое усеченное решение продолжения заданной системы является продолжением усеченного решения заданной системы, несмотря на то, что любое усеченное решение заданной системы имеет продолжение среди решений любого продолжения заданной системы.
Рис. 3
В отличие от случая полностью заданных систем, для усеченных систем невозможно построить решения произвольной степени усечения. Это утверждение доказано в [4] для частного случая скалярных уравнений (m = 1). В [4] мы представили алгоритм, который находит лорановы решения для скалярных уравнений. Под лорановыми решениями усеченного уравнения и системы мы в дальнейшем понимаем усеченные лорановы решения с максимальным числом инвариантных членов. Мы использовали индуцированные рекуррентные системы и литералы как основу для нахождения этих решений. Литералы — символьные обозначения, используемые во время процесса построения решений, чтобы представить незаданные коэффициенты усеченных рядов, входящих в систему. Наш алгоритм для усеченных систем является модификацией алгоритма для систем с алгоритмически заданными коэффициентами. Основная идея — представить усеченный ряд (5) алгоритмически: алгоритм возвращает заданный коэффициент ряда для и возвращает литералы для s > t. Т.е. для системы (1) каждый элемент каждой матрицы () на пересечении i-й строки и j-го столбца () представляется в виде
(7)
где алгоритм Ξkij для целого s возвращает коэффициент усеченного ряда (Ak)ij(x), если s не превосходит степень усечения (Ak)ij(x), обозначим ее через tkij. Иначе, Ξkij возвращает литерал .
В [3] мы применили подход из [4] к системам с m > 1 и предложили алгоритм построения лорановых решений систем для случая, когда определитель ведущей матрицы индуцированной рекуррентной системы не равен нулю (то есть эта ведущая матрица невырождена) и не содержит литералы.
2. Расширение алгоритма
Представляемые в этой работе новые результаты в исследовании поиска лорановых решений рассматриваемых систем связаны с использованием алгоритма EGσ∞ с целью расширить применимость алгоритма из работы [3] на системы, индуцированные рекуррентные системы которых имеют вырожденные ведущие матрицы. Мы продолжаем адаптацию алгоритма для систем с алгоритмически заданными коэффициентами с помощью представления усеченных рядов в алгоритмически заданном виде с привлечением литералов. Предварительная версия этих результатов была представлена в работе [5].
2.1. Случай без проблемных литералов
Алгоритм EGσ∞ заключается в последовательном повторении шагов редукции и сдвига, продолжающемся до тех пор, пока строки ведущей матрицы остаются линейно зависимыми. На этапе редукции вычисляются коэффициенты этой зависимости; после этого уравнение, соответствующее одной из зависимых строк, заменяется линейной комбинацией уравнений, вследствие чего строка ведущей матрицы, соответствующая получившемуся новому уравнению, становится нулевой. На этапе сдвига к этому новому уравнению применяется оператор сдвига в результате чего элементы строки ведущей матрицы, соответствующей сдвинутому уравнению, приобретают новые значения. При том предположении, что система имеет полный ранг, завершимость работы алгоритма гарантируется при использовании простого правила выбора заменяемого уравнения. Во время редукции также пополняется конечный набор линейных ограничений, каждое из которых содержит конечное число элементов последовательности (решения рекуррентной системы) и является линейной комбинацией этих элементов с постоянными коэффициентами. Каждое линейное ограничение соответствует целому корню полинома, который является коэффициентом линейной зависимости строки ведущей матрицы, соответствующей заменяемому уравнению (далее мы называем этот полином полиномом ограничений).
Основное препятствие в использовании алгоритма EGσ∞ в случае усеченных систем в том, что в промежуточных вычислениях могут появиться проблемные литералы — литералы в проблемных местах, а именно в определителе ведущей матрицы или в полиномах ограничений, то есть в полиномах, у которых требуется находить все целые корни для дальнейших вычислений. Если после применения EGσ∞ литералов нет ни в определителе ведущей матрицы, ни в полиномах ограничений, то последующие вычисления с помощью полученной охватывающей рекуррентной системы, дополненной линейными ограничениями, аналогичные вычислениям в алгоритме из работы [3], дают все лорановы решения исходной дифференциальной системы, в чем и заключается предлагаемая расширенная версия алгоритма для этого случая без проблемных литералов.
