Anisotropy of Thermal Expansion of Oxoborate Warwickite
- Авторлар: Biryukov Y.P.1, Bubnova RS.1, Filatov S.K.2
-
Мекемелер:
- Grebenshchikov Institute of Silicate Chemistry, Russian Academy of Sciences, 199034, St. Petersburg, Russia
- Saint Petersburg State University
- Шығарылым: Том 49, № 5 (2023)
- Беттер: 538-545
- Бөлім: Articles
- URL: https://journal-vniispk.ru/0132-6651/article/view/139347
- DOI: https://doi.org/10.31857/S0132665123600231
- EDN: https://elibrary.ru/OMVJEZ
- ID: 139347
Дәйексөз келтіру
Толық мәтін
Аннотация
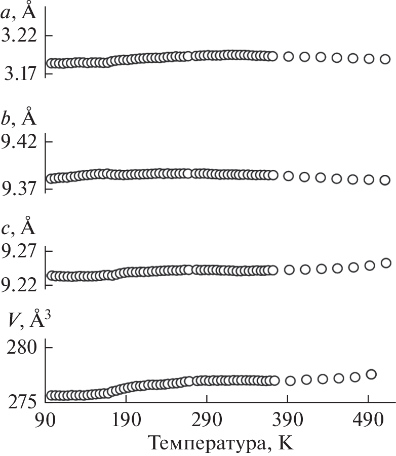
In this paper, the transition metal oxoborate warwickite (Fe2+,Mg)Fe3+(BO3)O is studied for the first time by low- and high-temperature X-ray diffraction in the temperature range from 93 to 513 K. The sharply anisotropic nature of its thermal expansion is revealed. A structural interpretation of the expansion mechanism is given both in terms of the contribution of cationic and oxocentered polyhedra.
Негізгі сөздер
Авторлар туралы
Ya. Biryukov
Grebenshchikov Institute of Silicate Chemistry, Russian Academy of Sciences, 199034, St. Petersburg, Russia
Email: y.p.biryukov@gmail.com
Россия, 199034, наб. Макарова, 2, Санкт-Петербург
R Bubnova
Grebenshchikov Institute of Silicate Chemistry, Russian Academy of Sciences, 199034, St. Petersburg, Russia
Email: rimma_bubnova@mail.ru
Россия, 199034, Санкт-Петербург, наб. Макарова, 2
S. Filatov
Saint Petersburg State University
Хат алмасуға жауапты Автор.
Email: filatov.stanislav@gmail.com
Russia, Saint Petersburg
Әдебиет тізімі
- Balaev A.D., Bayukov O.A., Vasil’ev A.D., Velikanov D.A., Ivanova N.B., Kazak N.V., Ovchinnikov S.G., Abd-Elmeguid M., Rudenko V.V. Magnetic and electrical properties of Fe1.91V0.09BO4 warwickite // J. of Experimental and Theoretical Physics. 2003. V. 97. P. 989–995.
- Platunov M.S., Kazak N.V., Knyazev Yu.V., Bezmaternykh L.N., Moshkina E.M., Trigub A.L., Veligzhanin A.A., Zubavichus Y.V., Solovyov L.A., Velikanov D.A., Ovchinnikov S.G. Effect of Fe-substitution on the structure and magnetism of single crystals Mn2–xFexBO4 // Journal of Crystal Growth. 2017. V. 475. P. 239–246.
- Kazak N.V., Belskaya N.A., Moshkina E.M., Bezmaternykh L.N., Vasiliev A.D., Sofronova S.N., Eremina R.M., Eremin E.V., Muftakhutdinov A.R., Cherosov M.A., Ovchinnikov S.G. Antiferromagnetism of the cation-ordered warwickite system Mn2–xMgxBO4 (x = 0.5, 0.6 and 0.7) // Journal of Magnetism and Magnetic Materials. 2020. V. 507. P. 166820.
- Attfield J. Paul, Clarke John F., Perkins David A. Magnetic and crystal structures of iron borates // Physica B: Condensed Matter. 1992. V. 180–181. № 2. P. 581–584.
- Shimomura S., Nakamura S., Ikeda N., Kaneko E., Kato K., Kohn K. Structural properties of a mixed valence compound Fe2BO4 // Journal of Magnetism and Magnetic Materials. 2017. V. 310. № 2. P. 793–795.
