Adaptive IIR filter based on penalized spline
- Authors: Kochegurova E.A.1, Martynova I.A.1
- 
							Affiliations: 
							- National Research Tomsk Polytechnic University
 
- Issue: No 6 (2024)
- Pages: 24-34
- Section: DATA ANALYSIS
- URL: https://journal-vniispk.ru/0132-3474/article/view/283184
- DOI: https://doi.org/10.31857/S0132347424060036
- EDN: https://elibrary.ru/dyuoiy
- ID: 283184
Cite item
Abstract
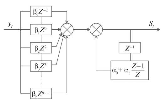
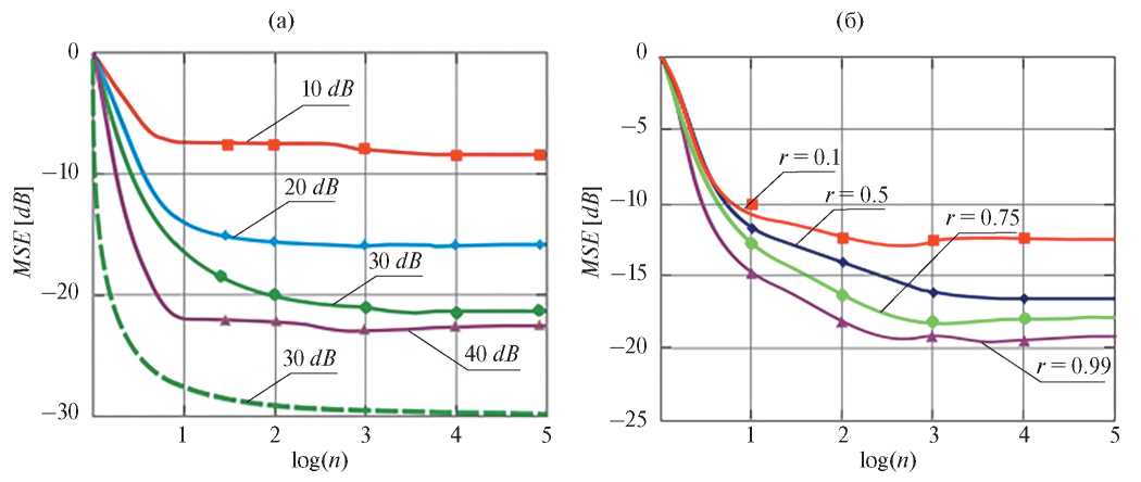
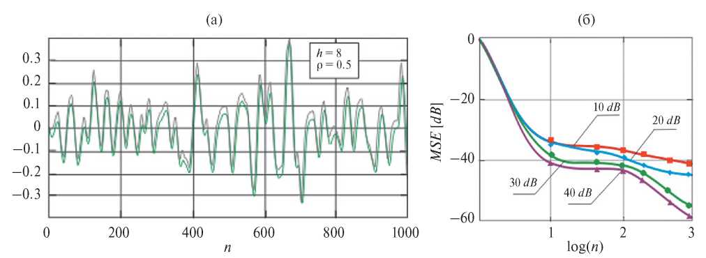
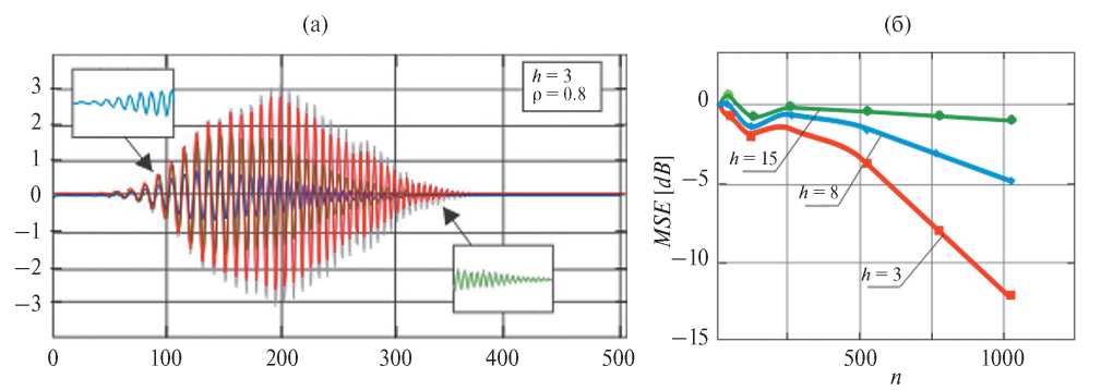
The purpose of this research is to develop the technique of spline adaptive filters (SAF) for real-time implementation. The P-SAF proposed in the article based on the recurrent penalty P-spline, by analogy with the classical SAF, consists of linear dynamic and nonlinear static components. To adapt P-SAF, computing circuits with different topologies have been developed. This approach specifies a way to adapt the knots and calculate the spline coefficients simultaneously. This made it possible to increase the efficiency of P-SAF compared to the classical SAF and reduce computational costs. The efficiency indicator MSE [dB] for P-SAF is equal to and higher than for classical SAF when analyzing model and real time series.
Keywords
Full Text
 
