Influence of Unequilateral Apertures of the "Trunced Pyramid" and "Double Pyramid" Laplacian Digital Filters on the Accuracy of Television Measuring Systems
- Authors: Rylov K.A.1, Kupriyanova K.S.1, Kamensky A.V.1
- 
							Affiliations: 
							- Tomsk State University of Control Systems and Radioelectronics
 
- Issue: No 3 (2024)
- Pages: 21-32
- Section: COMPUTER GRAFICS AND VISUALIZATION
- URL: https://journal-vniispk.ru/0132-3474/article/view/271638
- DOI: https://doi.org/10.31857/S0132347424030033
- EDN: https://elibrary.ru/QATTKZ
- ID: 271638
Cite item
Full Text
Abstract
In the modern world, digital image processing requires increasing the speed of the processing methods and algorithms used. One way to improve performance is to transform spatial filters into filters with a recursively separable form of implementation. The recursion property implies the use of previous output values of a function to form the current sample. The property of separability is understood as division into processing by column and row of a matrix of digital image values. The transformation of spatial filters consists of changing the aperture of the masks into a non-orthogonal (non-equilateral) form, which reduces the number of computational operations and speeds up the processing process, while maintaining its efficiency. The paper presents a description of the non-equilateral apertures of the previously developed “truncated pyramid” and “double pyramid”Laplacian digital filters. For non-equilateral apertures, results were obtained for the first time on their use for television measuring systems. From which it can be seen that a “truncated pyramid” Laplacian filter with non-equilateral processing apertures is recommended for use in TIS, since it increases the efficiency of measuring the range to objects of interest while reducing processing time. Based on the results of processing with modified filters, sets of processed images were obtained for each of the 10 original images. For each set of processed images, measurements of the peak signal-to-noise ratio, standard deviation and selection of the optimal central coefficient of the filter mask were carried out, for subsequent assessment of the effectiveness of processing with modified filters. The assessment of the influence of recursively separable “truncated pyramid” and “double pyramid” Laplacian filters with non-equilateral aperture masks on the accuracy of television measurement systems consisted of considering their influence on measuring the distance (from the camera) to the object of interest in the image, when – control of processing time. Based on the evaluation results, we can conclude that by using pre-processing of images with modified digital filters, the accuracy of measuring the distance from the camera to the measurement object is improved, while reducing processing time.
Full Text
- ВВЕДЕНИЕ
В связи с быстрым развитием компьютерных технологий и широким внедрением видеоинформационных технологий усовершенствование способов и методов обработки изображений является весьма актуальной задачей.
Примером таких технологий являются телевизионные измерительные системы (ТИС), которые нашли достаточно широкое применение в устройствах наблюдения, ориентации, навигации, системах технического зрения роботов, в медицине и других областях [1]. ТИС предназначены для дистанционного автоматического контроля за состоянием пространства в угле поля зрения телевизионных датчиков, для измерения параметров совокупности объектов, находящихся в контролируемом пространстве, и при необходимости для управления состоянием и взаимодействием этих объектов [2].
Классические алгоритмы фильтрации изображений осуществляются (производятся) с помощью операции двумерной дискретной свертки, которая представляет собой сумму произведений значений пикселов изображения и значений маски фильтра. Данный метод фильтрации известен как пространственная фильтрация [3, 4]. При использовании фильтров больших размеров такой способ требует большого числа вычислений, так как функцию свертки необходимо вычислить для каждого пиксела изображения.
Для улучшения классических алгоритмов цифровых фильтров в данной работе применяются свойства рекурсии и сепарабельности. Под свойством рекурсии понимается использование предыдущих выходных значений функции свертки для формирования текущего отсчета. Свойство сепарабельности позволяет реализовать разделение на обработку по столбцу и по строке матрицы значений входного изображения [5].
Рекурсивно-сепарабельные фильтры – “масочные” фильтры, так как для обработки используются маски, представленные в виде двумерных матриц. Примером таких фильтров является фильтр лапласиан “усеченная пирамида” (ЛУП) и фильтр лапласиан “двойная пирамида” (ЛДП) [6]. Применение данных фильтров позволяет сократить количество вычислительных операций, тем самым ускоряя процесс фильтрации.
Целью работы является оценка влияния модифицированных цифровых фильтров с масками неравносторонней апертуры на быстродействие работы алгоритма предобработки цифровых изображений, формируемых ТИС и влияния на точность определения расстояния до объекта в поле зрения ТИС.
Для достижения поставленной цели необходима программная реализация неравносторонних апертуры цифровых фильтров ЛУП и ЛДП. Для оценки быстродействия необходимо сравнить скорость выполнения операций в фильтрах равносторонней и неравносторонней апертуры на ряде тестовых изображений. Для оценки влияния фильтров на точность работы ТИС необходимо после обработки преобразованными фильтрами измерить расстояние до объектов интереса на тестовых изображениях.
- РАЗРАБОТКА НЕРАВНОСТОРОННИХ АПЕРТУР ЦИФРОВЫХ ФИЛЬТРОВ ЛУП И ЛДП
Разработка неравносторонних апертур рекурсивно-сепарабельных фильтров заключается в преобразовании их равносторонней формы в неравностороннюю [7]. Данное преобразование осуществляется путем расчета и изменения значений коэффициентов кадровых и строчных рециркуляторов. При условии: форма преобразованного фильтра должна быть схожа с изначальным трехмерным видом исходной матрицы 7 × 7 элементов. Рециркуляторами называют образующие рекурсивные ячейки, которые соответствуют обработке по строке (СР) и по кадру (КР) матрицы входного изображения, а заданные в них значения служат для формирования размера требуемой маски.