- Руднев В.В. Моноклинные железо-магниевые оксибораты гулситовой изоморфной серии // ЗВМО. 1996. № 1. С. 89–109.
- Кривовичев С.В., Филатов С.К., Семенова Т.Ф. Типы катионных комплексов на основе оксоцентрированных тетраэдров [OM4] в кристаллических структурах неорганических соединений // Усп. хим. 1998. Т. 67. № 2. С. 155–174.
- Бирюков Я.П., Бубнова Р.С., Филатов С.К., Гончаров А.Г. Синтез и термическое поведение оксобората Fe3O2(BO4) // Физика и химия стекла. 2016. Т. 42. С. 284–290.
- Бирюков Я.П., Филатов С.К., Вагизов Ф.Г., Зинатуллин А.Л., Бубнова Р.С. Термическое расширение антиферромагнетиков FeBO3 и Fe3BO6 вблизи температуры Нееля // Журн. структурной химии. 2018. Т. 59. С. 2041–2048.
- Бирюков Я.П., Бубнова Р.С., Дмитриева Н.В., Филатов С.К. Термическое поведение антиферромагнетиков FeBO3 и Fe3BO6 при отрицательных температурах // Физика и химия стекла. 2019. Т. 45. С. 184–188.
- Ehrenfest P. Phasenumwandlungen im weblichen und erweiterten Sinn, classifiziert nach den entsprechenden Singullaritaeten des thermodynamischen Potentiales // Proceedings Royal Acad. Amsterdam. 1933. V. 36. P. 153–157.
- Biryukov Y.P., Zinnatullin A.L., Bubnova R.S., Vagizov F.G., Shablinskii A.P, Filatov S.K., Shilovskikh V.V., Pekov I.V. Investigation of thermal behavior of mixed-valent iron borates vonsenite and hulsite containing [OM4]n+ and [OM5]n+ oxocentred polyhedra by in situ high-temperature Mossbauer spectroscopy, X-ray diffraction and thermal analysis // Acta Cryst. B. 2020. B76. № 4. P. 543–553.
- Biryukov Y.P., Zinnatullin A.L., Cherosov M.A., Shablinskii A.P., Yusupov R.V., Bubnova R.S., Vagizov F.G., Filatov S.K., Avdontceva M.S., Pekov I.V. Low-temperature investigation of natural iron-rich oxoborates vonsenite and hulsite: thermal deformations of crystal structure, strong negative thermal expansion and cascades of magnetic transitions // Acta Cryst. B. 2021. B77. P. 1021–1034.
- Biryukov Y.P., Zinnatullin A.L., Levashova I.O., Shablinskii A.P., Cherosov M.A., Bubnova R.S., Vagizov F.G., Krzhizhanovskaya M.G., Filatov S.K., Shilovskikh V.V., Pekov I.V. X-ray diffraction and Mossbauer spectroscopy study of oxoborate azoproite (Mg,Fe2+)2(Fe3+,Ti,Mg,Al)O2(BO3): an in situ temperature-dependent investigation (5 ≤ T ≤ 1650 K) // Acta Cryst. B. 2022. B78. P. 809–816.
- Bubnova R.S., Firsova V.A., Volkov S.N., Filatov S.K. RietveldToTensor: Program for Processing Powder X-Ray Diffraction Data under Variable Conditions // Glass Phys. Chem. 2018. V. 44. P. 33–40.
- Momma K., Izumi F. VESTA 3 for three-dimensional visualization of crystal, volumetric and morphology data // J. Appl. Crystallogr. 2011. V. 44. P. 1272–1276.
- Chezhina N., Korolev D., Bubnova R., Biryukov Y., Glumov O., Semenov V. Electronic structure of diluted SrFexTi1–xO3–δ solid solutions / J. of Solid State Chemistry. 2019. V. 274. P. 259–264.
- Bubnova R.S., Filatov S.K. High-Temperature borate crystal chemistry // Zeitschrift Fur Krist. 2013. V. 228. P. 395–428.
- Shannon R.D. Revised effective ionic radii and systematic studies of interatomic distances in halides and chalcogenides // Acta Cryst. A. 1976. V. 32. № 5. P. 751–767.
- Bubnova R., Volkov S., Albert B., Filatov S. Borates – crystal structures of prospective nonlinear optical materials: high anisotropy of the thermal expansion caused by anharmonic atomic vibrations // Crystals. 2017. V. 7. P. 1–32.
Қосымша файлдар