Рассмотрим следующую систему:
(8)
Ведущая матрица ее индуцированной рекуррентной системы вырождена:
— литерал, обозначающий незаданный коэффициент при x 0 в (1,1)-м элементе матричного коэффициента A0(x) системы (8). После применения EGσ∞ преобразованная ведущая матрица охватывающей системы становится невырожденной:
и ее определитель (–n–1) не содержит литералы. Применение EGσ∞ не привело к построению дополнительных линейных ограничений, соответственно, отсутствуют полиномы ограничений с литералами. Это случай, когда применим наш новый алгоритм и он строит все лорановы решения (c — произвольная постоянная):
2.2. Проблемные литералы
Рассмотрим другую систему:
(9)
Ведущая матрица ее индуцированной рекуррентной системы невырождена:
Однако, ее определитель содержит литерал. Видно, что определитель имеет корни –2 и Это означает, что множество целых корней этого определителя может быть различно для различных целых значений литерала Легко проверить, что не существует лорановых решений этой системы. Это можно сделать, построив различные продолжения исходной системы, подставив различные значения литерала и затем найдя лорановы решения этих продолжений с помощью нашего алгоритма из работы [3] (этот алгоритм применим к этим продолжениям, поскольку ведущие матрицы индуцированных рекуррентных систем для каждого из этих продолжений будут по прежнему невырожденными и не будут содержать литералы в их определителях). Например, для решением продолжения будет
а для решением продолжения будет
Поскольку решения продолжений не имеют совпадающих начальных членов, то не существует лоранового решения исходной системы.
Согласно (3) и (7), для каждого коэффициента B–s(n) (s = 0, 1, ...) индуцированной системы (4) его элементы на пересечении i-й строки и j-го столбца (i, j = 1, ..., m) имеют вид
т.е. (B–s)ij(n) — полином от n, коэффициенты которого являются полиномами от литералов. Определитель ведущей матрицы индуцированной системы (4) также является полиномом от n и литералов. Если он равен нулю, то применяем редукции в алгоритме EGσ∞ таким образом, чтобы в охватывающей системе (u) = 0 все элементы всех коэффициентов –s(n) оставались полиномами от литералов.
Пусть p(n) является определителем ведущей матрицы (либо индуцированной рекуррентной системы, если ее ведущая матрица невырожденная, либо охватывающей рекуррентной системы после применения EGσ∞ в противном случае). Если p(n) содержит литералы, то в общем случае он может быть представлен в виде
(10)
где — литералы, входящие в p(n); не зависит от n и имеет максимально возможную для p(n) степень; — полином от n, независящий от литералов, также максимально возможной для p(n) степени; — полином от n с коэффициентами, полиномиально зависящими от литералов. Если существенно зависит от литералов (то есть не является числом), то существуют такие числовые значения что и, следовательно, p(n) = 0 для любого n, то есть ведущая матрица для этих значений литералов является вырожденной. Если не является числом, то решение алгебраического уравнения относительно позволяет получить такие числовые значения , что имеет корень N для любого N, кроме не более чем конечного числа значений, при которых не зависит от литералов. Это означает, что в любом случае множество корней p(n) не инвариантно по отношению к продолжениям заданной дифференциальной системы. Также это рассуждение показывает, что во всех случаях можно подобрать такие значения литералов, что максимальный целый корень определяющего уравнения равен любому достаточно большому заданному целому числу N. Аналогичное рассуждение применимо и для полиномов ограничений.
Система (9) является примером такого случая при том, что алгоритм EGσ∞ не применяется — для любого продолжения исходной системы индуцированная система имеет невырожденную ведущую матрицу. Верно следующее
Предложение. Пусть дана усеченная система (1) такая, что определитель ведущей матрицы ее индуцированной системы (4) зависит от литералов. Пусть имеет такое представление (10), что не является числом. Тогда система (1) не имеет лорановых решений.
Доказательство. Как сказано выше, при выполнении условий предложения для любого достаточно большого целого N существуют числовые значения такие, что максимальный целый корень полинома равен N.
Заметим, что присвоение числовых значений литералам — , , — соответствует новой системе с усеченными коэффициентами, которая является продолжением исходной системы. При этом определяющее уравнение новой системы — — не зависит от литералов. Построение лорановых решений для таких систем рассмотрено в [3]. В частности, там показано, что если ведущая матрица индуцированной системы невырождена и определяющее уравнение не зависит от литералов, то
- система имеет лорановы решения с валюацией v, только если v является целым корнем определяющего уравнения;
- система имеет по крайней мере лорановы решения с валюацией, равной максимальному целому корню определяющего уравнения.