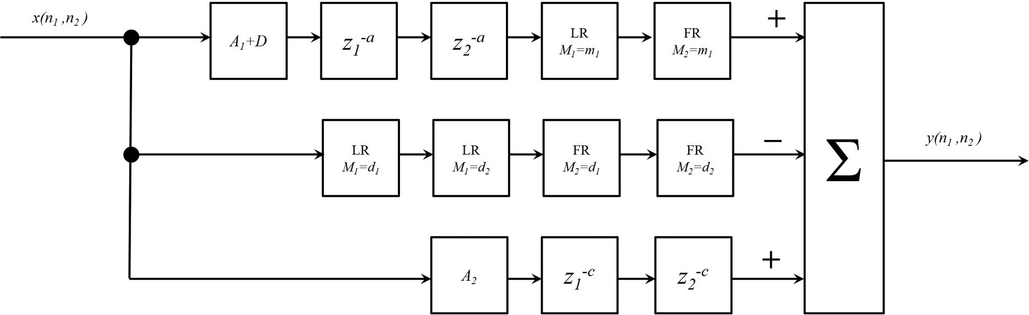
Структурная схема цифрового фильтра ЛУП [8], формирующая маски равносторонней формы, представлена на рис. 1, где x(n1, n2) – входная информация; y(n1, n2) – выходная информация; D – дополнительный параметр для маски свертки; a – дополнительный параметр сдвига маски; m1 – коэффициент строчных и кадровых рециркуляторов для дополнительной маски; d1 и d2 – параметры строчного и кадрового рециркулятора для основной маски; c – коэффициент смещения маски увеличения центрального элемента; A1 – коэффициент подъема центральной апертуры финальной маски; A2 – коэффициент увеличения центрального элемента; LR – строчный рециркулятор; FR – кадровый рециркулятор; z – элемент задержки.
Рис. 1. Структурная схема ЛУП
Данная структурная схема состоит из трех ветвей. В первой ветви фильтра формируется маска размером m1 × m1 элемента, которая необходима для создания области положительных элементов (при наличии окаймления в виде отрицательных элементов) внутри основной маски, это осуществляется для нормализации яркости обработанного изображения. Вторая ветвь фильтра формирует основную маску фильтра размерностью d1 × d2 элементов, которая подается на сумматор с отрицательным знаком. Третья ветвь используется для добавления к итоговой апертуре дополнительного коэффициента фильтрации (A2). Далее происходит суммирование полученных масок первой и второй ветвей фильтра, и за счет полученной отрицательной основной маски происходит вычитание первой положительной маски, в результате чего на выходе получается итоговая маска фильтра размерностью d1 × d2 элементов, эквивалентная обработанному изображению.
Для формирования маски неравносторонней формы, размерностью 7 × 5 элементов, изменялись размеры СР и КР. Для маски апертуры 7 × 5 элементов в структурной схеме задается начальный дополнительный коэффициент 16.67. Данный коэффициент вводится для корректного соотношения сумм внутренней и внешней частей итоговой матрицы, его вычисление производится из условия равенства нулю суммы этих частей маски фильтра. После этого, в соответствии со структурной схемой, происходит перемножение коэффициентов рециркуляторов, где в первой ветви фильтра используются строчный рециркулятор с коэффициентом 3 и кадровый рециркулятор с коэффициентом 3, во второй ветви фильтра используются два строчных рециркулятора с коэффициентами 5 и 3 и два кадровых рециркулятора с коэффициентами 4 и 2. Подробный алгоритм работы фильтров описан в ранее опубликованной работе [9].
Для фильтра ЛДП формирование маски неравносторонней формы размерностью 7 × 5 элементов происходит аналогичным образом, как и в случае фильтра ЛУП. Структурная схема цифрового фильтра ЛДП, формирующего маски любой размерности, представлена на рис. 2, где x(n1, n2) – входная информация; y(n1, n2) – выходная информация; D – дополнительный параметр для маски свертки; a – дополнительный параметр сдвига маски; m1 – параметр строчных и кадровых рециркуляторов для дополнительной маски; d1 и d2 – параметы строчного и кадрового рециркулятора для основной маски; c – коэффициент смещения для маски увеличения центрального элемента; A1 – коэффициент возвышения центральной апертуры; A2 – коэффициент увеличения центрального элемента.
Рис. 2. Структурная схема ЛДП
В ходе преобразования масок для каждого фильтра в неравностороннюю форму были получены значения начального добавочного коэффициента и значения коэффициентов СР и КР, представленные в табл. 1.
Таблица 1. Значения коэффициентов рециркуляторов для фильтров ЛУП и ЛДП
| Фильтр ЛУП | |||||
| 1-я ветвь фильтра | 2-я ветвь фильтра | ||||
| Размер маски | Дополнительный параметр D | Коэфф-ты СР и КР | Коэфф-ты СР | Коэфф-ты КР | |
| 7 × 7 | 25 | 3 и 3 | 5 и 3 | 5 и 3 | |
| 7 × 5 | 16.67 | 3 и 3 | 5 и 3 | 4 и 2 | |
| 7 × 3 | 20 | 3 и 0 | 5 и 3 | 2 и 2 | |
| Фильтр ЛДП | |||||
| 1-я ветвь фильтра | 2-я ветвь фильтра | ||||
| Размер маски | Дополнительный параметр D | Коэфф-ты СР | Коэфф-ты КР | Коэфф-ты СР | Коэфф-ты КР | 
| 7 × 7 | 14 | 2 и 2 | 2 и 2 | 5 и 3 | 5 и 3 | 
| 7 × 5 | 9.375 | 2 и 2 | 2 и 2 | 5 и 3 | 4 и 2 | 
| 7 × 3 | 15 | 2 и 2 | 0 и 0 | 5 и 3 | 2 и 2 | 
Полученные итоговые маски цифровых рекурсивно-сепарабельных фильтров ЛУП и ЛДП размерностью 7 × 5 элементов показаны на рис. 3 и 4.
