Механоактивация клиноптилолитов с гидрофосфатами натрия и аммония для улучшения их электрофизических свойств
- Авторы: Дабижа О.Н.1, Солобоева Т.П.2, Хамова Т.В.1, Шилова О.А.1
-
Учреждения:
- Институт химии силикатов им. И.В. Гребенщикова РАН
- Иркутский государственный университет путей сообщения
- Выпуск: Том 49, № 3 (2023)
- Страницы: 330-345
- Раздел: Статьи
- URL: https://journal-vniispk.ru/0132-6651/article/view/139370
- DOI: https://doi.org/10.31857/S0132665122600960
- EDN: https://elibrary.ru/SOLRYB
- ID: 139370
Цитировать
Полный текст
Аннотация
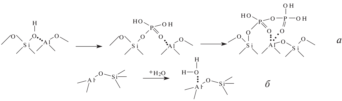
Исследована механохимическая активация цеолитовых (клиноптилолитовой и клиноптилолит-стильбитовой) пород с кислыми солями – гидрофосфатом натрия, гидрофосфатом аммония, при соотношении исходных компонентов 1 : 1 мас. ч. в вибрационном истирателе ИВС-4 (1500 об./мин, 0.6 кВт, энергонапряженность 4 Вт/г, стальная размольная гарнитура). Методами инфракрасной спектроскопии, атомно-эмиссионной спектрометрии, рентгенофазового анализа, дифференциально-сканирующей калориметрии изучены структура, химический и фазовый состав, термическая устойчивость модифицированных солями цеолитовых образцов. Измерено удельное объемное сопротивление таблетированных образцов с использованием трехэлектродной схемы. Установлено, что электропроводность модифицированных гидрофосфатами натрия и аммония высококремнистых цеолитовых пород составляет 2.2 × 10–6 до 2.4 × 10–5 См м–1 при 25°С. Показано, что механохимическая активация клиноптилолитовой и клиноптилолит-стильбитовой пород с гидрофосфатом натрия в виброистирателе при дозе подведенной механической энергии 2.4 кДж/г способствует повышению проводимости механоактивированных цеолитов в 140 и 470 раз при 25, в 30 и 490 раз при 100°С соответственно. Это позволяет рассматривать механохимическую активацию как перспективный метод повышения электрофизических свойств минеральных материалов.
Ключевые слова
Об авторах
О. Н. Дабижа
Институт химии силикатов им. И.В. Гребенщикова РАН
Email: dabiga75@mail.ru
Россия, 199034, Санкт-Петербург, наб. Макарова, д. 2
Т. П. Солобоева
Иркутский государственный университет путей сообщения
Email: dabiga75@mail.ru
Россия, 664074, Иркутск, ул. Чернышевского, 15
Т. В. Хамова
Институт химии силикатов им. И.В. Гребенщикова РАН
Email: dabiga75@mail.ru
Россия, 199034, Санкт-Петербург, наб. Макарова, д. 2
О. А. Шилова
Институт химии силикатов им. И.В. Гребенщикова РАН
Автор, ответственный за переписку.
Email: dabiga75@mail.ru
Россия, 199034, Санкт-Петербург, наб. Макарова, д. 2
Список литературы
- Брек Д. Цеолитовые молекулярные сита / Пер. с англ. под ред. А.Л. Клячко [и др.]. М.: Мир, 1976. 390 с. (Breck, D.W. Zeolite-molecular sieves Structure, chemistry and use – N.Y., Wiley Intersciense publication, John Wiley & Sons, Inc.).
- Liu N., Li Y., Li J., Ouyang D., Wang W. Study on the removal of high contents of ammonium from piggery wastewater by clinoptilolite and the corresponding mechanisms // Open Chem. 2019. V. 17. № 1. P. 1393–1402.
- Patent 3736186 Current International Class H01M11/00. Separator and electrolyte material for solid electrolyte battery systems [Text] / Liang C.C.; applicant and patentee PR Mallory and Co Inc. № 15379471; assign. 1971-06-16; public. 1973-05-29. 2 p.
- Felice V., Tavares A.C. Faujasite zeolites as solid electrolyte for low temperature fuel cell // Solid State Ion. 2011. V. 194. Iss. 1. P. 53–61.
- Cura Ö., Ajjaq A., Çağırtekin A.O., Cavdar S., Acar S. Low-energy ball milling effect on the dielectric response and electrical transport mechanisms of natural clinoptilolite zeolites in a wide temperature range // Mater. Today Commun. 2021. V. 29. 102964.
- Дж. Рабо Химия цеолитов и катализ на цеолитах / Пер. с англ. под ред. Х.М. Миначева. М.: Мир, 1980. Т. 1. 506 с.
- Колесникова Л.Г., Ланкин С.В., Юрков В.В. Ионный перенос в клиноптилолите: монография. Благовещенск: Изд-во БГПУ, 2007. 113 с.