Рассмотрим сначала случай, когда в разложении (10) множитель p2(n) не имеет целых корней, т.е. не существует целого v такого, что при любых значениях литералов. Т.е. как полином от n с коэффициентами, полиномиально зависящими от литералов, не имеет целых корней. Тогда существуют числовые значения такие, что полином не имеет целых корней. В этом случае по определению исходная система (1) не имеет лорановых решений, поскольку у нее есть как продолжения, соответствующие значениям , имеющие лорановы решения любой достаточно большой валюации, так и продолжения, соответствующие значениям , лорановых решений не имеющие.
Пусть теперь p2(n) имеет целые корни. Покажем, что для любого такого, что система (1) не имеет лорановых решений с валюацией v.
Система (1) имеет решение вида (2) с валюацией v, только если система
(11)
алгебраических уравнений относительно неизвестных , , , , , для любого имеет такое решение, что вектор , — ненулевой.
Обозначим через tmax максимальное значение всех степеней усечения коэффициентов системы (1). Выберем числа так, чтобы максимальный целый корень полинома стал равен Рассмотрим систему (11) для соответствующей подстановки системы-продолжения.
Поскольку получаем, что каждый элемент матрицы на пересечении i-й строки и j-го столбца равен
т.е. каждый элемент матрицы зависит от литералов (, если , и k = 0, иначе). Все остальные слагаемые в (11) — — именно от этих литералов не зависят, т.е. возможно и зависят от литералов, но таких, что их четвертый индекс меньше, чем N – v. Если вектор u(v) ненулевой, то — это вектор, каждый элемент которого содержит литералы причем i-й элемент зависит только от литералов с первым индексом i. Т.е. каждый элемент этого вектора зависит от тех литералов, от которых другие элементы вектора не зависят. Это верно и про вектор Тогда последняя строка в (11) может быть переписана в виде , где — вырожденная матрица по выбору и V — вектор, все элементы которого — линейно независимые над полем чисел полиномы от литералов. Можно подобрать такие значения для литералов, входящих в V, что система окажется несовместной, если u(v) — ненулевой вектор. Следовательно, построенное для исходной системы продолжение не имеет лорановых решений с валюацией v, откуда по определению следует, что исходная система не имеет лорановых решений с валюацией v, из чего следует утверждение предложения.
2.3. Вариативность EGσ∞
Алгоритм EGσ∞ может иметь вариативность в выполнении. Несмотря на то, что для выбора заменяемого уравнения нужно использовать специальное правило, чтобы гарантировать завершимость работы алгоритма, все равно может быть более одного варианта для выбора уравнения, которое будет заменено на шаге редукции. Это приводит к тому, что для одной и той же рекуррентной системы применение алгоритма EGσ∞ может строить разные охватывающие системы. Например, для системы (8) применение EGσ∞ может быть выполнено иным способом, которым строится охватывающая система с другой ведущей матрицей:
определитель которой равен и содержит литерал Легко видеть, что этот определитель очень похож на определитель ведущей матрицы индуцированной рекуррентной системы для системы (9), которая не имеет лорановых решений. Этот второй вариант выполнения алгоритма EGσ∞ дополнительно строит полином ограничений , который также содержит этот литерал. При этом, из первого варианта выполнения алгоритма EGσ∞ мы знаем, что система (8) имеет лорановы решения. Это дает нам контр-пример к возможной гипотезе, что лорановых решений не существует всегда, когда определитель ведущей матрицы и/или полиномы ограничений содержат литералы после применения EGσ∞. Таким образом и в случае проблемных литералов возможно существование усеченных лорановых решений, причем этот случай может возникать или не возникать в зависимости от варианта вычисления в ходе применения алгоритма EGσ∞.
