Высокоскоростной алгоритм скалярного умножения для проектирования нейронных сетей, сохраняющих конфиденциальность
- Авторы: Лапина М.А.1, Ширяев Е.М.1, Бабенко М.Г.1, Истамов И.2
- 
							Учреждения: 
							- Северо-Кавказский центр математических исследований, Северо-Кавказский федеральный университет
- Самаркандский государственный университет имени Шарофа Рашидова
 
- Выпуск: № 6 (2024)
- Страницы: 3-11
- Раздел: ИНФОРМАЦИОННАЯ БЕЗОПАСНОСТЬ
- URL: https://journal-vniispk.ru/0132-3474/article/view/283172
- DOI: https://doi.org/10.31857/S0132347424060012
- EDN: https://elibrary.ru/dzispq
- ID: 283172
Цитировать
Аннотация
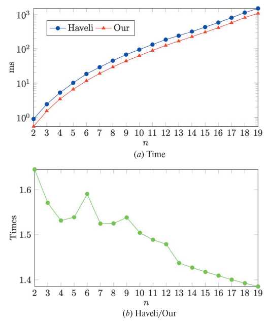
В силу юридических ограничений либо ограничений, связанных с внутренней информационной политикой компаний, зачастую бизнес не доверяет конфиденциальную информацию публичным облачным провайдерам. Одним из механизмов, позволяющих обеспечить безопасность конфиденциальных данных в облаках, является гомоморфное шифрование. Для проектирования решений, использующих нейронные сети, в данных условиях используются нейронные сети, сохраняющие конфиденциальность. Они эксплуатируют механизм гомоморфного шифрования, позволяя таким образом обеспечить безопасность коммерческой информации в облаке. Основным сдерживающим фактором использования нейронных сетей, сохраняющих конфиденциальность, является большая вычислительная и пространственная сложность алгоритма скалярного умножения, который является базовым для вычисления математической свертки. В работе предлагается алгоритм скалярного умножения, который позволяет уменьшить пространственную сложность c квадратичной до линейной, а также уменьшить время вычисления скалярного умножения в 1.38 раза.
Полный текст
 