- Soulayman S.Sh., Sahakyan A.A., Nikogosyan S., Yunusova S.A. Specific electrical conductivity of Natural Syrian and Armenian Zeolites // Вестник РУДН. Серия МИФ. 2007. № 1–2. С. 147–154.
- Мороз Н.К., Сереткин Ю.В., Афанасьев И.С., Бакакин В.В. Строение и диффузионная подвижность внекаркасной подсистемы в гидратированных аммонийных формах цеолитов клиноптилолита и шабазита // Журн. структ. химии. 2002. Т. 43. № 4. С. 642–648.
- Ersoy B., Celik M.S. Electrokinetic properties of clinoptilolite with mono- and multivalent electrolytes // Microporous Mesoporous Mater. 2002. № 55. P. 305–312.
- Ozkan A., Sener A.G., Ucbeyiay H. Investigation of coagulation and electrokinetic behaviors of clinoptilolite suspension with multivalent cations // Sep. Sci. Technol. 2018. V. 53. № 5. P. 823–832.
- Евдокимова В.А., Ланкин С.В. Особенности электрических свойств природных цеолитов обогащенных нитратом висмута // Научно-технический вестник Поволжья. № 1. 2015. С. 14–18.
- Евдокимова В.А., Карацуба Л.П., Ланкин С.В. Влияние адсорбированных молекул 3,4-бензпирена на электропроводимость клиноптилолита и его ионозамещенных форм // Изв. Самар. науч. центра РАН. 2011. Т. 13. № 6. С. 77–81.
- Yeritsyan H., Sahakyan A., Nikoghosyan S., Harutiunian V., Gevorkyan V., Grigoryan N., Hakhverdyan E., Keheyan Y., Gevorgyan R., Sargisyan H. Dielectric properties and specific conductivity of armenian natural clinoptilolite irradiated by electrons // Cent. Eur. J. Phys. 2005. V. 3. № 4. P. 610–622
- Пономарева В.Г., Шутова Е.С. Среднетемпературные протонные проводники на основе СsH2PO4 и модифицированного диоксида кремния // Электрохимия. 2007. Т. 43. № 5. С. 547–553.
- Tzvetkov S.Ch., Stoytcheva M.S. Ammonia and phosphates removal from wastewater using clinoptilolite // Bulgarian Chemistry and Industry. 2005. V. 76. P. 34–37.
- Bohács K., Faitli J., Bokányi L., Mucsi G. Control of natural zeolite properties by mechanical activation in stirred media mill // Arch. Metall. Mater. 2017. V. 62. P. 1399–1406.
- Никашина, В.А., Стрелецкий А.Н., Колбанев И.В., Мешкова И.Н., Гринев В.Г., Серова И.Б., Юсупов Т.С., Шумская Л.Г. Влияние механической активации на свойства природных цеолитов // Неорг. матер. 2011. Т. 47. № 12. С. 1470–1475.
- Дабижа О.Н., Дербенева Т.В., Хамова Т.В., Шилова О.А. Механическая активация клиноптилолитов как регулятор их сорбционной активности // Неорг. матер. 2021. Т. 57. № 4. С. 419–428.
- Аристов Ю.И., Гордеева Л.Г. Адсорбенты “соль в пористой матрице”: дизайн фазового состава и сорбционных свойств // Кинетика и катализ. 2009. Т. 50. № 1. С. 72–79.
- Юсупов Т.С. Новые технологические решения переработки и использования минерального сырья на основе изменения структуры и свойств минералов // Технологическая минералогия, методы переработки минерального сырья и новые материалы: [сб. науч. статей по матер. IV Рос. семинара по технолог. минералогии] / Под ред. В.В. Щипцова. Петрозаводск: Карельский научный центр РАН, 2010. С. 23–27.
- Xue N., Chen X., Nie L., Guo X., Ding W., Chen Y., Gu M., Xie Z. Understanding the enhancement of catalytic performance for olefin cracking: Hydrothermally stable acids in P/HZSM-5 // J. Catal. 2007. V. 248. Iss. 1. P. 20–28.
- Schulman E., Wu W., Liu D. Two-Dimensional Zeolite Materials: Structural and Acidity Properties // Materials. 2020. V. 13. № 8. 1822.
- Ратько А.И., Иванец А.И., Кулак А.И., Морозов Е.А., Сахар И.О. Термическое разложение природного доломита // Неорг. матер. 2011. Т. 47. № 12. С. 1502–1507.
- Зонхоева Э.Л. Природные цеолиты Забайкалья: свойства и применение // Улан-Удэ: Изд-во БНЦ СО РАН, 2018. 192 с.
- Шелудякова Л.А., Афанасьева В.А., Подберезская Н.В., Миронов Ю.И. Спектрально-структурный анализ гидро-фосфатов и арсенатов натрия // Журн. структ. химии. 1999. Т. 40. № 6. С. 1074–1078.
Дополнительные файлы