Рис. 3. Маска 7 × 5 фильтра ЛУП
Рис. 4. Маска 7 × 5 фильтра ЛДП
В результате впервые были получены неравносторонние апертуры фильтров ЛУП и ЛДП для разработанных ранее рекурсивно-сепарабельных фильтров. Следует отметить, что благодаря этим результатам стала возможна модификация алгоритмов построения фильтров ЛУП и ЛДП, вследствие чего их алгоритмы стали способны автоматически строить неравносторонние апертуры.
2.1. Программная реализация алгоритма обработки фильтров ЛУП и ЛДП
Реализация алгоритма обработки фильтрами ЛУП и ЛДП заключается в последовательном и параллельном применении цепочек СР и КР.
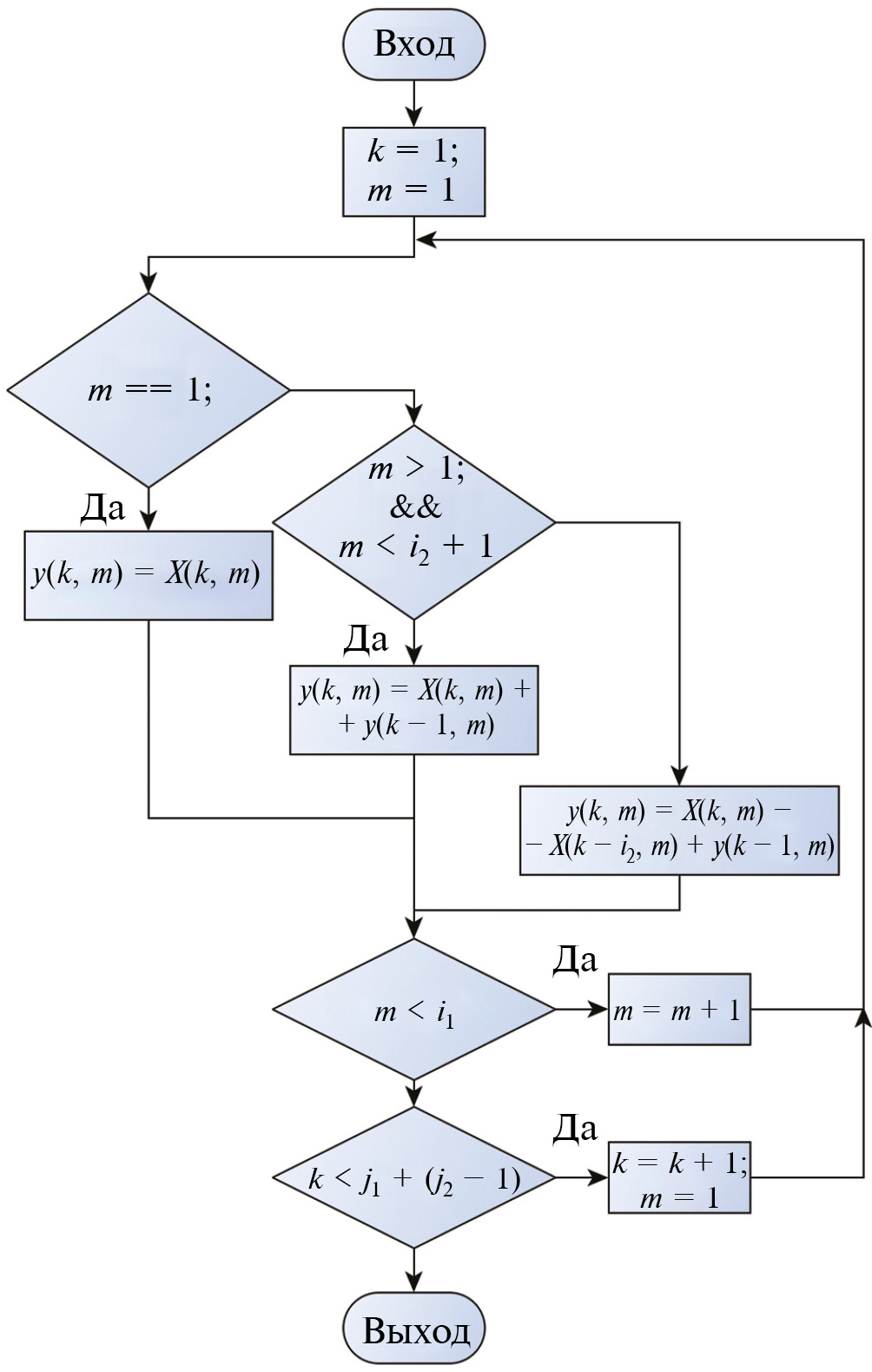
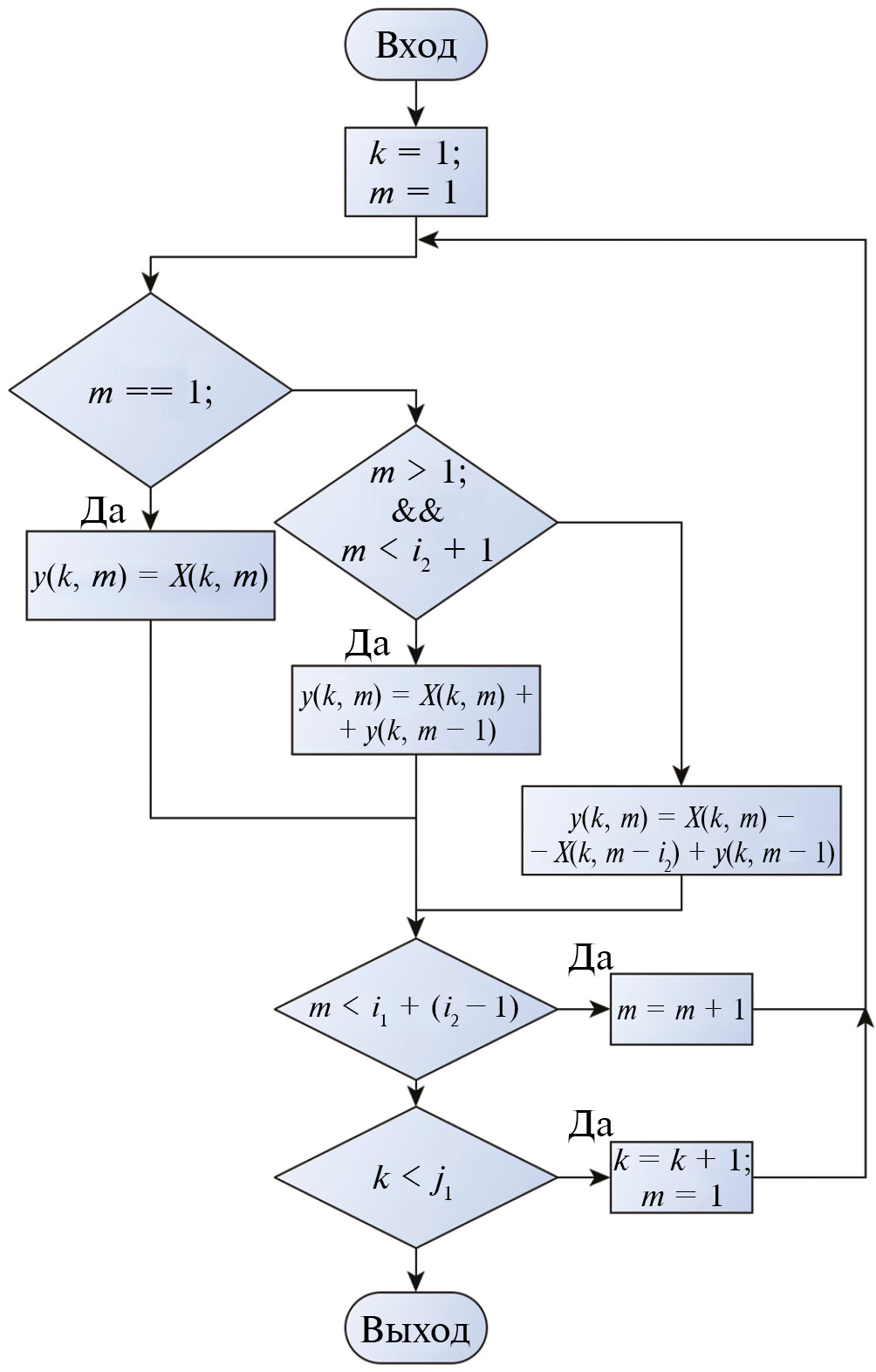
СР и КР, как уже указанно выше, это базовые элементы рекурсивно-сепарабельных фильтров. Алгоритм работы рециркуляторов основан на вложенных циклах (по ширине и по высоте изображения). Алгоритмы работы СР и КР представлены в виде блок-схем на рис. 5 и 6.
Рис. 5. Алгоритм работы СР
Рис. 6. Алгоритм работы КР