2.4. Экспериментальная версия алгоритма для случая проблемных литералов
Мы разработали экспериментальную версию нашего алгоритма для случая, когда определяющее уравнение и/или полиномы ограничений содержат литералы. Эта версия принимает во внимание только инвариантные целые корни определяющего уравнения и полиномов ограничений (то есть корней, которые не зависят от литералов). Дополнительно, по сравнению с вариантом алгоритма из работы [3], внесено еще несколько модификаций в процедуру вычисления решения индуцированной системы (или охватывающей индуцированной системы) и дополнительных линейных ограничений при их наличии:
- Формирование U-ограничений. Как и в работе [3], вычисления с помощью индуцированной (или ее охватывающей) рекуррентной системы проводятся, начиная с наименьшего целого корня определяющего уравнения, подставляя соответствующее n в рекуррентную систему и далее последовательно увеличивая значения n. Для каждого значения n из каждого уравнения рекуррентной системы выражаются еще невычисленные коэффициенты компонент решения через другие коэффициенты компонент решения, и некоторые из них в итоге останутся невычисленными и станут произвольными постоянными. Аналогично учитываются и линейные ограничения, если они есть. U-ограничения содержат пары [a,b] из возникающих в ходе таких вычислений выражений вида a + bs = 0 (такое выражение — либо некоторое уравнение рекуррентной системы, либо конкретное линейное ограничение), где s — еще не вычисленный коэффициент какой-то компоненты решения в промежуточных вычислениях, b — коэффициент при s, возможно, содержащий литералы, a — линейная комбинация отличных от s еще не вычисленных коэффициентов компонент решений рекуррентной системы в промежуточных вычислениях, также, возможно, содержащая литералы. Пара [a,b] добавляется в U-ограничение, если b содержит литералы. Ранее в работе [3] в этом случае не производилось выражение коэффициента s = -a/b, а в новой экспериментальной версии это делается, но при этом добавляется новая пара в [a,b] в U-ограничения. Например, пусть в ходе вычислений возникло соотношение
где ui(n) — i-я компонента вектора u(n). В качестве s выбирается u1(2), и в U-ограничения добавляется пара .
- Освобождение от деления на выражение с литералами. Если после вычисления с помощью рекуррентной системы и линейных ограничений оказывается, что произвольная постоянная в вычисленном решении делится на выражение с литералами (например, c/(d(U)), где d(U) — полином от литералов), то она меняется на произвольную постоянную без такого деления (c′ = c/(d(U))).
- Проверка соответствия U-ограничениям. Далее в ранее сформированные U-ограничения в парах [a,b] делается замена входящих в них коэффициентов решений, которые были еще не вычисленными на момент формирования пар U-ограничений, на их уже вычисленные значения. Затем для каждой пары [a,b] из получившегося соотношения b = 0 выражаются литералы и они подставляются в a, и если при этом получается a = 0, значит, данная пара инвариантна относительно любых продолжений исходной дифференциальной системы (так как, и при значениях литералов, при которых b = 0, соотношение a + bs = 0 всегда выполнено). Если же a ≠ 0, то уравнение a = 0 добавляется в систему алгебраических уравнений относительно произвольных постоянных, и далее эта система решается, в результате чего часть произвольных постоянных получает выражение через другие произвольные постоянные или обнуляется, что в итоге приводит к формированию итогового ответа, инвариантного относительно продолжений исходной усеченной дифференциальной системы.
Эксперименты показали, что такая версия алгоритма дает верные ответы для системы (8) при любых вариациях выполнения алгоритма EGσ∞ и для системы (9), а также для ряда других тестовых систем. Системы, для которых эта версиях давала бы неверные решения, в экспериментах не были обнаружены. В дальнейших исследованиях мы планируем либо доказать, что этот подход всегда корректен, либо идентифицировать ограничения его применимости.
3. Реализация и примеры использования
Реализация новой версии алгоритма для случая без проблемных литералов и экспериментальной версии для случая проблемных литералов, выполнена в среде системы компьютерной алгебры Maple 20231 ([6]) в виде обновленной версии процедуры LaurentSolution пакета TruncatedSeries [7, 8] (можно посетить веб-страницу http://www.ccas.ru/ca/TruncatedSeries
для получения библиотеки с новой версией процедуры, примеров ее использования и другой дополнительной информации о пакете). Предыдущая версия процедуры реализовывала алгоритм для случая, когда ведущая матрица индуцированной рекуррентной системы была невырожденной и ее определитель не содержал литералы, и была представлена в работе [3]. Новая версия использует те же самые аргументы и формат результата.
Первый обязательный аргумент процедуры — система уравнений вида (1), записанная аналогично математической записи: применение θk к вектор-столбцу неизвестных y(x) записывается как theta(y(x),x,k), матричные коэффициенты задаются в виде стандартной структуры Matrix с элементами в виде выражений , где — полином степени не выше t над полем алгебраических чисел, умножение матрицы на столбец задается с помощью точки, как это принято в среде Maple. Второй обязательный аргумент — имя, обозначающее вектор-столбец неизвестных, например, y(x). Результат работы процедуры — множество усеченных лорановых решений, представленное в виде списка вектор-столбцов из набора : каждый вектор-столбец представлен списком компонент, каждый элемент этого списка имеет вид Cv xv + Cv+1xv+1 + ... + Cq xq + + O(x q+1), где v — валюация данной компоненты, q — степень усечения, Cn — вычисленные коэффициенты лоранова ряда, которые являются линейными комбинациями произвольных постоянных вида _c1, _c2, ... Если в качестве результата выдается пустое множество, значит, лорановых решений не существует ни при каком продолжении заданной системы (определитель ведущей матрицы индуцированной системы не имеет целых корней). Если результат выдается в виде константы FAIL, то значит исходная система не имеет лорановых решений, хотя некоторые ее продолжения могут иметь такие решения.