												
	                        Об авторах
М. А. Лапина
Северо-Кавказский центр математических исследований, Северо-Кавказский федеральный университет
							Автор, ответственный за переписку.
							Email: mlapina@ncfu.ru
				                					                																			                												                	Россия, 							355017 Ставрополь, ул. Пушкина, 1						
Е. М. Ширяев
Северо-Кавказский центр математических исследований, Северо-Кавказский федеральный университет
														Email: eshiriaev@ncfu.ru
				                					                																			                												                	Россия, 							355017 Ставрополь, ул. Пушкина, 1						
М. Г. Бабенко
Северо-Кавказский центр математических исследований, Северо-Кавказский федеральный университет
														Email: mgbabenko@ncfu.ru
				                					                																			                												                	Россия, 							355017 Ставрополь, ул. Пушкина, 1						
И. Истамов
Самаркандский государственный университет имени Шарофа Рашидова
														Email: istamovismoilzoda@gmail.com
				                					                																			                												                	Узбекистан, 							140104 Самарканд, Университетский бульвар, 15						
Список литературы
- Hunt E.B. Artificial intelligence. Academic Press, 2014.
- Radford A. et al. Improving language understanding by generative pre-training. OpenAI, 2018.
- Wamser F. et al. Traffic characterization of a residential wireless Internet access // Telecommunication Systems. Springer, 2011. V. 48. P. 5–17.
- Sagiroglu S., Sinanc D. Big data: A review // 2013 international conference on collaboration technologies and systems (CTS). IEEE, 2013. P. 42–47.
- О персональных данных [Electronic resource]. http://pravo.gov.ru/proxy/ips/?docbody&nd= 102108261 (accessed: 16.06.2024)
- Gentry C. A fully homomorphic encryption scheme. Stanford university, 2009.
- Yegnanarayana B. Artificial neural networks. PHI Learning Pvt. Ltd., 2009.
- Pratiwi H. et al. Sigmoid activation function in selecting the best model of artificial neural networks // Journal of Physics: Conference Series. IOP Publishing, 2020. V. 1471. № 1. P. 012010.
- Rivest R.L., Shamir A., Adleman L. A method for obtaining digital signatures and public-key cryptosystems // Commun. ACM. 1978. V. 21. № 2. P. 120–126.
- ElGamal T. A public key cryptosystem and a signature scheme based on discrete logarithms // IEEE transactions on information theory. IEEE, 1985. V. 31. № 4. P. 469–472.
- Gentry C. Fully homomorphic encryption using ideal lattices // Proceedings of the forty-first annual ACM symposium on Theory of computing. Bethesda MD USA: ACM, 2009. P. 169–178.
- Van Dijk M. et al. Fully Homomorphic Encryption over the Integers // Advances in Cryptology – EUROCRYPT 2010 / ed. Gilbert H. Berlin, Heidelberg: Springer Berlin Heidelberg, 2010. V. 6110. P. 24–43.
- Gentry C., Halevi S. Implementing gentry’s fully-homomorphic encryption scheme // Advances in Cryptology–EUROCRYPT 2011: 30th Annual International Conference on the Theory and Applications of Cryptographic Techniques, Tallinn, Estonia, May 15–19, 2011. Proceedings 30. Springer, 2011. P. 129–148.
- Brakerski Z. Fully homomorphic encryption without modulus switching from classical GapSVP // Annual Cryptology Conference. Springer, 2012. P. 868–886.
- Brakerski Z., Vaikuntanathan V. Fully Homomorphic Encryption from Ring-LWE and Security for Key Dependent Messages // Advances in Cryptology – CRYPTO 2011 / ed. Rogaway P. Berlin, Heidelberg: Springer Berlin Heidelberg, 2011. V. 6841. P. 505–524.
- Brakerski Z., Gentry C., Vaikuntanathan V. (Leveled) Fully Homomorphic Encryption without Bootstrapping // ACM Trans. Comput. Theory. 2014. V. 6. № 3. P. 1–36.
- Dijk M. van et al. Fully homomorphic encryption over the integers // Annual international conference on the theory and applications of cryptographic techniques. Springer, 2010. P. 24–43.
- Cheon J.H. et al. Homomorphic encryption for arithmetic of approximate numbers // International conference on the theory and application of cryptology and information security. Springer, 2017. P. 409–437.
- Homomorphic Encryption Standardization – An Open Industry / Government / Academic Consortium to Advance Secure Computation [Electronic resource]. https://homomorphicencryption.org/ (accessed: 10.12.2022)
- Pulido-Gaytan B. et al. Privacy-preserving neural networks with Homomorphic encryption: Challenges and opportunities // Peer-to-Peer Netw. Appl. 2021. V. 14. № 3. P. 1666–1691.
- Ribeiro M., Grolinger K., Capretz M.A. Mlaas: Machine learning as a service // 2015 IEEE14th international conference on machine learning and applications (ICMLA). IEEE, 2015. P. 896–902.
- Manvi S.S., Shyam G.K. Resource management for Infrastructure as a Service (IaaS) in cloud computing: A survey // Journal of network and computer applications. Elsevier, 2014. V. 41. P. 424–440.
- Rodero-Merino L. et al. Building safe PaaS clouds: A survey on security in multitenant software platforms // computers & security. Elsevier, 2012. V. 31. № 1. P. 96–108.
- Cusumano M. Cloud computing and SaaS as new computing platforms // Commun. ACM. 2010. V. 53. № 4. P. 27–29.
- Chen H., Chillotti I., Song Y. Improved bootstrapping for approximate homomorphic encryption // Advances in Cryptology–EUROCRYPT 2019: 38th Annual International Conference on the Theory and Applications of Cryptographic Techniques, Darmstadt, Germany, May 19–23, 2019, Proceedings, Part II. Springer, 2019. P. 34–54.
- Microsoft SEAL: C++. Microsoft, 2023.
- OpenFHE.org – OpenFHE – Open-Source Fully Homomorphic Encryption Library [Electronic resource]. https://www.openfhe.org/ (accessed: 01.04.2024)
- Dai W., Sunar B. cuHE: A homomorphic encryption accelerator library // International Conference on Cryptography and Information Security in the Balkans. Springer, 2015. P. 169–186.
- Benaissa A. et al. TenSEAL: A Library for Encrypted Tensor Operations Using Homomorphic Encryption: arXiv:2104.03152. arXiv, 2021.
- Lee J.-W. et al. Privacy-preserving machine learning with fully homomorphic encryption for deep neural network // IEEE Access. IEEE, 2022. V. 10. P. 30039–30054.
- Halevi S., Shoup V. Algorithms in helib // Annual Cryptology Conference. Springer, 2014. P. 554–571.
- Özerk Ö. et al. Efficient number theoretic transform implementation on GPU for homomorphic encryption // The Journal of Supercomputing. Springer, 2022. V. 78. № 2. P. 2840–2872.
Дополнительные файлы
 
				
			 
						 
						 
						 
					 
						 
									
 
  
  
  Отправить статью по E-mail
			Отправить статью по E-mail 

 Открытый доступ
		                                Открытый доступ Доступ предоставлен
						Доступ предоставлен