В блок-схемах алгоритмов используются следующие обозначения: k – позиция текущего элемента по горизонтали; m – позиция текущего элемента по вертикали; i1 – общее количество элементов по горизонтали во входной матрице; i2 – общее количество элементов по горизонтали в выходной матрице; j1 – общее количество элементов по вертикали во входной матрице; j2 – общее количество элементов по вертикали в выходной матрице; X(k, m) – входная матрица; y(k, m) – выходная матрица.
Параллельное включение последовательных цепочек рециркуляторов с изменяющимися коэффициентами СР и КР приводит к реализации конфигурации разработанных фильтров.
- ОЦЕНКА ВЛИЯНИЯ ЦИФРОВЫХ ФИЛЬТРОВ ЛУП И ЛДП НА РАБОТУ ТИС
Для проведения оценки влияния рекурсивно-сепарабельных цифровых фильтров на точность работы ТИС было взято 10 специальных изображений, отснятых на полигоне. Каждое изображение формировалось при определенных параметрах ТИС, которые позволяли ей видеть объекты интереса на определенных расстояниях.
Полигон для испытаний ТИС представляет собой неровный участок местности, на котором были расположены опознавательные знаки (опорные точки) (рис. 7).
Рис. 7. Вид полигона с места расположения ТИС
Часть полученных изображений представлена на рис. 8.