												
	                        About the authors
E. A. Kochegurova
National Research Tomsk Polytechnic University
							Author for correspondence.
							Email: kocheg@mail.ru
				                					                																			                												                	Russian Federation, 							Lenina Prospekt 30, Tomsk, 634050						
I. A. Martynova
National Research Tomsk Polytechnic University
														Email: martynova@tpu.ru
				                					                																			                												                	Russian Federation, 							Lenina Prospekt 30, Tomsk, 634050						
References
- Haykin S.S. Adaptive Filter Theory. 5th ed., Pearson Education, 2014. 912 p. ISBN: 9780132671453.
- Comminiello D., Príncipe J.C. Adaptive learning methods for nonlinear system modeling. Oxford: Butterworth-Heinemann, 2018. 388 p. ISBN: 9780128129777.
- Shcherbakov М.А., Panov A.P. Nonlinear filtering with adaptation to local properties of the image. Computer Optics. 2014. V. 38. № 4. P. 818–824. https://doi.org/10.18287/0134-2452-2014-38-4-818-824
- Wang Y.R., Cheng C.M. Volterra series identification and its applications in structural identification of nonlinear block-oriented systems. International Journal of Systems Science. 2020. V. 51. № 11. P. 1959–1968.
- Solovyeva E.B. Behavioural nonlinear system models specified by various types of neural networks. Journal of Physics: Conference Series. IOP Publishing. 2018. V. 1015(3). P. 032139.
- Fallahi K., Raoufi R., Khoshbin H. An application of chen system for secure chaotic communication based on extended Kalman filter and multi-shift cipher algorithm. Commun. Nonlinear Sci. Numer. Simul. 2008. V. 13. № 4. P. 763–781.
- Liu W., Principe J.C., Haykin S. Kernel Adaptive Filtering: A Comprehensive Introduction. Wiley, 2011. ISBN: 9780470447536.
- Comminiello D., Scarpiniti M., Azpicueta-Ruiz L.A., Arenas-Garcia J., Uncini A. Functional link adaptive filters for nonlinear acoustic echo cancellation. EEE Trans. Audio Speech Lang. Process. 2013. V. 21. № 7. P. 1502–1512.
- Scarpiniti M., Comminiello D., Parisi F., Uncini A. Nonlinear spline adaptive filtering. Signal Processing. 2013. V. 93. № 4. P. 772–783.
- Yang L., Liu J., Sun R. et al. Spline adaptive filters based on real-time over-sampling strategy for nonlinear system identification. Nonlinear Dyn. 2021. V. 103. P. 657–675. https://doi.org/10.1007/s11071-020-05899-7
- Guan S., Biswal B. Spline adaptive filtering algorithm based on different iterative gradients: Performance analysis and comparison. Journal of Automation and Intelligence. 2023. V. 2. № 1. P. 1–13.
- Cheng S., Wei Y., Sheng D., Wang Y. Identification for Hammerstein nonlinear systems based on universal spline fractional order LMS algorithm. Commun. Nonlinear Sci. Numer. Simul. 2019. V. 79. P. 104901.
- Scarpiniti M., Comminiello D., Parisi R., Uncini A. Nonlinear system identification using IIR Spline Adaptive Filters. Signal Processing. 2015. V. 108. P. 30–35.
- Wang Y., Ding F., Xu L. Some new results of designing an IIR filter with colored noise for signal processing. Digital Signal Processing. 2018. V. 72. P. 44–58.
- Patel V., George N.V. Multi-channel spline adaptive filters for non-linear active noise control. Applied Acoustics. 2020. V. 161. P. 107142.
- Liu C., Zhang Z., Tang X. Sign-normalized IIR spline adaptive filtering algorithms for impulsive noise environments. Circu. Syst. Signal Process. 2019. V. 38. № 2. P. 891–903.