Дополнительно нами была реализована вспомогательная процедура Substitute, которая принимает на вход решение (или предполагаемое решение) системы в том виде, в котором выдается результат процедуры LaurentSolution, а также систему и имя, обозначающее вектор-столбец неизвестных в системе (аналогично аргументам процедуры LaurentSolution). Процедура подставляет в систему каждый из вектор-столбцов из набора в решении и выдает результаты подстановки в виде усеченных рядов. Также в качестве первого аргумента возможна передача не набора а только одного из векторов.
Приведем примеры вычисления лорановых решений усеченных систем в системе Maple 2023. Систему (8) задаем следующим образом:
Получаем лорановы решения:
Применим процедуру Substitute к найденному решению:
Изменим компоненты найденного усеченного решения
и подставим в ту же систему:
Видим, что усеченные ряды результата подстановки имеют ненулевые члены, что означает, что этот вектор не является решением системы.
Зададим систему (9):
Ответ FAIL означает, что система не имеет лорановых решений:
Продолжения системы S2, которые имеют решения с разными началами:
Благодарности
Авторы благодарны С.А. Абрамову за полезные обсуждения рассматриваемой задачи и представленных результатов.
1 Работоспособность проверена также в версиях Maple 2022 и Maple 2021, в более ранних версиях работоспособность также возможна, но не проверялась и не гарантируется.
Авторлар туралы
А. Ryabenko
Federal Research Center «Computer Science and Control» of Russian Academy of Sciences
							Хат алмасуға жауапты Автор.
							Email: anna.ryabenko@gmail.com
				                					                																			                												                	Ресей, 							ul. Vavilova 40, Moscow, 119333						
D. Khmelnov
Federal Research Center «Computer Science and Control» of Russian Academy of Sciences
														Email: dennis_khmelnov@mail.ru
				                					                																			                												                	Ресей, 							ul. Vavilova 40, Moscow, 119333						
Әдебиет тізімі
- Abramov S.A., Barkatou M.A., Khmelnov D.E. On full rank differential systems with power series coefficients // J. Symbolic Comput. 2015. V. 68. P. 120–137.
- Abramov S.A. EG-eliminations // J. Difference Equations Appl. 1999. V. 5. P. 393–433.
- Абрамов С.А., Рябенко А.А., Хмельнов Д.Е. Поиск лорановых решений систем линейных дифференциальных уравнений с усеченными степенными рядами в роли коэффициентов // Программирование. 2023. № 5. С. 35–46.
- Абрамов С.А., Рябенко А.А., Хмельнов Д.Е. Линейные обыкновенные дифференциальные уравнения и усеченные ряды // Ж. вычисл. матем. и матем. физ. 2019. Т. 59. № 10. С. 1706–1717.
- Khmelnov D.E., Ryabenko A.A. Algorithm EG as a tool for finding Laurent solutions of linear differential systems with truncated series coefficients // Компьютерная алгебра: материалы 5-й международной конференции. Москва, 26–28 июня 2023 г./ отв. ред. С.А. Абрамов, А.Б. Батхин, Л.А. Севастьянов. Москва: ИПМ им. М.В. Келдыша, 2023. C. 92–96.
- Maple online help. http://www.maplesoft.com/support/help/
- Абрамов С.А., Рябенко А.А., Хмельнов Д.Е. Процедуры поиска усеченных решений линейных дифференциальных уравнений с бесконечными и усеченными степенными рядами в роли коэффициентов // Программирование. 2021. № 2. С. 56–65.
- Абрамов С.А., Рябенко А.А., Хмельнов Д.Е. Процедуры поиска усеченных решений линейных дифференциальных уравнений с бесконечными и усеченными степенными рядами в роли коэффициентов // Программирование. 2021. № 2. С. 56–65.
Қосымша файлдар
 
				
			 
						 
					 
						 
						 
						 
									
 
  
  
  Мақаланы E-mail арқылы жіберу
			Мақаланы E-mail арқылы жіберу 