Рис. 8. Тестовые изображения: а) ТИ № 1 Транспарант-1; б) ТИ № 2 Транспарант-3; в) ТИ № 3 Транспарант-2
3.1. Оценка быстродействия работы алгоритмов цифровых фильтров ЛУП и ЛДП
Рекурсивно-сепарабельный метод обработки изображений позволяет сократить количество вычислительных операций относительно стандартного метода двумерной свертки, тем самым он ускоряет процесс фильтрации.
Для определения ускорения работы фильтров важен размер исходных изображений, подвергаемых фильтрации. Изображения, полученные с ТИС, используемые для эксперимента, имеют размер 1032 × 772 пиксела. Скорость выполнения алгоритмов, реализующих фильтры, зависит от конфигурации (значений размеров рециркуляторов, представленных в табл. 1) и структуры фильтров (см. рис. 1 и 2). Результат ускорения работы фильтров с применением неравносторонних апертур приведен в табл. 2. Представленные результаты получены путем усреднения измерений времени работы алгоритмов для 10 изображений.
Таблица 2. Время работы и ускорение фильтров ЛУП и ЛДП
| Размер апертуры | ЛУП | ЛДП | ||
| Время, мс | Ускорение, раз | Время, мс | Ускорение, раз | |
| 7 × 7 | 29.94 | — | 39.82 | — | 
| 7 × 5 | 21.40 | 1.4 | 28.46 | 1.4 | 
| 7 × 3 | 12.44 | 2.4 | 16.54 | 2.4 | 
Измерения скорости работы алгоритмов фильтров ЛУП и ЛДП проводились на платформе (процессоре) Core i5–9600K, 3.7 ГГц под управлением операционной системы Windows 10.
Подробное описание влияния неравносторонних апертур на характеристики цифровых фильтров ЛУП и ЛДП дано в ранее проделанной и опубликованной работе [10].
3.2. Оценка эффективности обработки модифицированными фильтрами ЛУП и ЛДП
Для оценки эффективности обработки для каждой маски фильтра производилось изменение положительной части матрицы значений путем ее пошагового увеличения за счет добавления дополнительных коэффициентов [11]. Увеличение происходит за счет добавления коэффициента поднятия от 0 до 10 к исходному значению положительной части маски. Результатом оценки эффективности обработки изображения будет минимальное отклонение полученных измерений дальности расположения тестовых объектов от эталонного измерения, выполненного лазерным дальномером. По полученным результатам будут определены оптимальные коэффициенты фильтрации. В ранее опубликованных материалах оптимальный коэффициент выбирался на основе измерения разрешения обработанных изображений [10]. В результате работы фильтров с измененными масками были получены наборы изображений.
Для каждого изображения были проведены измерения среднеквадратического отклонения (СКО), пикового отношения сигнал/шум (ПОСШ). Формулы, используемые для расчета характеристик, приведены ниже:
,
где xij – текущий отсчет входного изображения; yij – текущий отсчет выходного изображения; N1, N2 – ширина и высота изображения;
,
где MAX – максимальная яркость изображения; σ – среднеквадратическое отклонение.
В итоге были получены результаты оценки изменения СКО и ПОСШ для 10 тестовых изображений, обработанных фильтрами ЛДП и ЛУП с различными размерами апертуры (7 × 3, 7 × 5, 7 × 7), при изменении коэффициента обработки от 1 до 10. Получено большое количество результатов (132 измерения для 1-го тестового изображения). Приведем ряд закономерностей из них, которые наблюдались в полученных результатах:
- при обработке фильтрами с апертурами 7 × 3 и 7 × 7 элементов наблюдается стабильный рост ПОСШ с ростом значений коэффициентов обработки, что свидетельствует о снижении шума, также значения СКО постепенно стремятся к нулю, что говорит о наличии изменений, вносимых после обработки;
- при обработке фильтрами с апертурой 7 × 5 элементов наблюдается подъем ПОСШ при первых 2–3 изменениях коэффициента фильтрации, однако далее с его ростом происходит снижение ПОСШ, при этом значение СКО при всех измерениях колебалось в диапазоне от 0.01 до 0.1.
В табл. 3 представлены результаты измерения ПОСШ для одного из тестовых изображений, обработанных фильтром ЛДП с разными размерами апертуры обработки, подтверждающие сформулированные выше выводы.
Таблица 3. Результаты измерения ПОСШ при обработке фильтром ЛДП
| Размер апертуры фильтра | |||
| Результат измерения ПОСШ | 7 × 3 | 7 × 5 | 7 × 7 | 
| 47.0431 | 77.0365 | 39.1443 | |
| 42.6313 | 81.1998 | 38.1657 | |
| 46.0926 | 78.5284 | 41.5324 | |
| 48.9906 | 78.4868 | 43.9070 | |
| 50.2213 | 76.3267 | 45.3991 | |
| 52.4076 | 79.2550 | 46.9840 | |
| 52.8337 | 76.5747 | 47.9170 | |
| 55.0987 | 77.7039 | 49.2083 | |
| 55.1801 | 76.1263 | 49.8406 | |
| 57.5485 | 77.0323 | 50.9732 | |
| 57.2802 | 75.7893 | 51.3757 | |
Для наглядности изменений, произошедших на тестовых изображениях, приведем ряд примеров зон измерения дальности, расположенных на различных расстояниях. Результаты обработки ТИ № 1 фильтрами ЛУП и ЛДП с масками размерностью 7 × 7 элементов представлены на рис. 9. Для фильтра ЛУП центральный коэффициент равен 17, для фильтра ЛДП – 58.