- Guo W., Zhi Y. Nonlinear Spline Adaptive Filtering Against Non-Gaussian Noise. Circuits, Systems, and Signal Processing. 2022. V. 41. P. 579–596. https://doi.org/10.1007/s00034-021-01798-3
- Tao Y., Wenqi L., Yi Y., Rodrigo C.L. Robust spline adaptive filtering based on accelerated gradient learning: Design and performance analysis. Signal Processing. 2021. V. 183. P. 107965.
- Gao Y., Zhao H., Zhu Y., Lou J. The q-gradient LMS spline adaptive filtering algorithm and its variable step-size variant. Information Sciences. 2023. V. 658. P. 119983. https://doi.org/10.1016/j.ins.2023.119983
- Zhao H., Chen B. Spline Adaptive Filter. In Book: Efficient Nonlinear Adaptive Filters. Chap. Springer: Cham. 2023. P. 163–208. https://doi.org/10.1007/978-3-031-20818-8_4
- Sharif S., Kamal S. Comparison of Significant Approaches of Penalized Spline Regression (P-splines). Pakistan Journal of Statistics and Operation Research. 2018. V. XIV (2). P. 289–303.
- Lenz D., Yeh R., Mahadevan V., Grindeanu I., Peterka T. Customizable adaptive regularization techniques for B-spline modeling. Journal of Computational Science. 2023. V. 71. P. 102037. https://doi.org/10.1016/j.jocs.2023.102037
- Budakçı G., Dişibüyük Ç., Goldman R., Oruç H. Extending fundamental formulas from classical B-splines to quantum B-splines. Journal of Computational and Applied Mathematics. 2015. V. 282. P. 17–33.
- Goepp V., Bouaziz O., Nuel G. Spline Regression with Automatic Knot Selection. arXiv: Applications. 2018. hal-01853459. P. 26.
- Tan L., Jiang J. Digital Signal Processing. 3rd ed. Academic Press, 2019. 816 p. ISBN: 978-0-12-374090-8.
- Kochegurova E.A, Gorokhova E.S. Current Derivative Estimation of Non-stationary Processes Based on Metrical Information. Lecture Notes in Computer Science. 2015. V. 9330. P. 512–519.
- Rozhenko A.I. A new method for finding an optimal smoothing parameter of the abstract smoothing spline. J. Approx. Theory. 2010. V. 162. P. 1117–1127. https://doi.org/10.1016/j.jat.2009.08.002
- Sameni R. Online filtering using piecewise smoothness priors: Application to normal and abnormal electrocardiogram denoising. Signal Processing. 2017. V. 133. P. 52–63.
- Kochegurova E.A., Kochegurov A.I., Rozhkova N.E. Frequency Analysis of Recurrence Variational P-Splines. Optoelectronics, Instrumentation and Data Processing. 2017. V. 53. № 6. P. 591–598.
- Kochegurova E.A., Wu D. Realization of a recursive digital filter based on penalized splines. Computer Optics 2018. V. 42. № 6. P. 1083–1092.
- Bhattacharjee S.S., Patel V., George N.V. Nonlinear Spline Adaptive Filters based on a Low Rank Approximation. Signal Processing. 2022. V. 201. P. 108726.
- Agrawal N., Kumar A., Bajaj V., Singh G.K. Design of digital IIR filter: A research survey. Applied Acoustics 2021. V. 172. P. 107669. https://doi.org/10.1016/j.apacoust.2020.107669
- Rathod M., Patel V., George N.V. Generalized spline nonlinear adaptive filters. Expert Systems with Applications. 2017. V. 83. № 15. P. 122–130.
- Воскобойников Ю.Е., Колкер А.Б. Аппроксимация изолиний изображений сглаживающими сплайнами. Автометрия. 2003. Т. 39. № 4. С. 3–12.
Supplementary files
 
				
			 
					 
						 
						 
						 
						 
				
 
  
  
  Email this article
			Email this article 
 Open Access
		                                Open Access Access granted
						Access granted