Рис. 9. Результат обработки ТИ № 1: а) исходное изображение; обработанные изображения: б) фильтр ЛУП, в) фильтр ЛДП
Результаты обработки ТИ № 2 фильтрами ЛУП и ЛДП с масками размерностью 7 × 5 элементов показаны на рис. 10. Для фильтра ЛУП центральный коэффициент равен 19, для фильтра ЛДП – 36.
Рис. 10. Результат обработки ТИ № 2: а) исходное изображение; обработанные изображения: б) фильтр ЛУП, в) фильтр ЛДП
Результаты обработки ТИ № 3 фильтрами ЛУП и ЛДП с масками размерностью 7 × 3 элементов представлены на рис. 11. Для фильтра ЛУП центральный коэффициент равен 19, для фильтра ЛДП – 30.
Рис. 11. Результат обработки ТИ № 3: а) исходное изображение; обработанные изображения: б) фильтр ЛУП, в) фильтр ЛДП
На полученных в результате фильтрации изображениях наблюдаются значительное увеличение резкости изображения и повышение четкости границ объектов интереса.
3.3. Оценка влияния модифицированных фильтров ЛУП и ЛДП на точность работы ТИС
Для оценки влияния модифицированных цифровых фильтров ЛУП и ЛДП на точность работы ТИС был разработан программный модуль, который позволяет измерить расстояние от камеры до объекта интереса при контроле времени обработки изображений [12].
По результатам измерений произведено сравнение расстояний, полученных с изображений без предобработки фильтрами, отснятых посредством ТИС и расстояний, измеренных с изображений с предобработкой модифицированными фильтрами, также полученных посредством ТИС с реальным расстоянием, полученным в ходе прямых измерений. Прямое измерение проводилось лазерным дальномером непосредственно от места расположения ТИС до объектов интереса, представленных на рис. 8.
В ходе сравнения полученных данных определяются коэффициент и размер маски фильтра, при котором удалось определить расстояние с наименьшим отклонением от результатов прямых измерений посредством лазерного дальномера.
Полученные данные измерений расстояния для ТИ № 1, расположенного на расстоянии 11 м, представлены в табл. 4.
Таблица 4. Результаты измерения расстояния для ТИ № 1
| Измерение дальности до объектов, м | |||||||
| Зона № 1 – Транспарант № 1 | |||||||
| Лазерный дальномер | 11 м | ||||||
| ТИС | 11.12 м | ||||||
| Фильтр | ЛУП | ЛДП | |||||
| Размер маски | 7 × 3 | 7 × 5 | 7 × 7 | 7 × 3 | 7 × 5 | 7 × 7 | |
| Коэффициенты | 1 | 11.062 | 11.077 | 11.002 | 11.187 | 11.069 | 11.671 | 
| 2 | 11.057 | 11.096 | 11.033 | 11.076 | 11.069 | 11.388 | |
| 3 | 11.074 | 11.090 | 11.053 | 11.036 | 11.073 | 11.224 | |
| 4 | 11.071 | 11.091 | 11.068 | 11.031 | 11.068 | 11.140 | |
| 5 | 11.089 | 11.083 | 11.263 | 11.039 | 11.076 | 11.091 | |
| 6 | 11.080 | 11.093 | 11.047 | 11.035 | 11.082 | 11.035 | |
| 7 | 11.075 | 11.079 | 11.075 | 11.053 | 11.073 | 11.025 | |
| 8 | 11.089 | 11.079 | 11.091 | 11.058 | 11.075 | 11.049 | |
| 9 | 11.089 | 11.094 | 11.079 | 11.054 | 11.060 | 11.037 | |
| 10 | 11.078 | 11.092 | 11.070 | 11.066 | 11.072 | 11.019 | |
В табл. 4 жирным шрифтом выделены значения с наименьшим отклонением от расстояния, полученного при прямых измерениях, проделанных с помощью лазерного дальномера.
Из результатов, представленных в таблице, видно, что при обработке фильтром ЛУП с любой размерностью апертуры наилучший результат достигается при значениях коэффициента фильтрации, равном 1 или 2, при этом с ростом размерности апертуры повышается точность определения расстояния. Разница между эталонным результатом, полученным с помощью лазерного дальномера и обработанным изображением фильтром ЛУП с оптимальным коэффициентом равным 1, составляет 0.002 м.
Для фильтра ЛДП наблюдается рост оптимального коэффициента обработки с ростом размерности апертуры цифрового фильтра. В итоге наилучший результат также достигается при апертуре 7 × 7 элементов, но уже с оптимальным коэффициентом, равным 10. Разница между результатами эталонного измерения и измерения по обработанному изображению составила 0.019 м.
Полученные данные измерений расстояния для ТИ № 2, расположенного на расстоянии 19.06 м, представлены в табл. 5.
Таблица 5. Результаты измерения расстояния для ТИ № 2
| Измерение дальности до объектов, м | |||||||
| Зона № 9 – Транспарант № 2 | |||||||
| Лазерный дальномер | 19.06 м | ||||||
| ТИС | 18.5 м | ||||||
| Фильтр | ЛУП | ЛДП | |||||
| Размер маски | 7 × 3 | 7 × 5 | 7 × 7 | 7 × 3 | 7 × 5 | 7 × 7 | |
| Коэффициенты | 1 | 18.787 | 19.148 | 18.901 | 19.041 | 18.974 | 19.455 | 
| 2 | 19.021 | 19.002 | 18.774 | 18.769 | 19.156 | 19.099 | |
| 3 | 18.962 | 18.937 | 19.009 | 18.812 | 19.213 | 18.678 | |
| 4 | 19.073 | 19.126 | 18.908 | 18.876 | 19.046 | 18.948 | |
| 5 | 19.062 | 19.044 | 19.078 | 18.839 | 19.149 | 18.933 | |
| 6 | 19.199 | 18.811 | 18.974 | 19.056 | 19.114 | 19.225 | |
| 7 | 18.810 | 18.968 | 19.051 | 18.822 | 19.103 | 18.671 | |
| 8 | 19.036 | 18.949 | 18.729 | 19.109 | 19.168 | 18.419 | |
| 9 | 19.117 | 19.078 | 18.925 | 19.016 | 18.928 | 18.399 | |
| 10 | 18.949 | 19.004 | 18.810 | 18.985 | 18.791 | 17.903 | |
На изображении, расположенном на расстоянии примерно 19 м, наблюдается разность в результатах двух исследуемых фильтров. Фильтр ЛУП наилучшие результаты по оценке дальности показывает при коэффициентах обработки от 5 до 7 вне зависимости от размеров апертуры обработки. Наилучший результат был достигнут при размере апертуры 7 × 5 элементов с оптимальным коэффициентом обработки, равным 5. Отличие от эталонного измерения составило 0.002 м, что на 0.558 м точнее, чем измерение ТИС.
Обработка фильтром ЛДП показала противоположный результат обработки объекта, расположенного на расстоянии 11 м. В данном эксперименте наблюдаются противоположные результаты, с ростом размеров апертуры обработки уменьшается значение оптимального коэффициента обработки. Отличие от эталонного измерения составило 0.004 м, что на 0.556 м точнее, чем измерение ТИС.
Полученные данные измерений расстояния для ТИ № 3, расположенного на расстоянии 34.97 м, представлены в табл. 6.
Таблица 6. Результаты измерения расстояния для ТИ № 3
| Измерение дальности до объектов, м | |||||||
| Зона № 3 – Транспарант № 3 | |||||||
| Лазерный дальномер | 34.97 м | ||||||
| ТИС | 34.78 м | ||||||
| Фильтр | ЛУП | ЛДП | |||||
| Размер маски | 7 × 3 | 7 × 5 | 7 × 7 | 7 × 3 | 7 × 5 | 7 × 7 | |
| Коэффициенты | 1 | 33.533 | 34.643 | 33.297 | 31.299 | 34.597 | 27.428 | 
| 2 | 34.067 | 34.659 | 33.806 | 32.820 | 34.528 | 28.674 | |
| 3 | 34.311 | 34.698 | 34.073 | 33.470 | 34.554 | 29.485 | |
| 4 | 34.465 | 34.705 | 34.304 | 33.715 | 34.558 | 30.250 | |
| 5 | 34.592 | 34.721 | 34.355 | 33.966 | 34.601 | 30.742 | |
| 6 | 34.609 | 34.741 | 34.465 | 34.188 | 34.548 | 31.189 | |
| 7 | 34.634 | 34.761 | 34.528 | 34.224 | 34.569 | 31.648 | |
| 8 | 34.631 | 34.767 | 34.557 | 34.266 | 34.561 | 31.995 | |
| 9 | 34.664 | 34.800 | 34.591 | 34.542 | 34.575 | 32.239 | |
| 10 | 34.713 | 34.761 | 34.590 | 34.384 | 34.550 | 32.588 | |
Проанализированы полученные результаты измерения дальности до тестового объекта, располагающегося на расстоянии 34.97, и выявлен минимальный эффект от обработки тестовых изображений. Связано это с тем, что результат измерения дальности, полученный с помощью ТИС, очень близок к эталонному измерению и отличается всего на 0.19 м. Для фильтра ЛУП оптимальные коэффициенты были определены от 9 до 10 при использовании любой размерности фильтра.
Выявить зависимость изменения оптимальных коэффициентом от изменения размерности апертуры обработки для фильтра ЛДП не удается, поскольку значение оптимальных коэффициентов то снижается от маски 7 × 3 к маске 7 × 5 элементов, то обратно возрастает при увеличении размеров апертуры обработки до маски размерностью 7 × 7 элементов, что требует дополнительных исследований на расширенной базе экспериментальных данных.
- ЗАКЛЮЧЕНИЕ
Из проделанной работы следует, что рекурсивно-сепарабельный метод обработки изображений фильтрами с неравносторонней апертурой позволяет сократить количество вычислительных операций относительно базовой размерности исходного фильтра, тем самым ускоряя процесс обработки.
Согласно полученным результатам (см. табл. 2) время выполнения фильтров с неравносторонней апертурой относительно исходной (равносторонней) сократилось в 1.4 раза для 7 × 5 (~8.5 мс) и в 2.4 раза для 7 × 3 (~17.5 мс).
В результате применения рекурсивно-сепабельных фильтров для ТИ № 1 точность определения расстояния при обработке фильтром ЛУП с апертурой размером 7 × 7 увеличилась на 0.118 м, а при обработке фильтром ЛДП с апертурой 7 × 7 – на 0.101 м.
Для ТИ № 2 точность определения расстояния при обработке фильтром ЛУП с апертурой размером 7 × 5 увеличилась на 0.544 м, а при обработке фильтром ЛДП с апертурой 7 × 5 – на 0.546 м.
Для ТИ № 3 точность определения расстояния при обработке фильтром ЛУП с апертурой размером 7 × 5 увеличилась на 0.02 м, а при обработке фильтром ЛДП с апертурой 7 × 5 – на 0.179 м.
Можно отметить, что при обработке фильтром ЛУП наблюдается закономерность: при росте расстояния до объекта интереса растет и значение оптимального коэффициента фильтрации. Это следует из того, что для объекта, расположенного на расстоянии 11 м, оптимальный коэффициент был равен 1–2, для объекта, расположенного на расстоянии 19.06 м, он составляет 5–7 и для объекта, расположенного на расстоянии 34.97 м, он равен 9–10.
Фильтр ЛУП оказался более эффективен и стабилен в результатах, чем фильтр ЛДП. Это связано с формируемой апертурой обработки. У фильтра ЛУП имеется усеченная верхняя часть, которая дает эффект сглаживания, устраняя шумы в исходном изображении. Из-за этого для применения в ТИС, при оценке дальности до объектов интереса в поле зрения системы, предлагается использовать фильтр ЛУП с неравносторонними апертурами.
- ИСТОЧНИК ФИНАНСИРОВАНИЯ
Исследование выполнено за счет гранта Российского научного фонда № 21-79-10200 в ТУСУРе.
About the authors
K. A. Rylov
Tomsk State University of Control Systems and Radioelectronics
							Author for correspondence.
							Email: tstr70@mail.ru
				                					                																			                												                	Russian Federation, 							Tomsk						
K. S. Kupriyanova
Tomsk State University of Control Systems and Radioelectronics
														Email: kuprianovak8@gmail.com
				                					                																			                												                	Russian Federation, 							Tomsk						
A. V. Kamensky
Tomsk State University of Control Systems and Radioelectronics
														Email: andru170@mail.ru
				                					                																			                												                	Russian Federation, 							Tomsk						
References
- Kuryachiy M.I., Rudnikovich A.S., Semenov E.V. [Television measuring systems based on TMS320C6000 processors]. Televizionnye izmeritel'nye sistemy na baze processorov TMS320C6000 // Reports of the international conference DSPA. 2003. V. 2. No. 52. P. 1–4.
- Korotaev V.V., Krasnyashchikh A.V. [Television measuring systems]. Televizionnye izmeritel'nye sistemy; Textbook. St. Petersburg: St. Petersburg State University ITMO, 2008. 108 p.
- Gonzalez R.S., Woods R.E. [Digital image processing]. Cifrovaya obrabotka izobrazhenij. 3rd edition, corrected and expanded. M.: Tekhnosphere, 2012. 1104 p.
- Chun He, Ke Guo, Huayue Chen. An Improved Image Filtering Algorithm for Mixed Noise; A special issue of Applied Sciences (ISSN 2076-3417), belongs to the section “Computing and Artificial Intelligence” // Appl. Sci. 2021. 11(21). 10358. https://doi.org/10.3390/app112110358
- Sironi A., Tekin B., Rigamonti R., Lepetit V., Fua P. Learning Separable Filters // IEEE Transactions on Pattern Analysis and Machine Intelligence. 2015. V. 37. I. 1. P. 94–106. https://doi.org/10.1109/TPAMI.2014.2343229
- Minh N. Do, Vetterli M. Frame reconstruction of the laplacian pyramid. Acoustics, Speech, and Signal Processing, 1988. ICASSP-88 // 1988 International Conference on 6: 3641–3644. V. 6.
- Kamenskiy A.V. High-speed recursive-separable image processing filters // Computer Optics 2022; 46(4): 659–665. https://doi.org/10.18287/2412-6179-CO-1063
- Kamenskiy A.V., Kuryachiy M.I., Krasnoperova A.S., Ilyin Y.V., Akaeva Т.М., Boyarkin S.E. / High-speed recursive-separable image processing filters with variable scanning aperture sizes // Computer Optics, 2023. 47(4): 605–613. https://doi.org/10.18287/2412-6179-CO-1240
- Sai S.V., Kamensky A.V., Kuryachiy M.I. [Modern methods of analyzing and improving the quality of digital images: monograph]. Sovremennye metody analiza i povysheniya kachestva cifrovyh izobrazhenij: monografiya; Ministry of Sciences and Higher Education of the Russian Federation, Pacific State University. Khabarovsk: Pacific Publishing House. state Univ., 2020. 173 p.
- Kupriyanova K.S., Rylov K.A., Kamenskiy A.V. [Study of the unevenness of the aperture edge on the characteristics of digital filters Laplacian “truncated pyramid” and Laplacian “double pyramid”]. Vliyanie neravnostoronnih apertur na harakteristiki cifrovyh fil'trov laplasian “usechennaya piramida” i laplasian “dvojnaya piramida” // Proceedings of the 33rd Int. conf. computer graphics and machine vision. Moscow, September 19–21. 2023. P. 482–491.
- Smirnov V.M. [Measuring the size of the aperture on the degree of limitation of impulse noise with median filtering]. Vliyanie razmera apertury na stepen' ustraneniya impul'snogo shuma pri mediannoj fil'tracii // Scientific session of the Guap. 2019. P. 22–29.
- Kapustin V.V., Zahlebin A.S., Movchan A.K., Kuriyachiy M.I., Kruticov M. Experimental assessment of the distance measurement accuracy using the active-pulse television measuring system and a digital terrain model // Computer Optics. 2022. V. 46(6): 948–954. https://doi.org/10.18287/2412-6179-CO-1114
Supplementary files
 
				
			 
					 
						 
						 
						 
						 
				
 
  
  
  Email this article
			Email this article 











